Electromagnetic Scattering from Fractional Brownian Motion Surfaces via the Small Slope Approximation
Abstract
1. Introduction
2. Theory
2.1. fBm Surface
2.2. Small Slope Approximation
3. Discussion
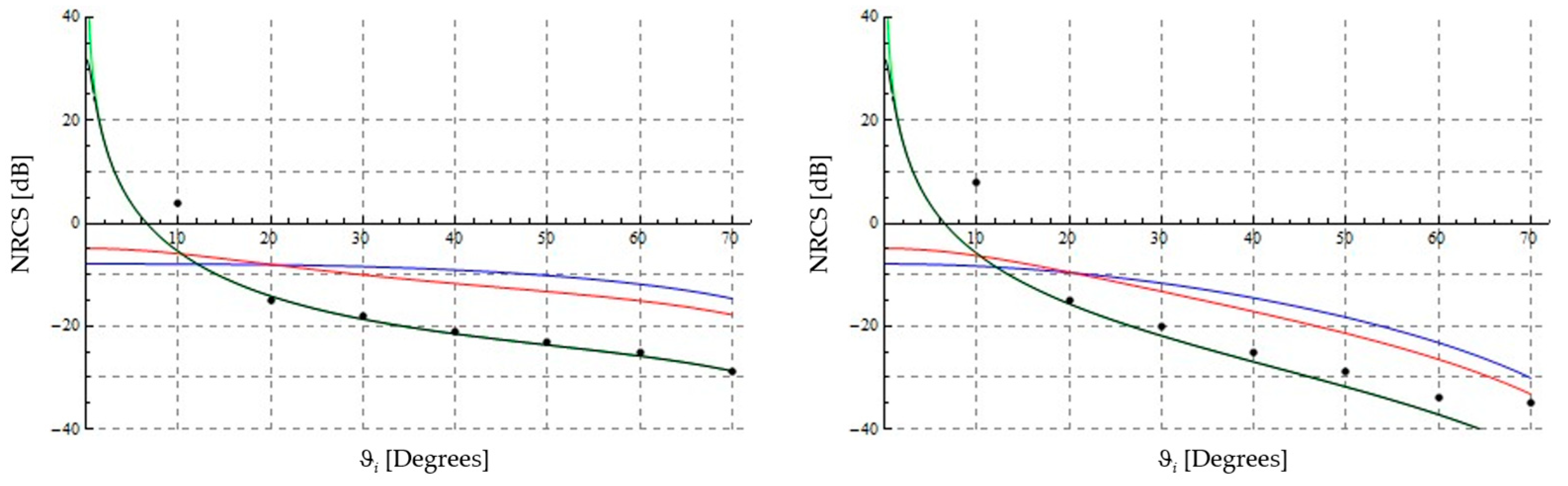
4. Numerical Results
5. Conclusions
Author Contributions
Funding
Data Availability Statement
Conflicts of Interest
References
- Ulaby, F.T.; Moore, R.K.; Fung, A.K. Microwave Remote Sensing; Addison-Wesley: Reading, MA, USA, 1982; Volume II. [Google Scholar]
- Tsang, L.; Kong, J.A.; Shin, R.T. Theory of Microwave Remote Sensing; John Wiley: New York, NY, USA, 1985. [Google Scholar]
- Fung, A.K. Microwave Scattering and Emission: Models and Their Applications; Artech House: Norwood, MA, USA, 1994. [Google Scholar]
- Mandelbrot, B.B. The Fractal Geometry of Nature; W.H. Freeman: New York, NY, USA, 1983. [Google Scholar]
- Falconer, K. Fractal Geometry; John Wiley: New York, NY, USA, 1990. [Google Scholar]
- Campbell, B.A. Scale-Dependent Surface Roughness Behavior and Its Impact on Empirical Models for Radar Backscatter. IEEE Trans. Geosci. Remote Sens. 2009, 47, 3480–3488. [Google Scholar] [CrossRef]
- Johnson, J.T.; Shinan, R.T.; Kong, J.A.; Tsang, L.; Pak, K. A Numerical Study of the Composite Surface Model for Ocean Backscattering. IEEE Trans. Geosci. Remote Sens. 1998, 36, 72–83. [Google Scholar] [CrossRef]
- Di Martino, G.; Iodice, A.; Riccio, D. Closed-form Anisotropic Polarimetric Two-Scale Model for fast Evaluation of Sea Surface Backscattering. IEEE Trans. Geosci. Remote Sens. 2019, 57, 6182–6194. [Google Scholar] [CrossRef]
- Kubacki, R.; Czyżewski, M.; Laskowski, D. Minkowski Island and Crossbar Fractal Microstrip Antennas for Broadband Applications. Appl. Sci. 2018, 8, 334. [Google Scholar] [CrossRef]
- Guariglia, E. Harmonic Sierpinski Gasket and Applications. Entropy 2018, 20, 714. [Google Scholar] [CrossRef]
- Hwang, K.C. A Modified Sierpinski Fractal Antenna for Multiband Application. IEEE Antennas Wirel. Propag. Lett. 2007, 6, 357–360. [Google Scholar] [CrossRef]
- Guariglia, E. Entropy and Fractal Antennas. Entropy 2016, 18, 84. [Google Scholar] [CrossRef]
- Best, S.R. A Discussion on the Significance of Geometry in Determining the Resonant Behavior of Fractal and Other Non-Euclidean Wire Antennas. IEEE Antennas Propag. Mag. 2003, 45, 9–28. [Google Scholar] [CrossRef]
- Krzysztofik, W.J. Fractal Geometry in Electromagnetics Applications—From Antenna to Metamaterials. Microw. Rev. 2013, 19, 3–14. [Google Scholar]
- Li, S.J.; Cui, T.J.; Li, Y.B.; Zhang, C.; Li, R.Q.; Cao, X.Y.; Guo, Z.X. Multifunctional and Multiband Fractal Metasurface Based on Inter-Metamolecular Coupling Interaction. Adv. Theory Simul. 2019, 2, 1900105. [Google Scholar] [CrossRef]
- Berry, M.V.; Blackwell, T.M. Diffractal Echoes. J. Phys. A Math. Gen. 1981, 14, 3101–3110. [Google Scholar] [CrossRef]
- Yordanov, O.Y.; Ivanova, K. Kirchhoff Diffractals. J. Phys. A Math. Gen. 1994, 27, 5979–5993. [Google Scholar] [CrossRef]
- Franceschetti, G.; Iodice, A.; Migliaccio, M.; Riccio, D. Scattering from Natural Rough Surfaces Modelled by Fractional Brownian Motion Two-Dimensional Processes. IEEE Trans. Antennas Propag. 1999, 47, 1405–1415. [Google Scholar] [CrossRef]
- Franceschetti, G.; Iodice, A.; Riccio, D. Fractal Models for Scattering from Natural Surfaces. In Scattering; Pike, R., Sabatier, P., Eds.; Academic Press: London, UK, 2001; pp. 467–485. [Google Scholar]
- Franceschetti, G.; Iodice, A.; Migliaccio, M.; Riccio, D. Fractals and the Small Perturbation Scattering Model. Radio Sci. 1999, 34, 1043–1054. [Google Scholar] [CrossRef]
- Di Martino, G.; Di Simone, A.; Iodice, A.; Riccio, D. Bistatic Scattering From Anisotropic Rough Surfaces via a Closed-Form Two-Scale Model. IEEE Trans. Geosci. Remote Sens. 2021, 59, 3656–3671. [Google Scholar] [CrossRef]
- Beckmann, P.; Spizzichino, A. The Scattering of Electromagnetic Waves from Rough Surfaces; Artech House: Norwood, MA, USA, 1987. [Google Scholar]
- Rice, S.O. Reflection of electromagnetic waves from slightly rough surfaces. Commun. Pure Appl. Math. 1951, 4, 351–378. [Google Scholar] [CrossRef]
- Voronovich, A.G. Small-Slope Approximation for Electromagnetic Wave Scattering at a Rough Interface of Two Dielectric Half-Spaces. Waves Random Media 1994, 4, 337–367. [Google Scholar] [CrossRef]
- Voronovich, A.G.; Zavorotny, V.U. Full-Polarization Modeling of Monostatic and Bistatic Radar Scattering from a Rough Sea Surface. IEEE Trans. Antennas Propag. 2014, 62, 1362–1371. [Google Scholar] [CrossRef]
- Brown, S.R.; Scholz, C.H. Broad-Band Study of the Topography of Natural Rock Surfaces. J. Geophys. Res. 1985, 90, 12575–12582. [Google Scholar] [CrossRef]
- Austin, T.R.; England, A.W.; Wakefield, G.H. Special Problems in the Estimation of Power-Law Spectra as Applied to Topographical Modeling. IEEE Trans. Geosci. Remote Sensing 1994, 32, 928–939. [Google Scholar] [CrossRef]
- Di Martino, G.; Iodice, A.; Riccio, D.; Ruello, G. Equivalent Number of Scatterers for SAR Speckle Modeling. IEEE Trans. Geosci. Remote Sens. 2014, 52, 2555–2564. [Google Scholar] [CrossRef]
- Abramowitz, M.; Stegun, I.A. Handbook of Mathematical Functions; Dover: New York, NY, USA, 1970. [Google Scholar]
- Wright, J. A New Model for Sea Clutter. IEEE Trans. Antennas Propag. 1968, 16, 217–223. [Google Scholar] [CrossRef]
- Valenzuela, G.R. Scattering of Electromagnetic Waves from a Tilted Slightly Rough Surface. Radio Sci. 1968, 3, 1057–1066. [Google Scholar] [CrossRef]
- Ruello, G.; Blanco, P.; Iodice, A.; Mallorqui, J.J.; Riccio, D.; Broquetas, A.; Franceschetti, G. Synthesis, Construction and Validation of a Fractal Surface. IEEE Trans. Geosci. Remote Sens. 2006, 44, 1403–1412. [Google Scholar]
- Ruello, G.; Blanco, P.; Iodice, A.; Mallorqui, J.J.; Riccio, D.; Broquetas, A.; Franceschetti, G. Measurement of the Electromagnetic Field Backscattered by a Fractal Surface for the Verification of Electromagnetic Scattering Models. IEEE Trans. Geosci. Remote Sens. 2010, 48, 1777–1787. [Google Scholar] [CrossRef]
- Oh, Y.; Sarabandi, K.; Ulaby, F.T. An Empirical Model and an Inversion Technique for Radar Scattering from Bare Soil Surfaces. IEEE Trans. Geosci. Remote Sens. 1992, 30, 370–381. [Google Scholar] [CrossRef]







Disclaimer/Publisher’s Note: The statements, opinions and data contained in all publications are solely those of the individual author(s) and contributor(s) and not of MDPI and/or the editor(s). MDPI and/or the editor(s) disclaim responsibility for any injury to people or property resulting from any ideas, methods, instructions or products referred to in the content. |
© 2023 by the authors. Licensee MDPI, Basel, Switzerland. This article is an open access article distributed under the terms and conditions of the Creative Commons Attribution (CC BY) license (https://creativecommons.org/licenses/by/4.0/).
Share and Cite
Iodice, A.; Di Martino, G.; Di Simone, A.; Riccio, D.; Ruello, G. Electromagnetic Scattering from Fractional Brownian Motion Surfaces via the Small Slope Approximation. Fractal Fract. 2023, 7, 387. https://doi.org/10.3390/fractalfract7050387
Iodice A, Di Martino G, Di Simone A, Riccio D, Ruello G. Electromagnetic Scattering from Fractional Brownian Motion Surfaces via the Small Slope Approximation. Fractal and Fractional. 2023; 7(5):387. https://doi.org/10.3390/fractalfract7050387
Chicago/Turabian StyleIodice, Antonio, Gerardo Di Martino, Alessio Di Simone, Daniele Riccio, and Giuseppe Ruello. 2023. "Electromagnetic Scattering from Fractional Brownian Motion Surfaces via the Small Slope Approximation" Fractal and Fractional 7, no. 5: 387. https://doi.org/10.3390/fractalfract7050387
APA StyleIodice, A., Di Martino, G., Di Simone, A., Riccio, D., & Ruello, G. (2023). Electromagnetic Scattering from Fractional Brownian Motion Surfaces via the Small Slope Approximation. Fractal and Fractional, 7(5), 387. https://doi.org/10.3390/fractalfract7050387
