On Reservoir Computing Approach for Digital Image Encryption and Forecasting of Hyperchaotic Finance Model
Abstract
1. Introduction
2. RC Model for the Forecasting of the Hyperchaotic Financial Time Series
- Step I
- Step II
- Step III
- Step IV
Procedure of Training the RC
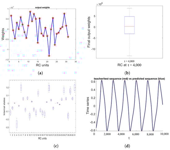
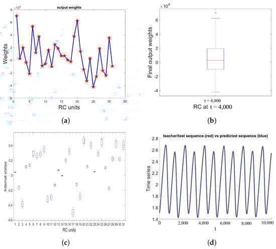
3. Numerical Simulations
4. The Proposed RC-Based Image Encryption Scheme
- Key Steps for the RC Encryption Algorithm
5. Security Analysis of the RC Encryption Scheme
5.1. The Histogram Analysis
5.2. Analysis of Key Space
5.3. Correlation Analysis
5.4. Information Entropy
5.5. Analysis of a Differential Attack
6. Conclusions
Author Contributions
Funding
Institutional Review Board Statement
Informed Consent Statement
Data Availability Statement
Acknowledgments
Conflicts of Interest
References
- Chen, L.P.; Yin, H.; Yuan, L.-G.; Lopes, A.M.; Machado, J.A.T.; Wu, R.C. A novel color image encryption algorithm based on a fractional-order discrete chaotic neural network and DNA sequence operations. Front. Inform. Technol. Elect. Eng. 2020, 21, 866–879. [Google Scholar] [CrossRef]
- Chen, Y.; Tang, C.; Ye, R. Cryptanalysis and improvement of medical image encryption using high-speed scrambling and pixel adaptive diffusion. Signal Process. 2020, 167, 107286. [Google Scholar] [CrossRef]
- Yu, C.; Li, J.; Li, X.; Ren, X.; Gupta, B.B. Four-image encryption scheme based on quaternion Fresnel transform, chaos and computer generated hologram. Multimed. Tools Appl. 2018, 77, 585–608. [Google Scholar] [CrossRef]
- Hamza, R.; Yan, Z.; Muhammad, K.; Bellavista, P.; Titouna, F. A privacy-preserving cryptosystem for IoT E-healthcare. Inf. Sci. 2020, 527, 493–510. [Google Scholar] [CrossRef]
- Zhang, Y.Q.; He, Y.; Li, P.; Wang, X.Y. A new color image encryption scheme based on 2DNLCML system and genetic operations. Opt. Lasers Eng. 2020, 128, 106040. [Google Scholar] [CrossRef]
- Gao, X.; Mou, J.; Xiong, L.; Sha, Y.; Yan, H.; Cao, Y. A fast and efficient multiple images encryption based on single-channel encryption and chaotic system. Nonlinear Dyn. 2022, 108, 613–636. [Google Scholar] [CrossRef]
- Elsadany, A.A.; Elsonbaty, A.; Hagras, E.A. Image encryption and watermarking in ACO-OFDM-VLC system employing novel memristive hyperchaotic map. Soft Comput. 2023, 12, 1–22. [Google Scholar] [CrossRef]
- Faster, R.C.N.N. Towards real-time object detection with region proposal networks. Adv. Neural. Inf. Process. Syst. 2015, 10, 2969239–2969250. [Google Scholar]
- Deng, L.; Li, J.; Huang, J.T.; Yao, K.; Yu, D.; Seide, F.; Seltzer, M.; Zweig, G.; He, X.; Williams, J.; et al. Recent advances in deep learning for speech research at Microsoft. In Proceedings of the IEEE International Conference on Acoustics, Speech and Signal Processing, Vancouver, BC, Canada, 26–31 May 2013; pp. 8604–8608. [Google Scholar]
- Chen, C.; Seff, A.; Kornhauser, A.; Xiao, J. Deepdriving: Learning affordance for direct perception in autonomous driving. In Proceedings of the IEEE International Conference on Computer Vision, Santiago, Chile, 1–18 December 2015; pp. 2722–2730. [Google Scholar] [CrossRef]
- Kang, M.J.; Kang, J.W. Deepdriving: Intrusion detection system using deep neural network for in-vehicle network security. PLoS ONE 2016, 11, e0155781. [Google Scholar]
- Lchen, Y.; Bengio, Y.; Hinton, G. Deep learning. Nature 2015, 521, 436–444. [Google Scholar]
- Hopfield, J.J. Neural networks and physical systems with emergent collective computational abilities. Proc. Nat. Acad. Sci. India Sect. A 1982, 79, 2554–2558. [Google Scholar] [CrossRef] [PubMed]
- Hochreiter, S.; Schmidhuber, J. Long short-term memory. Neural Comput. 1997, 9, 1735–1780. [Google Scholar] [CrossRef] [PubMed]
- Maass, W.; Natschläger, T.; Markram, H. Real-time computing without stable states: A new framework for neural computation based on perturbations. Neural Comput. 2002, 14, 2531–2560. [Google Scholar] [CrossRef] [PubMed]
- Jaeger, H. The Echo State Approach to Analysing and Training Recurrent Neural Networks-with an Erratum Note; German National Research Center for Information Technology GMD Technical Report; German National Research Center: Bonn, Germany, 2001; Volume 148, p. 13. [Google Scholar]
- Lukosevcius, M.; Jaeger, H.; Schrauwen, B. Reservoir computing trends. KI-KüNstliche Intell. 2012, 26, 365–371. [Google Scholar] [CrossRef]
- Lukosevcius, M.; Jaeger, H. Reservoir computing approaches to recurrent neural network training. Comput. Sci. Rev. 2009, 3, 127–149. [Google Scholar] [CrossRef]
- Tanaka, G.; Yamane, T.; Héroux, J.B.; Nakane, R.; Kanazawa, N.; Takeda, S.; Hirose, A. Recent advances in physical reservoir computing: A review. Neural Netw. 2019, 115, 100–123. [Google Scholar] [CrossRef]
- Schrauwen, B.; Verstraeten, D.; Van Campenhout, J. An overview of reservoir computing: Theory, applications and implementations. In Proceedings of the 15th European Symposium on Artificial Neural Networks, Bruges, Belgium, 25–27 April 2007; pp. 471–482. [Google Scholar]
- Gallicchio, G.; Micheli, A.; Pedrelli, L. Deep reservoir computing: A critical experimental analysis. Neurocomputing 2017, 268, 87–99. [Google Scholar] [CrossRef]
- Paugam-Moisy, H.; Martinez, R.; Bengio, S. Delay learning and polychronization for reservoir computing. Neurocomputing 2008, 71, 1143–1158. [Google Scholar] [CrossRef]
- Butcher, J.B.; Verstraeten, D.; Schrauwen, B.; Day, C.R.; Haycock, P.W. Reservoir computing and extreme learning machines for non-linear time-series data analysis. Neural Netw. 2013, 38, 76–89. [Google Scholar] [CrossRef]
- Jaeger, H.; Haas, H. Harnessing nonlinearity: Predicting chaotic systems and saving energy in wireless communication. Science 2004, 304, 78–80. [Google Scholar] [CrossRef]
- Liu, J.; Zhang, J.; Wang, Y. Secure communication via chaotic synchronization based on reservoir computing. IEEE Trans. Neural Netw. Learn. Syst. 2022, 1–15. [Google Scholar] [CrossRef] [PubMed]
- Ferreira, A.A.; Ludermir, T.B.; de Aquino, R.R.; Lira, M.M.; Neto, O.N. Investigating the use of reservoir computing for forecasting the hourly wind speed in short-term. In Proceedings of the IEEE International Joint Conference on Neural Network, Hong Kong, China, 1–8 June 2008; pp. 1649–1656. [Google Scholar]
- Escalona-Moran, M.A.; Soriano, M.C.; Fischer, I.; Mirasso, C.R. Electrocardiogram classification using reservoir computing with logistic regression. IEEE J. Biomed. Health Inform. 2014, 19, 892–898. [Google Scholar] [CrossRef] [PubMed]
- Jalalv, A.; Demuynck, K.; De Neve, W.; Martens, J.P. On the application of reservoir computing networks for noisy image recognition. Neurocomputing 2018, 277, 237–248. [Google Scholar] [CrossRef]
- Verstraeten, D.; Schrauwen, B.; Stroob, T.D. Reservoir-based techniques for speech recognition. In Proceedings of the IEEE International Joint Conference on Neural Network Proceedings, Vancouver, BC, Canada, 16–21 July 2006; pp. 1050–1053. [Google Scholar] [CrossRef]
- Martinenghi, R.; Rybalko, S.; Jacquot, M.; Chembo, Y.K.; Larger, L. Photonic nonlinear transient computing with multiple-delay wavelength dynamics. Phys. Rev. Lett. 2012, 108, 244101. [Google Scholar] [CrossRef] [PubMed]
- Vandoorne, K.; Mechet, P.; Van Vaerenbergh, T.; Fiers, M.; Morthier, G.; Verstraeten, D.; Schrauwen, B.; Dambre, J.; Bienstman, P. Experimental demonstration of reservoir computing on a silicon photonics chip. Nat. Comm. 2012, 5, 3541. [Google Scholar] [CrossRef] [PubMed]
- Antonik, P.; Duport, F.; Hermans, M.; Smerieri, A.; Haelterman, M.; Massar, S. Online training of an opto-electronic reservoir computer applied to real-time channel equalization. IEEE Trans. Neural Netw. Learn. Syst. 2016, 28, 2686–2698. [Google Scholar] [CrossRef]
- Du, C.; Cai, F.; Zidan, M.A.; Ma, W.; Lee, S.H.; Lu, W.D. Reservoir computing using dynamic memristors for temporal information processing. Nat. Comm. 2017, 8, 2204. [Google Scholar] [CrossRef]
- Moon, J.; Ma, W.; Shin, J.H.; Cai, F.; Du, C.; Lee, S.H.; Lu, W.D. Temporal data classification and forecasting using a memristor-based reservoir computing system. Nat. Electron. 2019, 2, 480–487. [Google Scholar] [CrossRef]
- Midya, R.; Wang, Z.; Asapu, S.; Zhang, X.; Rao, M.; Song, W.; Yang, J.J. Reservoir computing using diffusive memristors. Adv. Intell. Syst. 2019, 1, 1900084. [Google Scholar] [CrossRef]
- Yao, P.; Wu, H.; Gao, B.; Eryilmaz, S.B.; Huang, X.; Zhang, W.; Qian, H. Face classification using electronic synapses. Nat. Comm. 2017, 8, 15199. [Google Scholar] [CrossRef]
- Hu, M.; Graves, C.E.; Li, C.; Li, Y.; Ge, N.; Montgomery, E.; Strachan, J.P. Memristor-based analog computation and neural network classification with a dot product engine. Adv. Mater. 2018, 30, 1705914. [Google Scholar] [CrossRef]
- Yang, J.J.; Strukov, D.B.; Stewart, D.R. Memristive devices for computing. Nat. Nanotechnol. 2013, 8, 13–24. [Google Scholar] [CrossRef] [PubMed]
- Cai, F.; Correll, J.M.; Lee, S.H.; Lim, Y.; Bothra, V.; Zhang, Z.; Lu, W.D. A fully integrated reprogrammable memristor CMOS system for efficient multiply accumulate operations. Nat. Electro. 2019, 2, 290–299. [Google Scholar] [CrossRef]
- Wang, W.J.; Tang, Y.; Xiong, J.; Zhang, Y.C. Stock market index prediction based on reservoir computing models. Expert Syst. Appl. 2021, 178, 115022. [Google Scholar] [CrossRef]
- Budhiraja, R.; Kumar, M.; Das, M.K.; Bafila, A.S.; Singh, S. A reservoir computing approach for forecasting and regenerating both dynamical and time-delay controlled financial system behavior. PLoS ONE 2021, 16, e0246737. [Google Scholar] [CrossRef] [PubMed]
- Wyffels, F.; Schrauwen, B. A comparative study of reservoir computing strategies for monthly time series prediction. Neurocomputing 2010, 73, 1958–1964. [Google Scholar] [CrossRef]
- Gonon, L.; Grigoryea, L.; Ortega, J.P. Risk bounds for reservoir computing. Journal of Machine Learning Research. J. Mach. Learn. Res. 2020, 21, 9684–9744. [Google Scholar]
- Der Wang, T.; Wu, X.; Fyfe, C. Comparative, study, of, visualisation, methods, for, temporal, data. In Proceedings of the IEEE Congress on Evolutionary Computation, Brisbane, Australia, 10–15 June 2012; pp. 1–5. [Google Scholar] [CrossRef]
- Szuminski, W. Integrability analysis of chaotic and hyperchaotic finance systems. Nonlinear Dyn. 2018, 94, 443–459. [Google Scholar] [CrossRef]
- Yu, H.; Cai, G.; Li, Y. Dynamic analysis and control of a new hyperchaotic finance system. Nonlinear Dyn. 2012, 67, 2171–2182. [Google Scholar] [CrossRef]
- Vargas, J.A.; Grzeidak, E.; Hemerly, E.M. Robust adaptive synchronization of a hyperchaotic finance system. Nonlinear Dyn. 2015, 80, 239–248. [Google Scholar] [CrossRef]
- Cao, L. A four-dimensional hyperchaotic finance system and its control problems. J. Control Sci. Eng. 2018, 2018, 4976380. [Google Scholar] [CrossRef]
- Ding, J.; Yang, W.; Yao, H. A new modified hyperchaotic finance system and its control. Int. J. Nonlinear Sci. 2009, 8, 59–66. [Google Scholar]
- Chen, C.; Fan, T.; Wang, B. Inverse optimal control of hyperchaotic finance system. WJMS 2014, 10, 83–91. [Google Scholar]
- Tong, X.J.; Zhang, M.; Wang, Z.; Liu, Y.; Ma, J. An image encryption scheme based on a new hyperchaotic finance system. Optik 2015, 126, 2445–2452. [Google Scholar] [CrossRef]
- Kocamaz, U.E.; Göksu, A.; Uyaroglu, Y.; Taskin, H. Controlling hyperchaotic finance system with combining passive and feedback controllers. Inf. Technol. Control. 2018, 47, 45–55. [Google Scholar] [CrossRef]
- Jahanshai, H.; Yousefpour, A.; Wei, Z.; Alcaraz, R.; Bekiros, S. A financial hyperchaotic system with coexisting attractors: Dynamic investigation, entropy analysis, control and synchronization. Chaos Solitons Fractals 2019, 126, 66–77. [Google Scholar] [CrossRef]
- Hajipour, A.; Hajipour, M.; Baleanu, D. On the adaptive sliding mode controller for a hyperchaotic fractional-order financial system. Phys. A: Stat. Mech. Appl. 2018, 497, 139–153. [Google Scholar] [CrossRef]
- Chen, H.; Yu, L.; Wang, Y.; Guo, M. Synchronization of a hyperchaotic finance system. Complexity 2021, 2021, 6618435. [Google Scholar] [CrossRef]
- Bekiros, S.; Jahanshahi, H.; Bezzina, F.; Aly, A.A. A novel fuzzy mixed H2/H8 optimal controller for hyperchaotic financial systems. Chaos Solitons Fractals 2021, 146, 110878. [Google Scholar] [CrossRef]
- Kumar, S.; Prasad, R.P.; Pal, K.; Pal, M.P.; Singh, A. Synchronization of Fractional-Order Hyperchaotic Finance Systems Using Sliding Mode Control Techniques, IGI global. In Advanced Applications of Fractional Differential Operators to Science and Technology; IGI Global: Hershey, PA, USA, 2020; pp. 133–152. [Google Scholar]
- Lazopoulos, K.A.; Lazopoulos, A.K. Fractional vector calculus and fluid mechanics. J. Mech. Behav. Biomed. Mater. 2017, 26, 43–54. [Google Scholar] [CrossRef]
- Diouf, M.; Sene, N. Analysis of the financial chaotic model with the fractional derivative operator. Complexity 2020, 2020, 9845031. [Google Scholar] [CrossRef]
- Koeller, R. Applications of fractional calculus to the theory of viscoelasticity. J. Appl. Mecha. 1984, 51, 299–307. [Google Scholar] [CrossRef]
- Senthilkumar, V. Fractional Derivative Analysis of Wave Propagation Studies Using Eringen’s Nonlocal Model with Elastic Medium Support. J. Vib. Eng. Technol. 2022, 1–9. [Google Scholar] [CrossRef]
- Sierociuk, D.; Skovranek, T.; Macias, M.; Podlubny, I.; Petras, I.; Dzielinski, A.; Ziubinski, P. Diffusion process modeling by using fractional-order models. Appl. Math. Comput. 2015, 257, 2–11. [Google Scholar] [CrossRef]
- Chimmula, V.; Zhang, L. Time series forecasting of COVID-19 transmission in Canada using LSTM networks. Chaos Solitons Fractals 2020, 135, 109864. [Google Scholar] [CrossRef] [PubMed]
- Elsheikh, A.H.; Saba, A.I.; Elaziz, M.A.; Lu, S.; Shanmugan, S.; Muthuramalingam, T.; Kumar, R.; Mosleh, A.O.; Essa, F.A.; Shehabeldeen, T.A. Deep learning-based forecasting model for COVID-19 outbreak in Saudi Arabia. Process. Saf. Environ. Prot. 2021, 149, 223–233. [Google Scholar] [CrossRef] [PubMed]
- Al-Khedhairi, A.; Elsonbaty, A.; Elsadany, A.A.; Hagras, E.A. Hybrid cryptosystem based on pseudo chaos of novel fractional order map and elliptic curves. IEEE Access 2020, 8, 57733–57748. [Google Scholar] [CrossRef]
- Zhang, Y.Q.; Wang, X.Y. A symmetric image encryption algorithm based on mixed linear–nonlinear coupled map lattice. Inform. Sci. 2014, 273, 329–351. [Google Scholar] [CrossRef]
- Lin, Z.; Yu, S.; Feng, X.; Lü, J. Cryptanalysis of a chaotic stream cipher and its improved scheme. IJBC 2018, 28, 1850086. [Google Scholar] [CrossRef]
- Xiao, D.; Liao, X.; Wei, P. Analysis and improvement of a chaos-based image encryption algorithm. Chaos Solitons Fractals 2009, 40, 2191–2199. [Google Scholar] [CrossRef]
- Li, C.; Lin, D.; Feng, B.; Lü, J.; Hao, F. Cryptanalysis of a chaotic image encryption algorithm based on information entropy. IEEE Access 2018, 6, 75834–75842. [Google Scholar] [CrossRef]




















| Predicted Series | RMSE (Suggested RC) | RMSE (LSTM) | Execution Time (RC) | Execution Time (LSTM) |
|---|---|---|---|---|
| u(t), | 0.010302 | 2.1758 | 0.8–0.9 | 55–63 |
| v(t), | 0.015974 | 1.7028 | 0.8–0.9 | 55–63 |
| w(t), | 0.022054 | 1.8142 | 0.8–0.9 | 55–63 |
| z(t), | 0.018673 | 1.9533 | 0.8–0.9 | 55–63 |
| u(t), | 0.0007084 | 1.5214 | 0.8–0.9 | 55–63 |
| v(t), | 0.00068142 | 1.5003 | 0.8–0.9 | 55–63 |
| w(t), | 0.00065223 | 1.6287 | 0.8–0.9 | 55–63 |
| z(t), | 0.0095651 | 1.4169 | 0.8–0.9 | 55–63 |
| u(t), | 0.0002302 | 1.2514 | 0.8–0.9 | 55–63 |
| v(t), | 0.00079411 | 1.2210 | 0.8–0.9 | 55–63 |
| w(t), | 0.00032459 | 1.3018 | 0.8–0.9 | 55–63 |
| z(t), | 0.00022052 | 1.1074 | 0.8–0.9 | 55–63 |
| Variance | ||||
|---|---|---|---|---|
| Plain | Encrypted | Reduction (%) | ||
| Red | 176,920 | 349.142 | 99.8027 | |
| Baboon | Green | 348,200 | 514.235 | 99.8524 |
| Blue | 188,610 | 374.423 | 99.8017 | |
| Red | 520,530 | 775.473 | 99.8511 | |
| Pepper | Green | 695,920 | 659.471 | 99.9082 |
| Blue | 1,122,000 | 690.532 | 99.9385 | |
| Red | 440,620 | 597.405 | 99.8645 | |
| House | Green | 756,780 | 728.218 | 99.9038 |
| Blue | 577,050 | 747.452 | 99.8705 | |
| Correlation Coefficients | |||||
|---|---|---|---|---|---|
| Horizontal | Vertical | Diagonal | |||
| Red | Plain | 0.9193 | 0.864 | 0.8403 | |
| Cipher | 0.0004 | 0.0025 | 0.0006 | ||
| Baoon | Green | Plain | 0.8795 | 0.7997 | 0.7628 |
| Cipher | 0.00052 | 0.0004 | 0.001 | ||
| Blue | Plain | 0.9285 | 0.8827 | 0.8597 | |
| Cipher | 0.0007 | 0.0008 | 0.0001 | ||
| Red | Plain | 0.9681 | 0.9703 | 0.9519 | |
| Cipher | 0.0001 | 0.00002 | 0.0006 | ||
| Pepper | Green | Plain | 0.9786 | 0.979 | 0.9616 |
| Cipher | 0.0003 | 0.0019 | 0.0002 | ||
| Blue | Plain | 0.9654 | 0.9643 | 0.9414 | |
| Cipher | 0.0013 | 0.0008 | 0.0005 | ||
| Red | Plain | 0.9484 | 0.9467 | 0.9087 | |
| Cipher | 0.0003 | 0.0001 | 0.0004 | ||
| House | Green | Plain | 0.9286 | 0.9481 | 0.8893 |
| Cipher | 0.0003 | 0.0002 | 0.0003 | ||
| Blue | Plain | 0.9704 | 0.9718 | 0.9472 | |
| Cipher | 0.0006 | 0.0003 | 0.0006 | ||
| Plain | Red | Green | Blue |
|---|---|---|---|
| Baboon | 7.9995 | 7.9994 | 7.9996 |
| Pepper | 7.9997 | 7.9998 | 7.9995 |
| House | 7.9995 | 7.9996 | 7.9998 |
| Image | NPCR (%) | UACI (%) | |
|---|---|---|---|
| Red | 99.621 | 33.559 | |
| Baboon | Green | 99.635 | 33.534 |
| Blue | 99.631 | 33.541 | |
| Red | 99.647 | 33.512 | |
| Pepper | Green | 99.617 | 33.539 |
| Blue | 99.611 | 33.545 | |
| Red | 99.618 | 33.531 | |
| House | Green | 99.607 | 33.522 |
| Blue | 99.616 | 33.562 |
| Work | Key Space | UACI | NPCR | Max. Corr. Coeff. | TVP |
|---|---|---|---|---|---|
| Present work | Larger than | 33.534 | 99.621 | 0.0025 | YES |
| [3] | 32.480 | 99.57 | 0.0210 | NO | |
| [4] | 31.572 | 99.65 | 0.0024 | NO | |
| [5] | 33.452 | 99.607 | 0.0082 | NO | |
| [6] | 33.481 | 99.61 | 0.0021 | NO | |
| [7] | 33.464 | 99.679 | 0.0013 | NO |
Disclaimer/Publisher’s Note: The statements, opinions and data contained in all publications are solely those of the individual author(s) and contributor(s) and not of MDPI and/or the editor(s). MDPI and/or the editor(s) disclaim responsibility for any injury to people or property resulting from any ideas, methods, instructions or products referred to in the content. |
© 2023 by the authors. Licensee MDPI, Basel, Switzerland. This article is an open access article distributed under the terms and conditions of the Creative Commons Attribution (CC BY) license (https://creativecommons.org/licenses/by/4.0/).
Share and Cite
Elsonbaty, A.; Elsadany, A.A.; Adel, W. On Reservoir Computing Approach for Digital Image Encryption and Forecasting of Hyperchaotic Finance Model. Fractal Fract. 2023, 7, 282. https://doi.org/10.3390/fractalfract7040282
Elsonbaty A, Elsadany AA, Adel W. On Reservoir Computing Approach for Digital Image Encryption and Forecasting of Hyperchaotic Finance Model. Fractal and Fractional. 2023; 7(4):282. https://doi.org/10.3390/fractalfract7040282
Chicago/Turabian StyleElsonbaty, Amr, A. A. Elsadany, and Waleed Adel. 2023. "On Reservoir Computing Approach for Digital Image Encryption and Forecasting of Hyperchaotic Finance Model" Fractal and Fractional 7, no. 4: 282. https://doi.org/10.3390/fractalfract7040282
APA StyleElsonbaty, A., Elsadany, A. A., & Adel, W. (2023). On Reservoir Computing Approach for Digital Image Encryption and Forecasting of Hyperchaotic Finance Model. Fractal and Fractional, 7(4), 282. https://doi.org/10.3390/fractalfract7040282

