Dynamics and Stability of a Fractional-Order Tumor–Immune Interaction Model with B-D Functional Response and Immunotherapy
Abstract
1. Introduction
2. Uniqueness and Nonnegativity of Solutions
- (i)
- If , , and , there is and . When , it is known that , and . From the third equation of model (Equation (1)), we can derive and then with . The Mittag–Leffler function is and with [16]. We know that the Mittag–Leffler function is positive in [11,14,15], then . By using the standard comparison theorem [9,17], we obtain for all , and , which contradicts the hypothesis. The same can be said for the following two cases:
- (ii)
- Suppose that , and , there is and . When , it is known that , , and . From the second equation of the model (Equation (1)), we can derive and then with . Then, we obtain for all , and , which contradicts the hypothesis.
- (iii)
- Suppose that , , and , there is and . When , it is known that , , and . From the first equation of model (Equation (1)), we can derive and then with . Then, we obtain for all , and , which contradicts the hypothesis. □
3. Equilibria and Stability
- (i)
- , if and ,
- (ii)
- , if and , tumor treatment by an external source of effector cells,
- (iii)
- , if and ,
- (iv)
- , if , and , tumor treatment by an external source of effector cells with an external input of IL-2 into the model (Equation (1)).
- (i)
- If, then equilibrium pointis a local asymptotic stability.
- (ii)
- If, then equilibrium pointis a saddle point and unstable.
- (i)
- Ifand, then equilibriumis a local asymptotic stability.
- (ii)
- Ifor, then equilibriumis a saddle point and unstable.
- (i)
- (ii)
- (iii)
- .
4. Numerical Simulations
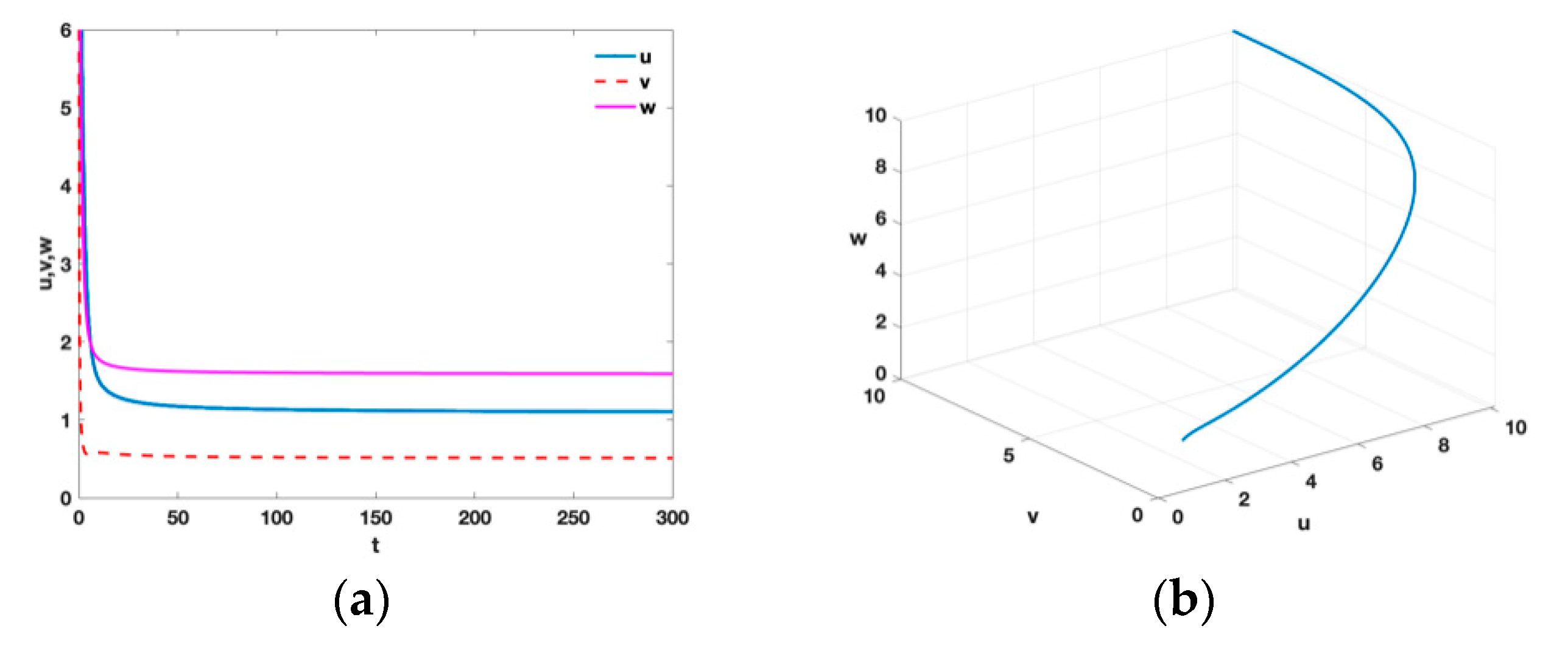
- (i)
- From Theorem 3, it follows that when and , there is a realistic tumor-free equilibrium with , , , , , , , , , , and . It can be observed in Figure 1 that the tumor-free equilibrium is locally asymptotically stable and it remains that the tumor is curable by using ACI therapy or ACI therapy and IL-2.
- (ii)
- According to Theorem 4, we take and , and there exists the tumor-free equilibrium . See Figure 2; is locally asymptotically stable and remains that the tumor is curable by ACI therapy and the external input of IL-2 into the model (Equation (1)).
- (iii)
- From Figure 3, it is easy to see that as tumor cells of and are destroyed more quickly, the greater value of . It is clearly known that the fractional-order parameter has a stabilization effect.
- (iv)
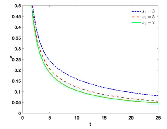
- When and , this refers to the injection of external effector cells to destroy the tumor cells. From Figure 4, it follows that as the speed of tumor elimination becomes larger, the value of becomes larger. However, as the number increases, the change becomes less and less obvious. Which means that there is also a critical value when the value is selected.
- (v)
- When and , this indicates tumor therapy by external effector cells. When and , this indicates tumor therapy by external effector cells and external input of IL-2 into the model (Equation (1)). This shows that the injection of external IL-2 enhanced the speed of tumor extinction in Figure 5.
- (vi)
- In order to investigate the impact of external input of IL-2 into the model (Equation (1)) with different positive values, Figure 6 indicates that with a larger value of and the same value of , the speed of tumor extinction will be larger. Moreover, there is also a critical value when the value is selected.
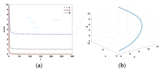
- (vii)
- From Theorem 5, the tumor is incurable. However, immunotherapy can achieve an effective and stable tumor control. There is an equilibrium with , , , , , , , , , , and . Figure 7 shows that the unique positive equilibrium is locally asymptotically stable.
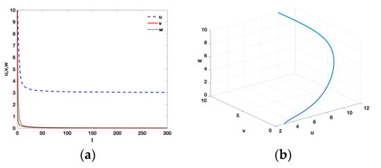
- (viii)
- From Theorem 7, the tumor cells will be incurable. Figure 8 indicates that the unique positive equilibrium is always present and stable when the positive initial conditions are different; this shows that the tumor cells cannot be permanently eradicated.
- (ix)
- In order to illustrate the expediency of using the fractal approach in comparison with the integer approach, Figure 9 shows that the integer approach is not practical, and the tumor cells are still growing with , but the fractional approach is more realistic at this point and the number of tumor cells drops dramatically.
5. Conclusions
Author Contributions
Funding
Data Availability Statement
Acknowledgments
Conflicts of Interest
References
- Kawaguchi, K.; Maeshima, Y.; Toi, M. Tumor immune microenvironment and modelic response in breast cancer. Med. Oncol. 2022, 19, 1–10. [Google Scholar]
- Wu, Z.; Zhang, C.; Najafi, M. Targeting of the tumor immune microenvironment by metformin. J. Cell Commun. Signal. 2021, 16, 333–348. [Google Scholar] [CrossRef] [PubMed]
- Bashkirtseva, I.; Chukhareva, A.; Ryashko, L. Modeling and analysis of nonlinear tumor-immune interaction under chemotherapy and radiotherapy. Math. Methods Appl. Sci. 2021, 45, 7983–7991. [Google Scholar] [CrossRef]
- Lee, H.; Na, K.J.; Choi, H. Didderences in Tumor Immune Microenvironment in Matastatic Sites of Breast Cancer. Front. Oncol. 2021, 11, 722. [Google Scholar]
- Ko, W.; Ahn, I. Stationary patterns and stability in a tumor-immune interaction model with immunotherapy. J. Math. Anal. Appl. 2011, 383, 307–329. [Google Scholar] [CrossRef]
- Han, L.; Messan, M.R.; Yogurtcu, O.N.; Nukala, U.; Yang, H. Analysis of tumor-immune functional responses in a mathematical model of neoantigen cancer vaccines. Math. Biosci. 2023, 356, 108966. [Google Scholar] [CrossRef] [PubMed]
- Zhou, Q.; Yan, Y.; Li, Y.; Fu, H.; Lu, D.; Li, Z.; Wang, Y.; Wang, J.; Zhu, H.; Ren, J.; et al. Tumor-derived extracellular vesicles in melanoma immune response and immunotherapy. Biomed. Pharmacother. 2022, 156, 113790. [Google Scholar] [CrossRef] [PubMed]
- Kirschner, D.; Panetta, J.C. Modeling immunotherapy of the tumor—Immune interaction. J. Math. Biol. 1998, 37, 235–252. [Google Scholar] [CrossRef] [PubMed]
- Yang, W.; Feng, X.; Liang, S.; Wang, X. Asymptotic Behavior Analysis of a Fractional-Order Tumor-Immune Interaction Model with Immunotherapy. Complexity 2020, 2020, 7062957. [Google Scholar] [CrossRef]
- Petráš, I. Fractional-Order Nonlinear Models: Modeling, Analysis and Simulation; Springer Science & Business Media: Berlin, Germany, 2011. [Google Scholar]
- Kilbas, A.A.A.; Srivastava, H.M.; Trujillo, J.J. Theory and Applications of Fractional Differential Equations; Elsevier Science Limited: Amsterdam, The Netherlands, 2006; Volume 204. [Google Scholar]
- Beddington, J.R. Mutual Interference Between Parasites or Predators and its Effect on Searching Efficiency. J. Anim. Ecol. 1975, 44, 331. [Google Scholar] [CrossRef]
- DeAngelis, D.; Goldstein, R.A.; Neill, R.V.O. A model for trophic interaction. Ecology 1975, 56, 881–892. [Google Scholar] [CrossRef]
- Li, H.-L.; Zhang, L.; Hu, C.; Jiang, Y.-L.; Teng, Z. Dynamical analysis of a fractional-order predator-prey model incorporating a prey refuge. J. Appl. Math. Comput. 2016, 54, 435–449. [Google Scholar] [CrossRef]
- Li, Y.; Chen, Y.; Podlubny, I. Stability of fractional-order nonlinear dynamic models: Lyapunov direct method and generalized Mittag-Leffler stability. Comput. Math. Appl. 2010, 59, 1810–1821. [Google Scholar] [CrossRef]
- Choi, S.K.; Kang, B.; Koo, N. Stability for caputo fractional differential model. Abstr. Appl. Anal. 2014, 2014, 631419. [Google Scholar] [CrossRef]
- Pao, C.V. Nonlinear Parabolic and Elliptic Equations; Plenum Press: New York, NY, USA, 1992. [Google Scholar]
- Clark, R.N. The Routh-Hurwitz stability criterion, revisited. IEEE Control Syst. 1992, 12, 119–120. [Google Scholar] [CrossRef]
- Vargas-De-León, C. Voletrra-type Lyapunov functions for fractional-order epidemic systems. Commun. Nonlinear Sci. Numer. Simul. 2015, 24, 75–85. [Google Scholar] [CrossRef]
- Aguila-Camacho, N.; Duarte-Mermoud, M.A.; Gallegos, J.A. Lyapunov functions for fractional order systems. Commun. Nonlinear Sci. Numer. Simul. 2014, 19, 2951–2957. [Google Scholar] [CrossRef]
- Diethelm, K.; Ford, N.J.; Freed, A.D. A Predictor-Corrector Approach for the Numerical Solution of Fractional Differential Equations. Nonlinear Dyn. 2002, 29, 3–22. [Google Scholar] [CrossRef]
- Garrappa, R. Trapezoidal methods for fractional differential equations: Theoretical and computational aspects. Math. Comput. Simul. 2013, 110, 96–112. [Google Scholar] [CrossRef]









Disclaimer/Publisher’s Note: The statements, opinions and data contained in all publications are solely those of the individual author(s) and contributor(s) and not of MDPI and/or the editor(s). MDPI and/or the editor(s) disclaim responsibility for any injury to people or property resulting from any ideas, methods, instructions or products referred to in the content. |
© 2023 by the authors. Licensee MDPI, Basel, Switzerland. This article is an open access article distributed under the terms and conditions of the Creative Commons Attribution (CC BY) license (https://creativecommons.org/licenses/by/4.0/).
Share and Cite
Feng, X.; Liu, M.; Jiang, Y.; Li, D. Dynamics and Stability of a Fractional-Order Tumor–Immune Interaction Model with B-D Functional Response and Immunotherapy. Fractal Fract. 2023, 7, 200. https://doi.org/10.3390/fractalfract7020200
Feng X, Liu M, Jiang Y, Li D. Dynamics and Stability of a Fractional-Order Tumor–Immune Interaction Model with B-D Functional Response and Immunotherapy. Fractal and Fractional. 2023; 7(2):200. https://doi.org/10.3390/fractalfract7020200
Chicago/Turabian StyleFeng, Xiaozhou, Mengyan Liu, Yaolin Jiang, and Dongping Li. 2023. "Dynamics and Stability of a Fractional-Order Tumor–Immune Interaction Model with B-D Functional Response and Immunotherapy" Fractal and Fractional 7, no. 2: 200. https://doi.org/10.3390/fractalfract7020200
APA StyleFeng, X., Liu, M., Jiang, Y., & Li, D. (2023). Dynamics and Stability of a Fractional-Order Tumor–Immune Interaction Model with B-D Functional Response and Immunotherapy. Fractal and Fractional, 7(2), 200. https://doi.org/10.3390/fractalfract7020200
