Analytical Computational Scheme for Multivariate Nonlinear Time-Fractional Generalized Biological Population Model
Abstract
1. Introduction
- If , then FBPM (1) reduces to Malthusian law [25] and constant;
- If , then FBPM (1) reduces to Verhulst law [24] and positive constants;
- If , then FBPM (1) reduces to porous media [26], positive constants, and.
2. Preliminary Mathematical Concepts
- .
- .
- , for any.
- .
3. Principle of the Laplace FPSM
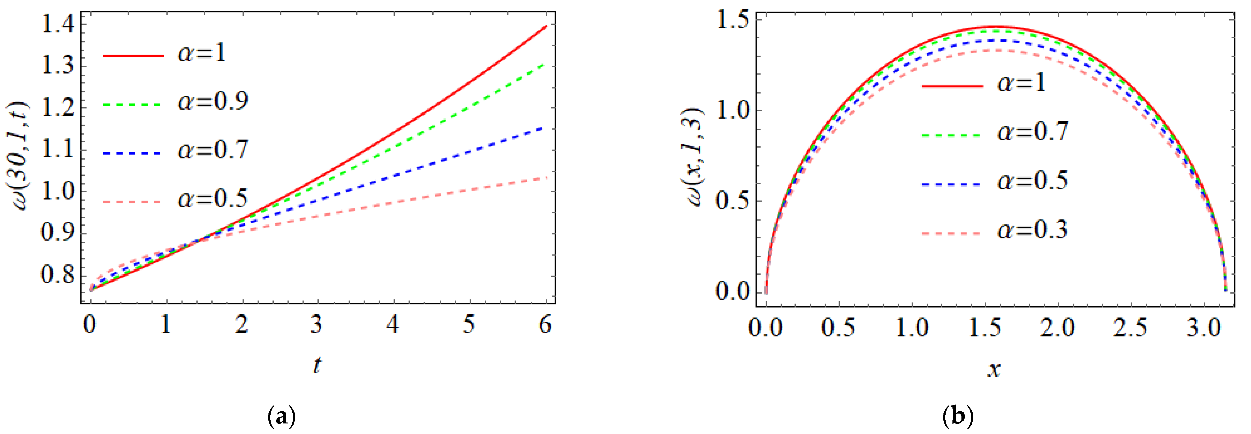
4. Applications
5. Conclusions
Author Contributions
Funding
Data Availability Statement
Conflicts of Interest
References
- Mainardi, F.; Raberto, M.; Gorenflo, R.; Scalas, E. Fractional calculus and continuous-time finance II: The waiting-time distribution. Phys. A Stat. Mech. Its Appl. 2000, 287, 468–481. [Google Scholar] [CrossRef]
- Oldham, K.B.; Spanier, J. The Fractional Calculus. Integrations and Differentiations of Arbitrary Order; Academic Press: Cambridge, MA, USA, 1974. [Google Scholar]
- Podlubny, I. Fractional Differential Equations; Academic Press: Cambridge, MA, USA, 1999. [Google Scholar]
- Atangana, A.; Baleanu, D. New fractional derivatives with nonlocal and non-sin- gular kernel: Theory and application to heat transfer model. Therm. Sci. 2016, 20, 763–769. [Google Scholar] [CrossRef]
- Doungmo Goufo, E.F.; Kumar, S.; Mugisha, S.B. Similarities in a fifth-order evolution equation with and with no singular kernel. ChaosSolitons Fractals 2020, 130, 109467. [Google Scholar] [CrossRef]
- Ghanbari, B.; Kumar, S.; Kumar, R. A study of behaviour for immune and tumor cells in immunogenetic tumour model with non-singular fractional derivative. ChaosSolitons Fractals 2020, 133, 109619. [Google Scholar] [CrossRef]
- Khan, A.M.; Purohit, S.D.; Dave, S.; Suthar, D.L. Fractional mathematical modelling of degradation of dye in textile effluents. Math. Eng. Sci. Aerosp. 2021, 12, 733–741. [Google Scholar]
- Alabedalhadi, M.; Al-Smadi, M.; Abu Arqub, O.; Baleanu, D.; Momani, S. Structure of optical soliton solution for nonlinear resonant space-time Schrödinger equation in conformable sense with full nonlinearity term. Phys. Scr. 2020, 95, 105215. [Google Scholar] [CrossRef]
- Erturk, V.S.; Alomari, A.K.; Kumar, P.; Murillo-Arcila, M. Analytic solution for the strongly nonlinear multi-order fractional version of a BVP occurring in chemical reactor theory. Discret. Dyn. Nat. Soc. 2022, 2022, 8655340. [Google Scholar] [CrossRef]
- Jleli, M.; Kumar, S.; Kumar, R.; Samet, B. Analytical approach for time fractional wave equations in the sense of Yang-Abdel-Aty-Cattani via the homotopy perturbation transform method. Alex. Eng. J. 2020, 59, 2859–2863. [Google Scholar] [CrossRef]
- Jaradat, A.; Noorani, M.S.M.; Alquran, M.; Jaradat, H.M. A novel method for solving caputo-time-fractional dispersive long wave wu-zhang system. Nonlinear Dyn. Syst. Theory 2018, 18, 182–190. [Google Scholar]
- Al-Smadi, M.; Abu Arqub, O.; Zeidan, D. Fuzzy fractional differential equations under the Mittag-Leffler kernel differential operator of the ABC approach: Theorems and applications. Chaos Solitons Fractals 2021, 146, 110891. [Google Scholar] [CrossRef]
- Alaroud, M.; Al-Smadi, M.; Ahmad, R.R.; Salma Din, U.K. Computational optimization of residual power series algorithm for certain classes of fuzzy fractional differential equations. Int. J. Differ. Equ. 2018, 2018, 8686502. [Google Scholar] [CrossRef]
- Al-Smadi, M. Fractional residual series for conformable time-fractional Sawada–Kotera–Ito, Lax, and Kaup–Kupershmidt equations of seventh order. Math. Methods Appl. Sci. 2021. Early View. [Google Scholar] [CrossRef]
- Abassy, T.A.; El-Tawil, M.A.; El-Zoheiry, H. Toward a modified variational iteration method. J. Comput. Appl. Math. 2007, 207, 137–147. [Google Scholar] [CrossRef]
- Wazwaz, A.M. The variational iteration method for solving linear and nonlinear ODEs and scientific models with variable coefficients. Cent. Eur. J. Eng. 2014, 4, 64–71. [Google Scholar] [CrossRef]
- Shi, J.; Zhang, N.; Liu, X. A novel fractional wavelet transform and its applications. Sci. China Inf. Sci. 2012, 55, 1270–1279. [Google Scholar] [CrossRef]
- Liao, S. Homotopy Analysis Method in Nonlinear Differential Equations; Higher Education Press: Beijing, China, 2012. [Google Scholar]
- Arafa, A.A.M.; Rida, S.Z.; Mohamed, H. Homotopy analysis method for solving biological population model. Commun. Theor. Phys. 2011, 56, 797. [Google Scholar] [CrossRef]
- Shqair, M.; Alabedalhadi, M.; Al-Omari, S.; Al-Smadi, M. Abundant Exact travelling wave solutions for a fractional massive thirring model using extended Jacobi elliptic function method. Fractal Fract. 2022, 6, 252. [Google Scholar] [CrossRef]
- Aljarrah, H.; Alaroud, M.; Ishak, A.; Darus, M. Adaptation of residual-error series algorithm to handle fractional system of partial differential equations. Mathematics 2021, 9, 2868. [Google Scholar] [CrossRef]
- Bataineh, M.; Alaroud, M.; Al-Omari, S.; Agarwal, P. Series Representations for Uncertain Fractional IVPs in the Fuzzy Conformable Fractional Sense. Entropy 2021, 23, 1646. [Google Scholar] [CrossRef]
- Al-Smadi, M.; Abu Arqub, O.; Hadid, S. Approximate solutions of nonlinear fractional Kundu-Eckhaus and coupled fractional massive Thirring equations emerging in quantum field theory using conformable residual power series method. Phys. Scr. 2020, 95, 105205. [Google Scholar] [CrossRef]
- Lu, Y.G. Hölder estimates of solutions of biological population equations. Appl. Math. Lett. 2000, 13, 123–126. [Google Scholar] [CrossRef]
- Gurtin, M.E.; MacCamy, R.C. On the diffusion of biological populations. Math. Biosci. 1977, 33, 35–49. [Google Scholar] [CrossRef]
- Bear, J. Dynamics of Fluids in Porous Media; American Elsevier: New York, NY, USA, 1972. [Google Scholar]
- Shakeri, F.; Dehghan, M. Numerical solution of a biological population model using He’s variational iteration method. Comput. Math. Appl. 2007, 54, 1197–1209. [Google Scholar] [CrossRef]
- Singh, B.K. A novel approach for numeric study of 2D biological population model. Cogent Math. 2016, 3, 1261527. [Google Scholar] [CrossRef]
- Srivastava, V.K.; Kumar, S.; Awasthi, M.K.; Singh, B.K. Two-dimensional time fractional-order biological population model and its analytical solution. Egypt. J. Basic Appl. Sci. 2014, 1, 71–76. [Google Scholar] [CrossRef]
- Roul, P. Application of homotopy perturbation method to biological population model. Appl. Appl. Math. Int. J. 2010, 5, 272–281. [Google Scholar]
- El-Ajou, A. Adapting the Laplace transform to create solitary solutions for the nonlinear time-fractional dispersive PDEs via a new approach. Eur. Phys. J. Plus. 2021, 136, 229. [Google Scholar] [CrossRef]
- Amryeen, R.; Harun, F.N.; Al-Smadi, M.; Alias, A. Adaptation of conformable residual series algorithm for solving temporal fractional gas dynamics models. Arab J. Basic Appl. Sci. 2022, 29, 65–76. [Google Scholar]
- Aljarrah, H.; Alaroud, M.; Ishak, A.; Darus, M. A Novel Analytical LRPSM for Solving Nonlinear Systems of FPDEs. Fractal Fract. 2022, 6, 650. [Google Scholar] [CrossRef]
- Aljarrah, H.; Alaroud, M.; Ishak, A.; Darus, M. Approximate solution of nonlinear time-fractional PDEs by Laplace residual power series method. Mathematics 2022, 10, 1980. [Google Scholar] [CrossRef]
- Burqan, A.; El-Ajou, A.; Saadeh, R.; Al-Smadi, M. A new efficient technique using Laplace transforms and smooth expansions to construct a series solution to the time-fractional Navier-Stokes equations. Alex. Eng. J. 2022, 61, 1069–1077. [Google Scholar] [CrossRef]
- Al-Zhour, Z.; El-Ajou, A.; Oqielat, M.A.N.; Al-Oqily, O.N.; Salem, S.; Imran, M. Effective approach to construct series solutions for uncertain fractional differential equations. Fuzzy Inf. Eng. 2022. Published online. [Google Scholar] [CrossRef]
- Prakasha, D.G.; Veeresha, P.; Baskonus, H.M. Residual power series method for fractional Swift–Hohenberg equation. Fractal Fract. 2019, 3, 9. [Google Scholar] [CrossRef]
- Alaroud, M.; Al-Smadi, M.; Rozita Ahmad, R.; Salma Din, U.K. An analytical numerical method for solving fuzzy fractional Volterra integro-differential equations. Symmetry 2019, 11, 205. [Google Scholar] [CrossRef]






| Exact | 6th-FSS | |||
|---|---|---|---|---|
| Disclaimer/Publisher’s Note: The statements, opinions and data contained in all publications are solely those of the individual author(s) and contributor(s) and not of MDPI and/or the editor(s). MDPI and/or the editor(s) disclaim responsibility for any injury to people or property resulting from any ideas, methods, instructions or products referred to in the content. | 
© 2023 by the authors. Licensee MDPI, Basel, Switzerland. This article is an open access article distributed under the terms and conditions of the Creative Commons Attribution (CC BY) license (https://creativecommons.org/licenses/by/4.0/).
Share and Cite
Alaroud, M.; Alomari, A.-K.; Tahat, N.; Ishak, A. Analytical Computational Scheme for Multivariate Nonlinear Time-Fractional Generalized Biological Population Model. Fractal Fract. 2023, 7, 176. https://doi.org/10.3390/fractalfract7020176
Alaroud M, Alomari A-K, Tahat N, Ishak A. Analytical Computational Scheme for Multivariate Nonlinear Time-Fractional Generalized Biological Population Model. Fractal and Fractional. 2023; 7(2):176. https://doi.org/10.3390/fractalfract7020176
Chicago/Turabian StyleAlaroud, Mohammad, Abedel-Karrem Alomari, Nedal Tahat, and Anuar Ishak. 2023. "Analytical Computational Scheme for Multivariate Nonlinear Time-Fractional Generalized Biological Population Model" Fractal and Fractional 7, no. 2: 176. https://doi.org/10.3390/fractalfract7020176
APA StyleAlaroud, M., Alomari, A.-K., Tahat, N., & Ishak, A. (2023). Analytical Computational Scheme for Multivariate Nonlinear Time-Fractional Generalized Biological Population Model. Fractal and Fractional, 7(2), 176. https://doi.org/10.3390/fractalfract7020176
 
        



 
       