Next Article in Journal
Applications of Fractional Differential Operator to Subclasses of Uniformly q-Starlike Functions
Next Article in Special Issue
Application of Riemann–Liouville Derivatives on Second-Order Fractional Differential Equations: The Exact Solution
Previous Article in Journal
Modeling and Initialization of Nonlinear and Chaotic Fractional Order Systems Based on the Infinite State Representation
 
 
Font Type:
Arial Georgia Verdana
Font Size:
Aa Aa Aa
Line Spacing:
Column Width:
Background:
Article

Fractional-Order Zener Model with Temperature-Order Equivalence for Viscoelastic Dampers

1
School of Civil and Hydraulic Engineering, Hefei University of Technology, Hefei 230009, China
2
School of Electrical Engineering and Automation, Hefei University of Technology, Hefei 230009, China
3
LAETA/INEGI, Faculty of Engineering, University of Porto, Rua Dr. Roberto Frias, 4200-465 Porto, Portugal
4
School of Mathematics, Anhui University, Hefei 230601, China
*
Author to whom correspondence should be addressed.
Fractal Fract. 2023, 7(10), 714; https://doi.org/10.3390/fractalfract7100714
Submission received: 1 September 2023 / Revised: 23 September 2023 / Accepted: 26 September 2023 / Published: 28 September 2023
(This article belongs to the Special Issue Fractional Mathematical Modelling: Theory, Methods and Applications)

Abstract

:
Viscoelastic (VE) dampers show good performance in dissipating energy, being widely used for reducing vibration in engineering structures caused by earthquakes and winds. Experimental studies have shown that ambient temperature has great influence on the mechanical behavior of VE dampers. Therefore, it is important to accurately model VE dampers considering the effect of temperature. In this paper, a new fractional-order Zener (AEF-Zener) model of VE dampers is proposed. Firstly, the important influence of fractional orders on the energy dissipation ability of materials is analyzed. Secondly, an equivalent AEF-Zener model is developed that incorporates the ambient temperature and fractional-order equivalence principle. Finally, the chaotic fractional-order particle swarm optimization (CFOPSO) algorithm is used to determine the model’s parameters. The accuracy of the AEF-Zener model is verified by comparing model simulations with experimental results. This study is helpful for designing and analyzing vibration reduction techniques for civil structures with VE dampers under the influence of temperature.

1. Introduction

Earthquakes and wind are among the most catastrophic natural hazards that affect civil engineering structures. Therefore, developing new strategies for protecting building structures from damage caused by disasters has become a very important research topic [1,2]. In recent years, several control methods have been proposed to reduce structural vibrations in civil engineering structures, such as active [3,4], semi-active [5], passive [6,7], and hybrid vibration control [8]. Among them, passive control has been broadly used [9,10]. Indeed, passive vibration control devices emerged as a promising solution, and VE dampers became widely applied in building structures due to their relatively low cost and good energy dissipation performance [11].
Research on VE damping systems focuses on three main aspects, namely (i) development of VE materials with high energy dissipation, (ii) mechanical design, and (iii) analysis of the controlled structures [12,13]. In reference [14], different materials were studied under experimental dynamic loading of full-scale dampers, and a model of the dampers was developed. In references [15,16], the VE parameters of sandwich structures were identified, while a new inverse technique and an adjoint-based gradient method were developed. The dynamics of a structure with VE dampers can be well-described by differential equations of fractional order. The spline collocation method for solving systems of multi-term fractional differential equations was proposed and studied in [17]. In reference [18], several types of VE materials based on different matrix rubbers were optimized and developed, and the mechanical behavior and energy dissipation ability of VE dampers built from these materials were tested. The aforementioned research showed that VE dampers can buffer buildings efficiently against earthquakes due to their large damping capabilities. However, the properties of VE dampers are highly influenced by ambient temperature and excitation frequency, which affect their behavior. Therefore, it is crucial to accurately model VE dampers considering the effect of temperature.
Traditional VE models, such as the Kelvin and Maxwell ones, are unable to accurately capture the frequency-dependent behavior of VE materials [19]. In the past few decades, fractional calculus emerged in scientific and engineering practices [20] due to its ability to model long memory effects, enabling description of the behavior of VE dampers for a wide range of frequencies. Thus, several types of fractional-order constitutive models have been established [21]. However, the effect of ambient temperature on the performance of VE materials is still neglected in most fractional-order models, while in some previous works, it was considered through a shift factor defined by the Williams–Landel–Ferry (WLF) equation [22,23].
The fractional-order Zener model has more degrees of freedom than many other models and can better describe the dynamics of VE materials [24,25]. Indeed, the fractional-order Zener model can well-characterize the influence of frequency [26]. However, it cannot characterize the influence of temperature. In reference [27], a constitutive model was proposed to describe the self-heating effect in elastomeric materials subjected to cyclic loading. In paper [28], the frequency-temperature correspondence principle was adopted, and a method for analyzing the dynamics of structures with VE dampers was addressed. Furthermore, in references [29,30], VE damper models were developed based on molecular chain network micro structures and the temperature-frequency equivalence principle.
In the above references, the influence of temperature usually considers the frequency-temperature equivalence principle. However, temperature and frequency may influence each other, and the physical meaning of equating the influence of temperature to frequency is unclear. Therefore, the accuracy of existing models may be insufficient, and a new approach to effectively model VE dampers is required. In fact, the fractional order has certain geometric and physical significance related to the VE properties of materials [31,32]. A higher order leads to stronger viscosity and stronger energy dissipation, while a lower order causes stronger elasticity and weaker energy dissipation. Therefore, the fractional-order variation in the model can characterize the effect of ambient temperature on the dynamics of VE dampers.
Motivated by the above discussion, a new AEF-Zener model is proposed in this paper. The ability to dissipate energy from VE materials characterized by different fractional orders is analyzed, and the relationship between energy dissipation and fractional order is discussed. Furthermore, based on the temperature-order equivalence, a functional relationship between fractional-order and temperature is established to indirectly characterize the impact of ambient temperature on the performance of VE dampers. The proposed model has a clearer physical meaning and higher accuracy, especially for characterizing the loss factor parameters related to energy consumption, compared to other existing models.
The most important contributions of the paper are:
(a)
The influence of fractional order on the energy dissipation capabilities of VE materials is analyzed in the time and frequency domains.
(b)
A novel AEF-Zener model is proposed, and the model’s parameters are determined by using a CFOPSO algorithm.
(c)
The accuracy and effectiveness of the AEF-Zener model is verified by comparing model simulations with experimental results and with models that use the temperature-frequency equivalent principle.
The paper is structured into seven main parts. Section 2 recalls some elemental concepts of fractional calculus. Section 3 presents the mathematical equations of fractional-order Zener VE dampers. Section 4 analyzes the influence of fractional orders. Section 5 and Section 6 describe and determine the AEF-Zener model and its parameters, respectively. Section 7 draws the conclusions.

2. Preliminary Concepts of Fractional Calculus

Fractional calculus emerged as an important tool with applications in scientific and engineering fields [33,34,35,36]. Some basic definitions concerning fractional calculus are given here for understanding later calculations and analysis.
Given a function x ( t ) : R R , it is referred to as C k - class if its derivatives x ( 1 ) , x ( 2 ) , , x ( k ) exist and are continuous (except for a finite number of points). In the following, we adopt the notation x ( t ) C 0 , C 1 , and C to denote the classes of all continuous, continuously differentiable, and smooth functions, respectively [37].
The Riemann–Liouville fractional integral of order α > 0 of a continuous function x ( t ) is [38]:
0 I t α x ( t ) = D α x ( t ) = 1 Γ ( α ) 0 t ( t s ) α 1 x ( s ) d s ,
where Γ ( · ) is the gamma function.
The Riemann–Liouville fractional derivative of order n 1 < α < n , n N , of a continuous function x ( t ) C n [ 0 , t ] is [39]:
0 R L D t α x ( t ) = 1 Γ ( n α ) d n d t n 0 t ( t s ) n α 1 x ( s ) d s .
In discrete time, the Grünwald–Letnikov fractional derivative of order α 0 of a function x ( t ) can be approximated by the truncated series [40]:
0 G L D t α x ( t ) 1 T α k = 0 r ( 1 ) k Γ ( α + 1 ) x ( t k T ) Γ ( k + 1 ) Γ ( α k + 1 ) ,
where r is the truncation value, and T corresponds to the sampling period, respectively.
If x ( t ) C n [ 0 , t ] , then [37]:
0 R L D t α x ( t ) = 0 G L D t α x ( t ) .
The Riemann–Liouville fractional derivative verifies [41]:
d n d t n 0 R L D t α x ( t ) = 0 R L D t α d n x ( t ) d t n = 0 R L D t ( α + n ) x ( t ) .
For zero initial conditions in the Laplace domain, we have [42]:
L ( D α x ( t ) ) = s α x ( s ) .

3. Equation of Fractional-Order Zener VE Damper

3.1. Dynamic Equation in the Time Domain

The relationship between strain σ ( t ) and stress γ ( t ) is characterized by the following fractional-order Zener constitutive equation (see Figure 1):
σ ( t ) + p 1 D α σ ( t ) = q 0 γ ( t ) + q 1 D α γ ( t ) ,
where α ( 0 , 1 ) is the order of the Riemann–Liouville fractional differentiation (Equation (2)), and p 1 , q 0 , and q 1 are positive constant coefficients determined by the VE material’s performance parameters E 1 , E 2 , and η .
Figure 2 illustrates a one-degree-of-freedom fractional-order Zener damper system consisting of a mass and a damper. The strain and the stress are determined as:
σ ( t ) = f d ( t ) A , γ ( t ) = x ( t ) L .
Combining Equations (7) and (8) results in:
f d ( t ) + p 1 D α f d ( t ) = A q 0 L x ( t ) + A q 1 L D α x ( t ) ,
where L and A stand for length and area, respectively, f d ( t ) denotes the damping force, and x ( t ) represents the displacement of the damper.
By Newton’s second law, the dynamic equation of the damper is:
m x ¨ ( t ) + f d ( t ) = f ( t ) .
From Equations (10) and (5), one has:
p 1 m D 2 + α x ( t ) + p 1 D α f d ( t ) = p 1 D α f ( t ) .
Equations (10) and (11) give:
p 1 m D 2 + α x ( t ) + m x ¨ ( t ) + f d ( t ) + p 1 D α f d ( t ) = p 1 D α f ( t ) + f ( t ) .
Substituting Equation (9) into (12) and letting k = A q 0 / L and c = A q 1 / L leads to:
p 1 m D 2 + α x ( t ) + m x ¨ ( t ) + c D α x ( t ) + k x ( t ) = p 1 D α f ( t ) + f ( t ) ,
where f ( t ) is the disturbance force, and p 1 falls into either Case 1 or Case 2:
Case 1. If p 1 = 0 or p 1 0 , then Equation (13) can be rewritten as:
m x ¨ ( t ) + c D α x ( t ) + k x ( t ) = f ( t ) ;
Case 2. If p 1 > 0 , with the following state transformation, then:
x ( t ) = p 1 D α y ( t ) + y ( t ) .
Substituting Equation (15) into Equation (13) leads to:
m p 1 D 2 + α y ( t ) + m y ¨ ( t ) + c D α y ( t ) + k y ( t ) = f ( t ) .
With m p 1 D 2 + α y ( t ) + m y ¨ ( t ) = m x ¨ ( t ) , let c D α y ( t ) = c D α x ( t ) , k y ( t ) = k x ( t ) , Equation (16) can be equivalently transformed into:
m x ¨ ( t ) + c D α x ( t ) + k x ( t ) = f ( t ) .
From the above, we establish the equivalent dynamic equation of the fractional-order Zener VE damper with a single degree of freedom:
m x ¨ ( t ) + c e q D α x ( t ) + k e q x ( t ) = f ( t ) , f d ( t ) = k e q x ( t ) + c e q D α x ( t ) ,
where c e q is the damping, and k e q is the equivalent stiffness, which are related to the values of α , p 1 , q 0 , q 1 , frequency ω , and temperature T. We usually analyze them in the frequency domain.

3.2. Dynamic Equation in the Frequency Domain

The Laplace transform (Equation (6)) on Equation (7) results in:
σ ( s ) + p 1 s α σ ( s ) = q 0 γ ( s ) + q 1 s α γ ( s ) .
Therefore, the transfer function of Equation (19) is:
G ( s ) = σ ( s ) γ ( s ) = q 0 + q 1 s α 1 + p 1 s α .
By replacing s with i ω , with i α = cos ( α π / 2 ) + i · sin ( α π / 2 ) , we obtain the complex modulus:
G * ( ω ) = G 1 ( ω ) + i G 2 ( ω ) ,
where i = 1 , and the storage and loss modulus, G 1 ( ω ) and G 2 ( ω ) , are the real and imaginary components of the complex modulus, respectively. Hence, we have:
G 1 ( ω ) = q 0 + p 1 q 1 ω 2 α + q 1 + p 1 q 0 ω α cos α π 2 1 + p 1 2 ω 2 α + 2 p 1 ω α cos α π 2 , G 2 ( ω ) = q 1 p 1 q 0 ω α sin α π 2 1 + p 1 2 ω 2 α + 2 p 1 ω α cos α π 2 , η = q 1 p 1 q 0 ω α sin α π 2 q 0 + p 1 q 1 ω 2 α + q 1 + p 1 q 0 ω α cos α π 2 ,
where η = G 2 ( ω ) / G 1 ( ω ) is the loss factor.
Then, the mechanical properties of the VE damper, namely the equivalent stiffness and damping, k e q and c e q , respectively, can be calculated and analyzed with the following equations:
k e q = n v · G 1 · A v h v ,
c e q = n v · G 2 · A v ω · h v ,
where n v is the number of layers of VE material between the steel plates that compose the VE damper, and A v and h v are the shear area and thickness of each VE layer, respectively.

4. The Influence of Fractional-Order α

Numerical simulations are carried out to demonstrate the influence of the fractional order α on the VE damper energy dissipation capacity. From Section 3, one can observe that the fractional order α is related to the dynamic properties of the VE material in the time and frequency domains.

4.1. Analysis in the Time Domain

The coefficients in the fractional-order model of the Zener VE damper (Equation (18)) are taken as m = 1 , c e q = 0.5 , k e q = 1 , and α ( 0 , 1 ) , and the disturbance is assumed to be a step signal:
f ( t ) = 0 , 0 < t < 1 , 10 , 1 t .
It follows from Equation (18) that:
x ( t ) = 1 k e q ( f ( t ) m x ¨ ( t ) c e q · R L D α x ( t ) ) .
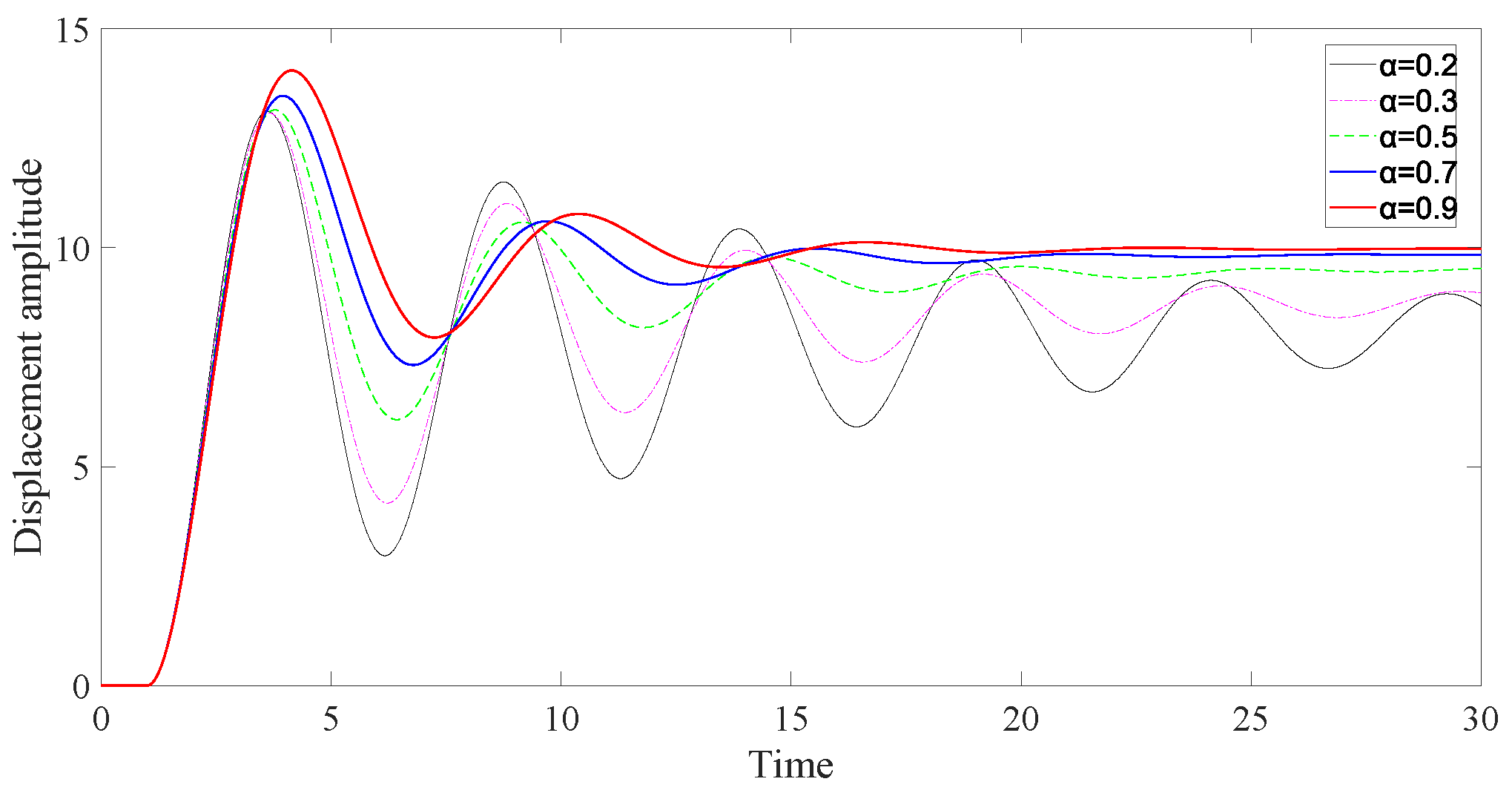
Figure 3 illustrates the Simulink block diagram programming adopted for the fractional-order equation with zero initial values. The fractional-order operator D α can be approximated using MATLAB2019a programming based on Equations (3) and (4). Vibration responses of the fractional-order Zener VE damper with different fractional orders are shown in Figure 4. One can see that the energy dissipation capacity of the VE damper is stronger with the increase in the fractional order α .

4.2. Analysis in the Frequency Domain

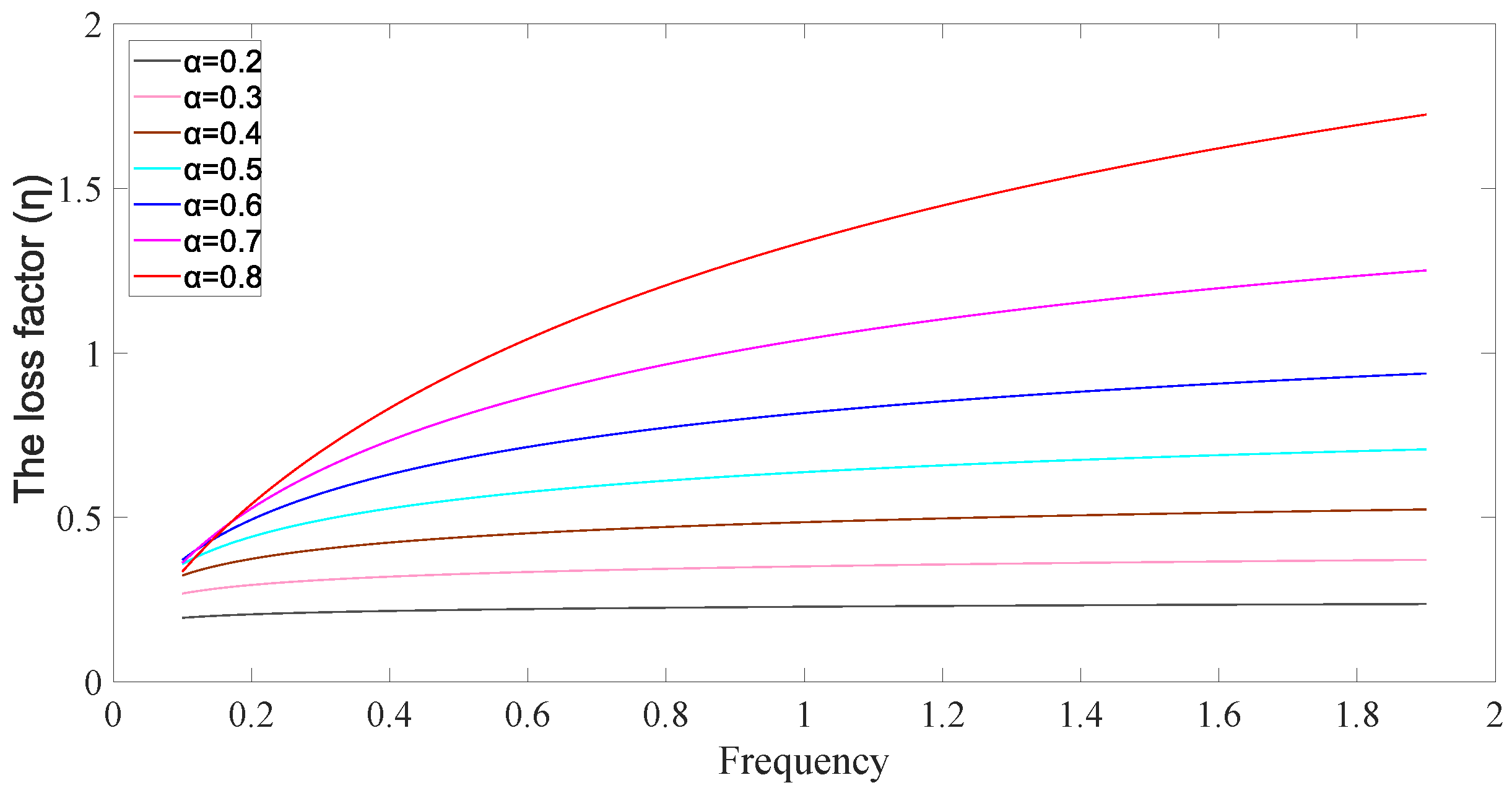
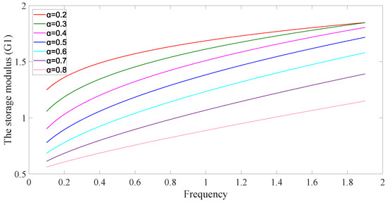
In this simulation, the coefficients of the fractional-order Zener VE damper (Equation (22)) are taken as p 1 = 0.0015 , q 0 = 0.5 , q 1 = 1.25 , ω ( 0.1 , 2 ] , and α ( 0 , 1 ) .
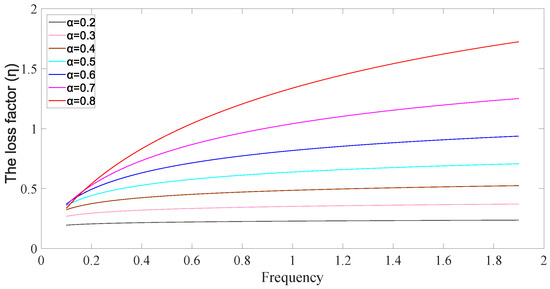
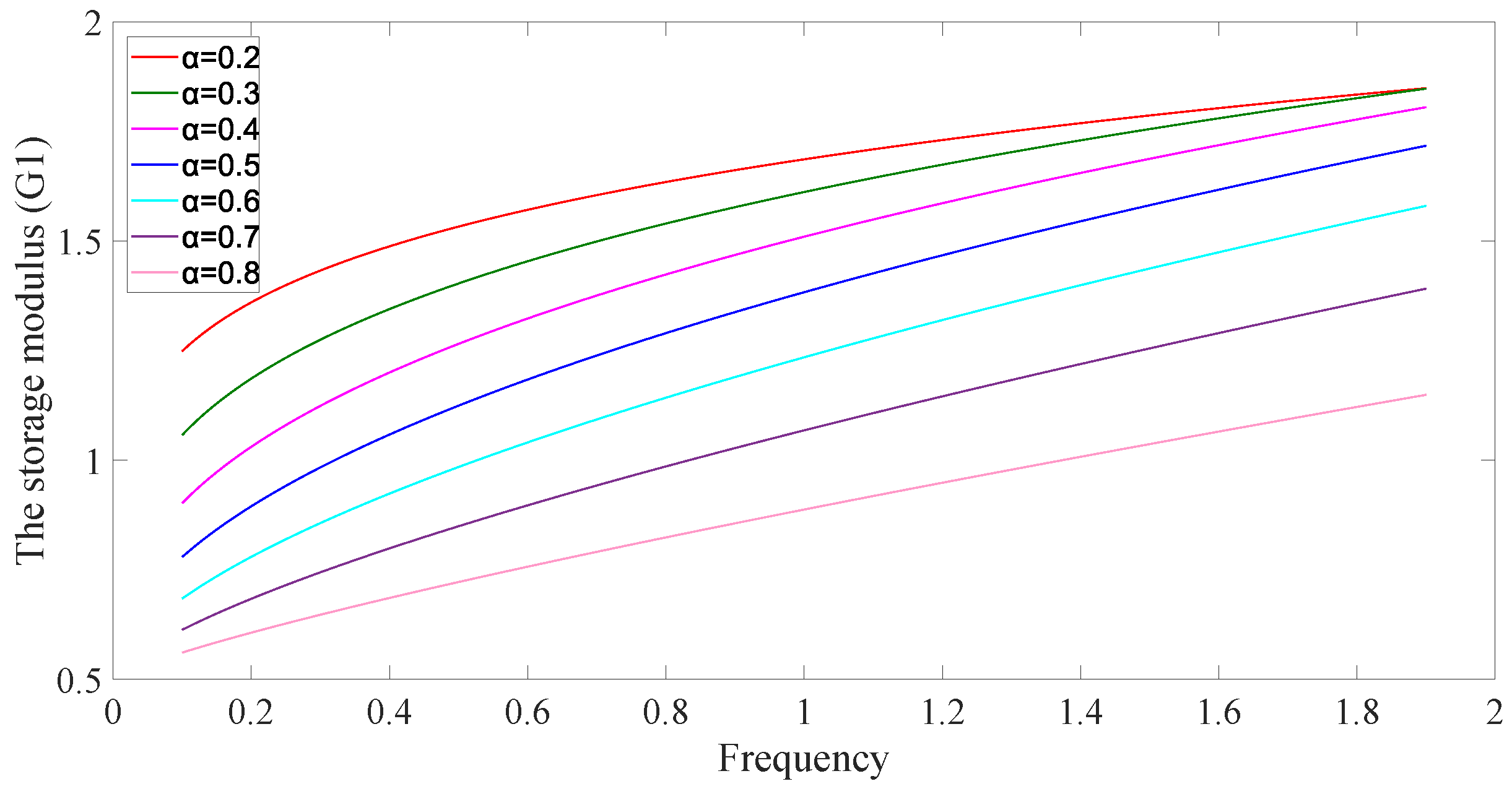
The responses of the storage modulus and loss factor, G 1 and η , respectively, of the fractional-order Zener VE damper with different fractional orders are shown in Figure 5 and Figure 6, respectively. Figure 7 and Figure 8 show two responses with different fractional orders and frequencies. From Figure 5 and Figure 6, we verify that the fractional order α has a positive correlation with the change in G 1 and a negative correlation with the change in η . Figure 7 and Figure 8 indicate that frequency also has a great influence on the dynamic performance of the damper.
The above simulations confirm that the fractional order α is related to the energy dissipation capacity and dynamic performance of the damper. The higher the order is, the stronger the viscosity and the energy dissipation are.

5. Temperature-Order Equivalent Mathematical Model

5.1. Temperature-Order Equivalent Principle

Experimental results show that temperature and frequency affect the dynamics of VE dampers and that temperature has a more prominent effect, as illustrated in Figure 9 and Figure 10 [29]. From Equation (22), it can be seen that the influence of frequency is described well. However, the fractional-order Zener model can not characterize the effect of temperature. Therefore, we establish the necessary relationship by introducing a new mathematical model that considers the temperature change and fractional-order equivalence, given by:
G 1 ( ω , T ) = G 1 ω , α 1 ( T ) , η ( ω , T ) = η ω , α 2 ( T ) ,
where α 1 and α 2 are:
α 1 ( T ) = i = 1 5 a i T i + b 1 , α 2 ( T ) = 1 ( i = 1 5 c i T i + b 2 ) .
Thus, Equation (22) can be rewritten as:
G 1 = q 0 + p 1 q 1 ω 2 α 1 + q 1 + p 1 q 0 ω α 1 cos α 1 π 2 1 + p 1 2 ω 2 α 1 + 2 p 1 ω α 1 cos α 1 π 2 , η = G 2 / G 1 = q 1 p 1 q 0 ω α 2 sin α 2 π 2 q 0 + p 1 q 1 ω 2 α 2 + q 1 + p 1 q 0 ω α 2 cos α 2 π 2 .

5.2. Model Modification

As the influence of temperature on the properties of VE dampers is related to frequency, the temperature and fractional-order equivalent relationship with frequency correction can be obtained as:
G 1 ( ω , T ) = G 1 ω , α 1 * ( T , ω ) , η ( ω , T ) = η ω , α 2 * ( T , ω ) .
For simplifying the analysis, we first fix ω = 0.5 . Then, α 1 * and α 2 * are calculated as:
α 1 * ( T , ω ) = α 1 ( T , 0.5 ) + k 1 ( ω 0.5 ) , α 2 * ( T , ω ) = α 2 ( T , 0.5 ) k 2 ( ω 0.5 ) ,
where k 1 and k 2 are determined by:
k 1 = i = 1 5 a i * T i + b 1 * , k 2 = i = 1 5 c i * T i + b 2 * .
Therefore, by considering the temperature effect and the frequency modified model, the new AEF-Zener model is given by:
G 1 = q 0 + p 1 q 1 ω 2 α 1 * + q 1 + p 1 q 0 ω α 1 * cos α 1 * π 2 1 + p 1 2 ω 2 α 1 * + 2 p 1 ω α 1 * cos α 1 * π 2 , η = G 2 / G 1 = q 1 p 1 q 0 ω α 2 * sin α 2 * π 2 q 0 + p 1 q 1 ω 2 α 2 * + q 1 + p 1 q 0 ω α 2 * cos α 2 * π 2 .
Further, we have:
k e q = n v · G 1 ( ω , α * ) · A v h v ,
c e q = n v · G 2 ( ω , α * ) · A v ω · h v ,
where the values of parameters p 1 , q 0 , q 1 , α 1 * , and α 2 * in Equation (33) are used to define the material properties. It should be noted that this model reflects the impact of ambient temperature on the dynamic behaviors of the VE dampers through the fractional order.

6. Parameter Identification and Experimental Comparison

In this section, the storage modulus and loss factor, G 1 and η , respectively, that represent the mechanical properties of the VE damper are used to determine the parameters of the equivalent model. The experimental data from the dynamic tests in reference [29] were used. Herein, we propose a new chaotic fractional-order particle swarm optimization (CFOPSO) algorithm to accurately determine the model’s parameters.

6.1. Parameter Identification with the CFOPSO

The PSO is a simple and easy-to-implement algorithm. The PSO can be generalized using fractional-order tools to yield the fractional-order PSO algorithm, which can better balance global and local searching capabilities [43]. Chaotic mapping can be used to generate evenly chaotic numbers between 0 and 1, as shown in Figure 11. The population initialization is carried out by using chaotic sequences contributing to an increase in the performance of the algorithm [44]. The values are mapped to initialization particle individuals according to the following formula:
y i + 1 = μ y i ( 1 y i ) , χ = χ L b + ( χ U b χ L b ) y i + 1 ,
where i is the number of iterations, and μ is the bifurcation parameter. The symbols χ U b and χ L b are the upper and lower limits of each individual in each dimension, and y i + 1 is the mapped individual.
The velocity and position of the particles are updated using:
D α υ i j ( t + 1 ) = c 1 ϕ 1 [ P b i j ( t ) χ i j ( t ) ] + c 2 ϕ 2 [ G b g j ( t ) χ i j ( t ) ] , χ i j ( t + 1 ) = χ i j ( t ) + υ i j ( t + 1 ) ,
where P b i j ( t ) is its best position for each particle found so far, G b g j ( t ) is the best position of the swarm, c 1 and c 2 denote the coefficients of the particle acceleration, and ϕ 1 and ϕ 2 are random numbers in the interval [ 0 , 1 ] .
Considering the first four terms of the differential derivative given by Equation (3), one has:
υ i j ( t + 1 ) = α υ i j ( t ) + 1 2 α ( 1 α ) υ i j ( t 1 ) + 1 6 α ( 1 α ) ( 2 α ) υ i j ( t 2 ) + 1 24 α ( 1 α ) ( 2 α ) ( 3 α ) υ i j ( t 3 ) + c 1 ϕ 1 [ P b i j ( t ) χ i j ( t ) ] + c 2 ϕ 2 [ G b g j ( t ) χ i j ( t ) ] ,
where α at the i-th iteration is:
α i = α m a x α m a x α m i n i m a x i , α i [ 0.4 , 0.9 ] ,
with i m a x denoting the maximum number of iterations.
The parameter values are found by minimizing the fitness function, f ( . ) , which represents the error between the calculated ( G 1 ( i ) , η ( i ) ) and experimental ( G ^ 1 ( i ) , η ^ ( i ) ) values, as defined in:
min f ( · ) = min i = 1 M | G 1 ( i ) G ^ 1 ( i ) | + | η ( i ) η ^ ( i ) | ,
where the symbol M is the number of sampling points. Figure 12 schematically illustrates the CFOPSO algorithm. Table 1 lists the parameter values of the CFOPSO algorithm.
The experimental data with a displacement of 1.0 mm are adopted for parameter determination and fitting. With reference to the parameter values in previous fractional models, the range of current parameter values is set as p 1 ( 0 , 2.5 × 10 6 ] , q 0 ( 0 , 2 ] , q 1 ( 0 , 5 ] , α 1 ( 0 , 1 ) , and α 2 ( 0 , 1 ) . The process of model parameter determination and fitting is:
Step 1: Determine the parameters p 1 , q 0 , q 1 , α 1 , and α 2 in Equation (29) with T = 10   C and ω = 0.5 rad/s using the CFOPSO algorithm;
Step 2: With fixed parameters p 1 , q 0 , and q 1 , determine the values of α 1 and α 2 with T = 10   C ,   5   C ,   0   C ,   5   C ,   20   C ,   30   C ,   40   C , and ω = 0.5 rad/s;
Step 3: Use curve-fitting to find the parameters in the functions that relate α 1 and α 2 to temperature T;
Step 4: Repeat Steps 1 to 3 with ω = 0.1 rad/s, 0.2 rad/s, and 1.0 rad/s, with the fixed parameters p 1 , q 0 , and q 1 ;
Step 5: Set the model at ω = 0.5 rad/s as the reference model. Fit the effects of other frequencies into the fractional orders α 1 * and α 2 * through two slope functions. Use curve-fitting to determine the parameters in the functions that relate k 1 and k 2 to temperature T.
Finally, the new AEF-Zener model’s parameters in Equation (33) have been determined.
Table 2 lists the parameter values of the AEF-Zener model ( ω = 0.5 rad/s) obtained with the CFOPSO algorithm. The values of k 1 and k 2 determined by slope curve-fitting are shown in Table 3.

6.2. Comparison between Numerical and Experimental Results

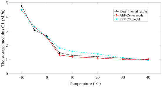
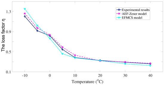
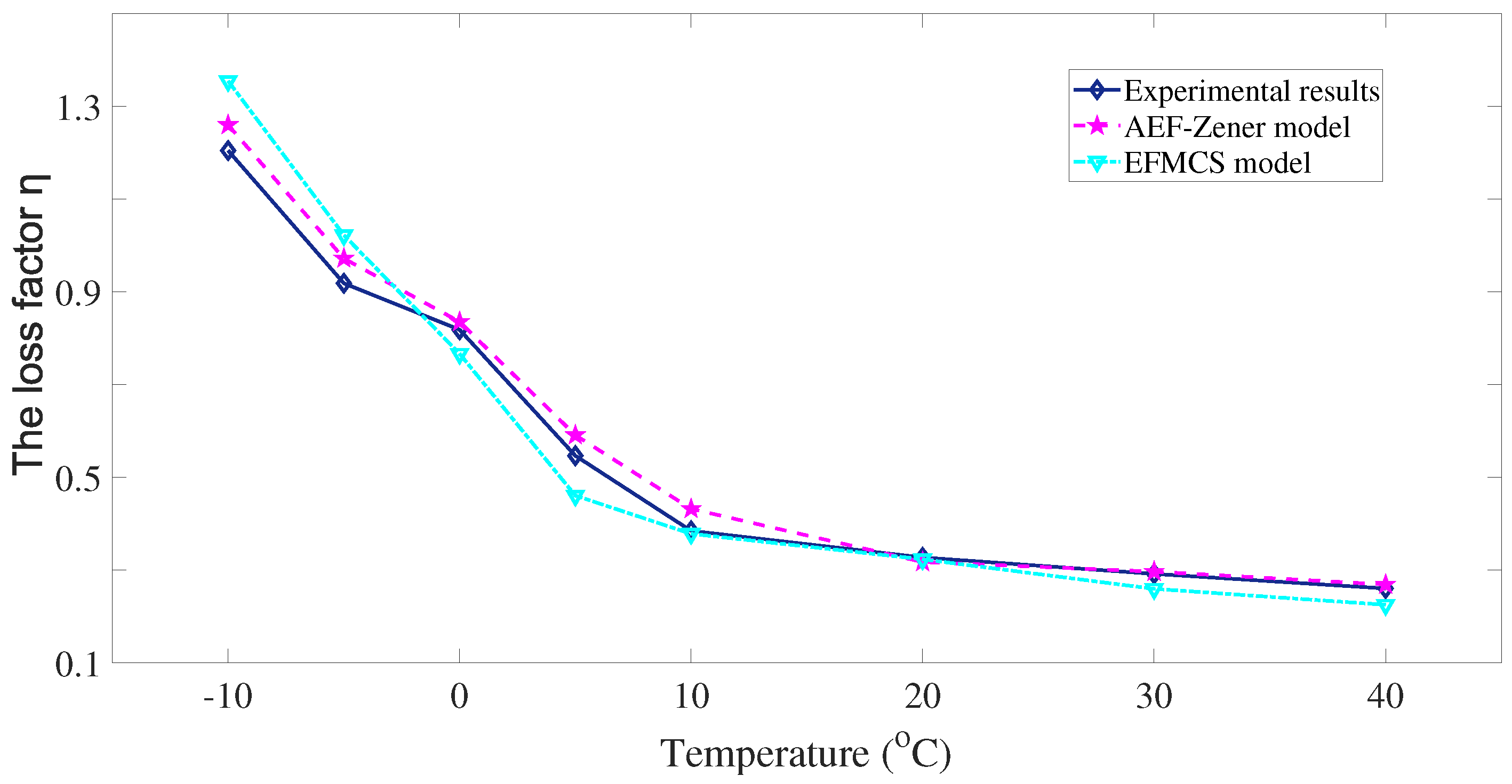
To assess the accuracy of the proposed AEF-Zener model, the parameters G 1 and η with varying loading frequencies and ambient temperatures were computed based on Equation (33). The numerical calculations and experimental data are compared in Figure 13, Figure 14, Figure 15 and Figure 16 and Table 4. It can be seen that the model has high precision.
The root-mean-square errors between numerical and experimental results are given in Table 5. When the frequencies are chosen as 0.1 , 0.2 , 0.5 , and 1.0 rad/s, the errors for the values of G 1 are 9.65 % , 11.16 % , 11.63 % , and 15.41 % , respectively. The errors for η are 4.47 % , 2.23 % , 3.89 % , and 3.64 % , respectively. As the frequency increases, its impact on the parameters may increase, which may lead to an increase in errors for high frequencies. In addition, the relative errors of the storage modulus and loss factor, G 1 and η , at various frequencies are less than 20 % , which are within the requirements usually adopted in engineering applications.
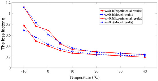
To further verify the effectiveness of the AEF-Zener model, taking the frequency of 1.0 rad/s, we compare its results with those of the EFMCS model (that considers the temperature–frequency equivalent principle) [45] and the experimental data. The storage modulus and the loss factor for the displacement of 1.0 mm and temperatures of 10   C to 40 C are illustrated in Figure 17 and Figure 18, respectively, and summarized in Table 6 and Table 7.
For the storage modulus, at different temperatures, the average and the maximum errors between experimental data and simulation results for the AEF-Zener and the EFMCS models are 6.57 % and 10.40 % , and 9.28 % and 23.14 % , respectively. For the loss factor, the average and the maximum errors are 5.11 % and 8.54 % , and 12.32 % and 15.73 % , respectively. This shows that both errors for the AEF-Zener model are smaller than those for the EFMCS.
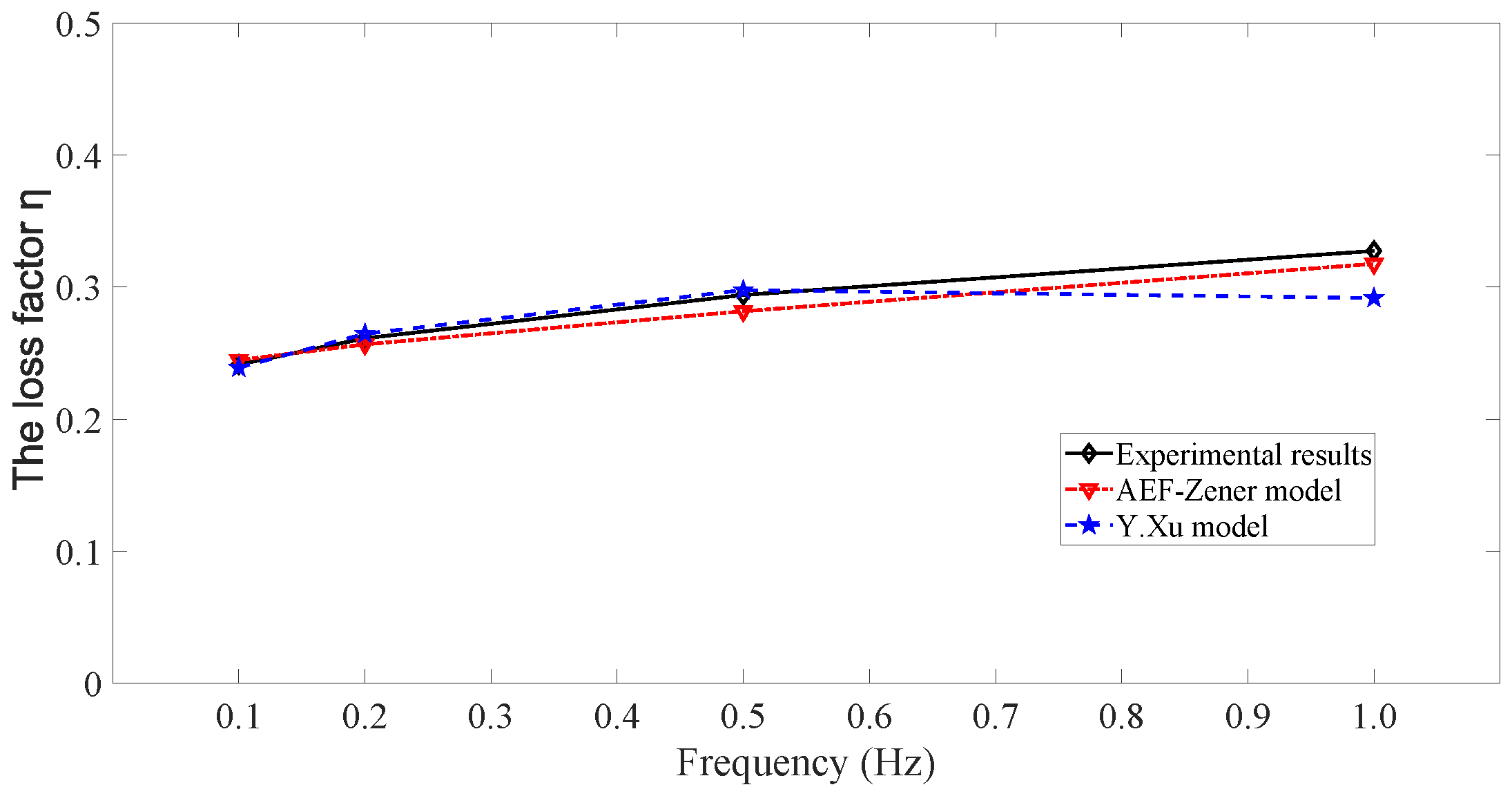
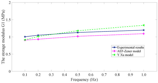
Additionally, at the temperature of 20 C , the AEF-Zener model simulation results are compared with those obtained with Xu’s model [29] and with experimental data. Figure 19 and Figure 20 depict the storage modulus and the loss factor when the displacement is 1.0 mm and the frequencies vary between 0.1 rad/s and 1.0 rad/s, respectively. Table 8 and Table 9 summarize the results.
For the storage modulus, the average and the maximum errors for the AEF-Zener and the Xu models are 7.23 % and 9.34 % , and 11.14 % and 11.80 % , respectively. For the loss factor, the errors are 2.59 % and 3.90 % , and 4.18 % and 9.07 % , respectively. This confirms that the AEF-Zener model is better than the Xu model.
From the above analysis, we verify that the numerical results obtained with the proposed AEF-Zener model are close to the experimental ones, which means that the temperature-order equivalence principle can well characterize the effect of temperature for VE dampers. In addition, by comparing the new model with the EFMCS and the Xu models, we confirmed that the AEF-Zener model has superior accuracy and availability. In general, the AEF-Zener model is accurate enough to reflect the mechanical behavior and energy dissipation ability of VE dampers at a low frequency. The model can be conveniently applied to the dynamic analysis of structures with VE dampers.

7. Simulation Analysis of Structures with VE Dampers

In this section, simulations of structures with and without VE dampers under earthquake action are carried out. The equation of motion of the structure with VE dampers can be written as:
M x ¨ ( t ) + C x ˙ ( t ) + K x ( t ) + c d x ˙ ( t ) + k d x ( t ) = M l x g ¨ ,
where x, x ˙ , and x ¨ R n × 1 stand for displacement, velocity, and acceleration vectors of the building, respectively; M, C, and K R n × n are the mass, stiffness, and damping matrices, respectively; l is a vector with all elements equal to 1; and k d = diag ( k d i , , k d n ) and c d = diag ( c d i , , c d n ) , with k d i and c d i standing for the sum of equivalent stiffness and damping of all VE dampers in the i-th floor for i = 1 , , n , are parameters.
The ground acceleration x g ¨ is modulated with amplitude 0.24 g and 0.12 g to adopt the El Centro and Taft earthquake seismic waves for 25 s and 30 s, as shown in Figure 21. In addition, the Rayleigh damping is given by C = α 1 M + β 1 K , where α 1 , β 1 R are calculated from the damping ratio of the modes of vibration. Matrices M and K can be represented by:
M = m 1 0 0 0 0 m 2 0 0 0 0 m n 1 0 0 0 0 m n n × n , K = k 1 + k 2 k 2 0 0 k 2 k 2 + k 3 0 0 0 0 k n 1 + k n k n 0 0 k n k n n × n .
Example: The application of the AEF-Zener model for a three-story building structure with 10 VE dampers on each story is illustrated in Figure 22. The parameters of the structure are summarized in Table 10. The sizes of the VE dampers are n ν = 2 , A ν = 0.36 m 2 , and h ν = 10 mm, respectively. The VE dampers can be placed in any location where shear deformation of the VE layers is allowed to occur. The ambient temperature is set as T = 7.3   C . The first natural frequency of the vibration mode is ω = 0.881 rad/s. Equations (33)–(35) can be used to calculate the equivalent stiffness and damping.
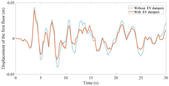
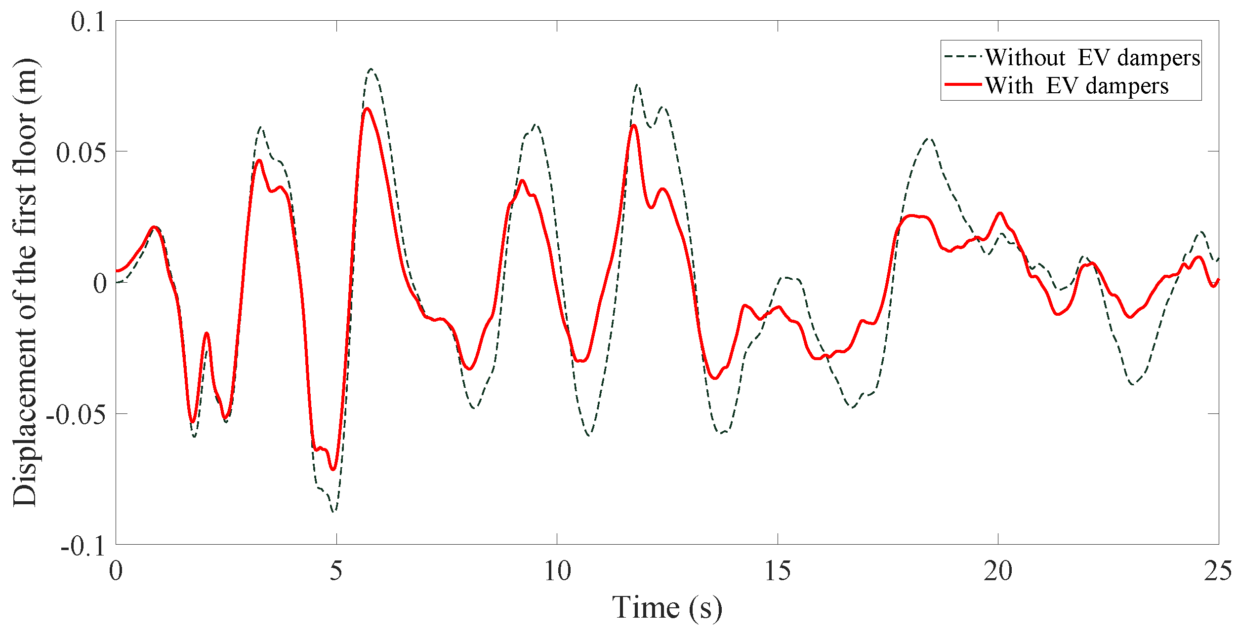
Figure 23, Figure 24 and Figure 25 show the displacements of the first to third floors, without and with VE dampers, respectively, in the El Centro earthquake. Figure 26 show the maximum displacements in the El-Centro earthquake. The corresponding floor displacements in the Taft earthquake are shown in Figure 27, Figure 28 and Figure 29, respectively. Figure 30 show the maximum displacements in the Taft earthquake.
It can be seen that the structure with VE dampers has good seismic performance at the ambient temperature T = 7.3   C . Indeed, compared with the case without VE dampers, VE dampers reduce the maximum displacement of each floor by more than 45.4%, 36.67%, and 22.97%, respectively, in the El Centro earthquake. Moreover, the maximum displacement decreases by more than 20.5%, 29.84%, and 11.53% under Taft wave excitation, respectively.
It is obvious that VE dampers are effective for seismic reduction, and the proposed AEF-Zener model can be applied to the analysis of the seismic performance and the design of structures with VE dampers in consideration of ambient temperature.

8. Conclusions

A new AEF-Zener model of VE dampers that takes into account temperature and the fractional-order equivalence principle was proposed. Firstly, the relationship between fractional order and energy dissipation of VE materials was analyzed in the time and frequency domains. Secondly, based on experimental data, the relationship between ambient temperature and energy dissipation of VE materials was analyzed. Finally, with the equivalence principle of temperature and fractional order, a new model able to describe the influence of temperature was established, and the model parameters were determined using a CFOPSO algorithm. Comparing the numerical results of the new AEF-Zener model with those of other models and with experimental data, it was shown that the proposed AEF-Zener model has good accuracy and availability, particularly in characterizing the loss factor for energy consumption. The proposed AEF-Zener model can be applied to design VE dampers in consideration of ambient temperature.

Author Contributions

Methodology, L.C.; software, M.Z.; validation and data curation, R.W.; writing—original draft preparation, K.X.; writing—review and editing, A.M.L.; supervision and project administration, M.W. All authors have read and agreed to the published version of the manuscript.

Funding

This work was supported by the National Natural Science Foundation of China (No. 62073114; 11971032).

Data Availability Statement

Data available on request due to restrictions eg privacy or ethical.

Conflicts of Interest

The authors declare no conflict of interest.

References

  1. Huang, J.; Rao, Y.; Qiu, H.; Lei, Y. Generalized algorithms for the identification of seismic ground excitations to building structures based on generalized Kalman filtering under unknown input. Adv. Struct. Eng. 2020, 23, 2163–2173. [Google Scholar] [CrossRef]
  2. He, Q.; Yin, A.; Fan, Z.; He, L. Seismic responses analysis of multi-story suspended floors system. J. Vibroeng. 2021, 23, 167–182. [Google Scholar] [CrossRef]
  3. Gómez, F.; Yu, W. Discrete-time tri-directional active control of building structures. Eng. Struct. 2021, 243, 112689. [Google Scholar] [CrossRef]
  4. Xu, K.; Chen, L.; Wang, M.; Lopes, A.M.; Tenreiro Machado, J.; Zhai, H. Improved decentralized fractional PD control of structure vibrations. Mathematics 2020, 8, 326. [Google Scholar] [CrossRef]
  5. Hu, W.; Gao, Y.; Yang, B. Semi-active vibration control of two flexible plates using an innovative joint mechanism. Mech. Syst. Signal Process. 2019, 130, 565–584. [Google Scholar] [CrossRef]
  6. Nasab, M.S.E.; Kim, J. Fuzzy analysis of a viscoelastic damper in seismic retrofit of structures. Eng. Struct. 2022, 250, 113473. [Google Scholar] [CrossRef]
  7. Ocak, A.; Nigdeli, S.M.; Bekdaş, G. Passive control via mass dampers: A review of state-of-the-art developments. Optimization of Tuned Mass Dampers; Springer: Cham, Switzerland, 2022; pp. 15–40. [Google Scholar]
  8. Stanikzai, M.H.; Elias, S.; Chae, Y. Recent advances in hybrid vibration-control systems. Pract. Period. Struct. Des. Constr. 2022, 27, 03122003. [Google Scholar] [CrossRef]
  9. Feudo, S.L.; Touzé, C.; Boisson, J.; Cumunel, G. Nonlinear magnetic vibration absorber for passive control of a multi–storey structure. J. Sound Vib. 2019, 438, 33–53. [Google Scholar] [CrossRef]
  10. Xu, Z.D.; Dong, Y.R.; Chen, S.; Guo, Y.Q.; Li, Q.Q.; Xu, Y.S. Development of hybrid test system for three-dimensional viscoelastic damping frame structures based on Matlab-OpenSees combined programming. Soil Dyn. Earthq. Eng. 2021, 144, 106681. [Google Scholar] [CrossRef]
  11. Mokhtari, M.; Permoon, M.; Haddadpour, H. Dynamic analysis of isotropic sandwich cylindrical shell with fractional viscoelastic core using Rayleigh–Ritz method. Compos. Struct. 2018, 186, 165–174. [Google Scholar] [CrossRef]
  12. Xu, Y.; Xu, Z.D.; Guo, Y.Q.; Dong, Y.; Ge, T.; Xu, C. Tests and modeling of viscoelastic damper considering microstructures and displacement amplitude influence. J. Eng. Mech. 2019, 145, 04019108. [Google Scholar] [CrossRef]
  13. Dadkhah Khiabani, E.; Ghaffarzadeh, H.; Shiri, B.; Katebi, J. Spline collocation methods for seismic analysis of multiple degree of freedom systems with visco-elastic dampers using fractional models. J. Vib. Control 2020, 26, 1445–1462. [Google Scholar] [CrossRef]
  14. Asano, M.; Masahiko, H.; Yamamoto, M. The experimental study on viscoelastic material dampers and the formulation of analytical model. In Proceedings of the 12th World Conference on Earthquake Engineering, Nagoya, Japan, 30 January–4 February 2000. [Google Scholar]
  15. Barkanov, E.; Skukis, E.; Petitjean, B. Characterisation of viscoelastic layers in sandwich panels via an inverse technique. J. Sound Vib. 2009, 327, 402–412. [Google Scholar] [CrossRef]
  16. Hamdaoui, M.; Ledi, K.; Robin, G.; Daya, E.M. Identification of frequency-dependent viscoelastic damped structures using an adjoint method. J. Sound Vib. 2019, 453, 237–252. [Google Scholar] [CrossRef]
  17. Dadkhah, E.; Shiri, B.; Ghaffarzadeh, H.; Baleanu, D. Visco-elastic dampers in structural buildings and numerical solution with spline collocation methods. J. Appl. Math. Comput. 2020, 63, 29–57. [Google Scholar] [CrossRef]
  18. Xu, Z.D.; Liao, Y.X.; Ge, T.; Xu, C. Experimental and theoretical study of viscoelastic dampers with different matrix rubbers. J. Eng. Mech. 2016, 142, 04016051. [Google Scholar] [CrossRef]
  19. Shu, Z.; You, R.; Zhou, Y. Viscoelastic Materials for Structural Dampers: A Review. Constr. Build. Mater. 2022, 342, 127955. [Google Scholar] [CrossRef]
  20. Zhang, X.; Wu, R.C. Modified projective synchronization of fractional-order chaotic systems with different dimensions. Acta Math. Appl. Sin. Engl. Ser. 2020, 36, 527–538. [Google Scholar] [CrossRef]
  21. Xu, Z.D.; Ge, T.; Liu, J. Experimental and theoretical study of high-energy dissipation-viscoelastic dampers based on acrylate-rubber matrix. J. Eng. Mech. 2020, 146, 04020057. [Google Scholar] [CrossRef]
  22. Arikoglu, A. A new fractional derivative model for linearly viscoelastic materials and parameter identification via genetic algorithms. Rheol. Acta 2014, 53, 219–233. [Google Scholar] [CrossRef]
  23. Xu, Y.; Xu, Z.D.; Guo, Y.Q.; Sarwar, W.; She, W.; Geng, Z.F. Study on viscoelastic materials at micro scale pondering supramolecular interaction impacts with DMA tests and fractional derivative modeling. J. Appl. Polym. Sci. 2023, 140, e53660. [Google Scholar] [CrossRef]
  24. Sun, H.; Zhang, Y.; Baleanu, D.; Chen, W.; Chen, Y. A new collection of real world applications of fractional calculus in science and engineering. Commun. Nonlinear Sci. Numer. Simul. 2018, 64, 213–231. [Google Scholar] [CrossRef]
  25. Bonfanti, A.; Kaplan, J.L.; Charras, G.; Kabla, A. Fractional viscoelastic models for power-law materials. Soft Matter 2020, 16, 6002–6020. [Google Scholar] [CrossRef] [PubMed]
  26. Markou, A.A.; Manolis, G.D. A fractional derivative Zener model for the numerical simulation of base isolated structures. Bull. Earthq. Eng. 2016, 14, 283–295. [Google Scholar] [CrossRef]
  27. Rodas, C.O.; Zaïri, F.; Naït-Abdelaziz, M. A finite strain thermo-viscoelastic constitutive model to describe the self-heating in elastomeric materials during low-cycle fatigue. J. Mech. Phys. Solids 2014, 64, 396–410. [Google Scholar] [CrossRef]
  28. Lewandowski, R. Influence of temperature on the dynamic characteristics of structures with viscoelastic dampers. J. Struct. Eng. 2019, 145, 04018245. [Google Scholar] [CrossRef]
  29. Xu, Y.; Xu, Z.D.; Guo, Y.Q.; Ge, T.; Xu, C.; Huang, X. Theoretical and experimental study of viscoelastic damper based on fractional derivative approach and micromolecular structures. J. Vib. Acoust. 2019, 141, 031010. [Google Scholar] [CrossRef]
  30. Ge, T.; Xu, Z.D.; Guo, Y.Q.; Huang, X.H.; He, Z.F. Experimental investigation and multiscale modeling of ve damper considering chain network and ambient temperature influence. J. Eng. Mech. 2022, 148, 04021124. [Google Scholar] [CrossRef]
  31. Cao, J.; Chen, Y.; Wang, Y.; Zhang, H. Numerical analysis of nonlinear variable fractional viscoelastic arch based on shifted Legendre polynomials. Math. Methods Appl. Sci. 2021, 44, 8798–8813. [Google Scholar] [CrossRef]
  32. Sun, L.; Chen, Y. Numerical analysis of variable fractional viscoelastic column based on two-dimensional Legendre wavelets algorithm. Chaos Solitons Fractals 2021, 152, 111372. [Google Scholar] [CrossRef]
  33. Moghaddam, B.; Mendes Lopes, A.; Tenreiro Machado, J.; Mostaghim, Z. Computational scheme for solving nonlinear fractional stochastic differential equations with delay. Stoch. Anal. Appl. 2019, 37, 893–908. [Google Scholar] [CrossRef]
  34. Ortigueira, M.D.; Machado, J.T. The 21st century systems: An updated vision of continuous-time fractional models. IEEE Circuits Syst. Mag. 2022, 22, 36–56. [Google Scholar] [CrossRef]
  35. Ortigueira, M.D.; Valério, D. Fractional Signals and Systems; Walter de Gruyter GmbH & Co KG: Berlin, Germany, 2020; Volume 7. [Google Scholar]
  36. Ortigueira, M.D. Fractional Calculus for Scientists and Engineers; Springer Science & Business Media: Berlin/Heidelberg, Germany, 2011; Volume 84. [Google Scholar]
  37. Majidabad, S.S.; Shandiz, H.T.; Hajizadeh, A. Decentralized sliding mode control of fractional-order large-scale nonlinear systems. Nonlinear Dyn. 2014, 77, 119–134. [Google Scholar] [CrossRef]
  38. Xiao, M.; Tao, B.; Zheng, W.X.; Jiang, G. Fractional-order PID controller synthesis for bifurcation of fractional-order small-world networks. IEEE Trans. Syst. Man Cybern. Syst. 2019, 51, 4334–4346. [Google Scholar] [CrossRef]
  39. Yuan, J.; Gao, S.; Xiu, G.; Wang, L. Mechanical energy and equivalent viscous damping for fractional Zener oscillator. J. Vib. Acoust. 2020, 142, 041004. [Google Scholar] [CrossRef]
  40. Shahri, E.S.A.; Alfi, A.; Machado, J.T. Fractional fixed-structure H controller design using augmented Lagrangian particle swarm optimization with fractional order velocity. Appl. Soft Comput. 2019, 77, 688–695. [Google Scholar] [CrossRef]
  41. Wang, C.; Zhou, X.; Jin, Y.; Shi, X. Variable fractional order sliding mode control for seismic vibration suppression of building structure. J. Vib. Control. 2022, 28, 3794–3807. [Google Scholar] [CrossRef]
  42. Li, H.; Gomez, D.; Dyke, S.J.; Xu, Z. Fractional differential equation bearing models for base-isolated buildings: Framework development. J. Struct. Eng. 2020, 146, 04019197. [Google Scholar] [CrossRef]
  43. Xu, K.; Cheng, T.; Lopes, A.M.; Chen, L.; Zhu, X.; Wang, M. Fuzzy Fractional-Order PD Vibration Control of Uncertain Building Structures. Fractal Fract. 2022, 6, 473. [Google Scholar] [CrossRef]
  44. Zheng, Y.; Huang, Z.; Tao, J.; Sun, H.; Sun, Q.; Sun, M.; Dehmer, M.; Chen, Z. A novel chaotic fractional-order beetle swarm optimization algorithm and its application for load-frequency active disturbance rejection control. IEEE Trans. Circuits Syst. II Express Briefs 2021, 69, 1267–1271. [Google Scholar] [CrossRef]
  45. Xu, Y.; Xu, Z.D.; Guo, Y.Q.; Jia, H.; Huang, X.; Wen, Y. Mathematical modeling and test verification of viscoelastic materials considering microstructures and ambient temperature influence. Mech. Adv. Mater. Struct. 2021, 29, 7063–7074. [Google Scholar] [CrossRef]
Figure 1. Fractional-order Zener model.
Figure 1. Fractional-order Zener model.
Fractalfract 07 00714 g001
Figure 2. A single-degree-of-freedom fractional Zener VE damper system.
Figure 2. A single-degree-of-freedom fractional Zener VE damper system.
Fractalfract 07 00714 g002
Figure 3. Simulink block diagram for the fractional equation with zero initial values.
Figure 3. Simulink block diagram for the fractional equation with zero initial values.
Fractalfract 07 00714 g003
Figure 4. Vibration responses of the fractional Zener VE damper with different fractional order α .
Figure 4. Vibration responses of the fractional Zener VE damper with different fractional order α .
Fractalfract 07 00714 g004
Figure 5. The storage modulus G 1 of the VE damper at different frequencies and fractional orders.
Figure 5. The storage modulus G 1 of the VE damper at different frequencies and fractional orders.
Fractalfract 07 00714 g005
Figure 6. The loss factor η of the VE damper at different frequencies and fractional orders.
Figure 6. The loss factor η of the VE damper at different frequencies and fractional orders.
Fractalfract 07 00714 g006
Figure 7. The storage modulus G 1 of the VE damper at different fractional orders and frequencies.
Figure 7. The storage modulus G 1 of the VE damper at different fractional orders and frequencies.
Fractalfract 07 00714 g007
Figure 8. The loss factor η of the VE damper at different fractional orders and frequencies.
Figure 8. The loss factor η of the VE damper at different fractional orders and frequencies.
Fractalfract 07 00714 g008
Figure 9. The loss factor η of the VE damper at different temperatures.
Figure 9. The loss factor η of the VE damper at different temperatures.
Fractalfract 07 00714 g009
Figure 10. The storage modulus G 1 of the VE damper at different temperatures.
Figure 10. The storage modulus G 1 of the VE damper at different temperatures.
Fractalfract 07 00714 g010
Figure 11. Chaotic mapping generating chaotic numbers.
Figure 11. Chaotic mapping generating chaotic numbers.
Fractalfract 07 00714 g011
Figure 12. Flowchart of the CFOPSO algorithm.
Figure 12. Flowchart of the CFOPSO algorithm.
Fractalfract 07 00714 g012
Figure 13. Comparison between numerical and experimental results of G 1 ( ω = 0.1 , 0.5 ).
Figure 13. Comparison between numerical and experimental results of G 1 ( ω = 0.1 , 0.5 ).
Fractalfract 07 00714 g013
Figure 14. Comparison between numerical and experimental results of G 1 ( ω = 0.2 , 1.0 ).
Figure 14. Comparison between numerical and experimental results of G 1 ( ω = 0.2 , 1.0 ).
Fractalfract 07 00714 g014
Figure 15. Comparison between numerical and experimental results of η ( ω = 0.1 , 0.5 ).
Figure 15. Comparison between numerical and experimental results of η ( ω = 0.1 , 0.5 ).
Fractalfract 07 00714 g015
Figure 16. Comparison between numerical and experimental results of η ( ω = 0.2 , 1.0 ).
Figure 16. Comparison between numerical and experimental results of η ( ω = 0.2 , 1.0 ).
Fractalfract 07 00714 g016
Figure 17. Comparison between numerical and experimental results of G 1 with T ( C ) = 10 ,   5 ,   0 ,   5 ,   10 ,   20 ,   30 , 40 when d = 1.0 mm and ω = 1.0 rad/s.
Figure 17. Comparison between numerical and experimental results of G 1 with T ( C ) = 10 ,   5 ,   0 ,   5 ,   10 ,   20 ,   30 , 40 when d = 1.0 mm and ω = 1.0 rad/s.
Fractalfract 07 00714 g017
Figure 18. Comparison between numerical and experimental results of η with T ( C ) = 10 ,   5 ,   0 ,   5 ,   10 ,   20 ,   30 , 40 when d = 1.0 mm and ω = 1.0 rad/s.
Figure 18. Comparison between numerical and experimental results of η with T ( C ) = 10 ,   5 ,   0 ,   5 ,   10 ,   20 ,   30 , 40 when d = 1.0 mm and ω = 1.0 rad/s.
Fractalfract 07 00714 g018
Figure 19. Comparison of numerical and experimental results of G 1 with ω = 0.1 , 0.2 , 0.5 , 1.0 when d = 1.0 mm and T = 20   C .
Figure 19. Comparison of numerical and experimental results of G 1 with ω = 0.1 , 0.2 , 0.5 , 1.0 when d = 1.0 mm and T = 20   C .
Fractalfract 07 00714 g019
Figure 20. Comparison of numerical and experimental results of η with ω = 0.1 , 0.2 ,   0.5 ,   1.0 when d = 1.0 mm and T = 20   C .
Figure 20. Comparison of numerical and experimental results of η with ω = 0.1 , 0.2 ,   0.5 ,   1.0 when d = 1.0 mm and T = 20   C .
Fractalfract 07 00714 g020
Figure 21. El-Centro and Taft earthquake seismic waves.
Figure 21. El-Centro and Taft earthquake seismic waves.
Fractalfract 07 00714 g021
Figure 22. A three-story building with VE dampers.
Figure 22. A three-story building with VE dampers.
Fractalfract 07 00714 g022
Figure 23. First floor displacement of the building in the example in the El Centro earthquake.
Figure 23. First floor displacement of the building in the example in the El Centro earthquake.
Fractalfract 07 00714 g023
Figure 24. Second floor displacement of the building in the example in the El Centro earthquake.
Figure 24. Second floor displacement of the building in the example in the El Centro earthquake.
Fractalfract 07 00714 g024
Figure 25. Third floor displacement of the building in the example in the El Centro earthquake.
Figure 25. Third floor displacement of the building in the example in the El Centro earthquake.
Fractalfract 07 00714 g025
Figure 26. The maximum displacement of each floor in the El Centro earthquake.
Figure 26. The maximum displacement of each floor in the El Centro earthquake.
Fractalfract 07 00714 g026
Figure 27. First floor displacement of the building in the example in the Taft earthquake.
Figure 27. First floor displacement of the building in the example in the Taft earthquake.
Fractalfract 07 00714 g027
Figure 28. Second floor displacement of the building in the example in the Taft earthquake.
Figure 28. Second floor displacement of the building in the example in the Taft earthquake.
Fractalfract 07 00714 g028
Figure 29. Third floor displacement of the building in the example in the Taft earthquake.
Figure 29. Third floor displacement of the building in the example in the Taft earthquake.
Fractalfract 07 00714 g029
Figure 30. The maximum displacement of each floor in the Taft earthquake.
Figure 30. The maximum displacement of each floor in the Taft earthquake.
Fractalfract 07 00714 g030
Table 1. Parameters of the CFOPSO algorithm.
Table 1. Parameters of the CFOPSO algorithm.
CFOPSO ParameterValue
Number of particles N = 50
Number of iterations/Repeated experiments i = 200 / E = 40
Scaling factors c 1 = c 2 = 1.5
Chaotic bifurcation parameter μ = 4.0
Table 2. Parameters of the AEF-Zener model ( ω = 0.5 rad/s).
Table 2. Parameters of the AEF-Zener model ( ω = 0.5 rad/s).
Parameters P 1 q 0 q 1 a 1
Values 1.02 × 10 6 0.6513.849 6.82 × 10 9
Parameters a 2 a 3 a 4 a 5
Values 4.076 × 10 7 1.369 × 10 5 −0.00130.0301
Parameters b 1 c 1 c 2 c 3
Values0.6526 7.37 × 10 9 7.039 × 10 7 1.449 × 10 5
Parameters c 4 c 5 b 2
Values 0.454 × 10 3 0.0213 0.574
Table 3. Parameters of the modified AEF-Zener model ( k 1 , k 2 ).
Table 3. Parameters of the modified AEF-Zener model ( k 1 , k 2 ).
Parameters a 1 * a 2 * a 3 * a 4 *
Values 4.911 × 10 8 4.656 × 10 6 1.537 × 10 4 0.00212
Parameters a 5 * b 1 * c 1 * c 2 *
Values 0.00995 0.2227 4.314 × 10 8 4.291 × 10 6
Parameters c 3 * c 4 * c 5 * b 2 *
Values 0.2227 0.001589 0.004628 0.1724
Table 4. Comparison between experimental data and numerical results for the AEF-Zener model.
Table 4. Comparison between experimental data and numerical results for the AEF-Zener model.
Storage Modulus, G 1 ( MPa ) Loss Factor, η
ω (rad/s) T ( C )ExperimentalNumericalExperimentalNumerical
0.1−102.27402.21290.77650.6886
−51.69511.76990.49040.5591
01.50431.31590.40120.4321
51.15301.04120.31700.3498
101.02320.90920.26810.2985
201.00370.90680.24130.2447
300.81110.78190.22010.2306
400.73600.70140.19400.2157
0.2−102.82332.76230.93320.9156
−51.94082.11600.61190.6533
01.76121.55840.51320.4863
51.23411.21180.35730.3831
101.11231.03500.29050.3190
201.04810.93130.26120.2566
300.90680.85310.23800.2412
400.80340.72210.21210.2245
0.5−103.82273.78871.11681.1153
−52.55602.71390.76350.8305
02.12401.92110.69230.6135
51.32501.43820.44230.4618
101.17101.18240.33530.3641
201.12621.01580.29400.2817
301.02310.90620.26930.2640
400.91140.85650.24330.2429
1.0−104.75514.47951.20491.2601
53.06263.29870.91860.9722
02.64082.54500.81850.8356
51.46141.30900.54680.5912
101.28401.19410.38480.4322
201.19671.09290.32740.3176
301.08971.01230.29200.2968
400.97861.01160.26050.2690
Table 5. Root-mean-square error of G 1 and η .
Table 5. Root-mean-square error of G 1 and η .
Storage Modulus, G 1 Loss Factor, η
Frequency (rad/s)Root-Mean-Square Error (%)Root-Mean-Square Error (%)
0.19.654.47
0.211.162.23
0.511.633.89
1.015.413.64
Table 6. The experimental and numerical results comparison of G 1 for different frequencies when d = 1.0 mm and ω = 1.0 rad/s.
Table 6. The experimental and numerical results comparison of G 1 for different frequencies when d = 1.0 mm and ω = 1.0 rad/s.
Storage Modulus, G 1 (MPa)Error
T ( C ) ExperimentalAEF ModelEFMCS ModelAEF ModelEFMCS Model
−104.75514.47954.48035.80%5.78%
−53.06263.29873.29007.71%7.41%
02.64082.54502.57773.63%2.39%
51.46141.30901.79959.28%23.14%
101.28401.19411.56537.00%21.73%
201.19671.09291.38478.67%15.71%
301.08971.01231.12187.10%2.95%
400.97861.01160.93893.37%4.06%
Table 7. The experimental and numerical results comparison of η for different frequencies when d = 1.0 mm and ω = 1.0 rad/s.
Table 7. The experimental and numerical results comparison of η for different frequencies when d = 1.0 mm and ω = 1.0 rad/s.
Loss Factor, η Error
T ( C )ExperimentalAEF ModelEFMCS ModelAEF ModelEFMCS Model
−101.20491.26011.35494.58%7.52%
−50.91860.97221.02255.83%11.31%
00.81850.83560.76662.09%6.34%
50.54680.59120.46088.12%15.73%
100.38480.43220.378412.32%1.66%
200.32740.31760.32343.00%1.22%
300.29200.29680.25971.64%11.06%
400.26050.26900.22533.26%13.51%
Table 8. The experimental and numerical results comparison of G 1 for different frequencies when d = 1.0 mm and T = 20   C .
Table 8. The experimental and numerical results comparison of G 1 for different frequencies when d = 1.0 mm and T = 20   C .
Storage Modulus, G 1 (MPa)Error
ω (rad/s)ExperimentalAEF ModelXu’s ModelAEF ModelXu’s Model
0.11.00370.90680.91289.65%9.05%
0.21.04810.93131.011911.14%3.45%
0.51.12621.01581.17849.80%4.63%
1.01.19671.09291.33798.67%11.80%
Table 9. The experimental and numerical results comparison of η for different frequencies when d = 1.0 mm and T = 20   C .
Table 9. The experimental and numerical results comparison of η for different frequencies when d = 1.0 mm and T = 20   C .
Loss Factor, η Error
ω (rad/s)ExperimentalAEF ModelXu’s ModelAEF ModelXu’s Model
0.10.24130.24470.23901.41%0.95%
0.20.26120.25660.26461.76%1.30%
0.50.29400.28170.29774.18%4.28%
1.00.32740.31760.29172.99%9.07%
Table 10. Building parameters for the example.
Table 10. Building parameters for the example.
Floor123
Quality (kg)2.40 × 10 5 1.20 × 10 5 1.20 × 10 5
Rigidity (N/m)1.08 × 10 6 3.60 × 10 5 2.16 × 10 5
Disclaimer/Publisher’s Note: The statements, opinions and data contained in all publications are solely those of the individual author(s) and contributor(s) and not of MDPI and/or the editor(s). MDPI and/or the editor(s) disclaim responsibility for any injury to people or property resulting from any ideas, methods, instructions or products referred to in the content.

Share and Cite

MDPI and ACS Style

Xu, K.; Chen, L.; Lopes, A.M.; Wang, M.; Wu, R.; Zhu, M. Fractional-Order Zener Model with Temperature-Order Equivalence for Viscoelastic Dampers. Fractal Fract. 2023, 7, 714. https://doi.org/10.3390/fractalfract7100714

AMA Style

Xu K, Chen L, Lopes AM, Wang M, Wu R, Zhu M. Fractional-Order Zener Model with Temperature-Order Equivalence for Viscoelastic Dampers. Fractal and Fractional. 2023; 7(10):714. https://doi.org/10.3390/fractalfract7100714

Chicago/Turabian Style

Xu, Kang, Liping Chen, António M. Lopes, Mingwu Wang, Ranchao Wu, and Min Zhu. 2023. "Fractional-Order Zener Model with Temperature-Order Equivalence for Viscoelastic Dampers" Fractal and Fractional 7, no. 10: 714. https://doi.org/10.3390/fractalfract7100714

APA Style

Xu, K., Chen, L., Lopes, A. M., Wang, M., Wu, R., & Zhu, M. (2023). Fractional-Order Zener Model with Temperature-Order Equivalence for Viscoelastic Dampers. Fractal and Fractional, 7(10), 714. https://doi.org/10.3390/fractalfract7100714

Article Metrics

Back to TopTop