Carbon Fibers and Graphite as Pore-Forming Agents for the Obtention of Porous Alumina: Correlating Physical and Fractal Characteristics
Abstract
:1. Introduction
2. Materials and Methods
2.1. Raw Materials
2.2. Preparation of Porous Alumina
2.3. Characterization Methods
3. Results and Discussion
3.1. Pore-Size Distribution and Porosity of Alumina Samples
3.2. Mechanical Properties of Porous Alumina
3.3. Phase Composition and Microstructure of Porous Alumina
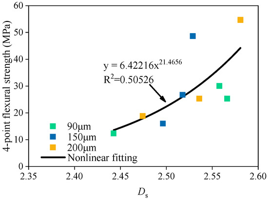
3.4. Fractal Characteristics of Porous Alumina
4. Conclusions
Author Contributions
Funding
Institutional Review Board Statement
Informed Consent Statement
Data Availability Statement
Conflicts of Interest
References
- Dang, W.; Wang, W.; Wu, P.; Li, F.; Zhao, K.; Tang, Y. Freeze-cast porous AL2O3 ceramics strengthened by up to 80% ceramics fibers. Ceram. Int. 2022, 48, 9835–9841. [Google Scholar] [CrossRef]
- Yang, J.; Long-Hua, X.U.; Hou-Qin, W.U.; Jin, J. Preparation and properties of porous ceramics from spodumene flotation tailings by low-temperature sintering. T. Nonferr. Metal. Soc. 2021, 31, 2797–2811. [Google Scholar] [CrossRef]
- Zhang, Y.; Wu, Y.; Yang, X.; Li, D.; Zhang, X.; Dong, X.; Yao, X.; Liu, J.; Guo, A. High-strength thermal insulating mullite nanofibrous porous ceramics. J. Eur. Ceram. Soc. 2020, 40, 2090–2096. [Google Scholar] [CrossRef]
- Yu, J.; Yang, Z.; Song, Z.; Deng, K.; Ren, Z. Preparation of porous al 2 o 3 ceramics with in situ formed c-nanowires derived form silicone resin. Mater. Lett. 2018, 212, 271–274. [Google Scholar] [CrossRef]
- Liu, R.; Xu, T.; Wang, C.-A. A review of fabrication strategies and applications of porous ceramics prepared by freeze-casting method. Ceram. Int. 2016, 42, 2907–2925. [Google Scholar] [CrossRef]
- Mocciaro, A.; Lombardi, M.B.; Scian, A.N. Ceramic material porous structure prepared using pore-forming additives. Refract. Ind. Ceram. 2017, 58, 65–68. [Google Scholar] [CrossRef]
- Studart, A.R.; Gonzenbach, U.T.; Tervoort, E.; Gauckler, L.J. Processing routes to macroporous ceramics: A review. J. Am. Ceram. Soc. 2006, 89, 1771–1789. [Google Scholar] [CrossRef]
- Kultayeva, S.; Kim, Y.W.; Song, I.H. Effects of dopants on electrical, thermal, and mechanical properties of porous sic ceramics. J. Eur. Ceram. Soc. 2021, 41, 4006–4015. [Google Scholar] [CrossRef]
- Novais, R.M.; Seabra, M.P.; Labrincha, J.A. Ceramic tiles with controlled porosity and low thermal conductivity by using pore-forming agents. Ceram. Int. 2014, 40, 11637–11648. [Google Scholar] [CrossRef]
- Xu, H.; Liu, J.; Guo, A.; Du, H.; Hou, Z. Porous silica ceramics with relatively high strength and novel bi-modal pore structure prepared by a TBA-based gel-casting method. Ceram. Int. 2012, 38, 1725–1729. [Google Scholar] [CrossRef]
- Wei, Z.; Li, S.; Li, Y.; Li, X.; Xiang, R.; Xu, N. Porous alumina ceramics with enhanced mechanical and thermal insulation properties based on sol-treated rice husk. Ceram. Int. 2018, 44, 22616–22621. [Google Scholar] [CrossRef]
- Liu, J.; Ren, B.; Wang, Y.; Lu, Y.; Wang, L.; Chen, Y.; Yang, J.; Huang, Y. Hierarchical porous ceramics with 3d reticular architecture and efficient flow-through filtration towards high-temperature particulate matter capture. Chem. Eng. J. 2019, 362, 504–512. [Google Scholar] [CrossRef]
- Hammel, E.C.; Ighodaro, O.L.R.; Okoli, O.I. Processing and properties of advanced porous ceramics: An application based review. Ceram. Int. 2014, 40, 15351–15370. [Google Scholar] [CrossRef]
- Vogt, U.F.; Györfy, L.; Herzog, A.; Graule, T.; Plesch, G. Macroporous silicon carbide foams for porous burner applications and catalyst supports. J. Phys. Chem. Solids 2007, 68, 1234–1238. [Google Scholar] [CrossRef]
- Guzman, I.Y. Certain principles of formation of porous ceramic structures. Properties and applications (A review). Glass Ceram. 2003, 60, 280–283. [Google Scholar] [CrossRef]
- Zuo, K.H.; Zeng, Y.P.; Jiang, D. Effect of polyvinyl alcohol additive on the pore structure and morphology of the freeze-cast hydroxyapatite ceramics. Mat. Sci. Eng. C-Mater. 2010, 30, 283–287. [Google Scholar] [CrossRef]
- Chen, F.; Ma, L.; Shen, Q.; Zhang, L. Pore structure control of starch processed silicon nitride porous ceramics with near-zero shrinkage. Mater. Lett. 2011, 65, 1410–1412. [Google Scholar] [CrossRef]
- Liu, J.; Ren, B.; Zhu, T.; Yan, S.; Zhang, X.; Huo, W.; Chen, Y.; Yang, J. Enhanced mechanical properties and decreased thermal conductivity of porous alumina ceramics by optimizing pore structure. Ceram. Int. 2018, 44, 13240–13246. [Google Scholar] [CrossRef]
- Yang, H.M.; Zhang, S.M.; Wang, L.; Chen, P.; Shao, D.K.; Tang, S.W.; Li, J.Z. High-ferrite portland cement with slag: Hydration, microstructure, and resistance to sulfate attack at elevated temperature. Cement Concrete Comp. 2022, 130, 104560. [Google Scholar] [CrossRef]
- Li, X.; Yao, D.; Zuo, K.; Xia, Y.; Yin, J.; Liang, H.; Zeng, Y.P. Fabrication, microstructural characterization and gas permeability behavior of porous silicon nitride ceramics with controllable pore structures. J. Eur. Ceram. Soc. 2019, 39, 2855–2861. [Google Scholar] [CrossRef]
- Zhang, J.; Bian, F.; Zhang, Y.; Fang, Z.; Fu, C.; Guo, J. Effect of pore structures on gas permeability and chloride diffusivity of concrete. Constr. Build. Mater. 2018, 163, 402–413. [Google Scholar] [CrossRef]
- Lei, H.; Wu, X.; Chen, R. Preparation of porous alumina abrasives and their chemical mechanical polishing behavior. Thin Solid Films 2012, 520, 2868–2872. [Google Scholar] [CrossRef]
- Song, Y.; Zhou, J.-W.; Bian, Z.-N.; Dai, G.-Z. Pore structure characterization of hardened cement paste by multiple methods. Adv. Mater. Sci. Eng. 2019, 2019, 3726953. [Google Scholar] [CrossRef]
- Brun, M.; Casnedi, L.; Pia, G. Bending strength of porous ceramics tiles: Bounds and estimates of effective properties of an intermingled fractal units’ model. Ceram. Int. 2018, 44, 10241–10248. [Google Scholar] [CrossRef]
- Zeng, Q.; Chen, S.; Yang, P.; Peng, Y.; Wang, J.; Zhou, C.; Wang, Z.; Yan, D. Reassessment of mercury intrusion porosimetry for characterizing the pore structure of cement-based porous materials by monitoring the mercury entrapments with x-ray computed tomography. Cement Concrete Comp. 2020, 113, 103726. [Google Scholar] [CrossRef]
- Mandelbrot; Benoit, B. The fractal geometry of nature. Am. J. Phys. 1998, 51, 268–287. [Google Scholar] [CrossRef]
- Posadas, A.N.D.; Giménez, D.; Quiroz, R.; Protz, R. Multifractal characterization of soil pore systems. Soil Sci. Soc. Am. J. 2003, 67, 1631–1639. [Google Scholar] [CrossRef]
- Peng, Y.; Tang, S.; Huang, J.; Tang, C.; Wang, L.; Liu, Y. Fractal analysis on pore structure and modeling of hydration of magnesium phosphate cement paste. Fractal Fract. 2022, 6, 337. [Google Scholar] [CrossRef]
- Jin, S.; Zhang, J.; Han, S. Fractal analysis of relation between strength and pore structure of hardened mortar. Constr. Build. Mater. 2017, 135, 1–7. [Google Scholar] [CrossRef]
- Meng, Q.; Qin, Q.; Yang, H.; Zhou, H.; Wu, K.; Wang, L. Fractal characteristics of the pore structure of coral powder-cement slurry under different fractal models. Fractal Fract. 2022, 6, 145. [Google Scholar] [CrossRef]
- Li, D.; Niu, D.; Fu, Q.; Luo, D. Fractal characteristics of pore structure of hybrid basalt–polypropylene fibre-reinforced concrete. Cem. Concr. Comp. 2020, 109, 103555. [Google Scholar] [CrossRef]
- Casnedi, L.; Licheri, R.; Brun, M.; Pia, G. From nature geometry to material design: Advanced fractal nature analysis for predicting experimental elastic properties. Ceram. Int. 2020, 46, 23947–23955. [Google Scholar] [CrossRef]
- Wang, L.; Zhou, S.; Shi, Y.; Huang, Y.; Zhao, F.; Huo, T.; Tang, S. The Influence of Fly Ash Dosages on the Permeability, Pore Structure and Fractal Features of Face Slab Concrete. Fractal Fract. 2022, 6, 476. [Google Scholar] [CrossRef]
- Wang, L.; Zeng, X.; Yang, H.; Lv, X.; Guo, F.; Shi, Y.; Hanif, A. Investigation and application of fractal theory in cement-based materials: A review. Fractal Fract. 2021, 5, 247. [Google Scholar] [CrossRef]
- Bai, S.; Guan, X. New approach for evaluating chloride ion penetration of mortar in cold environments. Adv. Cem. Res. 2021, 33, 285–294. [Google Scholar] [CrossRef]
- Wang, L.; Yu, Z.; Liu, B.; Zhao, F.; Tang, S.; Jin, M. Effects of fly ash dosage on shrinkage, crack resistance and fractal characteristics of face slab concrete. Fractal Fract. 2022, 6, 335. [Google Scholar] [CrossRef]
- Mahamud, M.; López, Ó.; Pis, J.J.; Pajares, J.A. Textural characterization of coals using fractal analysis. Fuel Process. Technol. 2003, 81, 127–142. [Google Scholar] [CrossRef]
- Neimark, A. A new approach to the determination of the surface fractal dimension of porous solids. Phys. A. 1992, 191, 258–262. [Google Scholar] [CrossRef]
- Zhang, B.; Li, S. Determination of the surface fractal dimension for porous media by mercury porosimetry. Ind. Eng. Chem. Res. 1995, 34, 1383–1386. [Google Scholar] [CrossRef]
- Cai, Y.; Liu, D.; Pan, Z.; Che, Y.; Liu, Z. Investigating the effects of seepage-pores and fractures on coal permeability by fractal analysis. Transp. Porous Med. 2015, 111, 479–497. [Google Scholar] [CrossRef]
- Chen, Y.; Guo, W.; Luo, Y.; Ma, Z.; Zhang, L.; Yue, Z. Microwave and terahertz properties of porous Ba4(Sm,Nd,Bi)28/3Ti18O54 ceramics obtained by sacrificial template method. J. Am. Ceram. Soc. 2021, 104, 5679–5688. [Google Scholar] [CrossRef]
- Hedayat, N.; Du, Y.; Ilkhani, H. Review on fabrication techniques for porous electrodes of solid oxide fuel cells by sacrificial template methods. Renew. Sust. Energy Rev. 2017, 77, 1221–1239. [Google Scholar] [CrossRef]
















| Materials. | Average Diameter (μm) | Length (μm) | Aspect Ratios | Density (g·cm−3) |
|---|---|---|---|---|
| CF1 | 14.5 | 90.0 | 6.2 | 1.75 |
| CF2 | 14.5 | 150.0 | 10.3 | 1.75 |
| CF3 | 14.5 | 200.0 | 13.8 | 1.75 |
| Samples | Length of Carbon Fiber (μm) | Compositions of Pore Formers (vol.%) | ||
|---|---|---|---|---|
| Alumina | Carbon Fiber | Graphite | ||
| A11 | 90 | 70 | 9 | 21 |
| A12 | 90 | 70 | 15 | 15 |
| A13 | 90 | 70 | 21 | 9 |
| A21 | 150 | 70 | 9 | 21 |
| A22 | 150 | 70 | 15 | 15 |
| A23 | 150 | 70 | 21 | 9 |
| A31 | 200 | 70 | 9 | 21 |
| A32 | 200 | 70 | 15 | 15 |
| A33 | 200 | 70 | 21 | 9 |
| B11 | 90 | 50 | 15 | 35 |
| B12 | 90 | 50 | 25 | 25 |
| B13 | 90 | 50 | 35 | 15 |
| B21 | 150 | 50 | 15 | 35 |
| B22 | 150 | 50 | 25 | 25 |
| B23 | 150 | 50 | 35 | 15 |
| B31 | 200 | 50 | 15 | 35 |
| B32 | 200 | 50 | 25 | 25 |
| B33 | 200 | 50 | 35 | 15 |
| C11 | 90 | 30 | 21 | 49 |
| C12 | 90 | 30 | 35 | 35 |
| C13 | 90 | 30 | 49 | 21 |
| C21 | 150 | 30 | 21 | 49 |
| C22 | 150 | 30 | 35 | 35 |
| C23 | 150 | 30 | 49 | 21 |
| C31 | 200 | 30 | 21 | 49 |
| C32 | 200 | 30 | 35 | 35 |
| C33 | 200 | 30 | 49 | 21 |
| Samples | Ds | R2 |
|---|---|---|
| A11 | 2.67513 | 0.99238 |
| A12 | 2.65407 | 0.99291 |
| A13 | 2.67362 | 0.99270 |
| A21 | 2.57677 | 0.99295 |
| A22 | 2.63034 | 0.99429 |
| A23 | 2.67939 | 0.99553 |
| A31 | 2.66182 | 0.99424 |
| A32 | 2.66401 | 0.99443 |
| A33 | 2.69290 | 0.99381 |
| B11 | 2.54288 | 0.99144 |
| B12 | 2.66333 | 0.99302 |
| B13 | 2.60491 | 0.99283 |
| B21 | 2.57040 | 0.99180 |
| B22 | 2.68943 | 0.99189 |
| B23 | 2.54337 | 0.99100 |
| B31 | 2.57598 | 0.99183 |
| B32 | 2.63976 | 0.99387 |
| B33 | 2.63289 | 0.99136 |
| C11 | 2.56622 | 0.99346 |
| C12 | 2.55775 | 0.99045 |
| C13 | 2.44255 | 0.99028 |
| C21 | 2.49620 | 0.99052 |
| C22 | 2.52884 | 0.99065 |
| C23 | 2.51773 | 0.99068 |
| C31 | 2.47420 | 0.98923 |
| C32 | 2.58065 | 0.99129 |
| C33 | 2.53592 | 0.99098 |
Publisher’s Note: MDPI stays neutral with regard to jurisdictional claims in published maps and institutional affiliations. |
© 2022 by the authors. Licensee MDPI, Basel, Switzerland. This article is an open access article distributed under the terms and conditions of the Creative Commons Attribution (CC BY) license (https://creativecommons.org/licenses/by/4.0/).
Share and Cite
Fang, L.; Chen, C.; Wang, Y. Carbon Fibers and Graphite as Pore-Forming Agents for the Obtention of Porous Alumina: Correlating Physical and Fractal Characteristics. Fractal Fract. 2022, 6, 501. https://doi.org/10.3390/fractalfract6090501
Fang L, Chen C, Wang Y. Carbon Fibers and Graphite as Pore-Forming Agents for the Obtention of Porous Alumina: Correlating Physical and Fractal Characteristics. Fractal and Fractional. 2022; 6(9):501. https://doi.org/10.3390/fractalfract6090501
Chicago/Turabian StyleFang, Litong, Chang Chen, and Yubin Wang. 2022. "Carbon Fibers and Graphite as Pore-Forming Agents for the Obtention of Porous Alumina: Correlating Physical and Fractal Characteristics" Fractal and Fractional 6, no. 9: 501. https://doi.org/10.3390/fractalfract6090501
APA StyleFang, L., Chen, C., & Wang, Y. (2022). Carbon Fibers and Graphite as Pore-Forming Agents for the Obtention of Porous Alumina: Correlating Physical and Fractal Characteristics. Fractal and Fractional, 6(9), 501. https://doi.org/10.3390/fractalfract6090501

