A Uniform Accuracy High-Order Finite Difference and FEM for Optimal Problem Governed by Time-Fractional Diffusion Equation
Abstract
:1. Introduction
2. Optimality Condition of FOCP
3. Semidiscrete Scheme for FOCP
4. Fully Discrete Scheme for the FOCP
4.1. The FD-FE Scheme for the State Equation
4.2. The Adjoint Equation’s FD-FE Scheme
5. Numerical Examples
5.1. The Conjugate Gradient (CG) of Optimization Algorithm
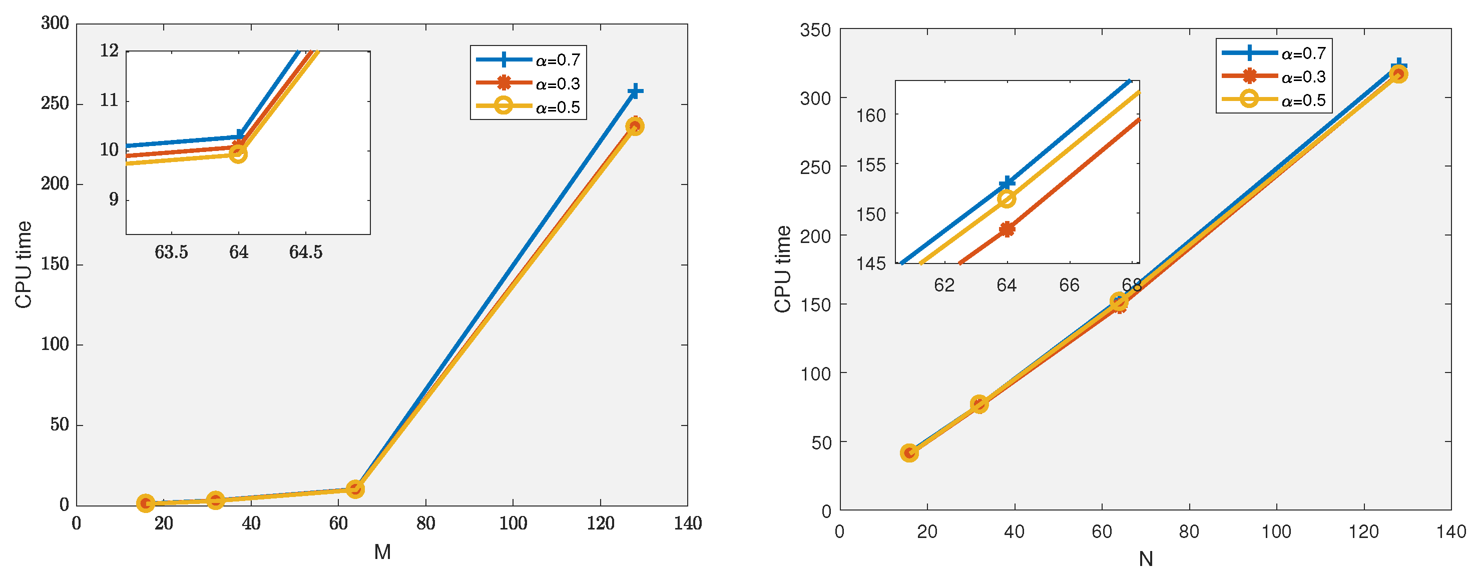
5.2. Numerical Results
6. Conclusions
Author Contributions
Funding
Institutional Review Board Statement
Informed Consent Statement
Data Availability Statement
Acknowledgments
Conflicts of Interest
Appendix A. The Proof of Lemma 6
Appendix B. The Proof of Lemma 7
Appendix C. The Proof of Lemma 8
References
- Jajarmi, A.; Baleanu, D. On the fractional optimal control problems with a general derivative operator. Asian J. Control 2021, 23, 1062–1071. [Google Scholar] [CrossRef]
- Zaky, M.; Machado, J. On the formulation and numerical simulation of distributed-order fractional optimal control problems. Commun. Nonlinear Sci. Numer. Simul. 2017, 52, 177–189. [Google Scholar] [CrossRef]
- Sabermahani, S.; Ordokhani, Y.; Yousefi, S. Fractional-order Lagrange polynomials: An application for solving delay fractional optimal control problems. Trans. Inst. Meas. Control 2019, 41, 2997–3009. [Google Scholar] [CrossRef]
- Hassani, H.; Machado, J.; Naraghirad, E. Generalized shifted Chebyshev polynomials for fractional optimal control problems. Commun. Nonlinear Sci. Numer. Simul. 2019, 75, 50–61. [Google Scholar] [CrossRef]
- Zaky, M. A Legendre collocation method for distributed-order fractional optimal control problems. Nonlinear Dynam. 2018, 91, 2667–2681. [Google Scholar] [CrossRef]
- Ejlali, N.; Hosseini, S. A pseudospectral method for fractional optimal control problems. J. Optim. Theory Appl. 2017, 174, 83–107. [Google Scholar] [CrossRef]
- Heydari, M.; Razzaghi, M. Piecewise Chebyshev cardinal functions: Application for constrained fractional optimal control problems. Chaos Solitons Fractals. 2021, 150, 111118. [Google Scholar] [CrossRef]
- Bhrawy, A.; Ezz-Eldien, S.; Doha, E.; Abdelkawy, M.; Baleanu, D. Solving fractional optimal control problems within a Chebyshev–Legendre operational technique. Int. J. Control. 2017, 90, 1230–1244. [Google Scholar] [CrossRef]
- Nemati, S.; Lima, P.; Torres, D. A numerical approach for solving fractional optimal control problems using modified hat functions. Commun. Nonlinear Sci. Numer. Simul. 2019, 78, 104849. [Google Scholar] [CrossRef]
- Ezz-Eldien, S.; Doha, E.; Baleanu, D.; Bhrawy, A. A numerical approach based on Legendre orthonormal polynomials for numerical solutions of fractional optimal control problems. J. Vib. Control. 2017, 23, 16–30. [Google Scholar] [CrossRef]
- Tang, X.; Shi, Y.; Wang, L. A new framework for solving fractional optimal control problems using fractional pseudospectral methods. Automatica 2017, 78, 333–340. [Google Scholar] [CrossRef]
- Wang, F.; Li, X.; Zhou, Z. Spectral Galerkin Approximation of Space Fractional Optimal Control Problem with Integral State Constraint. Fractal Fract. 2021, 5, 102. [Google Scholar] [CrossRef]
- Dehghan, M.; Hamedi, E.; Khosravian-Arab, H. A numerical scheme for the solution of a class of fractional variational and optimal control problems using the modified Jacobi polynomials. J. Vib. Control 2016, 22, 1547–1559. [Google Scholar] [CrossRef]
- Doha, E.; Bhrawy, A.; Baleanu, D.; Ezz-Eldien, S.; Hafez, R. An efficient numerical scheme based on the shifted orthonormal Jacobi polynomials for solving fractional optimal control problems. Adv. Differ. Equ. 2015, 2015, 1–17. [Google Scholar] [CrossRef]
- Ghanbari, G.; Razzaghi, M. Numerical solutions for distributed-order fractional optimal control problems by using generalized fractional-order Chebyshev wavelets. Nonlinear Dynam. 2022, 108, 265–277. [Google Scholar] [CrossRef]
- Tajadodi, H.; Khan, A.; Francisco, G.; Khan, H. Optimal control problems with Atangana-Baleanu fractional derivative. Optim. Contr. Appl. Met. 2021, 42, 96–109. [Google Scholar] [CrossRef]
- Rakhshan, S.; Effati, S. The Laplace-collocation method for solving fractional differential equations and a class of fractional optimal control problems. Optim. Contr. Appl. Met. 2018, 39, 1110–1129. [Google Scholar] [CrossRef]
- Habibli, M.; Noori Skandari, M. Fractional Chebyshev pseudospectral method for fractional optimal control problems. Optim. Contr. Appl. Met. 2019, 40, 558–572. [Google Scholar] [CrossRef]
- Rahimkhani, P.; Ordokhani, Y. Generalized fractional-order Bernoulli–Legendre functions: An effective tool for solving two-dimensional fractional optimal control problems. IMA J. Math. Control Inform. 2019, 36, 185–212. [Google Scholar] [CrossRef]
- Guo, T. The necessary conditions of fractional optimal control in the sense of Caputo. J. Optim. Theory Appl. 2013, 156, 115–126. [Google Scholar] [CrossRef]
- Antil, H.; Otarola, E.; Salgado, A. A space-time fractional optimal control problem: Analysis and discretization. SIAM J. Control Optim. 2016, 54, 1295–1328. [Google Scholar] [CrossRef]
- Liu, J.; Zhou, Z. Finite element approximation of time fractional optimal control problem with integral state constraint. AIMS Math. 2021, 6, 979–997. [Google Scholar] [CrossRef]
- Ye, X.; Xu, C. A space-time spectral method for the time fractional diffusion optimal control problems. Adv. Differ. Equ. 2015, 2015, 1–20. [Google Scholar] [CrossRef]
- Zhou, Z.; Gong, W. Finite element approximation of optimal control problems governed by time fractional diffusion equation. Comput. Math. Appl. 2016, 71, 301–318. [Google Scholar] [CrossRef]
- Zhou, Z.; Tan, Z. Finite element approximation of optimal control problem governed by space fractional equation. J. Sci. Comput. 2019, 78, 1840–1861. [Google Scholar] [CrossRef]
- D’elia, M.; Glusa, C.; Otárola, E. A priori error estimates for the optimal control of the integral fractional Laplacian. SIAM J. Control Optim. 2019, 57, 2775–2798. [Google Scholar] [CrossRef]
- Wu, S.; Huang, T. A fast second-order parareal solver for fractional optimal control problems. J. Vib. Control 2018, 24, 3418–3433. [Google Scholar] [CrossRef]
- Chen, Y.; Lin, X.; Huang, Y. Error analysis of spectral approximation for space–time fractional optimal control problems with control and state constraints. J. Comput. Appl. Math. 2022, 413, 114293. [Google Scholar] [CrossRef]
- Wang, Y.; Cao, W.; Li, S. A spectral Petrov-Galerkin method for optimal control problem governed by a fractional ordinary differential equation. Appl. Numer. Math. 2022, 177, 18–33. [Google Scholar] [CrossRef]
- Xu, X.; Xiong, L.; Zhou, F. Solving fractional optimal control problems with inequality constraints by a new kind of Chebyshev wavelets method. J. Comput. Sci.-Neth. 2021, 54, 101412. [Google Scholar] [CrossRef]
- Baghani, O. Second Chebyshev wavelets (SCWs) method for solving finite-time fractional linear quadratic optimal control problems. Math. Comput. Simul. 2021, 190, 343–361. [Google Scholar] [CrossRef]
- Mohammadi, F.; Hassani, H. Numerical solution of two-dimensional variable-order fractional optimal control problem by generalized polynomial basis. J. Optim. Theory Appl. 2021, 180, 536–555. [Google Scholar] [CrossRef]
- Du, N.; Wang, H.; Liu, W. A fast gradient projection method for a constrained fractional optimal control. J. Sci. Comput. 2016, 68, 1–20. [Google Scholar] [CrossRef]
- Kumar, N.; Mehra, M. Collocation method for solving nonlinear fractional optimal control problems by using Hermite scaling function with error estimates. Optim. Contr. Appl. Met. 2021, 42, 417–444. [Google Scholar] [CrossRef]
- Zahra, W.; Hikal, M. Non standard finite difference method for solving variable order fractional optimal control problems. J. Vib. Control. 2017, 23, 948–958. [Google Scholar] [CrossRef]
- Ndaïrou, F.; Torres, D.F.M. Optimal control problems involving combined fractional operators with general analytic kernels. Mathematics 2021, 9, 2355. [Google Scholar] [CrossRef]
- Rosa, S.; Torres, D.F.M. Fractional modelling and optimal control of COVID-19 transmission in Portugal. Axioms 2022, 11, 170. [Google Scholar] [CrossRef]
- Anatoly, A.; Kilbas, H.; Srivastava, J. Theory and Applications of Fractional Differential Equations; Academic Press: New York, NY, USA, 2006. [Google Scholar]
- Kenichi, S.; Masahiro, Y. Initial value/boundary value problems for fractional diffusion-wave equations and applications to some inverse problems. J. Math. Anal. Appl. 2011, 382, 426–447. [Google Scholar]
- Li, X.; Xu, C. A space-time spectral method for the time fractional diffusion equation. SIAM J. Numer. Anal. 2009, 47, 2108–2131. [Google Scholar] [CrossRef]
- Jin, B. Error analysis of semidiscrete finite element methods for inhomogeneous time-fractional diffusion. IMA J. Numer. Anal. 2015, 35, 561–582. [Google Scholar] [CrossRef]
- Cao, J.; Cai, Z. Numerical analysis of a high-order scheme for nonlinear fractional differential equations with uniform accuracy. Numer. Math. Theory Methods Appl. 2021, 14, 71–112. [Google Scholar] [CrossRef]
- Cao, J.; Xu, C. A high order schema for the numerical solution of the fractional ordinary differential equations. J. Comput. Phys. 2013, 238, 154–168. [Google Scholar] [CrossRef]
- Lv, C.; Xu, C. Error analysis of a high order method for time-fractional diffusion equations. SIAM J. Sci. Comput. 2016, 38, A2699–A2724. [Google Scholar] [CrossRef]
- Wang, Z.; Cui, J. Second-order two-scale method for bending behavior analysis of composite plate with 3-D periodic configuration and its approximation. Sci. China Math. 2014, 57, 1713–1732. [Google Scholar] [CrossRef]
- Huang, Y.; Gu, X.; Gong, Y.; Li, H.; Zhao, Y.; Carpentieri, B. A fast preconditioned semi-implicit difference scheme for strongly nonlinear space-fractional diffusion equations. Fractal Fract. 2021, 5, 230. [Google Scholar] [CrossRef]
- Gu, X.; Sun, H.; Zhao, Y.; Zheng, X. An implicit difference scheme for time-fractional diffusion equations with a time-invariant type variable order. Appl. Math. Lett. 2021, 120, 107270. [Google Scholar] [CrossRef]
- Huang, Y.; Zeng, F.; Guo, L. Error estimate of the fast L1 method for time-fractional subdiffusion equations. Appl. Math. Lett. 2022, 133, 108288. [Google Scholar] [CrossRef]


| h | Rate | Rate | ||
|---|---|---|---|---|
| 5.09132788 | - | 5.09260622 | - | |
| 1.24529070 | 2.03155941 | 1.24543702 | 2.03175209 | |
| 3.09634055 | 2.00784650 | 3.09650807 | 2.00793795 | |
| 7.73008270 | 2.00200840 | 7.73051611 | 2.00200556 | |
| 1.93158032 | 2.00070217 | 1.93195589 | 2.00050257 | |
| 4.82568312 | 2.00097658 | 4.82961118 | 2.00008320 |
| h | Rate | Rate | ||
|---|---|---|---|---|
| 5.02474475 | - | 5.02718614 | - | |
| 1.22959862 | 2.03086285 | 1.22994227 | 2.03116050 | |
| 3.05765198 | 2.00769134 | 3.05818033 | 2.00784521 | |
| 7.63342242 | 2.00202227 | 7.63490535 | 2.00199130 | |
| 1.90714809 | 2.00091315 | 1.90812917 | 2.00045143 | |
| 4.76172991 | 2.00185918 | 4.77085028 | 1.99984051 |
| h | Rate | Rate | ||
|---|---|---|---|---|
| 4.94152479 | - | 4.94428033 | - | |
| 1.20997787 | 2.02997560 | 1.21038816 | 2.03029075 | |
| 3.00932932 | 2.00746677 | 3.00999385 | 2.00763734 | |
| 7.51326636 | 2.00192983 | 7.51521618 | 2.00187403 | |
| 1.87735003 | 2.00074258 | 1.87864365 | 2.00012316 | |
| 4.68939021 | 2.00122542 | 4.70134232 | 1.99854680 |
| Rate | Rate | |||
|---|---|---|---|---|
| 1.81302869 | - | 1.81311070 | - | |
| 2.75010932 | 2.72084088 | 2.75021268 | 2.72085192 | |
| 4.27236424 | 2.68638241 | 4.27420180 | 2.68581626 | |
| 6.54546760 | 2.70646648 | 6.57125488 | 2.70141421 | |
| 9.77513735 | 2.74330738 | 1.01038698 | 2.70126093 |
| Rate | Rate | |||
|---|---|---|---|---|
| 3.12780360 | - | 3.12813403 | - | |
| 5.54169271 | 2.49675130 | 5.54220128 | 2.49677131 | |
| 9.77009694 | 2.50388193 | 9.77492654 | 2.50330134 | |
| 1.7184216 | 2.50728883 | 1.72467119 | 2.50276451 | |
| 2.97915718 | 2.52810789 | 3.05597106 | 2.49661855 |
| Rate | Rate | |||
|---|---|---|---|---|
| 5.54807629 | - | 5.54989898 | - | |
| 1.09332414 | 2.34326644 | 1.09360389 | 2.34337123 | |
| 2.25329722 | 2.27861164 | 2.25445955 | 2.27823674 | |
| 4.53794774 | 2.31192572 | 4.54816054 | 2.30942654 | |
| 9.12804809 | 2.31366169 | 9.24005981 | 2.29930908 |
| h | Rate | Rate | ||
|---|---|---|---|---|
| 1.11534867 | - | 1.11532795 | - | |
| 2.96296656 | 1.91238053 | 2.96291062 | 1.91238097 | |
| 7.63819538 | 1.95573861 | 7.63805481 | 1.95573793 | |
| 1.93916779 | 1.97779417 | 1.93913963 | 1.97778857 | |
| 4.88530203 | 1.98891798 | 4.88531596 | 1.98889291 |
| h | Rate | Rate | ||
|---|---|---|---|---|
| 1.11068234 | - | 1.11065513 | - | |
| 2.94892688 | 1.91318430 | 2.94885444 | 1.91318440 | |
| 7.59885002 | 1.95633704 | 7.59867696 | 1.95633445 | |
| 1.92856611 | 1.97825249 | 1.92854388 | 1.97823627 | |
| 4.85725519 | 1.98931541 | 4.85748893 | 1.98922935 |
| h | Rate | Rate | ||
|---|---|---|---|---|
| 7.17426167 | - | 3.98340005 | - | |
| 4.90137294 | 5.49644442 | 1.12084191 | 1.82941756 | |
| 2.97665744 | 7.36334890 | 2.97659460 | 1.91284816 | |
| 1.94692375 | 1.95640433 | 7.66980380 | 1.95640117 | |
| 1.94692375 | 1.97802058 | 1.94691821 | 1.97799739 |
| h | Rate | Rate | ||
|---|---|---|---|---|
| 4.65123837 | - | 3.96008205 | - | |
| 1.11534867 | 5.38204819 | 1.11532795 | 1.82806233 | |
| 2.96429450 | 1.91173409 | 2.96423899 | 1.91173431 | |
| 7.64321219 | 1.95543779 | 7.64307151 | 1.95543733 | |
| 1.94087839 | 1.97746935 | 1.94084832 | 1.97746515 |
| h | Rate | Rate | ||
|---|---|---|---|---|
| 4.65214791 | - | 3.94176400 | - | |
| 1.10979951 | 5.38952598 | 1.10977217 | 1.82857786 | |
| 2.94892688 | 1.91203712 | 2.94885444 | 1.91203702 | |
| 7.60347877 | 1.95545851 | 7.60330462 | 1.95545611 | |
| 1.93057130 | 1.97763179 | 1.93054617 | 1.97761752 |
| h | Rate | Rate | ||
|---|---|---|---|---|
| 4.65337865 | - | 3.91653829 | - | |
| 1.10285894 | 5.39895839 | 1.10283434 | 1.82836296 | |
| 2.93078394 | 1.91188976 | 2.93072027 | 1.91188891 | |
| 7.55565458 | 1.95565796 | 7.55552247 | 1.95565184 | |
| 1.91829133 | 1.97773490 | 1.91829807 | 1.97770461 |
Publisher’s Note: MDPI stays neutral with regard to jurisdictional claims in published maps and institutional affiliations. |
© 2022 by the authors. Licensee MDPI, Basel, Switzerland. This article is an open access article distributed under the terms and conditions of the Creative Commons Attribution (CC BY) license (https://creativecommons.org/licenses/by/4.0/).
Share and Cite
Cao, J.; Wang, Z.; Wang, Z. A Uniform Accuracy High-Order Finite Difference and FEM for Optimal Problem Governed by Time-Fractional Diffusion Equation. Fractal Fract. 2022, 6, 475. https://doi.org/10.3390/fractalfract6090475
Cao J, Wang Z, Wang Z. A Uniform Accuracy High-Order Finite Difference and FEM for Optimal Problem Governed by Time-Fractional Diffusion Equation. Fractal and Fractional. 2022; 6(9):475. https://doi.org/10.3390/fractalfract6090475
Chicago/Turabian StyleCao, Junying, Zhongqing Wang, and Ziqiang Wang. 2022. "A Uniform Accuracy High-Order Finite Difference and FEM for Optimal Problem Governed by Time-Fractional Diffusion Equation" Fractal and Fractional 6, no. 9: 475. https://doi.org/10.3390/fractalfract6090475
APA StyleCao, J., Wang, Z., & Wang, Z. (2022). A Uniform Accuracy High-Order Finite Difference and FEM for Optimal Problem Governed by Time-Fractional Diffusion Equation. Fractal and Fractional, 6(9), 475. https://doi.org/10.3390/fractalfract6090475
