Sinc Numeric Methods for Fox-H, Aleph (ℵ), and Saxena-I Functions
Abstract
:1. Introduction
1.1. The Fox H Function
1.2. The ℵ Function
1.3. The Saxena Function
2. Approximations
2.1. Sinc Basis
2.2. Definite Integral Approximation
2.3. Sinc Approximation of Mellin-Barnes Integrals
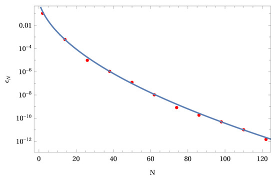
3. Numerical Examples
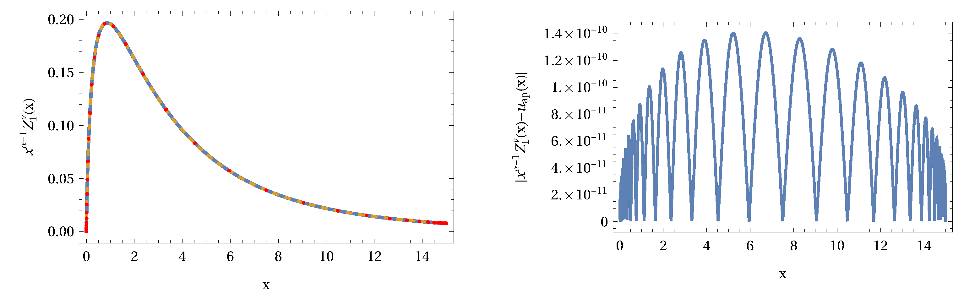
3.1. Fox H Functions
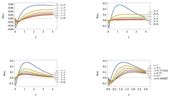
3.2. ℵ Functions
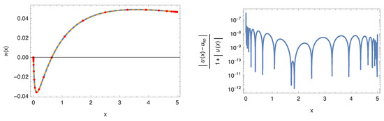
3.3. Saxena I Functions
4. Conclusions
Author Contributions
Funding
Acknowledgments
Conflicts of Interest
References
- Kochubei, A.N.; Luchko, Y.F.; Karniadakis, G.; Tarasov, V.E.; Petráš, I.; Baleanu, D.; Lopes, A.M. (Eds.) Handbook of Fractional Calculus with Applications; De Gruyter Reference; De Gruyter: Berlin, Germany; Boston, MA, USA, 2019; ISBN 978-3-11-057081-6. [Google Scholar]
- Beghin, L.; Mainardi, F.; Garrappa, R. (Eds.) Workshop on Nonlocal and Fractional Operators; Nonlocal and Fractional Operators; Springer: Cham, Switzerland, 2021; ISBN 978-3-030-69236-0. [Google Scholar]
- Kilbas, A.A.; Saigo, M. H-Transforms: Theory and Applications; Analytical Methods and Special Functions; Chapman & Hall/CRC: Boca Raton, FL, USA, 2004; ISBN 978-0-415-29916-9. [Google Scholar]
- Mathai, A.M.; Saxena, R.K.; Haubold, H.J. The H-Function: Theory and Applications; Springer: New York, NY, USA, 2010; ISBN 978-1-4419-0915-2. [Google Scholar]
- Garrappa, R. Numerical Evaluation of Two and Three Parameter Mittag-Leffler Functions. SIAM J. Numer. Anal. 2015, 53, 1350–1369. [Google Scholar] [CrossRef]
- Weideman, J.A.C.; Trefethen, L.N. Parabolic and Hyperbolic Contours for Computing the Bromwich Integral. Math. Comp. 2007, 76, 1341–1357. [Google Scholar] [CrossRef]
- Baumann, G. Sinc Based Inverse Laplace Transforms, Mittag-Leffler Functions and Their Approximation for Fractional Calculus. Fractal Fract. 2021, 5, 43. [Google Scholar] [CrossRef]
- Gorenflo, R.; Kilbas, A.A.; Mainardi, F.; Rogosin, S.V. Mittag-Leffler Functions, Related Topics and Applications; Springer Monographs in Mathematics; Springer: Berlin/Heidelberg, Germany, 2014; ISBN 978-3-662-43929-6. [Google Scholar]
- Mainardi, F.; Pagnini, G. Salvatore Pincherle: The Pioneer of the Mellin-Barnes Integrals. J. Comput. Appl. Math. 2003, 153, 331–342. [Google Scholar] [CrossRef]
- Saxena, V.P. Formal Solution of Certain New Pair of Dual Integral Equations Involving H-Functions. Proc. Nat. Acad. Sci. India Sect. A 1982, 52, 366–375. [Google Scholar]
- Stenger, F. Numerical Methods Based on Sinc and Analytic Functions; Springer Series in Computational Mathematics; Springer: New York, NY, USA, 1993; Volume 20, ISBN 978-1-4612-7637-1. [Google Scholar]
- Baumann, G.; Stenger, F. Fractional Calculus and Sinc Methods. Fract. Calc. Appl. Anal. 2011, 14, 568. [Google Scholar] [CrossRef]
- Stenger, F. Handbook of Sinc Numerical Methods; Chapman & Hall/CRC Numerical Analysis and Scientific Computing; CRC Press: Boca Raton, FL, USA, 2011; ISBN 978-1-4398-2158-9. [Google Scholar]
- Baumann, G. New Sinc Methods of Numerical Analysis: Festschrift in Honor of Frank Stenger’s 80th Birthday; Trends in Mathematics; Springer International Publishing: Cham, Switzerland, 2021; ISBN 978-3-030-49715-6. [Google Scholar]
- Fox, C. A Formal Solution of Certain Dual Integral Equations. Trans. Am. Math. Soc. 1965, 119, 389–398. [Google Scholar] [CrossRef]
- Mathai, A.M.; Saxena, R.K. Generalized Hypergeometric Functions with Applications in Statistics and Physical Sciences; Lecture Notes in Mathematics; Springer: Berlin/Heidelberg, Germany; New York, NY, USA, 1973; ISBN 978-3-540-06482-4. [Google Scholar]
- Südland, N.; Baumann, G.; Nonnenmacher, T.F. Open problem: Who knows about the Aleph-functions. Fract. Calc. Appl. Anal. 1998, 1, 401–402. [Google Scholar]
- Südland, N.; Baumann, G.; Nonnenmacher, T.F. Fractional driftless Fokker-Planck equation with power law diffusion coefficients. In Proceedings of the Computer Algebra in Scientific Computing CASC 2001: Proceedings of the Fourth International Workshop on Computer Algebra in Scientific Computing, Konstanz, Germany, 22–26 September 2001; Ganzha, V.G., Mayr, E.W., Vorozhtsov, E.V., Eds.; Springer: Berlin/Heidelberg, Germany, 2001; pp. 513–528. [Google Scholar]
- Saxena, R.K.; Pogány, T.K. On Fractional Integration Formulae for Aleph Functions. Appl. Math. Comput. 2011, 218, 985–990. [Google Scholar] [CrossRef]
- Südland, N.; Volkmann, J.; Kumar, D. Applications to Give an Analytical Solution to the Black Scholes Equation. Integral Transform. Spec. 2019, 30, 205–230. [Google Scholar] [CrossRef]
- Gupta, P.; Shekhawat, A.S. Fractional Calculus Associated with General Polynomials and Aleph Functions. Glob. J. Pure Appl. Math. 2017, 13, 957–966. [Google Scholar]
- Chaurasia, V.B.L.; Singh, Y. Lambert’s Law and Aleph Function. Int. J. Modern Math. Sci. 2012, 4, 84–88. [Google Scholar]
- Khan, Y.; Sharma, P. Some Integral Properties of Aleph Function, General Class of Polynomials Associated with Feynman Integrals. Int. J. Math. Stat. Invent. 2014, 2, 21–27. [Google Scholar]
- Stenger, F.; El-Sharkawy, H.A.M.; Baumann, G. The Lebesgue Constant for Sinc Approximations. In New Perspectives on Approximation and Sampling Theory; Zayed, A.I., Schmeisser, G., Eds.; Applied and Numerical Harmonic Analysis; Springer International Publishing: Cham, Switzerland, 2014; pp. 319–335. ISBN 978-3-319-08800-6. [Google Scholar]
- Stenger, F. Collocating Convolutions. Math. Comp. 1995, 64, 211. [Google Scholar] [CrossRef]
- Pincherle, S. Sulle funzioni ipergeometriche generallizate. Rend. Accad. Naz. Lincei 1888, 4, 792–799. [Google Scholar]
- Mellin, H. Über die fundamentale Wichtigkeit des Satzes von Cauchy für die Theorien der Gamma- und hypergeometrischen Functionen; Acta Societatis Scientiarum Fennicae: Helsinki, Finland, 1896; Volume 21, pp. 1–115. [Google Scholar]
- Haubold, H.J.; Mathai, A.M.; Saxena, R.K. Mittag-Leffler Functions and Their Applications. J. Appl. Math. 2011, 2011, 1–51. [Google Scholar] [CrossRef]
- Talbot, A. The Accurate Numerical Inversion of Laplace Transforms. IMA J. Appl. Math. 1979, 23, 97–120. [Google Scholar] [CrossRef]
- Garrappa, R.; Popolizio, M. Fast methods for the computation of the Mittag-Leffler function. In Handbook of Fractional Calculus with Applications; Kochubei, A.N., Luchko, Y.F., Karniadakis, G., Tarasov, V.E., Petráš, I., Baleanu, D., Lopes, A.M., Eds.; De Gruyter: Berlin, Germany, 2019; pp. 329–346. [Google Scholar]
- Krätzel, E. Integral Transformations of Bessel-Type. In Proceedings of the International Conference on Generalized Functions and Operational Calculus, Varna, Bulgaria, 29 September–6 October 1975; pp. 148–155. [Google Scholar]
- Kilbas, A.A.; Kumar, D. On Generalized Krätzel Function. Integral Transform. Spec. Funct. 2009, 20, 835–846. [Google Scholar] [CrossRef]
- Princy, T. Krätzel Function and Related Statistical Distributions. Commun. Math. Stat. 2014, 2, 413–429. [Google Scholar] [CrossRef]
- Gorenflo, R.; Vessella, S. Abel Integral Equations: Analysis and Applications; Lecture notes in mathematics; Springer: Berlin, Germany; New York, NY, USA, 1991; ISBN 978-3-540-53668-0. [Google Scholar]
- Haubold, H.J.; Mathai, A.M. The Fractional Kinetic Equation and Thermonuclear Functions. Astrophys. Space Sci. 2000, 273, 53–63. [Google Scholar] [CrossRef]
- Glöckle, W.G.; Nonnenmacher, T.F. Fractional Integral Operators and Fox Functions in the Theory of Viscoelasticity. Macromolecules 1991, 24, 6426–6434. [Google Scholar] [CrossRef]
- Hille, E.; Tamarkin, J.D. On the Theory of Linear Integral Equations. Ann. Math. 1930, 31, 479. [Google Scholar] [CrossRef]
- Coraddu, M.; Kaniadakis, G.; Lavagno, A.; Lissia, M.; Mezzorani, G.; Quarati, P. Thermal Distributions in Stellar Plasmas, Nuclear Reactions and Solar Neutrinos. Braz. J. Phys. 1999, 29, 153–168. [Google Scholar] [CrossRef]
- Dubey, R.S. An Application of the Aleph (ℵ)-Function for Detecting Glucose Supply in Human Blood. Int. J. Modern Math. Sci. 2016, 14, 221–226. [Google Scholar]
- Suthar, D.L.; Habenom, H.; Tadesse, H. Certain integrals involving aleph function and wright’s generalized hypergeometric function. Acta Univ. Apulensis Math. Inform. 2017, 52, 1–10. [Google Scholar] [CrossRef]
- Tyagi, S.; Jain, M.; Singh, J. Application of S-Function and the Aleph Function in the Electric Circuit Theory. Int. J. Appl. Comput. Math. 2021, 7, 193. [Google Scholar] [CrossRef]
- Singh, Y.; Gill, V.; Singh, J.; Kumar, D.; Khan, I. Computable Generalization of Fractional Kinetic Equation with Special Functions. J. King Saud Univ.-Sci. 2021, 33, 101221. [Google Scholar] [CrossRef]
- Saxena, R.K.; Daiya, J. Integral Transforms of the S-Functions. Le Mat. 2015, 70, 147–159. [Google Scholar] [CrossRef]
- Schneider, W.R. Stable Distributions: Fox Function Representation and Generalization. In Stochastic Processes in Classical and Quantum Systems; Springer: Berlin/Heidelberg, Germany, 1986; pp. 497–511. [Google Scholar]
- Mainardi, F.; Pagnini, G. Mellin-Barnes Integrals for Stable Distributions and Their Convolutions. Fract. Calc. Appl. Anal. 2008, 11, 443–456. [Google Scholar]



















Publisher’s Note: MDPI stays neutral with regard to jurisdictional claims in published maps and institutional affiliations. |
© 2022 by the authors. Licensee MDPI, Basel, Switzerland. This article is an open access article distributed under the terms and conditions of the Creative Commons Attribution (CC BY) license (https://creativecommons.org/licenses/by/4.0/).
Share and Cite
Baumann, G.; Südland, N. Sinc Numeric Methods for Fox-H, Aleph (ℵ), and Saxena-I Functions. Fractal Fract. 2022, 6, 449. https://doi.org/10.3390/fractalfract6080449
Baumann G, Südland N. Sinc Numeric Methods for Fox-H, Aleph (ℵ), and Saxena-I Functions. Fractal and Fractional. 2022; 6(8):449. https://doi.org/10.3390/fractalfract6080449
Chicago/Turabian StyleBaumann, Gerd, and Norbert Südland. 2022. "Sinc Numeric Methods for Fox-H, Aleph (ℵ), and Saxena-I Functions" Fractal and Fractional 6, no. 8: 449. https://doi.org/10.3390/fractalfract6080449
APA StyleBaumann, G., & Südland, N. (2022). Sinc Numeric Methods for Fox-H, Aleph (ℵ), and Saxena-I Functions. Fractal and Fractional, 6(8), 449. https://doi.org/10.3390/fractalfract6080449

