Error Bounds of a Finite Difference/Spectral Method for the Generalized Time Fractional Cable Equation
Abstract
:1. Introduction
2. A Full Discretization and Its Error Bounds
2.1. A Finite Difference Scheme in Time
2.2. Stability and Error Bounds for the Full-Discrete Problem
3. Implementation of the Difference/Spectral Method
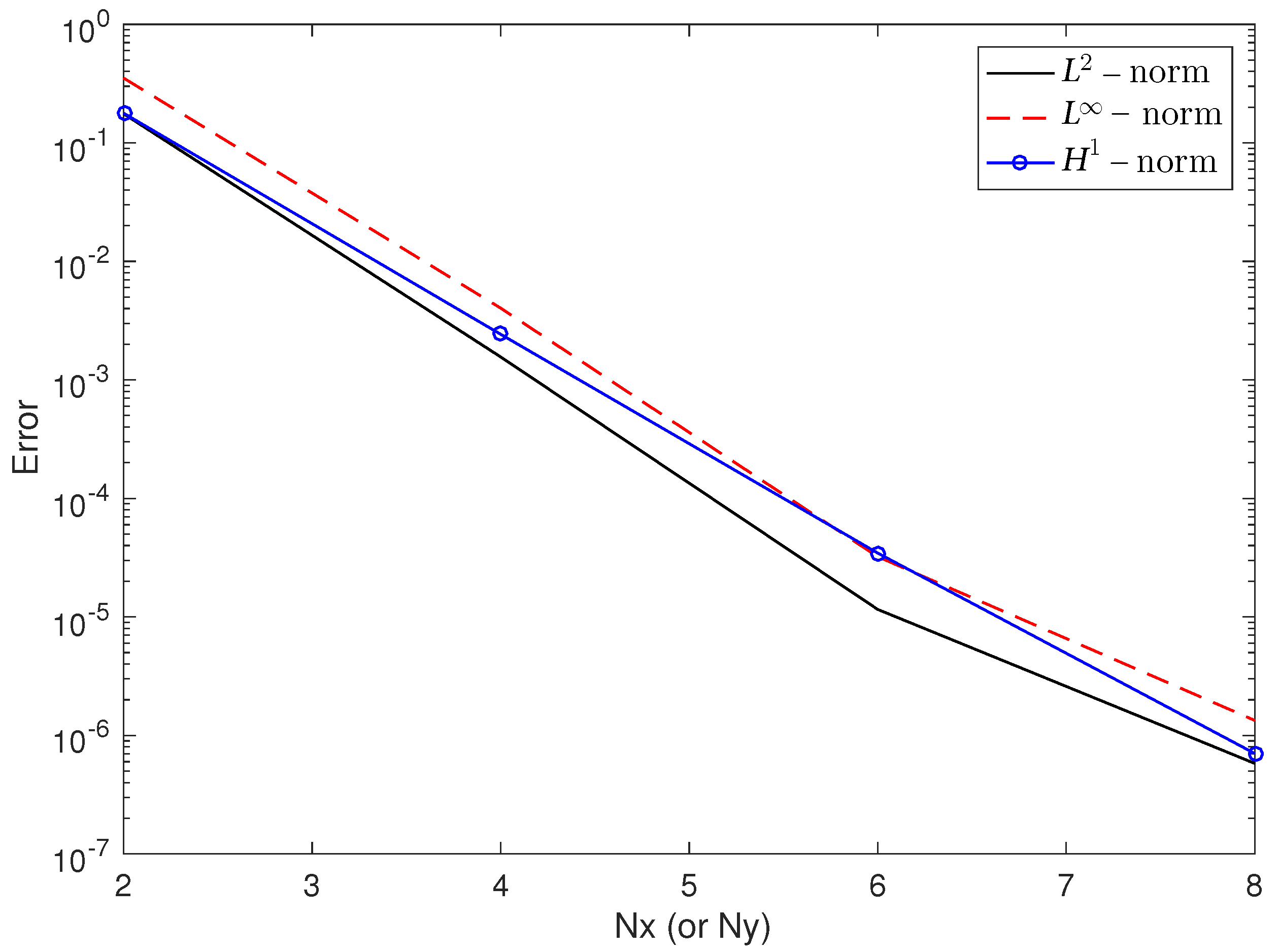
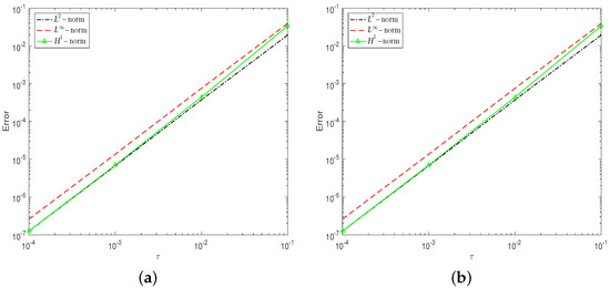
4. Numerical Results
5. Conclusions
Author Contributions
Funding
Institutional Review Board Statement
Informed Consent Statement
Data Availability Statement
Acknowledgments
Conflicts of Interest
References
- Cui, M.R. Compact finite difference method for the fractional diffusion equation. J. Comput. Phys. 2009, 228, 7792–7804. [Google Scholar] [CrossRef]
- Miller, K.S.; Ross, B. An Introduction to the Fractional Calculus and Fractional Differential Equations; John Wily and Sons Inc.: New York, NY, USA, 1993. [Google Scholar]
- Metzler, R.; Klafter, J. The restaurant at the end of the random walk: Recent developments in the description of anomalous transport by fractional dynamics. J. Phys. A Math. Gen. 2004, 37, R161–R208. [Google Scholar] [CrossRef]
- Podlubny, I. Geometric and physical interpretation of fractional integration and fractional differentiation. Fract. Calc. Appl. Anal. 2002, 5, 367–386. [Google Scholar]
- Huang, J.F.; Nie, N.M.; Tang, Y.F. A second order finite difference-spectral method for space fractional diffusion equations. Sci. China Math. 2014, 57, 1303–1317. [Google Scholar] [CrossRef]
- Henry, B.I.; Langlands, T.A.M.; Wearne, S.L. Fractional cable models for spiny neuronal dendrites. Phys. Rev. Lett. 2008, 100, 128103. [Google Scholar] [CrossRef]
- Lin, Y.M.; Li, X.J.; Xu, C.J. Finite difference/spectral approximations for the fractional cable equation. Math. Comp. 2009, 80, 1369–1396. [Google Scholar] [CrossRef]
- Langlands, T.A.M.; Henry, B.I.; Wearne, S.L. Fractional cable equation models for anomalous electrodiffusion in nerve cells: Infinite domain solutions. J. Math. Biol. 2009, 59, 761–808. [Google Scholar] [CrossRef]
- Bazhlekova, E.; Jin, B.; Lazarov, R.; Zhou, Z. An analysis of the Rayleigh-Stokes problem for a generalized second-grade fluid. Numer. Math. 2015, 131, 1–31. [Google Scholar] [CrossRef]
- Chen, C.M.; Liu, F.; Anh, V. A Fourier method and an extrapolation technique for Stokes’ first problem for a heated generalized second grade fluid with fractional derivative. J. Comput. Appl. Math. 2009, 223, 777–789. [Google Scholar] [CrossRef]
- Huang, J.F.; Yang, D.D. A unified difference-spectral method for time-space fractional diffusion equations. Int. J. Comput. Math. 2017, 94, 1172–1184. [Google Scholar] [CrossRef]
- Shen, F.; Tan, W.C.; Zhao, Y.H.; Masuoka, T. The Rayleigh-Stokes problem for a heated generalized second grade fluid with fractional derivative model. Nonlinear Anal. RWA 2006, 7, 1072–1080. [Google Scholar] [CrossRef]
- Fetecau, C.; Fetecau, C. The first problem of Stokes for an Oldroyd-B fluid. Int. J. Non-Linear Mech. 2003, 38, 1539–1544. [Google Scholar] [CrossRef]
- Tan, W.C.; Masuoka, T. Stokes’ first problem for a second grade fluid in a porous half-space with heated boundary. Int. J. Non-Linear Mech. 2005, 40, 515–522. [Google Scholar] [CrossRef]
- Akyildiz, F.T. Stokes’ first problem for a Newtonian fluid in a non-Darcian porous half-space using a Laguerre-Galerkin method. Math. Methods Appl. Sci. 2007, 30, 2263–2277. [Google Scholar] [CrossRef]
- Yu, B.; Jiang, X.Y. Numerical identification of the fractional derivatives in the two-dimensional fractional cable equation. J. Sci. Comput. 2016, 68, 252–272. [Google Scholar] [CrossRef]
- Liu, Y.; Du, Y.W.; Li, H.; Wang, J.F. A two-grid finite element approximation for a nonlinear time-fractional Cable equation. Nonlinear Dyn. 2016, 85, 2535–2548. [Google Scholar] [CrossRef]
- Zhang, H.X.; Yang, X.H.; Han, X.L. Discrete-time orthogonal spline collocation method with application to two-dimensional fractional cable equation. Comput. Math. Appl. 2014, 68, 1710–1722. [Google Scholar] [CrossRef]
- Bhrawy, A.H.; Zaky, M.A. Numerical simulation for two-dimensional variable-order fractional nonlinear cable equation. Nonlinear Dyn. 2015, 80, 101–116. [Google Scholar] [CrossRef]
- Dehghan, M.; Abbaszadeh, M. Analysis of the element free Galerkin (EFG) method for solving fractional cable equation with Dirichlet boundary condition. Appl. Numer. Math. 2016, 109, 208–234. [Google Scholar] [CrossRef]
- Chen, C.M.; Liu, F.W.; Anh, V. Numerical analysis of the Rayleigh-Stokes problem for a heated generalized second grade fluid with fractional derivatives. Appl. Math. Comput. 2008, 204, 340–351. [Google Scholar] [CrossRef]
- Mohebbi, A.; Abbaszadeh, M.; Dehghan, M. Compact finite difference scheme and RBF meshless approach for solving 2D Rayleigh-Stokes problem for a heated generalized second grade fluid with fractional derivatives. Comput. Methods Appl. Mech. Eng. 2013, 264, 163–177. [Google Scholar] [CrossRef]
- Dehghan, M.; Abbaszadeh, M. A finite element method for the numerical solution of Rayleigh-Stokes problem for a heated generalized second grade fluid with fractional derivatives. Eng. Comput. Ger. 2017, 33, 587–605. [Google Scholar] [CrossRef]
- Abdelkawy, M.A.; Alqahtani, R.T. Shifted Jacobi collocation method for solving multi-dimensional fractional Stokes’ first problem for a heated generalized second grade fluid. Adv. Differ. Equ. 2016, 2016, 114. [Google Scholar] [CrossRef]
- Naz, A.; Ali, U.; Elfasakhany, A.; Ismail, K.A.; Al-Sehemi, A.G.; Al-Ghamdi, A.A. An implicit numerical approach for 2D Rayleigh Stokes problem for a heated generalized second grade fluid with fractional derivative. Fractal Fract. 2021, 5, 283. [Google Scholar] [CrossRef]
- Langlands, T.A.M.; Henry, B.I.; Wearne, S.L. Fractional cable equation models for anomalous electrodiffusion in nerve cells: Finite domain solutions. SIAM J. Appl. Math. 2011, 71, 1168–1203. [Google Scholar] [CrossRef]
- Li, C.; Deng, W.H. Analytical solutions, moments, and their asymptotic behaviors for the time-space fractional cable equation. Commun. Theor. Phys. 2014, 62, 54. [Google Scholar] [CrossRef]
- Liu, F.W.; Chen, Y.Q.; Turner, I. Two new implicit numerical methods for the fractional cable equation. J. Comput. Nonlinear Dyn. 2011, 6, 0110091–0110097. [Google Scholar] [CrossRef]
- Hu, X.L.; Zhang, L.M. Implicit compact difference schemes for the fractional cable equation. Appl. Math. Model. 2012, 36, 4027–4043. [Google Scholar] [CrossRef]
- Chen, C.M.; Liu, F.W. Burrage, K. Numerical analysis for a variable-order nonlinear cable equation. J. Comput. Appl. Math. 2011, 236, 209–224. [Google Scholar] [CrossRef]
- Zhuang, P.; Liu, F.; Turner, I.; Anh, V. Galerkin finite element method and error analysis for the fractional cable equation. Numer. Algorithms 2016, 72, 447–466. [Google Scholar] [CrossRef]
- Nazar, M.; Fetecau, C.; Awan, A.U. A note on the unsteady flow of a generalized second-grade fluid through a circular cylinder subject to a time dependent shear stress. Nonlinear Anal. RWA 2010, 11, 2207–2214. [Google Scholar] [CrossRef]
- Lin, Y.Z.; Jiang, W. Numerical method for Stokes’ first problem for a heated generalized second grade fluid with fractional derivative. Numer. Methods Partial. Differ. Equ. 2011, 27, 1599–1609. [Google Scholar] [CrossRef]
- Podlubny, I. Fractional Differential Equations; Academic Press: New York, NY, USA, 1999. [Google Scholar]
- Shen, J.; Tang, T. Spectral and High-Order Methods with Applications; Science Press: Beijing, China, 2006. [Google Scholar]
- Shen, J.; Tang, T.; Wang, L.L. Spectral Methods: Algorithms, Analysis and Applications; Springer Science: Berlin/Heidelberg, Germany, 2011. [Google Scholar]
- Trefethen, L.N. Spectral Methods in MATLAB; SIAM: Philadelphia, PA, USA, 2000. [Google Scholar]
- Demmel, J.W. Applied Numerical Linear Algebra; SIAM: Philadelphia, PA, USA, 1997. [Google Scholar]
- Hesthaven, J.S.; Gottlieb, S.; Gottlieb, D. Spectral Methods for Time-Dependent Problems; Cambridge University Press: Cambridge, UK, 2007. [Google Scholar]
- Guo, B.Y. Spectral Methods and Their Applications; World Scientific: Singapore, 1998. [Google Scholar]
- Li, X.J.; Xu, C.J. A space-time spectral method for the time fractional diffusion equation. SIAM J. Numer. Anal. 2009, 47, 2108–2131. [Google Scholar] [CrossRef]
- Zeng, F.H.; Liu, F.W.; Li, C.P.; Burrage, K.; Turner, I.; Anh, V. A Crank-Nicolson ADI spectral method for a two-dimensional Riesz space fractional nonlinear reaction-diffusion equation. SIAM J. Numer. Anal. 2014, 52, 2599–2622. [Google Scholar] [CrossRef]
- Zheng, M.L.; Liu, F.W.; Turner, I.; Anh, V. A novel high order space-time spectral method for the time fractional Fokker-Planck equation. SIAM J. Sci. Comput. 2015, 37, A701–A724. [Google Scholar] [CrossRef]
- Lin, Y.M.; Xu, C.J. Finite difference/spectral approximation for the time fractional diffusion equations. J. Comput. Phys. 2007, 2, 1533–1552. [Google Scholar] [CrossRef]
- Zheng, M.; Liu, F.; Anh, V.; Turner, I. A high-order spectral method for the multi-term time-fractional diffusion equations. Appl. Math. Model. 2016, 40, 4970–4985. [Google Scholar] [CrossRef]
- Lu, C.W.; Xu, C.J. Improved error estimates of a finite difference/spectral method for time-fractional diffusion equations. Int. J. Numer. Anal. Model. 2015, 12, 384–400. [Google Scholar]
- Bernardi, C.; Maday, Y. Approximations Spectrales de Problemes Aux Limites Elliptiques; Springer: Berlin/Heidelberg, Germany, 1992. [Google Scholar]






| -Error | Order | -Error | Order | -Error | Order | ||
|---|---|---|---|---|---|---|---|
| 1/40 | |||||||
| 1/80 | |||||||
| 1/160 | |||||||
| 1/320 | |||||||
| 1/640 | |||||||
| 1/40 | |||||||
| 1/80 | |||||||
| 1/160 | |||||||
| 1/320 | |||||||
| 1/640 | |||||||
| 1/40 | |||||||
| 1/80 | |||||||
| 1/160 | |||||||
| 1/320 | |||||||
| 1/640 |
Publisher’s Note: MDPI stays neutral with regard to jurisdictional claims in published maps and institutional affiliations. |
© 2022 by the authors. Licensee MDPI, Basel, Switzerland. This article is an open access article distributed under the terms and conditions of the Creative Commons Attribution (CC BY) license (https://creativecommons.org/licenses/by/4.0/).
Share and Cite
Ma, Y.; Chen, L. Error Bounds of a Finite Difference/Spectral Method for the Generalized Time Fractional Cable Equation. Fractal Fract. 2022, 6, 439. https://doi.org/10.3390/fractalfract6080439
Ma Y, Chen L. Error Bounds of a Finite Difference/Spectral Method for the Generalized Time Fractional Cable Equation. Fractal and Fractional. 2022; 6(8):439. https://doi.org/10.3390/fractalfract6080439
Chicago/Turabian StyleMa, Ying, and Lizhen Chen. 2022. "Error Bounds of a Finite Difference/Spectral Method for the Generalized Time Fractional Cable Equation" Fractal and Fractional 6, no. 8: 439. https://doi.org/10.3390/fractalfract6080439
APA StyleMa, Y., & Chen, L. (2022). Error Bounds of a Finite Difference/Spectral Method for the Generalized Time Fractional Cable Equation. Fractal and Fractional, 6(8), 439. https://doi.org/10.3390/fractalfract6080439

