Abstract
The fractal dimension has been widely used to describe the structural and morphological characteristics of aggregates. Box-counting (BC) and power law (PL) are the most common methods to calculate the fractal dimension of aggregates. However, the prefactor , as another important fractal property, has received less attention. Furthermore, there is no relevant research about the BC prefactor (). This work applied a tunable aggregation model to generate a series of three-dimensional aggregates with different input parameters (power law fractal properties: and , and the number of primary particles ). Then, a projection method is applied to obtain the 2D information of the generated aggregates. The fractal properties ( and ) of the generated aggregates are estimated by both, for 2D and 3D BC methods. Next, the relationships between the box-counting fractal properties and power law fractal properties are investigated. Notably, 2D information is easier achieved than 3D data in real processes, especially for aggregates made of nanoparticles. Therefore, correlations between 3D BC and 3D PL fractal properties with 2D BC properties are of potentially high importance and established in the present work. Finally, a comparison of these correlations with a previous one (not considering ) is performed, and comparison results show that the new correlations are more accurate.
1. Introduction
Aggregates made of nano-sized spherical primary particles have complex and irregular structures. Aggregates of this kind occur in many practical applications, such as in colloidal, aerosol, or combustion systems [,,]. The irregularity of the aggregates can influence their chemical and physical properties, by changing, for example, their surface area [], light extinction efficiency [], or aerodynamic behavior []. Since the aggregates can be considered as fractal-like structures [], it is acceptable to quantify their irregularity by means of the fractal dimension , as proposed by Mandelbrot []. In recent years, the fractal dimension has been investigated and used in order to characterize the morphology of particle systems and porous media [,,], including building materials [], as well as in the context of transport equations for fractal media []. Regarding the aggregates of primary particles, the box-counting (BC) [] and the power law (PL) [] methods are the most common methods used to calculate the fractal dimension.
Complementary to the fractal dimension is the prefactor , as a second fractal property, which has though received much less attention than . It is worth pointing out that for a given aggregate size, the spatial distribution of primary particles in aggregates is dependent on both the fractal dimension and the prefactor [,]. The constituent primary particles of aggregates become more concentrated in space with an increase in either of these two parameters. In the frame of a power law, the prefactor has an influence on how the aggregate mass is filling up the space, independently of its size, and on how the primary particles are packed []. The prefactor has been associated with the porosity and lacunarity of the aggregates []. The variation of the prefactor as a function of the fractal dimension and the packing density has been discussed in []. However, the power law method needs to collect data from many aggregates with distributed size to, then, provide mean fractal properties ( and ) for the whole particle population []. In contrast, the box-counting method (BC) is a simple mathematical method that enables the determination of fractal dimensions on a single aggregate [,]. However, there are no studies with respect to the BC prefactor , which is not even defined and evaluated in many cases. Moreover, interrelations between BC fractal properties and PL fractal properties are missing.
Three-dimensional (3D) information about the aggregates can visually and comprehensively describe the morphological properties of aggregates. Tomography is widely applied to obtain 3D scanning of aggregates. The inner structure of aggregates can be directly accessed by optical coherence tomography or micro-computed tomography (μ-CT) []. Pashminehazar et al. [] investigated the morphological properties of amorphous maltodextrin aggregates with highly porous and soft structures by X-ray μ-CT. The morphology and microstructure of diesel soot particulate matter were investigated by synchrotron soft X-ray tomography in []. Those authors calculated the fractal dimensions of agglomerates and diesel soot particulate matter by image analysis. However, when the aggregates are composed of nano-sized primary particles, their 3D data are difficult and expensive to obtain with the necessary resolution. It is, however, relatively easy and quick to get the 2D data of such aggregates by SEM or TEM. Light scattering and electron microscope methods for calculating the fractal dimension of fumed silica are compared in []. Quantitative analysis of the fractal dimension of soot aggregates by SEM and image processing techniques was performed by Chakrabarty et al. [] to find the dependence of particle morphology on the electrical charging of particles. A new method was proposed in [] to estimate the fractal dimension of individual soot aggregates, which can be applied to TEM images. Therefore, the development of a correlation between 2D and 3D fractal properties of aggregates would be highly beneficial, because then the 3D fractal properties of aggregates could be obtained from 2D fractal properties by means of the correlation. Wang et al. [] proposed a 2D projection method to obtain the minimum overlapping between primary particles and built a correlation between 2D BC fractal dimension and the 3D power law fractal dimension. However, this correlation neglects the effect of the prefactor, considering the prefactor to be constant and equal to 1.
In this study, this limitation is removed. A particle-cluster tunable aggregation model is applied to generate a series of aggregates with various fractal properties (based on the power law and denoted by and ) and with various numbers of primary particles . This is the modified polydisperse tunable sequential aggregation (MPTSA) model from []. Compared to cluster–cluster models, the particle–cluster tunable aggregation model can predict realistic fractal properties of aggregates accurately and quickly. Then, the projection method that has been introduced in [] is applied to get 2D data of the generated aggregates. Further, the box-counting method is applied to obtain the respective fractal properties both in 2D (denoted by , ) as well as in 3D ( and ). Not only the fractal dimension, but also the fractal prefactor is evaluated in this frame. Finally, correlations between 3D BC fractal properties and 3D PL fractal properties with 2D box-counting fractal properties are established. Prospectively, such correlations can be used to reconstruct the spatial structure of aggregates based just on planar microscopy images.
2. Methods
2.1. Power Law (PL) Method
Using the power law method to estimate the fractal properties (fractal dimension and prefactor ) of the aggregates requires knowledge of several parameters, namely of the mean radius of primary particles (), the radius of gyration (), and the number of primary particles (). The above parameters combine with the fractal properties to the power law relationship,
In Equation (1), gyration radius is one of the basic parameters to describe an aggregate since it is influenced by the spatial distribution of mass around the mass center of the aggregate. Thus, depends on both, the aggregate size and the mass distribution in it. The illustration of of an aggregate is shown in Figure 1.
Figure 1.
Illustration of the radius of gyration of an aggregate.
In our present work, the constituent primary particles of aggregates are considered as monodisperse, so that can be calculated according to [] by means of the relationship
where and are the position vectors of the ith and the jth primary particles in the aggregate.
Equation (1) can be transformed into a logarithmic form:
According to Equation (3), plotting versus in logarithmic coordinates results in a linear regression that can be used to correlate and . Then, the linear regression slope is fractal dimension and the intercept is prefactor .
The power law method is an averaging method, which means that this method requires to collect data from a relatively large number of aggregates with distributed size and provides mean fractal properties ( and ) of the whole particle population.
2.2. Box-Counting (BC) Method
The box-counting method is a relatively simple mathematical method that enables the determination of fractal properties on a single aggregate. This method can estimate the fractal dimension for aggregates with or without self-similarity. As discussed in Wang et al. [], Strenzke et al. [], and Pashminehazar et al. [], the BC method can be used on both 2D and 3D aggregates.
The key point of the BC method is to create a grid with the same number of unit boxes () in each direction (for 3D, , and directions, and one direction less for 2D). The number of boxes varies with the scaling factor, , as shown in Figure 2. Typically, has the value of a power of 2: it starts with 2 and ends with a limiting number (). is related to the resolution, for example, the number of voxels in 3D X-ray scans or the number of pixels of 2D microscopy images. The effect of has been discussed in [], = 512 having been selected for this work. Then, the BC fractal dimension (denoted by ) is estimated by the dynamic relationship between the number of boxes that are occupied by the aggregate N(ε) and the scaling factor :
Figure 2.
The evolution of n (=1/ε) in the 3D box-counting method.
In Figure 2, L is the side length of the whole grid and δ is the size of one box. The definition and determination of have been investigated in [], and in this work the same setting of as in [] has been applied when using the BC method. The relationship of with respect to and is
As shown in Figure 2, cannot reach zero. Thus, it is required to count the changing number of corresponding boxes with different side lengths, decreasing the value of for several times. Plotting versus on a log-log plot gives a straight line with the least square method, and the absolute value of the slope of this line is the box-counting fractal dimension. Thus, is calculated through the equation
where represents log(), is log(), and is the BC fractal prefactor. Comparing Equations (3) and (6), one can see that the slope of both equations represents the fractal dimension, whereas the intercept represents the prefactor. The relationship between BC fractal properties and PL fractal properties is discussed in Section 3.
2.3. Aggregate Generation
Here, a tunable aggregation model is applied to generate a series of aggregates with various fractal properties and different numbers of primary particles. This is the modified polydisperse tunable sequential aggregation model (MPTSA) from []. In this aggregate generation model, the input parameters are the fractal dimension , the prefactor , the number of primary particles , and the radius of primary particles . The flowchart of the MPTSA model is shown in Figure 3.
Figure 3.
Flowchart of the MPTSA model.
The first primary particle is allotted to the center of the simulation space. Next, a point is selected on the surface of the first particle, and the second particle is placed adjacent to this point. As discussed in [], there is a limitation of prefactor in the tunable sequential algorithm. So, the input fractal dimension and prefactor are tuned to and (=1) by the following equation [],
Then, the third and subsequent particles are inserted one by one. The center of each additional primary particle is located on a sphere of radius
Here, ranges from 3 to . The precise position on the sphere of radius is chosen to have point contact with the new primary particle without overlapping. The addition of primary particles is continued one by one until ≥ .
For illustration, we first generated a series of aggregates using the MPTSA model with different fractal properties ( and ) and the same number of primary particles ( = 50), as shown in Figure 4. It can be seen from Figure 4 that both and can affect the structural and morphological properties of aggregates. When or increases gradually, the constituent primary particles tend to be more and more concentrated around the center point of the aggregate, which more and more resembles a sphere. However, the morphology of aggregates is more sensitive upon than upon (variation of is from 1.8 to 3.0, whereas the variation of is from 1.0 to 7.0). This is due to the fact that is the prefactor, not the exponent of Equation (1).
Figure 4.
Morphological properties of aggregates with different and .
3. Results and Discussion
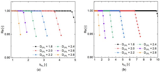
3.1. Effective Range of Prefactor
The prefactor is an important parameter to describe the structural and morphological properties of aggregates, as shown in Figure 4. Therefore, and with values of being in the range of 1 to 3, the question arises about the effective range that values of the prefactor may attain. For a first orientation, we summarized values of for aggregates with different from the literature in Table 1.
Table 1.
Values of and from previous work.
Table 1 shows a spread of from 1.27 to 9.0. However, the variation of is small in the previous research, and derivations are not always detailed and clear. Therefore, we have decided to test the effective range of with the help of aggregates generated by the MPTSA model.
In the power law relationship (Equation (1)), the radius of gyration can describe the spatial mass distribution around the mass center of the aggregate. As a criterion for the effective range of , we compare the radius of gyration calculated by Equation (1), denoted by , to the radius of gyration from generated aggregates according to Equation (2), denoted by . Both and are obtained with the same input parameters. The comparison is quantified by the ratio
If of the generated aggregate is greater than 99.99%, then is assumed to have been in its effective range.
Next, we generated in the frame of this evaluation two groups of aggregates with different fractal dimensions and prefactors. In the first group, the number of primary particles was = 50, with = 1.8:0.2:2.8 and varying from 0.9 to 5.0 in steps of 0.1. As for the second group, it had = 300, = 1.8:0.2:2.8, and = 0.9:0.1:10. The radius of primary particles was constant and equal to 0.2 mm, but the absolute value of this variable has no influence on the results. The relationship of and with , based on two different values of , is shown in Figure 5.
Figure 5.
Influence of and on for different , (a) = 50, (b) = 300.
As can be seen in Figure 5a,b, all the curves show the same trend: at the beginning, of the aggregates does not change with increasing , being on a plateau with . Then, as increases, all curves show an inflection point, after which decreases dramatically. When is the same, the main difference among the curves is in the length of their plateau regions; aggregates with a smaller show a longer plateau with over . This means that the aggregates with smaller have a broader effective range of . Besides, by comparing Figure 5a,b at the same , we can find that the effective range of of aggregates with smaller (=50) is narrower than in the case of larger (=300). The horizontal axis coordinates of the inflection points on each curve are considered as the upper limit of the effective range of under conditions specified by different and . Respective values are shown in Table 2.
Table 2.
Lower and upper limits of the effective range of for different and .
In Figure 5a, when is larger than 4.7 at = 50 and = 1.8, then the of the aggregates is less than 1. This is since with an additional increase of (>4.7), the primary particles of these aggregates can no longer be concentrated further in space. So, of these aggregates does not change with further increasing . For example, as shown in Figure 4, the structural and morphological characteristics of the aggregate with = 1.8 and = 4.7 are the same as those of the aggregate with = 1.8 and = 7.0, with of these two aggregates being same and equal to 0.74 mm. However, calculated formally from Equation (1) continues to decrease as increases, namely from = 0.74 mm for aggregates with = 1.8 and = 4.7, to = 0.6 mm for aggregates with = 1.8 and = 7.0. Therefore, when = 1.8 and > 4.7, the ratio of the aggregates is less than unity, meaning that has moved outside of its effective range.
As to the lower limit of , it has been determined by decreasing its value in steps of 0.1. This process stops when the MPTSA model ceases being able to generate the aggregate. Until then, the values of of the generated aggregates remain equal to 1. The minimum at which aggregates can be generated is the lower limit of the effective range. Values for different and are shown in Table 2.
In addition to the above method that presupposes the generation of agglomerates by means of the MPTSA algorithm, a much simpler, algebraic estimation of the limits of the effective range of has also been implemented in the present work. According to Equation (1), shows a negative relationship to under fixed and ,
Therefore, when and are fixed and minimal, takes its upper limit value. The lower limit of occurs when the situation is conversed ( at maximum value). The radius of gyration of an aggregate shows the mass distribution around the aggregate center of mass. In our present work, the radius of primary particles is constant at 0.2 mm. Therefore, when two aggregates with the same show different , the lower value of indicates that the mass (primary particles) of the aggregate is more concentrated at the center of mass. So, the minimum is reached when the morphology of the aggregate is like that of a sphere, which is here assumed to happen for an aggregate with = 3.0 and = 1.0. On the contrary, the relative gyration radius of the aggregates is maximum when the primary particles of the aggregates are most dispersed, assumed here to be the case for aggregates with = 1.7 and = 1.0. Minimal (at = 3.0 and = 1.0) and maximal (at = 1.7 and = 1.0) of aggregates with different are calculated by Equation (1), the results are summarized in Table 3.
Table 3.
Minimal ( = 3.0 and = 1.0) and maximal ( = 1.7 and = 1.0) of aggregates with different .
Then, minimal and maximal of the aggregates with different are substituted into Equation (10), and upper and lower limits of the effective range are obtained for different , respectively. The lower and upper limits of the effective range of that have been estimated in this way are shown in Table 4.
Table 4.
Upper limit and lower limit of effective range of from the simplified estimation without aggregate generation.
3.2. Relationship between BC Fractal Properties and PL Fractal Properties
In this section, we generated a series of aggregates with different fractal properties ( and ) and by the MPTSA model, with varying from 100 to 300 in steps of 50 and = 1.8:0.2:2.8. The investigated range of for each is shown in Table 5. Those ranges correspond to the ranges for = 100 from Table 4, being more restrictive in comparison to the ranges for aggregates with a larger number of primary particles. Consequently, all the generated aggregates are safely within the effective range of values. The primary particles of generated aggregates are monodispersed in the present work, with the radius of primary particles formally set at 0.2 mm. To capture stochastic variations, each aggregate is generated five times with the same input parameters.
Table 5.
Realized ranges of for aggregates with different .
In the further course of evaluation, a projection method proposed by [] is applied to get 2D data for the generated aggregates. Then, both 3D and 2D box-counting methods are applied to estimate 3D BC fractal properties ( and ) and 2D BC fractal properties ( and ) of the generated aggregates. Next, aggregates generated with different (=100, 200 and 300) and (=1.8 and 2.8) are chosen to investigate the relationships between and with . The averages of and over the five realizations are shown in Figure 6 for the selected aggregates. Furthermore, averages ( and ) over each entire aggregate series (with = 100:50:300) are also plotted in Figure 6 against .
Figure 6.
Relationship between and with (a) = 1.8 and BC in 3D, (b) = 2.8 and BC in 3D, (c) = 1.8 and BC in 2D, (d) = 2.8 and BC in 2D.
All the curves in Figure 6 show the same trend, namely of BC fractal dimensions increasing with increasing . This is due to the fact that with the increase of , the distribution of primary particles becomes more and more concentrated (as shown in Figure 4). In the BC method, the number of boxes () occupied by aggregates is larger when the primary particles of aggregates are more concentrated []. According to Equation (4), and BC fractal dimensions show a positive relationship. Therefore, the BC fractal dimension increases as increases.
Moreover, the trend in the variation of with in Figure 6d ( = 2.8 and BC in 2D) is slightly different from the other three figures (Figure 6a–c). In Figure 6d, initially increases with increasing (0.4 to 0.8), but then the value of starts fluctuating around 1.91 as further increases. This is because the calculation of the 2D BC fractal dimension of the aggregates is based on their projection. The purpose of projection method in this work is to get the least overlapping between primary particles (the maximum projected area of the aggregates) []. The morphology of the aggregates is though close to spherical when aggregates with a high fractal dimension and prefactor are considered [] (i.e., = 2.8 and > 0.8). Therefore, the 2D maximum projection area of these aggregates is almost constant with increasing , and the same holds for values since these are directly affected by the projection area (positive relationship). Therefore, the value of the mentioned kind of aggregates floats around 1.91. In less obvious but analogous way, it can be seen from Figure 6c that the values of fluffy aggregates also float around 1.91 when the value of is large enough (> 5.5, in this case). In addition, the values of averages ( and ) over the entire aggregate series (with = 100:50:300) are generally close to the values for primary particle number in the middle of the series ( = 200).
3.3. Correlation between 3D BC Fractal Properties and 2D BC Fractal Properties
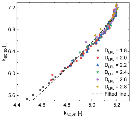
It is hard or even impossible to obtain the 3D fractal properties of aggregates composed of very small primary particles or nanoparticles by X-ray µ-CT, because of limitation in the spatial resolution of this imaging method. However, the 2D fractal properties of such aggregates can easily be retrieved by SEM or TEM. Therefore, a correlation between 2D and 3D fractal properties is necessary to be established. In this section, the correlation between 2D and 3D BC fractal properties is discussed first. Furthermore, the correlation between 2D BC and 3D PL fractal properties is discussed in the next section.
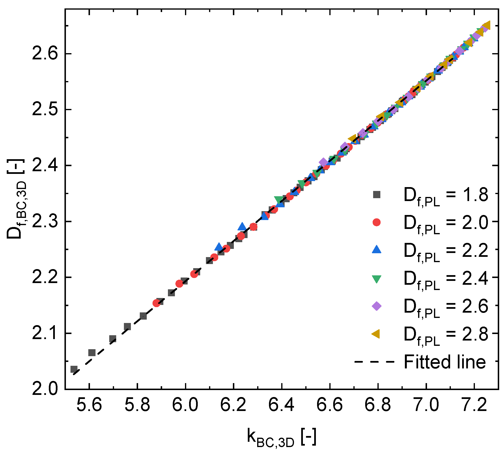
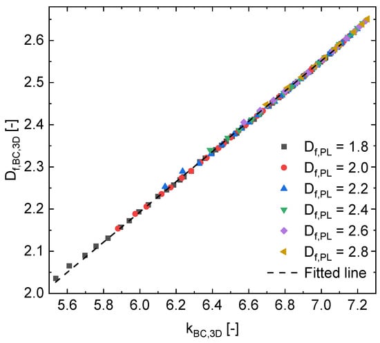
In Figure 7, the relationship between and for the aggregates with various (=1.8:0.2:2.8) is shown. Values of and have been averaged over all (from 100 to 300 in steps of 50) of the entire aggregate series and then over five realizations.
Figure 7.
Relationship between and based on various .
As shown in Figure 7, increases with for any value of power law fractal dimension. All data points can, thus, be described by one and the same power regression,
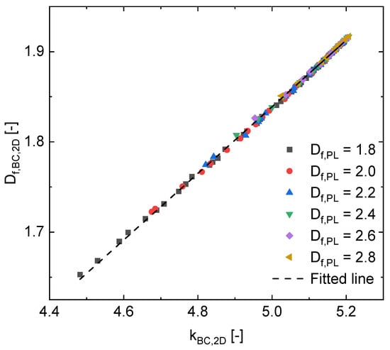
The average values of (over five iterations) and for the aggregates with different are plotted in Figure 8. From Figure 8 we can find that the value of is linearly increasing with . The respective linear regression for all the aggregates is
Figure 8.
Correlation between and for aggregates with different .
A combination of Equations (11) and (12) can be used to obtain 3D BC fractal properties ( and ) from a given 2D BC prefactor or, by additionally involving the later Equation (17), from a given 2D BC fractal dimension .
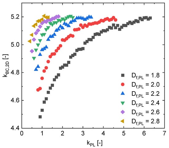
3.4. Correlation between 2D BC Fractal Properties and PL Fractal Properties
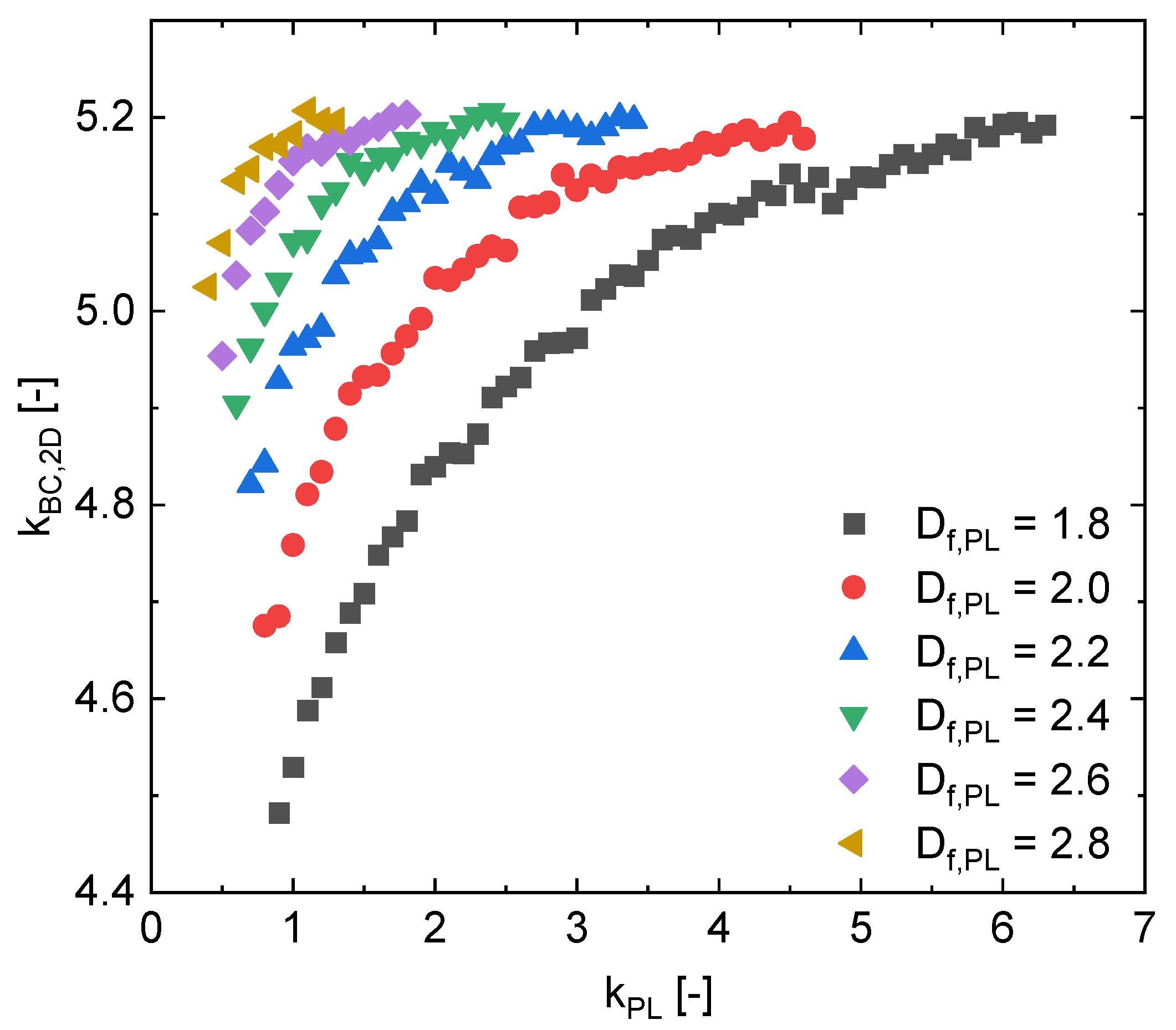
The relationship between and for aggregates with various (=1.8:0.2:2.8) is shown in Figure 9. Values of have been averaged over all (from 100 to 300 in steps of 50) of the entire aggregate series and then over five realizations.
Figure 9.
Relationship between and based on various (=1.8:0.2:2.8).
In Figure 9, is seen to increase with increasing ; however, the growth rate of decreases as increases. As pointed out in Section 3.2, 2D BC fractal properties of aggregates are influenced by the 2D projection area [], being positively interrelated. And when the morphology of the aggregates with higher or has approached that of a sphere (as shown in Figure 4), the projection area of these aggregates changes only slightly with further increase in . Therefore, the rise of with flattens up at larger or . Here, an exponential function can be used for regression,
In Equation (13), the curves with different have different values of , , and , as summarized in Table 6.
Table 6.
Fitted values of , , and corresponding to different .
Then, correlations between, first, and , and second, between and are developed as follows:
The average value of = 5.208 is used to represent this parameter.
Combining Equations (13)–(15), the correlation between and power law fractal properties is obtained:
The averages of and over five realizations are plotted in Figure 10 for aggregates with different . As shown in Figure 10, increases linearly with , according to the regression
Figure 10.
Correlation between and for aggregates with different .
Equations (16) and (17) are very important. Combining these two equations enables to predict power law fractal properties ( and ) of aggregates from their 2D box-counting fractal properties ( and ), the determination of which from microscope images is fast and easy in practice.
Therefore, the reliability of these two correlations is tested by a new series of aggregates generated by the MPTSA model. Here, three different values of are used, namely = 1.9, 2.3, and 2.7. The input number of primary particles varied from 100 to 300 in steps of 50. The prefactor of the aggregates takes values from 0.9 to the upper limit of its effective range for each (according to Table 5). The primary particles are still monodispersed, and the radius of primary particles is kept same as for the previously generated aggregates. Each aggregate with the same input parameters is generated five times. Then, the aggregates that have been generated in 3D are projected onto a 2D plane by the projection method from [], and the 2D BC method is applied to estimate the 2D BC fractal properties for those projections. Then, the averages of and for each aggregate are calculated over five realizations. Substituting and into Equations (16) and (17), values of power law fractal properties ( and ) are finally calculated. Examples of calculated results for aggregates with = 1.9 are summarized in Table 7.
Table 7.
Predicted and of aggregates with input = 1.9.
In Table 7, there is a notable difference between the input fractal parameters and the calculated values. This is due to the difficult inversion of Equations (16) and (17) for given and . This is done by numerical optimization, which is though confronted with several flat and similar optima.
Whereas further improvement is desirable at this point, the ratio , which is an important parameter for the morphological analysis of aggregates, can be applied to test the predicted values from Equations (16) and (17). It is recalled that Wang et al. [] have recently established an original correlation between 2D BC fractal dimension and PL fractal dimension. This correlation, however, neglected the influence of and kept this parameter constant (=1). The correlation is
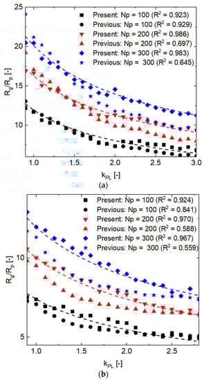
Predicted results ( and ) from Equations (16) and (17) are substituted to Equation (1) to calculate of the new series of aggregates ( = 1.9, 2.3, and 2.7, = 100, 200, and 300). For the sake of comparison, of the new generated aggregates are substituted to Equation (18) to estimate their . Then, keeping as constant and equal to 1, another is estimated by means of predicted from Equation (18). Finally, the two kinds of are compared in Figure 11 based on three (= 100, 200, and 300). calculated from prediction results of the equations in this research (Equations (16) and (17)) are denoted by “present”, calculated from the correlation of the previous work (Equation (18)) are denoted by “previous”. In addition, the standard which is calculated from the input parameters (, , and ) of the MPTSA model is also shown in Figure 11 (dotted lines). The R-square analysis represents the deviation of the predicted (present or previous) to standard .

Figure 11.
Comparison of two prediction methods by : (a) = 1.9, (b) = 2.3, (c) = 2.7.
As shown in Figure 11, when both and are small ( = 1.9 and = 100), the difference between present predicted results (Equations (16) and (17)) and previous predicted results (Equation (18)) is insignificant, the R2 of the two sets of results to the standard (input, reference) data being 0.923 and 0.929, respectively. However, when or increases, the R2 of previous results decreases significantly. Especially when the aggregates with = 2.7 and = 300 are considered, the R2 of previous results reaches a very low value of 0.439. However, the changes in or hardly affect the accuracy of the present results, which are based on predictions from Equations (16) and (17). In Figure 11, the minimum R2 of present results is equal to 0.868 when = 2.7 and = 100.
4. Conclusions
This study aimed to investigate the fractal properties of aggregates made of primary particles. To enable this investigation, synthetic aggregates have been generated by an appropriate numerical method (MPTSA model) with various input parameters. Special emphasis was set on the variation of power law prefactor . Not every value of this parameter is reasonable, so that its so-called effective range had to be first determined. Therefore, we introduced a ratio between two differently derived radii of gyration as a criterion that can be used to judge whether aggregates are within the effective range of or not. Where is estimated from generated aggregates (aggregates produced with the help of the MPTSA model) and is obtained from the power law. Conceivable deviation of from unity means out-of-range values of . A simplified method that works without aggregate generation is also proposed as an alternative to this rigorous approach.
In the main part of the work, a series of aggregates (with different fractal properties and , and also with different number of primary particles ) is generated by the MPTSA model. Values of are taken from their effective ranges based on different and power law fractal dimension . Next, a projection method proposed by [] is applied to retrieve 2D information for the generated aggregates. Both the 3D BC fractal properties ( and ) and the 2D BC fractal properties ( and ) of the generated aggregates are calculated by the box-counting (BC) method.
Considering that the 3D fractal properties of aggregates composed of very small particles are hard to gain by means of X-ray µ-CT, or with the help of other tomographic methods, due to limited physical resolution, tractable pathways for their determination from more easily accessible information would be of great importance. Such information could be the 2D fractal properties of those aggregates, because 2D fractal properties can easily be extracted from SEM or TEM images. To this purpose, novel correlations between 3D BC fractal properties and 3D PL fractal properties with 2D BC fractal properties have been established with the help of synthetic aggregates. In addition, one more series of synthetic aggregates has been generated to validate the correlation between 2D BC and 3D PL fractal properties. The validation results are compared with the results of a previous correlation (not considering the variability of ) as well as with results from the used input data as a benchmark. Present and previous results meet similarly well the benchmark only when both and are small ( = 1.9 and = 100). However, our new correlations are more accurate for aggregates with higher or .
The generated aggregates in this work had monodispersed primary particles. Therefore, aggregates with polydisperse primary particles need to be also investigated, which is planned for near future.
Author Contributions
Conceptualization, R.W.; Methodology, R.W., A.K.S., S.R.K. and E.T.; Software, R.W.; Validation, R.W. and A.K.S.; Formal analysis, R.W.; Investigation, R.W.; Writing—original draft, R.W.; Writing—review & editing, E.T. All authors have read and agreed to the published version of the manuscript.
Funding
This research was funded by Deutsche Forschungsgemeinschaft (German Research Foundation) grant number 462225760.
Acknowledgments
The authors gratefully acknowledge the CSC (R.W.) and the BMBF (A.K.S., project 03INT609AA, COAGG) on the financial support for this research.
Conflicts of Interest
The authors declare no conflict of interest.
Nomenclature
| fractal dimension, - | |
| prefactor, - | |
| side length of domain, m | |
| number of unit boxes, - | |
| number of boxes occupied by the object, - | |
| number of primary particles, - | |
| intermediate particle number, - | |
| radius of gyration, m | |
| mean radius of primary particles, m | |
| limiting number of boxes, m | |
| Greek letters | |
| δ | size of box, m |
| ε | scaling factor, - |
| Abbreviations | |
| BC | box-counting |
| MPTSA | modified polydisperse tunable sequential aggregation |
| PL | power law |
| SEM | scanning electron microscopy |
| TEM | transmission electron microscopy |
References
- Davis, J.; Molnar, E.; Novosselov, I. Nanostructure transition of young soot aggregates to mature soot aggregates in diluted diffusion flames. Carbon 2020, 159, 255–265. [Google Scholar] [CrossRef] [PubMed]
- Kelesidis, G.A.; Goudeli, E.; Pratsinis, S.E. Flame synthesis of functional nanostructured materials and devices: Surface growth and aggregation. Proc. Combust. Inst. 2017, 36, 29–50. [Google Scholar] [CrossRef]
- Wu, Y.; Cheng, T.; Liu, D.; Allan, J.D.; Zheng, L.; Chen, H. Light absorption enhancement of black carbon aerosol constrained by particle morphology. Environ. Sci. Technol. 2018, 52, 6912–6919. [Google Scholar] [CrossRef] [PubMed]
- Dorigato, A.; D’amato, M.; Pegoretti, A. Thermo-mechanical properties of high density polyethylene–fumed silica nanocomposites: Effect of filler surface area and treatment. J. Polym. Res. 2012, 19, 9889. [Google Scholar] [CrossRef]
- Liou, K.N.; Takano, Y.; Yang, P. Light absorption and scattering by aggregates: Application to black carbon and snow grains. J. Quant. Spectrosc. Radiat. Transfer. 2011, 112, 1581–1594. [Google Scholar] [CrossRef]
- Baldelli, A.; Rogak, S.N. Morphology and Raman spectra of aerodynamically classified soot samples. Atmos. Meas. Tech. 2019, 12, 4339–4346. [Google Scholar] [CrossRef]
- Bonczyk, P.A.; Hall, R.J. Fractal properties of soot agglomerates. Langmuir 1991, 7, 1274–1280. [Google Scholar] [CrossRef]
- Mandelbrot, B.B. The Fractal Geometry of Nature; WH Freeman: New York, NY, USA, 1983; p. 406. [Google Scholar]
- Xiao, B.; Li, Y.; Long, G. A fractal model of power-law fluid through charged fibrous porous media by using the fractional-derivative theory. Fractals 2022, 30, 2250072-446. [Google Scholar] [CrossRef]
- Xiu, H.; Ma, F.; Zhao, X.; Liu, L.; Feng, P.; Ji, Y. Using fractal dimension and shape factors to characterize the microcrystalline cellulose (MCC) particle morphology and powder flowability. Powder Technol. 2020, 364, 241–250. [Google Scholar] [CrossRef]
- Liang, M.; Fu, C.; Xiao, B.; Luo, L.; Wang, Z. A fractal study for the effective electrolyte diffusion through charged porous media. Int. J. Heat Mass Transf. 2019, 137, 365–371. [Google Scholar] [CrossRef]
- Lü, Q.; Qiu, Q.; Zheng, J.; Wang, J.; Zeng, Q. Fractal dimension of concrete incorporating silica fume and its correlations to pore structure, strength and permeability. Constr. Build. Mater. 2019, 228, 116986. [Google Scholar] [CrossRef]
- Wang, K. Exact traveling wave solutions for the local fractional Kadomtsov–Petviashvili–Benjamin–Bona–Mahony model by variational perspective. Fractals 2022, 30, 2250101. [Google Scholar] [CrossRef]
- Feller, W. On boundaries and lateral conditions for the Kolmogorov differential equations. Ann. Math. 1957, 65, 527–570. [Google Scholar] [CrossRef]
- Forrest, S.R.; Witten, J.; Thomas, A. Long-range correlations in smoke-particle aggregates. J. Phys. A Math. Gen. 1979, 12, L109. [Google Scholar] [CrossRef]
- Sorensen, C.M.; Roberts, G.C. The prefactor of fractal aggregates. J. Colloid Interface Sci. 1997, 186, 447–452. [Google Scholar] [CrossRef] [PubMed]
- Lapuerta, M.; Martos, F.J.; Martín-González, G. Geometrical determination of the lacunarity of agglomerates with integer fractal dimension. J. Colloid Interface Sci. 2010, 346, 23–31. [Google Scholar] [CrossRef]
- Wu, M.K.; Friedlander, S.K. Note on the power law equation for fractal-like aerosol agglomerates. J. Colloid Interface Sci. 1993, 159, 246–248. [Google Scholar] [CrossRef]
- Hu, B.; Koylu, U. Size and morphology of soot particulates sampled from a turbulent nonprefixed acetylene flame. Aerosol. Sci. Technol. 2004, 38, 1009–1018. [Google Scholar] [CrossRef][Green Version]
- Fabre, A.; Steur, T.; Bouwman, W.G.; Kreutzer, M.T.; van Ommen, J.R. Characterization of the stratified morphology of nanoparticle agglomerates. J. Phys. Chem. C 2016, 120, 20446–20453. [Google Scholar] [CrossRef]
- Pashminehazar, R.; Kharaghani, A.; Tsotsas, E. Determination of fractal dimension and prefactor of agglomerates with irregular structure. Powder Technol. 2019, 343, 765–774. [Google Scholar] [CrossRef]
- Zhang, L.; Dang, F.; Ding, W.; Zhu, L. Quantitative study of meso-damage process on concrete by CT technology and improved differential box counting method. Measurement 2020, 60, 107832. [Google Scholar] [CrossRef]
- Pyrz, R. Application of X-ray microtomography to the study of polymer composites. SAE Trans. 1999, 108, 1312–1316. Available online: https://www.jstor.org/stable/44729518 (accessed on 10 May 2022).
- Yan, F.; Song, J.; Zhuang, Y.; Qiu, L.; Meng, Z. Three-dimension soft X-ray tomographic reconstruction of particulates emitted from a diesel engine. J. Aerosol. Sci. 2021, 156, 105784. [Google Scholar] [CrossRef]
- Ibaseta, N.; Biscans, B. Fractal dimension of fumed silica: Comparison of light scattering and electron microscope methods. Powder Technol. 2010, 203, 206–210. [Google Scholar] [CrossRef]
- Chakrabarty, R.K.; Moosmüller, H.; Garro, M.A.; Arnott, W.P.; Slowik, J.G.; Cross, E.S.; Worsnop, D.R. Morphology based particle segregation by electrostatic charge. J. Aerosol. Sci. 2008, 39, 785–792. [Google Scholar] [CrossRef]
- Lapuerta, M.; Ballesteros, R.; Martos, F.J. A method to determine the fractal dimension of diesel soot agglomerates. J. Colloid Interface Sci. 2006, 303, 149–158. [Google Scholar] [CrossRef]
- Wang, R.; Singh, A.K.; Kolan, S.R.; Tsotsas, E. Fractal analysis of aggregates: Correlation between the 2D and 3D box-counting fractal dimension and power law fractal dimension. Chaos Solitons Fractals 2022, 160, 112246. [Google Scholar] [CrossRef]
- Singh, A.K.; Tsotsas, E. A Fast and Improved Tunable Aggregation Model for Stochastic Simulation of Spray Fluidized Bed Agglomeration. Energies 2021, 14, 7221. [Google Scholar] [CrossRef]
- Teraoka, I. An Introduction to Physical Properties; John Wiley & Sons, Inc.: New York, NY, USA, 2002; ISBN 978-0-471-38929-3. [Google Scholar]
- Strenzke, G.; Janocha, M.; Bück, A.; Tsotsas, E. Morphological descriptors of agglomerates produced in continuously operated spray fluidized beds. Powder Technol. 2022, 397, 117111. [Google Scholar] [CrossRef]
- Singh, A.K.; Tsotsas, E. A tunable aggregation model incorporated in Monte Carlo simulations of spray fluidized bed agglomeration. Powder Technol. 2020, 364, 417–428. [Google Scholar] [CrossRef]
- Mountain, R.D.; Mulholland, G.W. Light scattering from simulated smoke agglomerates. Langmuir 1988, 4, 1321–1326. [Google Scholar] [CrossRef]
- Puri, R.; Richardson, T.F.; Santoro, R.J.; Dobbins, R.A. Aerosol dynamic processes of soot aggregates in a laminar ethene diffusion flame. Combust. Flame 1993, 92, 320–333. [Google Scholar] [CrossRef]
- Ouf, F.X.; Vendel, J.; Coppalle, A.; Weill, M.; Yon, J. Characterization of soot particles in the plumes of over-ventilated diffusion flames. Combust. Sci. Technol. 2008, 180, 674–698. [Google Scholar] [CrossRef]
- Brasil, A.M.; Farias, T.L.; Carvalho, M.G. Evaluation of the Fractal Properties of Cluster? Cluster Aggregates. Aerosol. Sci. Technol. 2000, 33, 440–454. [Google Scholar] [CrossRef]
Publisher’s Note: MDPI stays neutral with regard to jurisdictional claims in published maps and institutional affiliations. |
© 2022 by the authors. Licensee MDPI, Basel, Switzerland. This article is an open access article distributed under the terms and conditions of the Creative Commons Attribution (CC BY) license (https://creativecommons.org/licenses/by/4.0/).