Stability of a Nonlinear Langevin System of ML-Type Fractional Derivative Affected by Time-Varying Delays and Differential Feedback Control
Abstract
1. Introduction
2. Preliminaries
- and are given constants such that .
- , , , .
3. Existence of Solutions
- , .
- is contraction and is continuous and compact.
- There exist some functions such that
- There exist some functions such that, ,
- , where , , and
4. Stability of Ulam–Hyers type Systems
- , , .
- , .
- , .
- .
- , , .
- , .
- , .
- .
- There exist such that, ,
- , where , and
5. Applications
5.1. Theoretical Analysis
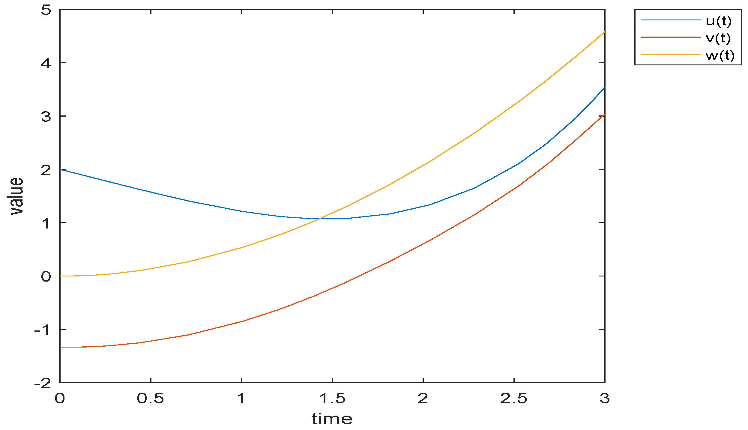
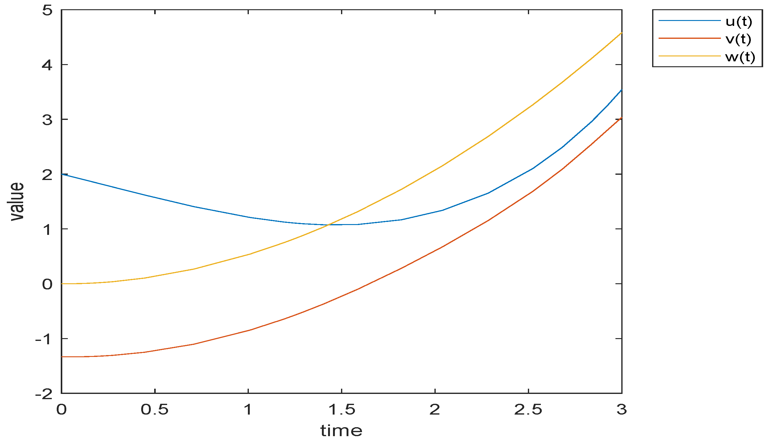
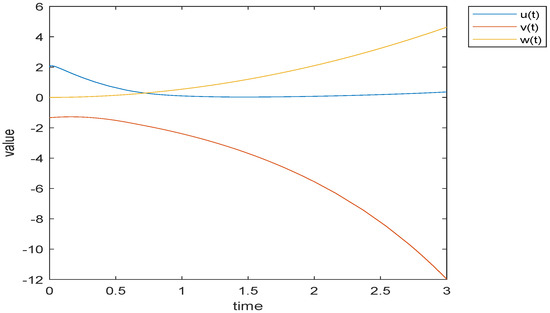
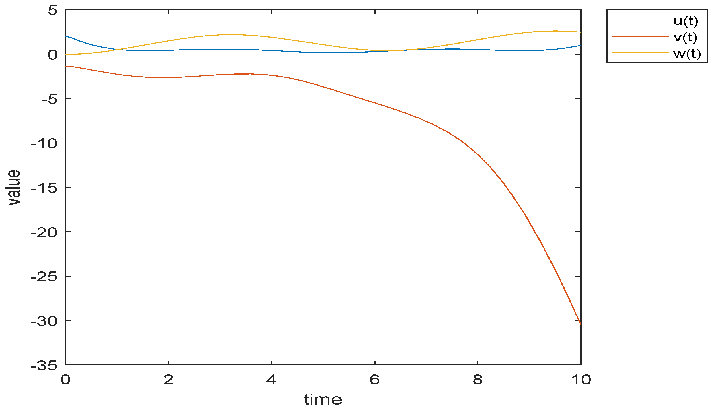
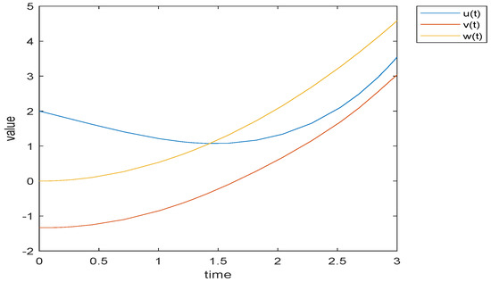
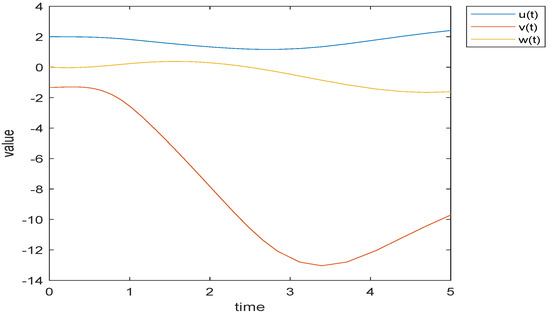
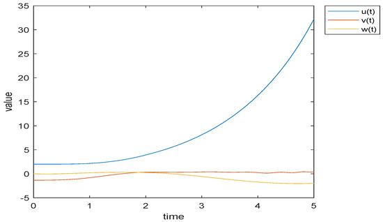
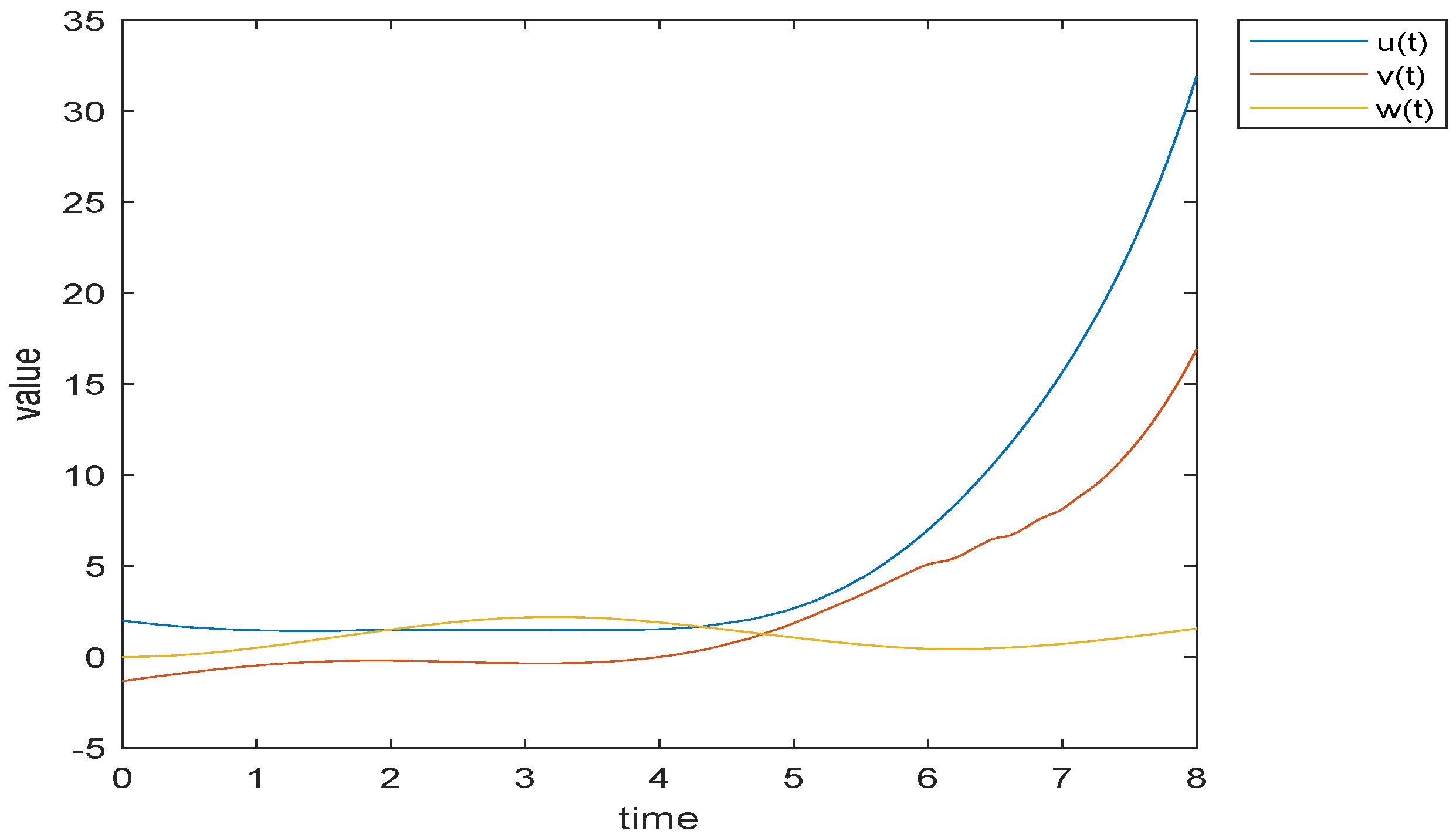
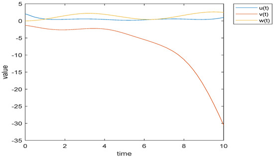
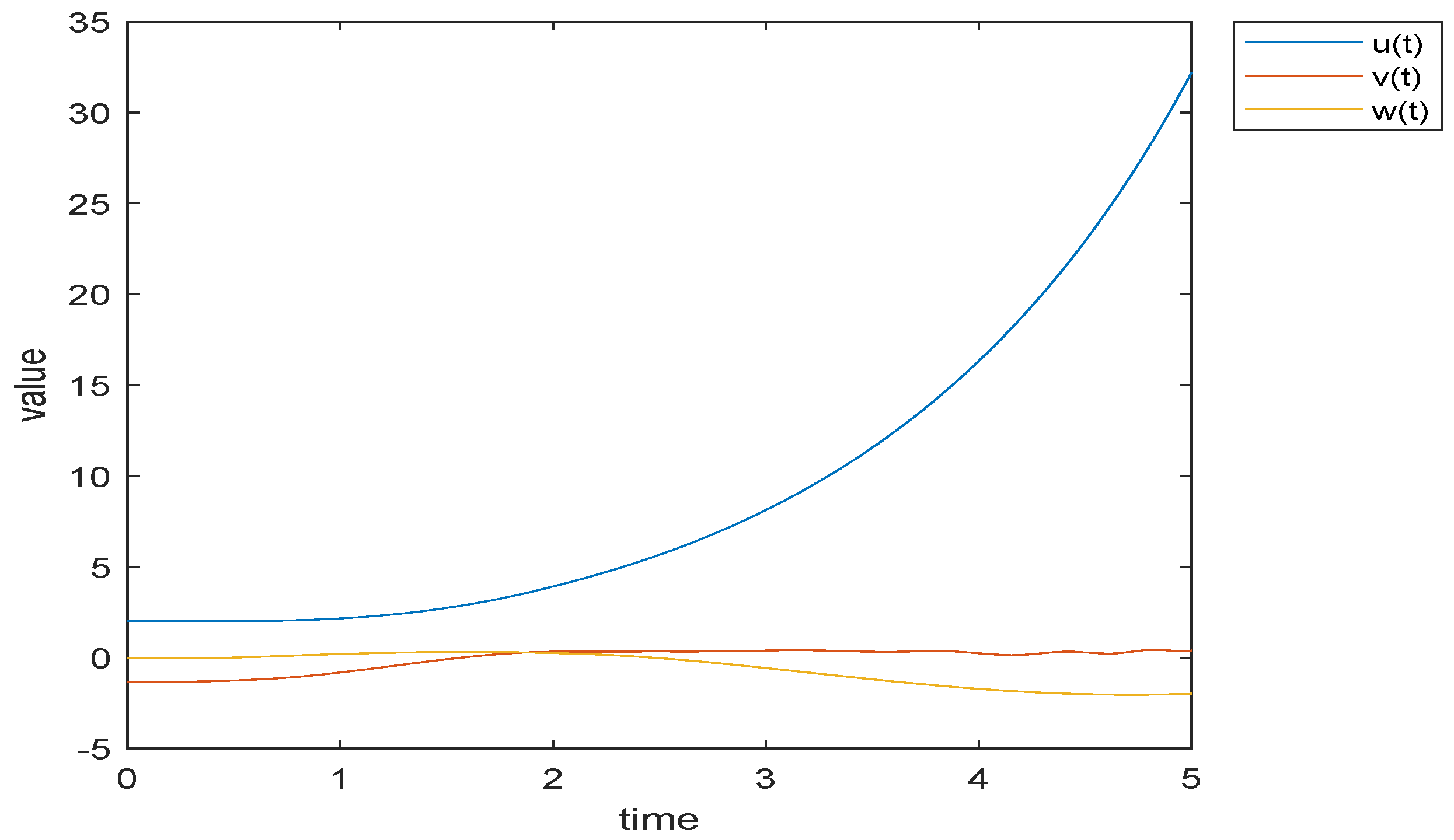
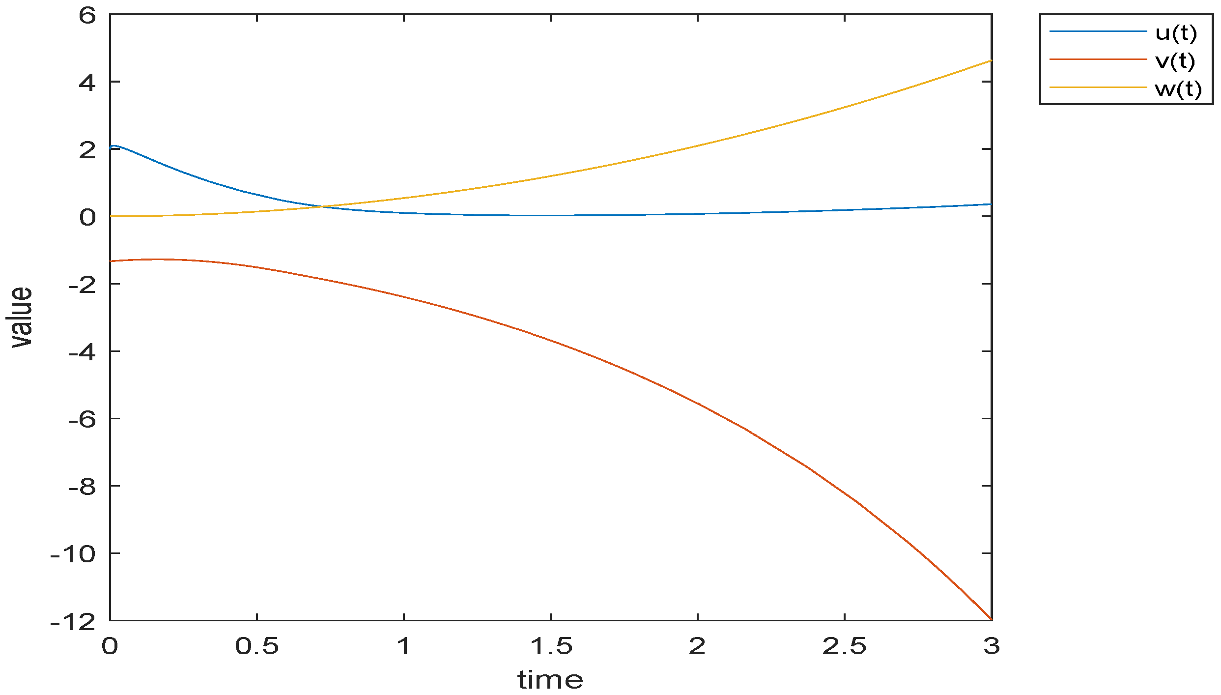
5.2. Numerical Simulation
6. Conclusions
Funding
Data Availability Statement
Acknowledgments
Conflicts of Interest
Appendix A
Appendix B
Appendix C
Appendix D
References
- Beck, C.; Roepstorff, G. From dynamical systems to the Langevin equation. Physica A 1987, 145, 1–14. [Google Scholar] [CrossRef]
- Coffey, C.; Kalmykov, Y.; Waldron, J. The Langevin Equation; World Scientific: Singapore, 2004. [Google Scholar]
- Kubo, R. The fluctuation-dissipation theorem. Rep. Prog. Phys. 1966, 29, 255–284. [Google Scholar] [CrossRef]
- Kubo, R.; Toda, M.; Hashitsume, N. Statistical Physics II; Springer: Berlin/Heidelberg, Germany, 1991. [Google Scholar]
- Eab, C.; Lim, S. Fractional generalized langevin equation approach to single-file diffusion. Physica A 2010, 389, 2510–2521. [Google Scholar] [CrossRef]
- Sandev, T.; Tomovski, Z. Langevin equation for a free particle driven by power law type of noises. Phys. Lett. A 2014, 378, 1–9. [Google Scholar] [CrossRef]
- Jajarmi, A.; Baleanu, D.; Zarghami, V.; Pirouz, H. A new and general fractional Lagrangian approach: A capacitor microphone case study. Results Phys. 2021, 31, 104950. [Google Scholar] [CrossRef]
- Erturk, V.; Godwe, E.; Baleanu, D.; Kumar, P. Novel fractional-order Lagrangian to describe motion of beam on nanowire. Acta Phys. Pol. A 2021, 140, 265–272. [Google Scholar] [CrossRef]
- Qureshi, S.; Yusuf, A.; Aziz, S. Fractional numerical dynamics for the logistic population growth model under Conformable Caputo: A case study with real observations. Phys. Scr. 2021, 96, 114002. [Google Scholar] [CrossRef]
- Tanriverdi, T.; Baskonus, H.; Mahmud, A.; Muhamad, K.A. Explicit solution of fractional order atmosphere-soil-land plant carbon cycle system. Ecol. Complex. 2021, 48, 100966. [Google Scholar] [CrossRef]
- Abbas, M.; Ragusa, M. Solvability of Langevin equations with two Hadamard fractional derivatives via Mittag–Leffler functions. Appl. Anal. 2022, 101, 3231–3245. [Google Scholar] [CrossRef]
- Saeed, A.; Almalahi, M.; Abdo, M. Explicit iteration and unique solution for φ-Hilfer type fractional Langevin equations. AIMS Math. 2022, 7, 3456–3476. [Google Scholar] [CrossRef]
- Omaba, M.; Nwaeze, E. On a nonlinear fractional Langevin equation of two fractional orders with a multiplicative noise. Fractal Fract. 2022, 6, 290. [Google Scholar] [CrossRef]
- Almalahi, M.; Panchal, S.; Jarad, F. Multipoint BVP for the Langevin equation under φ-Hilfer fractional operator. J. Funct. Space 2022, 2022, 2798514. [Google Scholar] [CrossRef]
- Kumar, V.; Stamov, G.; Stamova, I. Controllability results for a class of piecewise nonlinear impulsive fractional dynamic systems. Appl. Math. Comput. 2022, 439, 127625. [Google Scholar] [CrossRef]
- Kou, Z.; Kosari, S. On a generalization of fractional Langevin equation with boundary conditions. AIMS Math. 2022, 7, 1333–1345. [Google Scholar] [CrossRef]
- Batiha, I.; Ouannas, A.; Albadarneh, R.; Al-Nana, A.; Momani, S. Existence and uniqueness of solutions for generalized Sturm–Liouville and Langevin equations via Caputo–Hadamard fractional-order operator. Eng. Computation 2022, 39, 2581–2603. [Google Scholar] [CrossRef]
- Ulam, S. A Collection of Mathematical Problems-Interscience Tracts in Pure and Applied Mathmatics; Interscience: New York, NY, USA, 1906. [Google Scholar]
- Hyers, D. On the stability of the linear functional equation. Proc. Nat. Acad. Sci. USA 1941, 27, 2222–2240. [Google Scholar] [CrossRef]
- Wang, J.; Li, X. A uniform method to Ulam–Hyers stability for some linear fractional equations. Mediterr. J. Math. 2016, 13, 625–635. [Google Scholar] [CrossRef]
- Rezaei, H.; Jung, S.; Rassias, T. Laplace transform and Hyers–Ulam stability of linear differential equations. J. Math. Anal. Appl. 2013, 403, 244–251. [Google Scholar] [CrossRef]
- Wang, C.; Xu, T. Hyers–Ulam stability of fractional linear differential equations involving Caputo fractional derivatives. Appl. Math. Czech. 2015, 60, 383–393. [Google Scholar] [CrossRef]
- Haq, F.; Shah, K.; Rahman, G. Hyers–Ulam stability to a class of fractional differential equations with boundary conditions. Int. J. Appl. Comput. Math. 2017, 3, 1135–1147. [Google Scholar] [CrossRef]
- Wang, J.; Zhou, Y. Nonlinear impulsive problems for fractional differential equations and Ulam stability. Comput. Math. Appl. 2012, 64, 3389–3405. [Google Scholar] [CrossRef]
- Wang, J.; Zhou, Y. Ulam’s type stability of impulsive ordinary differential equations. J. Math. Anal. Appl. 2012, 395, 258–264. [Google Scholar] [CrossRef]
- Huang, H.; Zhao, K.; Liu, X. On solvability of BVP for a coupled Hadamard fractional systems involving fractional derivative impulses. AIMS Math. 2022, 7, 19221–19236. [Google Scholar] [CrossRef]
- Wang, J.; Li, X. Eα-Ulam type stability of fractional order ordinary differential equations. J. Appl. Math. Comput. 2014, 45, 449–459. [Google Scholar] [CrossRef]
- Ibrahim, R. Generalized Ulam–Hyers stability for fractional differential equations. Int. J. Math. 2014, 23, 9. [Google Scholar] [CrossRef]
- Yu, X. Existence and β-Ulam–Hyers stability for a class of fractional differential equations with non-instantaneous impulses. Adv. Differ. Equ. 2015, 2015, 104. [Google Scholar] [CrossRef]
- Feckan, M.; Wang, J.; Zhou, Y. Presentation of solutions of impulsive fractional Langevin equations and existence results. Eur. Phys. J. Spec. Top. 2013, 222, 1857–1874. [Google Scholar]
- Wang, J.; Li, X. Ulam–Hyers stability of fractional Langevin equations. Appl. Math. Comput. 2015, 258, 72–83. [Google Scholar] [CrossRef]
- Gao, Z.; Yu, X. Stability of nonlocal fractional Langevin differential equations involving fractional integrals. J. Appl. Math. Comput. 2017, 53, 599–611. [Google Scholar] [CrossRef]
- Develi, F. Existence and Ulam–Hyers stability results for nonlinear fractional Langevin equation with modified argument. Math. Method Appl. Sci. 2022, 45, 3417–3425. [Google Scholar] [CrossRef]
- Baitiche, Z.; Derbazi, C.; Matar, M. Ulam stability for nonlinear-Langevin fractional differential equations involving two fractional orders in the psi-Caputo sense. Appl. Anal. 2021, 101, 4866–4881. [Google Scholar] [CrossRef]
- Caputo, M.; Fabrizio, M. A new definition of fractional derivative without singular kernel. Prog. Fract. Differ. Appl. 2015, 1, 73–85. [Google Scholar]
- Atangana, A.; Baleanu, D. New fractional derivatives with nonlocal and non-singular kernel: Theory and application to heat transfer model. Therm. Sci. 2016, 20, 763–769. [Google Scholar] [CrossRef]
- Sadeghi, S.; Jafari, H.; Nemati, S. Operational matrix for Atangana–Baleanu derivative based on Genocchi polynomials for solving FDEs. Chaos Soliton Fract. 2020, 135, 109736. [Google Scholar] [CrossRef]
- Ganji, R.; Jafari, H.; Baleanu, D. A new approach for solving multi variable orders differential equations with Mittag–Leffler kernel. Chaos Soliton Fract. 2020, 130, 109405. [Google Scholar] [CrossRef]
- Tajadodi, H. A numerical approach of fractional advection-diffusion equation with Atangana-Baleanu derivative. Chaos Soliton Fract. 2020, 130, 109527. [Google Scholar] [CrossRef]
- Khan, H.; Khan, A.; Jarad, F.; Shah, A. Existence and data dependence theorems for solutions of an ABC-fractional order impulsive system. Chaos Soliton Fract. 2020, 131, 109477. [Google Scholar] [CrossRef]
- Khan, H.; Li, Y.; Khan, A. Existence of solution for a fractional-order Lotka–Volterra reaction-diffusion model with Mittag–Leffler kernel. Math. Meth. Appl. Sci. 2019, 42, 3377–3387. [Google Scholar] [CrossRef]
- Acay, B.; Bas, E.; Abdeljawad, T. Fractional economic models based on market equilibrium in the frame of different type kernels. Chaos Soliton Fract. 2020, 130, 109438. [Google Scholar] [CrossRef]
- Khan, A.; Gómez-Aguilar, J.; Khan, T.; Khan, H. Stability analysis and numerical solutions of fractional order HIV/AIDS model. Chaos Soliton Fract. 2019, 122, 119–128. [Google Scholar] [CrossRef]
- Khan, H.; Gómez-Aguilar, J.; Alkhazzan, A.; Khan, A. A fractional order HIV-TB coinfection model with nonsingular Mittag–Leffler Law. Math. Meth. Appl. Sci. 2020, 43, 3786–3806. [Google Scholar] [CrossRef]
- Koca, I. Modelling the spread of Ebola virus with Atangana–Baleanu fractional operators. Eur. Phys. J. Plus 2018, 133, 100. [Google Scholar] [CrossRef]
- Morales-Delgado, V.; Gómez-Aguilar, J.; Taneco-Hernández, M.; Escobar-Jiménez, R.F.; Olivares-Peregrino, V.H. Mathematical modeling of the smoking dynamics using fractional differential equations with local and nonlocal kernel. J. Nonlinear Sci. Appl. 2018, 11, 1004–1014. [Google Scholar] [CrossRef]
- Sene, N.; Gautam, S. Generalized Mittag–Leffler input stability of the fractional differential equations. Symmetry 2019, 11, 608. [Google Scholar] [CrossRef]
- Zhao, K. Stability of a nonlinear ML-nonsingular kernel fractional Langevin system with distributed lags and integral control. Axioms 2022, 11, 350. [Google Scholar] [CrossRef]
- Zhao, K. Existence, stability and simulation of a class of nonlinear fractional Langevin equations involving nonsingular Mittag–Leffler kernel. Fractal Fract. 2022, 6, 469. [Google Scholar] [CrossRef]
- Jarad, F.; Abdeljawad, T.; Hammouch, Z. On a class of ordinary differential equations in the frame of Atangana–Baleanu fractional derivative. Chaos Soliton Fract. 2018, 117, 16–20. [Google Scholar] [CrossRef]
- Granas, A.; Dugundji, J. Fixed Point Theory; Springer: New York, NY, USA, 2003. [Google Scholar]
- Guo, D.; Lakshmikantham, V. Nonlinear Problems in Abstract Cone; Academic Press: Orlando, FL, USA, 1988. [Google Scholar]
- Shampine, L. Solving ODEs and DDEs with residual control. Appl. Numer. Math. 2005, 52, 113–127. [Google Scholar] [CrossRef]







| t | 0 | 0.2 | 0.4 | 0.6 | 0.8 | 1 |
|---|---|---|---|---|---|---|
| Fractional order | 2.0000 | 1.9971 | 1.9858 | 1.9582 | 1.9033 | 1.8187 |
| Integer order | 2.0000 | 1.8101 | 1.6193 | 1.4444 | 1.3058 | 1.2184 |
| t | 0 | 0.2 | 0.4 | 0.6 | 0.8 | 1 |
|---|---|---|---|---|---|---|
| Fractional order | 2.0000 | 1.4708 | 0.8650 | 0.4482 | 0.2147 | 0.1024 |
| Integer order | 2.0000 | 1.8100 | 1.6190 | 1.4355 | 1.2686 | 1.1276 |
| t | 0 | 0.2 | 0.4 | 0.6 | 0.8 | 1 |
|---|---|---|---|---|---|---|
| Fractional order | 2.0000 | 1.6614 | 1.2576 | 0.9385 | 0.7052 | 0.5470 |
| Integer order | 2.0000 | 1.8298 | 1.6924 | 1.5871 | 1.5115 | 1.4627 |
| t | 0 | 0.2 | 0.4 | 0.6 | 0.8 | 1 |
|---|---|---|---|---|---|---|
| 2.0000 | 1.6614 | 1.2576 | 0.9385 | 0.7052 | 0.5470 | |
| 2.0000 | 1.6611 | 1.2569 | 0.9376 | 0.7042 | 0.5459 |
Publisher’s Note: MDPI stays neutral with regard to jurisdictional claims in published maps and institutional affiliations. |
© 2022 by the author. Licensee MDPI, Basel, Switzerland. This article is an open access article distributed under the terms and conditions of the Creative Commons Attribution (CC BY) license (https://creativecommons.org/licenses/by/4.0/).
Share and Cite
Zhao, K. Stability of a Nonlinear Langevin System of ML-Type Fractional Derivative Affected by Time-Varying Delays and Differential Feedback Control. Fractal Fract. 2022, 6, 725. https://doi.org/10.3390/fractalfract6120725
Zhao K. Stability of a Nonlinear Langevin System of ML-Type Fractional Derivative Affected by Time-Varying Delays and Differential Feedback Control. Fractal and Fractional. 2022; 6(12):725. https://doi.org/10.3390/fractalfract6120725
Chicago/Turabian StyleZhao, Kaihong. 2022. "Stability of a Nonlinear Langevin System of ML-Type Fractional Derivative Affected by Time-Varying Delays and Differential Feedback Control" Fractal and Fractional 6, no. 12: 725. https://doi.org/10.3390/fractalfract6120725
APA StyleZhao, K. (2022). Stability of a Nonlinear Langevin System of ML-Type Fractional Derivative Affected by Time-Varying Delays and Differential Feedback Control. Fractal and Fractional, 6(12), 725. https://doi.org/10.3390/fractalfract6120725

