Numerical Solutions of a Heat Transfer for Fractional Maxwell Fluid Flow with Water Based Clay Nanoparticles; A Finite Difference Approach
Abstract
:1. Introduction
2. Formulation and Mathematical Modeling
3. Numerical Procedure



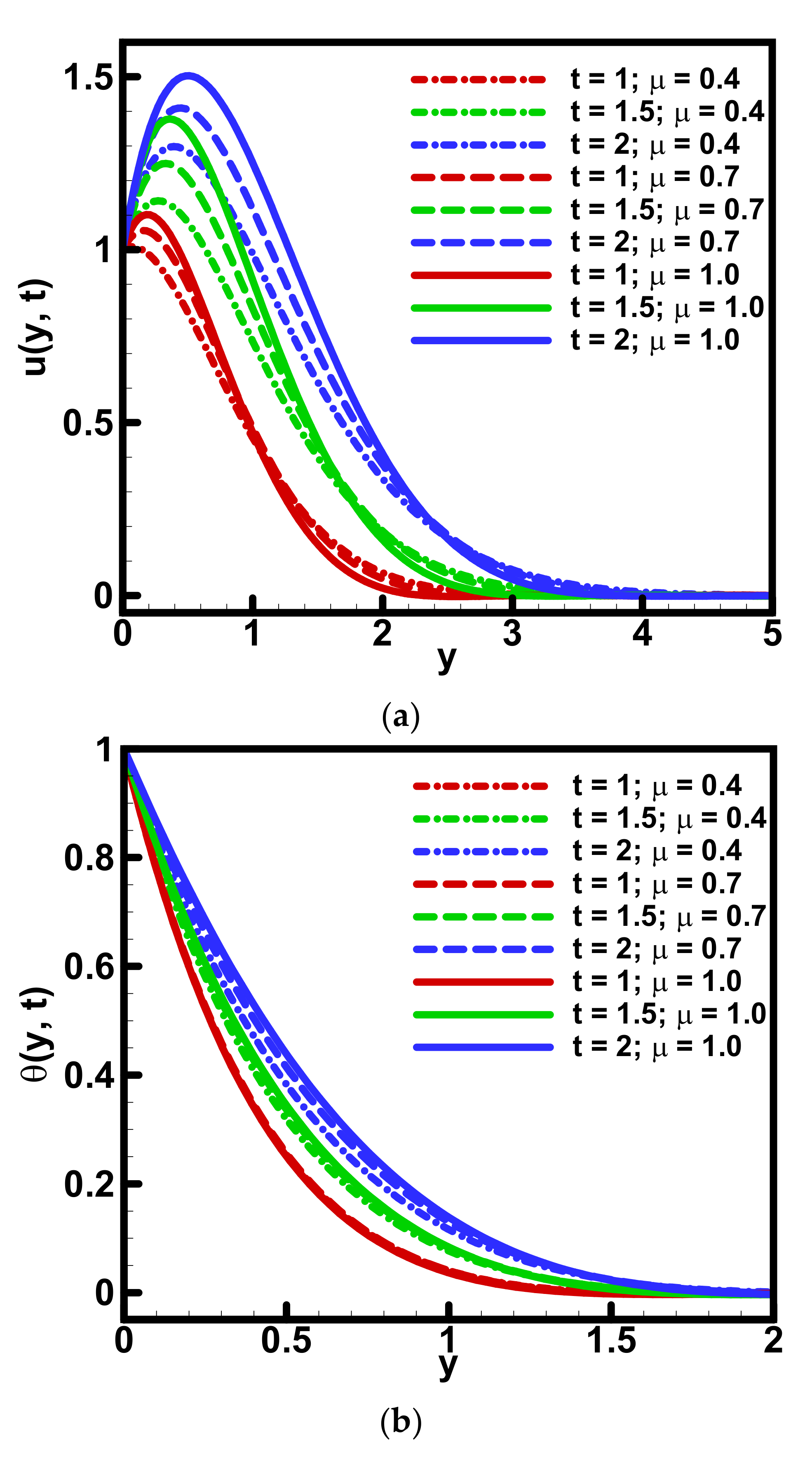
4. Results and Discussion
5. Conclusions
- Velocity increases gradually by the increase in fractional parameters and Grashof number i.e., the relation is direct.
- The enhancement of the volumetric fraction of nanoparticles gives rise to thermal conductivity consequently to the temperature field.
- The velocity profile increases whereas the temperature field is shown to have a descending behavior while increasing the value of the Prandtl number.
- The extended finite difference method produced very accurate and stable solutions against each physical parameter. In other words, the convergence and stability of proposed method have been proved numerically.
- The fractional-order parameter exhibited the dominant influence on the velocity and temperature profiles, and exhibited the increasing behavior against
Author Contributions
Funding
Institutional Review Board Statement
Informed Consent Statement
Data Availability Statement
Conflicts of Interest
References
- Sheikholeslami, M.; Rashidi, M.M. Effect of space dependent magnetic field on free convection of Fe3O4–water nanofluid. J. Taiwan Inst. Chem. Eng. 2015, 56, 6–15. [Google Scholar] [CrossRef]
- Sheikholeslami, M.; Vajravelu, K.; Rashidi, M.M. Forced convection heat transfer in a semi annulus under the influence of a variable magnetic field. Int. J. Heat Mass Transf. 2016, 92, 339–348. [Google Scholar] [CrossRef]
- Sheikholeslami, M. Magnetic field influence on nanofluid thermal radiation in a cavity with tilted elliptic inner cylinder. J. Mol. Liq. 2017, 229, 137–147. [Google Scholar] [CrossRef]
- Sheikholeslami, M.; Gorji-Bandpy, M.; Ganji, D.D.G.-D.; Rana, P.; Soleimani, S. Magnetohydrodynamic free convection of Al2O3–water nanofluid considering Thermophoresis and Brownian motion effects. Comput. Fluids 2014, 94, 147–160. [Google Scholar] [CrossRef]
- Sheikholeslami, M.; Hayat, T.; Alsaedi, A. MHD free convection of Al2O3–water nanofluid considering thermal radiation: A numerical study. Int. J. Heat Mass Transf. 2016, 96, 513–524. [Google Scholar] [CrossRef]
- Sheikholeslami, M. Numerical simulation of magnetic nanofluid natural convection in porous media. Phys. Lett. A 2017, 381, 494–503. [Google Scholar] [CrossRef]
- Sheikholeslami, M.; Ellahi, R. Three dimensional mesoscopic simulation of magnetic field effect on natural convection of nanofluid. Int. J. Heat Mass Transf. 2015, 89, 799–808. [Google Scholar] [CrossRef]
- Yu, W.; France, D.M.; Routbort, J.L.; Choi, S.U.S. Review and comparison of nanofluid thermal conductivity and heat transfer enhancements. Heat Transf. Eng. 2008, 29, 432–460. [Google Scholar] [CrossRef]
- Bejan, A. A Study of Entropy Generation in Fundamental Convective Heat Transfer. J. Heat Transfer. 1979, 101, 718–725. [Google Scholar] [CrossRef]
- Bejan, A. Second-law analysis in heat transfer and thermal design. In Advances in Heat Transfer; Elsevier: Amsterdam, The Netherlands, 1982; pp. 1–58. [Google Scholar]
- Bejan, A. The thermodynamic design of heat and mass transfer processes and devices. Int. J. Heat Fluid Flow 1987, 8, 258–276. [Google Scholar] [CrossRef]
- Bejan, A. Entropy Generation Minimization; CRS Press: Boca Raton, FL, USA, 1996. [Google Scholar]
- Amiri, I.; Ali, J. Generating highly dark–bright solitons by Gaussian beam propagation in a PANDA ring resonator. J. Comput. Theor. Nanosci. 2014, 11, 1092–1099. [Google Scholar] [CrossRef]
- Khan, A.; Karim, F.U.; Khan, I.; Alkanhal, T.A.; Ali, F.; Khan, D.; Nisar, K.S. Entropy generation in MHD conjugate flow with wall shear stress over an infinite plate: Exact analysis. Entropy 2019, 21, 359. [Google Scholar] [CrossRef] [Green Version]
- Awad, M.M. A new definition of Bejan number. Therm. Sci. 2012, 16, 1251–1253. [Google Scholar] [CrossRef] [Green Version]
- Awad, M.M.; Lage, J.L. Extending the Bejan number to a general form. Therm. Sci. 2013, 17, 631–633. [Google Scholar] [CrossRef]
- Choi, S.U.; Eastman, J.A. Enhancing Thermal Conductivity of Fluids with Nanoparticles; Argonne National Lab.: Lemont, IL, USA, 1995. [Google Scholar]
- Friedrich, C. Relaxation and retardation functions of the Maxwell model with fractional derivatives. Rheol. Acta 1991, 30, 151–158. [Google Scholar] [CrossRef]
- Khan, I.; Shah, N.A.; Mahsud, Y.; Vieru, D. Heat transfer analysis in a Maxwell fluid over an oscillating vertical plate using fractional Caputo-Fabrizio derivatives. Eur. Phys. J. Plus 2017, 132, 194. [Google Scholar] [CrossRef]
- Imran, M.; Khan, I.; Ahmad, M.; Shah, N.; Nazar, M. Heat and mass transport of differential type fluid with non-integer order time-fractional Caputo derivatives. J. Mol. Liq. 2017, 229, 67–75. [Google Scholar] [CrossRef]
- Ali, F.; Alam Jan, S.A.; Khan, I.; Gohar, M.; Sheikh, N.A. Solutions with special functions for time fractional free convection flow of Brinkman-type fluid. Eur. Phys. J. Plus 2016, 131, 310. [Google Scholar] [CrossRef]
- Vieru, D.; Fetecau, C. Time-fractional free convection flow near a vertical plate with Newtonian heating and mass diffusion. Therm. Sci. 2015, 19, 85–98. [Google Scholar] [CrossRef]
- Khan, I.; Shah, N.A.; Vieru, D. Unsteady flow of generalized Casson fluid with fractional derivative due to an infinite plate. Eur. Phys. J. Plus 2016, 131, 181. [Google Scholar] [CrossRef]
- Imran, M.A.; Shah, N.A.; Khan, I.; Aleem, M. Applications of non-integer Caputo time fractional derivatives to natural convection flow subject to arbitrary velocity and Newtonian heating. Neural Comput. Appl. 2018, 30, 1589–1599. [Google Scholar] [CrossRef]
- Asjad, M.I. Fractional mechanism with power law (singular) and exponential (non-singular) kernels and its applications in bio heat transfer model. Int. J. Heat Technol. 2019, 37, 846–852. [Google Scholar] [CrossRef]
- Aleem, M.; Asjad, M.I.; Shaheen, A.; Khan, I. MHD Influence on different water based nanofluids (TiO2, Al2O3, CuO) in porous medium with chemical reaction and newtonian heating. Chaos Solitons Fractals 2020, 130, 109437. [Google Scholar] [CrossRef]
- Kaabar, M.K.A.; Martínez, F.; Gómez-Aguilar, J.F.; Ghanbari, B.; Kaplan, M.; Günerhan, H. New approximate analytical solutions for the nonlinear fractional Schrödinger equation with second-order spatio-temporal dispersion via double Laplace transform method. Math. Methods Appl. Sci. 2021, 44, 11138–11156. [Google Scholar] [CrossRef]
- Eltayeb, H.; Bachar, I.; Kılıçman, A. On Conformable Double Laplace Transform and One Dimensional Fractional Coupled Burgers’ Equation. Symmetry 2019, 11, 417. [Google Scholar] [CrossRef] [Green Version]
- Asjad, M.I.; Ikram, M.D.; Ali, R.; Baleanu, D. New analytical solutions of heat transfer flow of clay-water base nanoparticles with the application of novel hybrid fractional derivative. Therm. Sci. 2020, 24, 343–350. [Google Scholar] [CrossRef]
- Khan, I.; Hussanan, A.; Saqib, M.; Shafie, S. Convective heat transfer in drilling nanofluid with Clay nanoparticles: Applications in water cleaning process. BioNanoScience 2019, 9, 453–460. [Google Scholar] [CrossRef]
- Wang, C.-C. Mathematical Principles of Mechanics and Electromagnetism: Part. A: Analytical and Continuum Mechanics; Springer Science and Business Media: Berlin, Germany, 2013; Volume 16. [Google Scholar]
- Salah, F.; Aziz, Z.A.; Ching, D.L.C. On accelerated MHD flows of second grade fluid in a porous medium and rotating frame. IAENG International J. Appl. Math. 2013, 43, 106–113. [Google Scholar]
- Sheikh, N.A.; Ali, F.; Khan, I.; Gohar, M.; Saqib, M. On the applications of nanofluids to enhance the performance of solar collectors: A comparative analysis of Atangana-Baleanu and Caputo-Fabrizio fractional models. Eur. Phys. J. Plus 2017, 132, 540. [Google Scholar] [CrossRef]
- Zhao, J.; Zheng, L.; Zhang, X.; Liu, F. Unsteady natural convection boundary layer heat transfer of fractional Maxwell viscoelastic fluid over a vertical plate. Int. J. Heat Mass Transf. 2016, 97, 760–766. [Google Scholar] [CrossRef]
- Khan, A.Q.; Rasheed, A. Numerical simulation of fractional maxwell fluid flow through forchheimer medium. Int. Commun. Heat Mass Transf. 2020, 119, 104872. [Google Scholar] [CrossRef]
- Cattaneo, C. A form of heat-conduction equations which eliminates the paradox of instantaneous propagation. Comptes Rendus 1958, 247, 431. [Google Scholar]
- Baleanu, D.; Fernandez, A.; Akgül, A. On a fractional operator combining proportional and classical differintegrals. Mathematics 2020, 8, 360. [Google Scholar] [CrossRef] [Green Version]
- Abu-Shady, M.; Kaabar, M.K.A. A Generalized Definition of the Fractional Derivative with Applications. Math. Probl. Eng. 2021, 2021, 9444803. [Google Scholar] [CrossRef]



| Material | Symbol | K | Pr | |||
| Clay | Nanoparticles | 6320 | 531.8 | 76.5 | 1.8 | - |
| Water | 997 | 4179 | 0.613 | 21 | 6.2 | |
| Kerosene oil | KO | 783 | 2090 | 0.145 | 99 | 21 |
| Engine oil | EO | 884 | 1910 | 0.114 | 70 | 500 |
Publisher’s Note: MDPI stays neutral with regard to jurisdictional claims in published maps and institutional affiliations. |
© 2021 by the authors. Licensee MDPI, Basel, Switzerland. This article is an open access article distributed under the terms and conditions of the Creative Commons Attribution (CC BY) license (https://creativecommons.org/licenses/by/4.0/).
Share and Cite
Ali, A.; Asjad, M.I.; Usman, M.; Inc, M. Numerical Solutions of a Heat Transfer for Fractional Maxwell Fluid Flow with Water Based Clay Nanoparticles; A Finite Difference Approach. Fractal Fract. 2021, 5, 242. https://doi.org/10.3390/fractalfract5040242
Ali A, Asjad MI, Usman M, Inc M. Numerical Solutions of a Heat Transfer for Fractional Maxwell Fluid Flow with Water Based Clay Nanoparticles; A Finite Difference Approach. Fractal and Fractional. 2021; 5(4):242. https://doi.org/10.3390/fractalfract5040242
Chicago/Turabian StyleAli, Arfan, Muhammad Imran Asjad, Muhammad Usman, and Mustafa Inc. 2021. "Numerical Solutions of a Heat Transfer for Fractional Maxwell Fluid Flow with Water Based Clay Nanoparticles; A Finite Difference Approach" Fractal and Fractional 5, no. 4: 242. https://doi.org/10.3390/fractalfract5040242
APA StyleAli, A., Asjad, M. I., Usman, M., & Inc, M. (2021). Numerical Solutions of a Heat Transfer for Fractional Maxwell Fluid Flow with Water Based Clay Nanoparticles; A Finite Difference Approach. Fractal and Fractional, 5(4), 242. https://doi.org/10.3390/fractalfract5040242

