Abstract
This manuscript assesses a semi-analytical method in connection with a new hybrid fuzzy integral transform and the Adomian decomposition method via the notion of fuzziness known as the Elzaki Adomian decomposition method (briefly, EADM). Moreover, we use the aforesaid strategy to address the time-fractional Fornberg–Whitham equation (FWE) under -differentiability by employing different initial conditions (IC). Several algebraic aspects of the fuzzy Caputo fractional derivative (CFD) and fuzzy Atangana–Baleanu (AB) fractional derivative operator in the Caputo sense, with respect to the Elzaki transform, are presented to validate their utilities. Apart from that, a general algorithm for fuzzy Caputo and AB fractional derivatives in the Caputo sense is proposed. Some illustrative cases are demonstrated to understand the algorithmic approach of FWE. Taking into consideration the uncertainty parameter and various fractional orders, the convergence and error analysis are reported by graphical representations of FWE that have close harmony with the closed form solutions. It is worth mentioning that the projected approach to fuzziness is to verify the supremacy and reliability of configuring numerical solutions to nonlinear fuzzy fractional partial differential equations arising in physical and complex structures.
1. Introduction
Recently, fractional calculus (FC) theory has shown incredible capabilities for describing the dynamical behavior and memory-related properties of scientific structures and procedures. Fractional differential equations (FDEs) have been developed by researchers to investigate and interpret natural phenomena in a variety of domains. FC theory comprises numerous generalizations in terms of non-local properties of fractional operators, expanded degree of independence, and maximum information application, and these features only arise in fractional order processes, not in integer-order mechanisms. Some scholars have recently investigated a series of innovative mathematical models using distinct local and non-local fractional derivative operators (see, [1,2,3,4,5,6,7,8,9,10,11,12]).
Recently, many innovative fractional derivative operators beyond the singular kernel have been explored, such as the Mittag–Leffler function [13] and exponential function [14]. In particular, researchers who would like to develop and address a real-life problem have recommended fractional operators, see [15]. Problems involving these operators can be solved quickly and reliably because they include a non-singular kernel. Numerical algorithms can also be conducted conveniently regarding the integral transforms of these fractional formulations. Many authors have investigated fractional operators, as evidenced by the references [16,17] and those cited therein.
Modeling uncertain problems with fuzzy set theory is a useful method. As a consequence, fuzzy notions have been employed to model a wide range of natural processes. Specifically, fuzzy partial differential equations (PDEs) have been exploited in a wide range of scientific domains, including patteren formation theory, engineering, population dynamics, control systems, knowledge-based systems, image processing, power engineering, industrial automation, robotics, consumer electronics, artificial intelligence/expert systems, management, and operations research. However, the notion of fuzzy set theory has a strong connection with fractional calculus, due to its crucial aspects in various scientific disciplines [18]. In 1978, Kandel and Byatt [19] contemplated the idea of fuzzy DEs, then Agarwal et al. [20] were the first to address fuzziness and the Riemann–Liouville differentiability notion under the Hukuhara differentiability. Fuzzy set theory and FC incorporate several numerical approaches that enable a more in-depth understanding of complicated systems while also reducing the amount of computational cost involved in the solution process. In the case of FPDEs, finding accurate analytical solutions is a difficult task. To cope with this challenge, several numerical methods have been expounded to obtain the analytical solutions of PDES and ODEs, such as the Adomian decomposition method (ADM) [21], q-homotopy analysis method (q-HAM) [22], pseudo spectral method (PSM) [23], Laguerre wavelets collocation method (LWCM) [24], new Legendre-Wavelets decomposition method (NLWDM) [25], etc. Fuzzy FPDEs have expanded in prominence over the last decade as a result of their vast applicability and significance in analyzing the behavior of complex geometries. Recently, Hoa et al. [26,27] investigated the gH-differentiability with a Katugampola fractional derivative in the Caputo sense and employed fuzzy FDEs. Salahshour et al. [28] expounded the H-differentiability with the Laplace transform to solve the FDEs. Ahmad et al. [29] studied the third order fuzzy dispersive PDEs in the Caputo, Caputo–Fabrizio, and Atangana–Baleanu fractional operator frameworks. Shah et al. [30] presented the evolution of one dimensional fuzzy fractional PDEs. For more details, see [31,32,33,34] and the references cited therein.
Accessing the influence of PDEs for external potential has been extensively applied as a model for the evaluation of multiple challenges. The Fornberg–Whitham (FW) model is an important complex formulation in mathematical physics. The FWE [35,36] is presented as
where the fluid velocity is expressed by along with as the spatial co-ordinate and denoting time. In 1978, Fornberg and Whitham [35,36] contemplated a solution with an arbitrarily defined constant of The FWE has been discovered to need peakon outcomes as a model for controlling wave heights and wave break frequency. Recently, various sorts of FWE models in physics have been investigated by Abidi and Omrani [37], Gupta and Singh [38], Lu [39], Sakar et al. [40], Chen et al. [41], Yin et al. [42], Zhou and Tian [43], He et al. [44], Fan et al. [45], Jiang and Bi [46].
This research creates a modified fuzzy EADM framework to assess the fuzzy time fractional FWE. The approximate analytical solutions for various fractional Brownian movements, as well as standard motion, are derived using the uncertainty parameter in ICs. Graphically, the diversity of approximate results is illustrated, and the error estimate demonstrates the validity of the approximate analytical solutions. In the time fractional operator form, this equation can be expressed as
subject to ICs and and is the order of the time fractional derivative. It is remarkable that the exact traveling wave solution of FWE subject to IC has been investigated in [38].
In order to simplify the approach to solving ODEs and PDEs in the time domain, Tarig Elzaki [47] introduced a new transform known as ET in 2001. This innovative transform is a refinement of existing transforms (Laplace and Sumudu) that can help determine the analytical solutions of PDEs in a similar fashion to the Laplace and Sumudu transformations.
The ADM is a semi-analytical approach to solving linear-nonlinear FDEs by advantageously creating a functional series solution, initially presented by Adomian [48]. Later, this approach was used with numerous transformations (such as the Sumudu, Aboodh, Laplace, and Mohand transforms), as shown in [49,50,51,52,53,54,55,56,57,58].
Owing to the above propensity, configuring the exact solution of nonlinear fuzzy fractional PDEs is an ever challenging task. In this paper, our intention is to establish an efficacious algorithm for generating estimated solutions of fuzzy fractional FWE, the general FWE arising in wave breaking subject to uncertainty in IC by EADM that models the dynamics of the system being analyzed. The EADM is merged with the Elzaki transform (ET), and the ADM is known as the Elzaki Adomian decomposition method (EADM). This novel method is applied to examining fractional-order FW models. The findings of a particular test case are evaluated in terms of showing that the proposed technique is viable. The findings of the fractional-order with an uncertainty factor are determined by advanced tools and methods. The convergence analysis for EADM was also briefly discussed. The FW model was leveraged to generate synthesized trajectories. In a simulation study, we illustrate the applicability and effectiveness of the offered algorithmic strategies for determining numerical solutions. Several fuzzy fractional orders of linear and non-linear PDEs can be addressed using the proposed method.
2. Preliminaries
This section clearly exhibits some major features connected to the stream of fuzzy () set theory and FC, as well as certain key findings about ET. For more details, we refer to [59].
Definition 1
([60,61]). We say that is a number, if it holds the subsequent assumptions:
- 1.
- Ω is normal (for some );
- 2.
- Ω is upper semi continuous;
- 3.
- , i.e., Ω is convex;
- 4.
- is compact.
Definition 2
([60]). We say that a number Ω is a ζ-level set described as
where and
Definition 3
([60]). The parameterized version of a number is denoted by such that satisfies the subsequent assumptions:
- 1.
- is non-decreasing, left continuous, bounded over and left continuous at
- 2.
- is non-increasing, right continuous, bounded over and right continuous at
- 3.
Moreover, ζ is known to be a crisp number if
Definition 4.
([59]). For and χ to be a scalar, assume that there are two numbers then the addition, subtraction and scalar multiplication, respectively, are stated as
- 1.
- 2.
- 3.
Suppose the set is a domain of -valued mapping . Let us introduce the mappings : These mappings are said to be the left and right ℘-level mappings of the map
Definition 5
([28]). Suppose a mapping with two numbers then the Θ-distance between and is represented as
Definition 6
([28]). Consider a mapping is said to be continuous at if for every and there is such that
If Θ is continuous for each we say that Θ is continuous on
Definition 7
([62]). Let if and The -difference of and is denoted as Observe that
Now suppose then
- (i)
- .
or
- (ii)
The following Lemma demonstrates the link between the -difference and the Housdroff distance.
Lemma 1
([63]). For all , then
where, for an interval the norm is
Definition 8
([64]). Suppose and Then Θ is said to be strongly generalized Hukuhara differentiable on (-differentiable) if ∃ an element such that the following holds:
- (i)
- For all of sufficiently small size, the subsequent -differences exist:and the following limits hold:
- (ii)
- For all of sufficiently small size, the subsequent -differences exist:and the following limits hold:
Lemma 2
([65]). Consider that Θ: is a continuous -valued mapping and Then
- (i)
- If is -partial differentiable for ℓ (i.e., Θ is partial differentiable for ℓ under the meaning of Definition 8(i)), then
- (ii)
- If is -partial differentiable for ℓ (i.e., Θ is partial differentiable for ℓ under the meaning of Definition 8(ii)), then
Definition 9
([28]). Assume that a mapping is represented in parameterized version as and then CFD in the sense is stated as
where
2.1. A Fuzzy Elzaki Transform for Fuzzy Caputo Fractional Derivative and a Fuzzy Atangana–Baleanu Fractional Derivative Operator
Definition 10.
Consider to be continuous -valued mapping and assume that is an improper fuzzy Riemann-integrable on and then is said to be the fuzzy Elzaki transform and is described over the set of mappings:
where z is a finite number, but may be finite or infinite, then the fuzzy Elzaki transform is described as
Remark 1.
In (12), hold the cases of the decreasing diameter and the increasing diameter of a fuzzy mapping Moreover, when then the fuzzy Elzaki transform reduces to a Laplace transform.
The parameterized version of is defined as
Thus,
2.2. Some Algebraic Properties of Fuzzy Elzaki Transform
Here, our first result is the following theorem.
Theorem 1.
Assume that an integrable fuzzy valued mapping and is the primitive of on then
The first few terms of (15) are represented as follows:
Proof.
Assume that is arbitrary, and then we deduce
In view of (14), we have
Consequently, (15) is truewhen This completes the proof. □
Our next result is the convolution property of the fuzzy Elzaki transform.
Theorem 2.
Assume that two integrable fuzzy-valued mappings and with their respective fuzzy Elzaki transforms and respectively, then
where the convolution of is defined as
Proof.
Exchanging the order and limit of the integrals, we have
Substituting we have
Thus, we conclude
□
Theorem 3.
(Inverse fuzzy Elzaki transform.) Consider the mapping and to be the fuzzy Elzaki transform of the mapping then the inverse transforms are presented as follows:
Adopting the idea of Allahviranloo et al. [66], here, we illustrate the fuzzy Elzaki transform of Caputo and generalize the Hukuhara derivative
Theorem 4.
Consider an integrable fuzzy-valued mapping and is the primitive of defined on then the CFD operator of order α satisfies
Proof.
By means of Definition 10 and Theorem 2, we have
Again, in view of Definition 10 and Theorem 1, we obtain
Using the fact that , and the result provided by Salahhshour et al. [67], we have
This completes the proof. □
Next we illustrate the linearity property of yjr fuzzy Elzaki transform.
Theorem 5.
Assume that there are two continuous fuzzy valued-mappings and with real constants and , then
Proof.
Consider to be arbitrarily fixed. Then, by means of (13), we have
This completes the proof. □
Definition 11.
Consider such that then the Elzaki transform of fuzzy CFD of order is described as follows:
where
Definition 12.
Consider and then the -order variable Atangana–Baleanu derivative under (i)— differentiability of in the Caputo sense is stated as
where
where denotes the normalize function that equals 1 when α is assumed to be 0 and 1. Furthermore, we suppose that type — exists. So here is no need to consider — differentiability.
Yauvaz and Abdeljawad [68] defined the ABC fractional derivative operator in the Elzaki sense. Furthermore, we extend the idea of a fuzzy ABC fractional derivative in the Elzaki transform sense as follows:
Definition 13.
Consider such that then the Elzaki transform of fuzzy ABC of order is described as follows:
where
3. Proposed Algorithm
Here, the general methodology of obtaining the numerical results of one-dimensional fractional FWE involving the CFD and ABC fractional derivative operator in the fuzzy ET is investigated.
The parameterized version of (2) is presented as
Employing ET on both sides of the first preceding case of (39) by utilizing the fuzzy CFD, we have
subject to the IC we have
or, accordingly, we have
Again, applying ET on both sides of the first preceding case of (39) by utilizing the fuzzy ABC fractional derivative, we have
The unknown series solution is expressed as
and the nonlinear terms are decomposed as
where and are known to be the Adomian polynomial are presented as
Applying the inverse ET on [46] and comparing terms by terms on both sides, we have
Again, applying the inverse ET on (47) and comparing terms by terms on both sides, we have
Hence, the required series solution is expressed as
Repeating the same procedure for the upper case of (39). Therefore, we mention the solution in the parameterized version as follows:
4. Test Examples and Their Physical Interpretation
In this note, we demonstrate the series solutions with the aid of EADM concerning different initial conditions by employing fuzzy Caputo and ABC fractional derivative operators, respectively.
Firstly, we surmise the FW model (2) by considering EADM.
Problem 1.
Assume the one-dimension fuzzy fractional FW model with fuzzy ICs is represented as follows:
where for is a fuzzy number.
Proof.
The parameterized version of the problem (50) is expressed as follows
Case I. (For the fuzzy Caputo fractional derivative)
Here, we obtain the EADM solution for the first case of (51) by using the fuzzy Caputo fractional derivative operator.
Taking into consideration the procedure described in Section 3, we have
Simple computations result in
Let us surmise the infinite sum accompanying it with (45) and affirming the non-linearity. Therefore, (52) takes the form
By implementing a similar technique, the remaining terms of of the EADM solution can be simply determined. Furthermore, when the iterative process expands, the accuracy of the obtained solution improves dramatically, and the deduced solution moves closer to the precise result. Finally, we have come up with the following answers in a series form
such that
Consequently, we have
Case II. (For the fuzzy Atangana–Baleanu Caputo fractional derivative)
Here, we obtain the EADM solution for the first case of (51) by the using fuzzy ABC fractional derivative operator.
Taking into consideration the procedure described in Section 3, we have
Simple computations result in
Let us surmise the infinite sum accompanying it with (45) and affirming the non-linearity. Therefore, (52) takes the form
By implementing a similar technique, the remaining terms of of the EADM solution can be simply determined. Furthermore, when the iterative process expands, the accuracy of the obtained solution improves dramatically, and the deduced solution moves closer to the precise result. Finally, we have come up with the following answers in a series form
such that
Consequently, we have
In this analysis, Figure 1 demonstrates the insight into the influence of multiple layer surface plots for Problem 1 correlated with the CFD and Elzaki transform in the fuzzy sense. It is worth mentioning that the profile identifies the variation in the mapping on space co-ordinate with respect to and uncertainty parameter .
Figure 1.
A three-dimensional surface plot indicates the lower and upper solution taking into consideration the fuzzy Caputo fractional derivative operator for Problem 1 when with uncertainty
The graph illustrates that as, time progresses, the mapping will also increase.
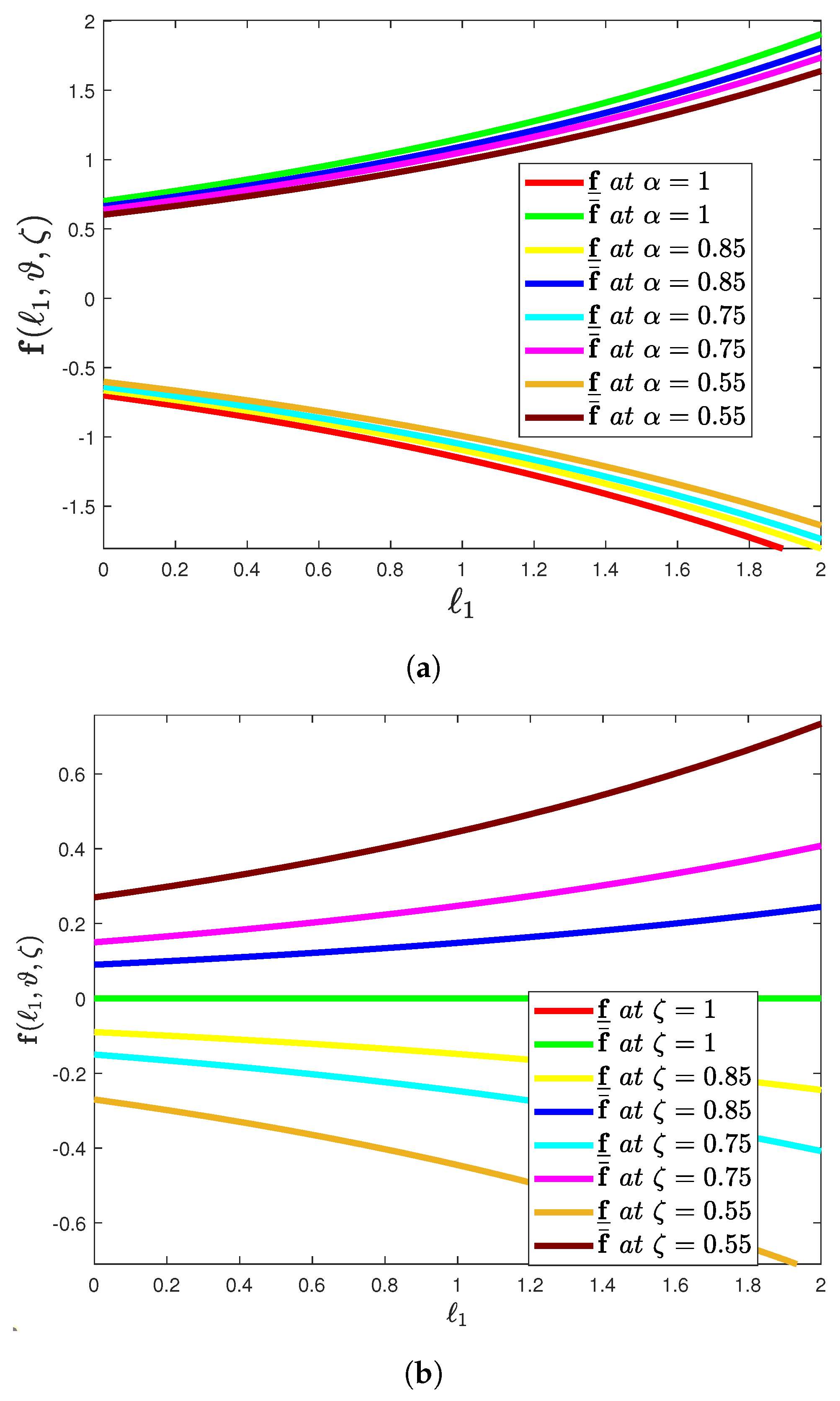
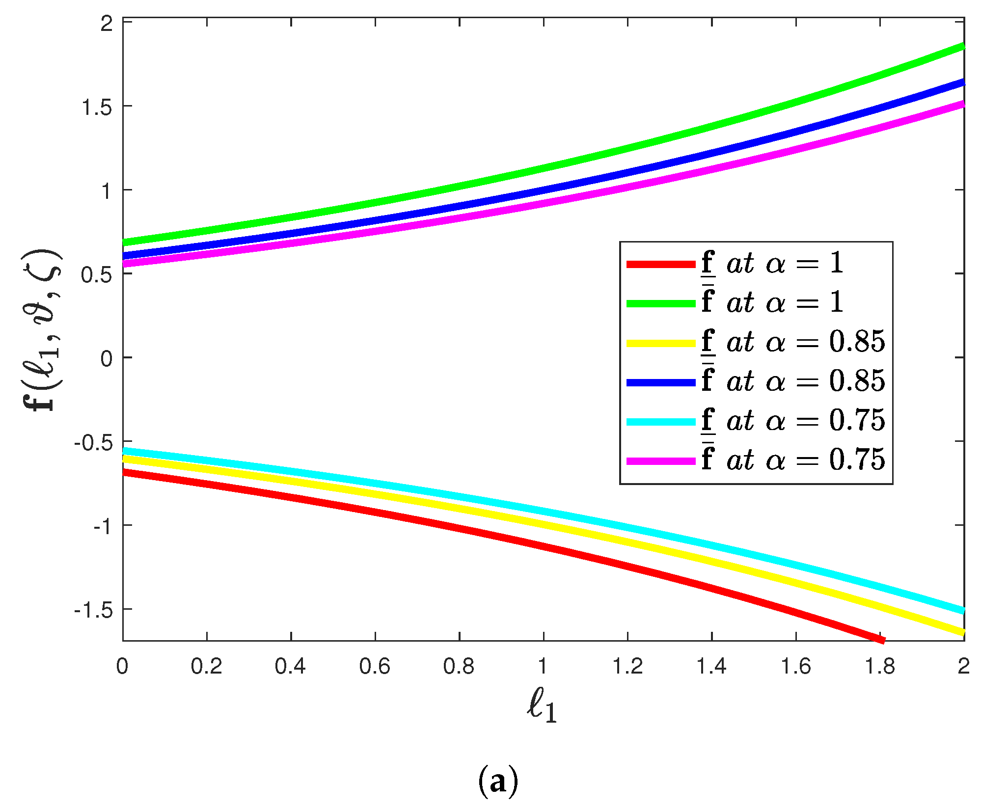
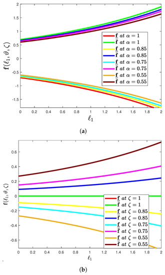
- The effect of the proposed methodology on the mapping is displayed in Figure 2a for the varying fractional orders by considering CFD operator. It exhibits a relatively small increase in the mapping with the decrease in .
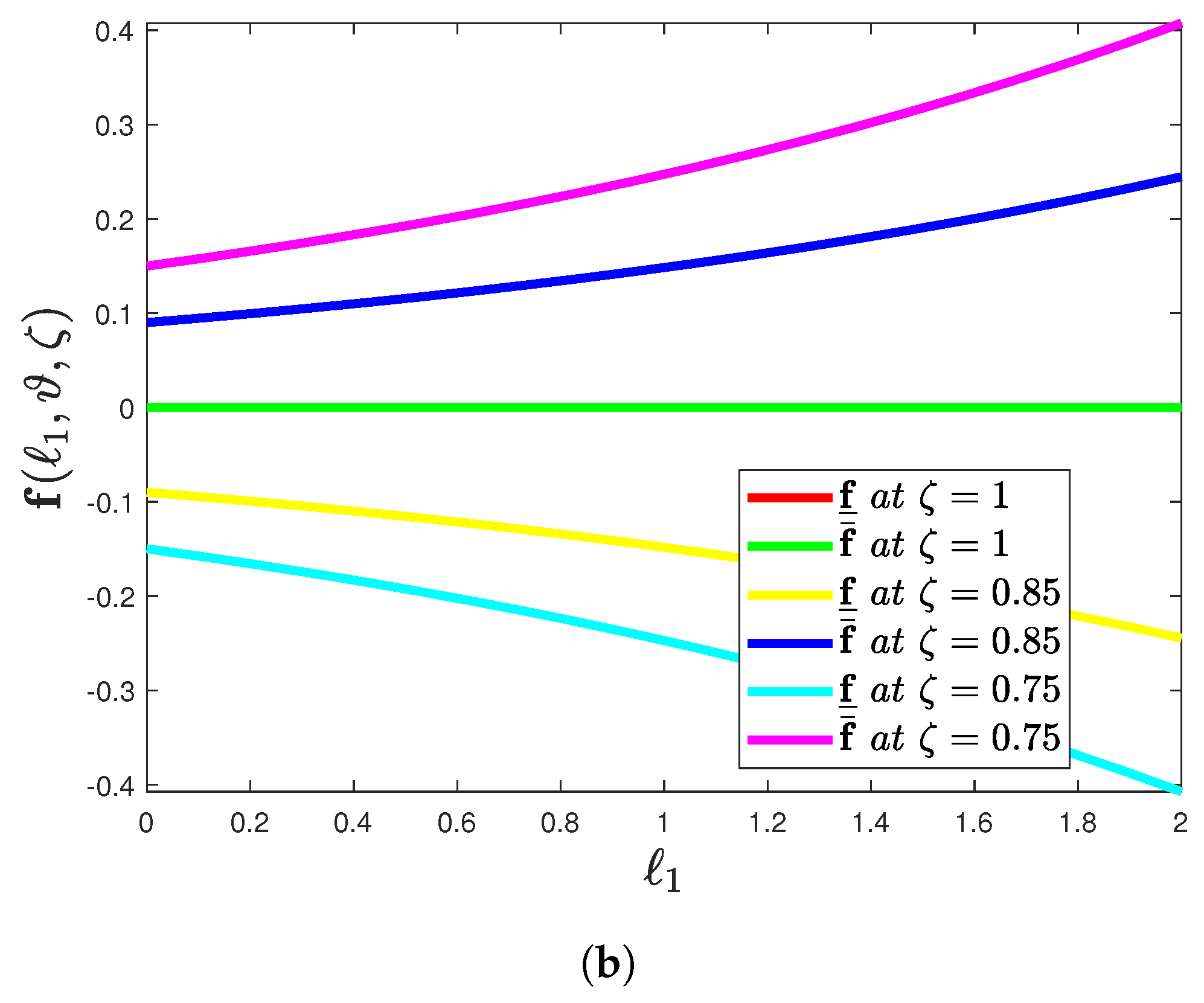
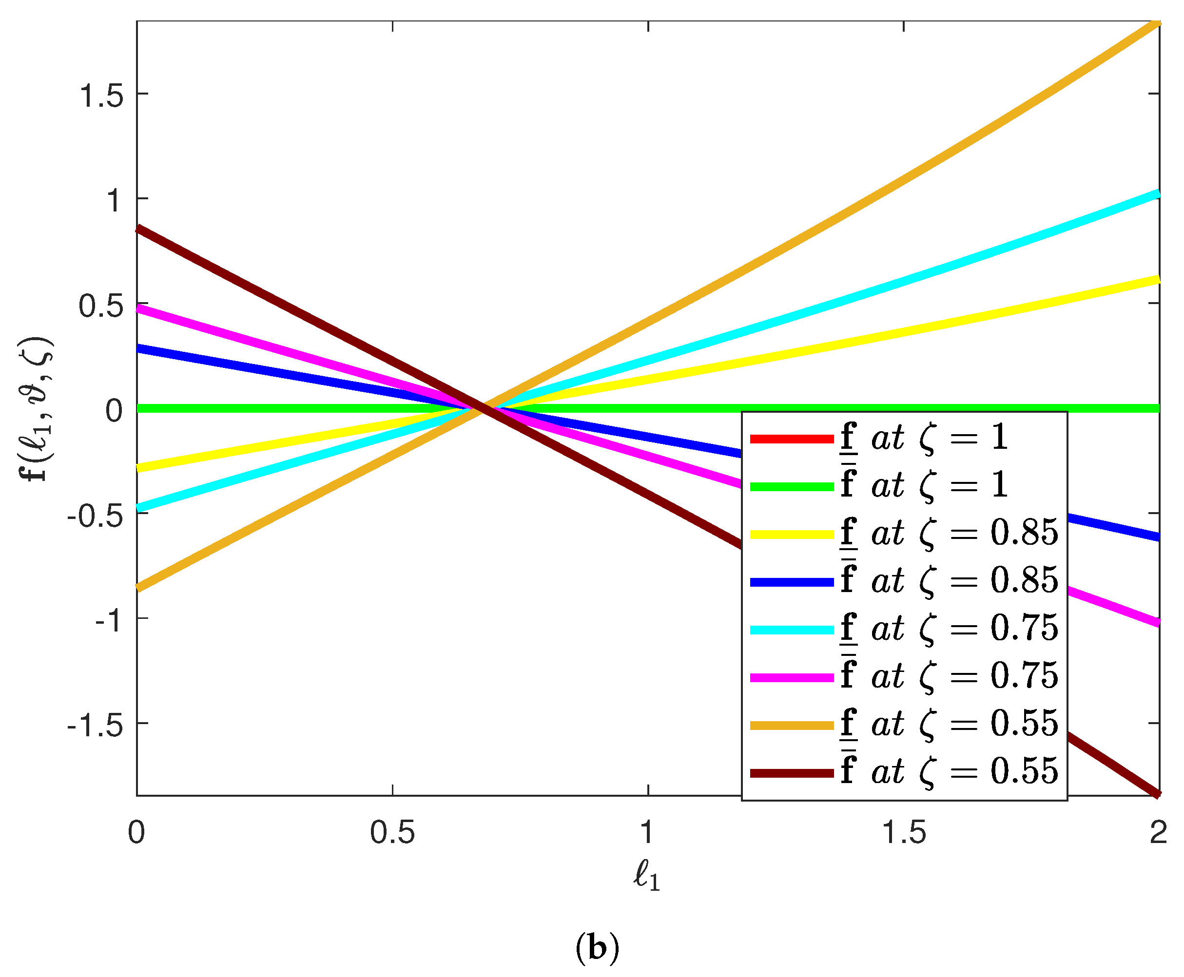
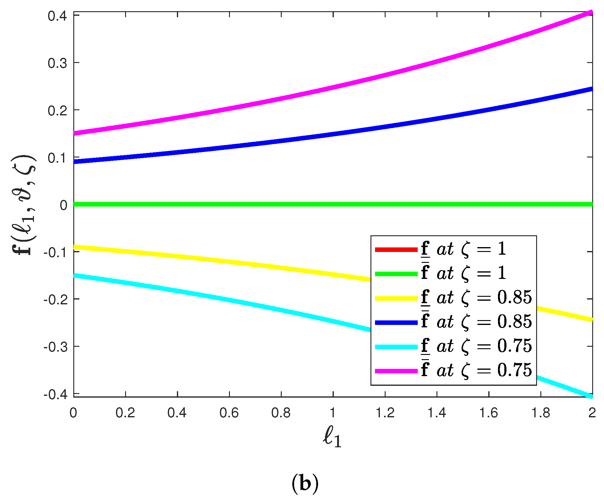
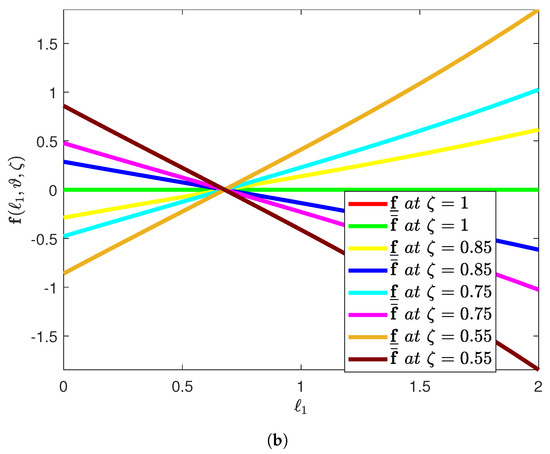
Figure 2. (a) A two-dimensional plot indicates the lower and upper solution taking into consideration the fuzzy Caputo fractional derivative operator for Problem 1 when with uncertainty (b) A two-dimensional plot indicates the lower and upper solution taking into consideration the fuzzy Caputo fractional derivative operator for Problem 1 when with the fractional order - The profile graph of Figure 2b demonstrates the lower and upper solution of varying uncertainty when the fractional order is assumed to be by proposing CFD operator. It emphasizes a relatively small variation in the mapping with the increase in .
- The effect of the proposed methodology on the mapping is displayed in Figure 3a for the varying fractional orders by considering the ABC fractional derivative operator. It exhibits a relatively small increase in the mapping with the decrease in .

Figure 3. (a) A two-dimensional plot indicates the lower and upper solution taking into consideration the ABC fractional derivative operator for Problem 1 when with uncertainty (b) A two-dimensional plot indicates the lower and upper solution taking into consideration the ABC fractional derivative operator for Problem 1 when with fractional order - The Profile graph of Figure 3b demonstrates the lower and upper solutions of varying uncertainty when the fractional order is assumed to be by proposing the ABC fractional derivative operator. It emphasizes a relatively small variation in the mapping with the increase in .
- Figure 4 demonstrates the comparison analysis between the CFD operator and the ABC fractional derivative operator for varying fractional order with uncertainty exhibits that lower the solution profile for the ABC fractional operator has strong ties with the upper solution as compared to the CFD operator.
Figure 4. A comparison three-dimensional plot indicates the lower and upper solution , taking into consideration the fuzzy Caputo and fuzzy ABC fractional derivative operators for Problem 1 when with fractional order - Figure 5 shows the comparison analysis between ( and the exact solution), ( and exact solution), respectively, for three dimensional error plots by considering the CFD operator.
Figure 5. (a) A three-dimensional absolute error plot indicates the lower and exact solution (Remark 2) of taking into consideration the fuzzy Caputo fractional derivative operator for Problem 1 when with uncertainty (b) A three-dimensional absolute error plot indicates the upper and exact solution (Remark 2) of , taking into consideration the fuzzy Caputo fractional derivative operator for Problem 1 when with uncertainty
Furthermore, the offered approach does not provide a unique solution but will aid scientists in selecting the best approximate solution. It is remarkable that the fuzzy ABC fractional derivative operator has better performance than the CFD operators, because the curves have a strong harmony with the integer-order graph in the ABC operator case.
□
Remark 2.
When along with then both solutions of Problem 1 converge to the integer-order solution
Problem 2.
Assume the one-dimension fuzzy fractional FW model with fuzzy ICs is represented as follows:
where for is a fuzzy number.
Proof.
The parameterized version of the problem (50) is expressed as follows
Case I. (For the fuzzy Caputo fractional derivative)
Here, we obtain the EADM solution for the first case of (51) by using the fuzzy CFD operator.
Taking into consideration the procedure described in Section 3, we have
Simple computations result in
Let us surmise the infinite sum accompanying it with (45) and affirming the non-linearity. Therefore, (63) takes the form
By implementing a similar technique, the remaining terms of of EADM solution can be simply determined. Furthermore, when the iterative process expands, the accuracy of the obtained solution improves dramatically, and the deduced solution moves closer to the precise result. Finally, we have come up with the following answers in a series form
such that
Consequently, we have
Case II. (For the fuzzy Atangana–Baleanu Caputo fractional derivative)
Here, we obtain the EADM solution for the first case of (51) by using the fuzzy ABC fractional derivative operator.
Taking into consideration the procedure described in Section 3, we have
Simple computations result in
Let us surmise the infinite sum accompanying it with (45) and affirming the non-linearity. Therefore, (63) takes the form
By implementing a similar technique, the remaining terms of of the EADM solution can be simply determined. Furthermore, when the iterative process expands, the accuracy of the obtained solution improves dramatically, and the deduced solution moves closer to the precise result. Finally, we have come up with the following answers in a series form
such that
Consequently, we have
In this analysis, Figure 6 demonstrates the insight into the influence of multiple-layer surface plots for Problem 2 correlated with the CFD and Elzaki transform in the fuzzy sense. It is worth mentioning that the profile identifies the variation in the mapping on space co-ordinate with respect to and the uncertainty parameter .
Figure 6.
A three-dimensional surface plot indicates the lower and upper solution taking into consideration the fuzzy Caputo fractional derivative operator for Problem 2 when with uncertainty
The graph illustrates that, as time progresses, the mapping will also increase.
- The effect of the proposed methodology on the mapping is displayed in Figure 7a for the varying fractional-orders by the considering CFD operator. It exhibits a relatively small increase in the mapping with the decrease in .

Figure 7. (a) A two-dimensional plot indicates the lower and upper solution taking into consideration the fuzzy Caputo fractional derivative operator for Problem 2 when with uncertainty (b) A two-dimensional plot indicates the lower and upper solution taking into consideration the fuzzy Caputo fractional derivative operator for Problem 2 when with the fractional order - The profile graph of Figure 7b demonstrates the lower and upper solution of varying uncertainty when the fractional order is assumed to be by proposing the CFD operator. It emphasizes a relatively small variation in the mapping with the increase in .
- The effect of the proposed methodology on the mapping is displayed in Figure 8a for the varying fractional orders by considering ABC fractional derivative operator. It exhibits a relatively small increase in the mapping with the decrease in .

Figure 8. (a) A two-dimensional plot indicates the lower and upper solution taking into consideration the fuzzy ABC fractional derivative operator for Problem 2 when with uncertainty (b) A two-dimensional plot indicates the lower and upper solution taking into consideration the fuzzy ABC fractional derivative operator for Problem 2 when with the fractional order - The profile graph of Figure 8b demonstrates the lower and upper solutions of varying uncertainty when the fractional order is assumed to be by proposing the ABC fractional derivative operator. It emphasizes a relatively small variation in the mapping with the increase in .
- Figure 9 demonstrates the comparison analysis between CFD operator and ABC fractional derivative operator for varying fractional order with uncertainty exhibits that the lower solution profile for ABC fractional operator has strong ties with the upper solution as compared to the CFD operator.
Figure 9. A comparison three-dimensional plot indicates the lower and upper solution , taking into consideration the fuzzy Caputo and fuzzy ABC fractional derivative operators for Problem 2 when with the fractional order - Figure 10 shows the comparison analysis between ( and the exact solution), ( and the exact solution), respectively, for three dimensional error plots by considering the CFD operator.
Figure 10. (a) A three-dimensional absolute error plot indicates the lower and exact solution (Remark 3) of taking into consideration the fuzzy Caputo fractional derivative operator for Problem 2 when with uncertainty (b) A three-dimensional absolute error plot indicates the upper and exact solution (Remark 3) of , taking into consideration the fuzzy Caputo fractional derivative operator for Problem 2 when with uncertainty
Furthermore, the offered approach does not provide a unique solution but will aid scientists in selecting the best approximate solution. It is remarkable that the fuzzy ABC fractional derivative operator has better performance than the CFD operators, because the curves have a strong harmony with the integer-order graph in the ABC operator case.
□
Remark 3.
When along with then both solutions of Problem 2 converge to the integer-order solution
5. Conclusions
The paper has demonstrated families of approximate solutions to the FWE under differentiability taking into consideration the Elzaki and ADM. Fractional operators (Caputo and ABC) describing fuzzy characteristics have been separately discussed. The fuzzy solutions of FWE proposed for such flows are characterized by EADM. Nevertheless, the crisp operators are unable to simulate any physical mechanism in an unpredictable setting. Therefore, fuzzy operators are a preferable means to describe the physical phenomenon in such a scenario. Specifically, we illustrated two test examples of the evolutionary method to gain deeper insight into the exact–approximate solutions to validate the projected technique to attain a parametric solution for each case of the fuzzy (Caputo and ABC) fractional derivative operator. It has been demonstrated that the solution graphs predict the fuzzy solution since they satisfy the fuzzy number conditions. As for applications of this framework, the convergence and error analysis can be predicated by the simulation study that specified that fractional-order plots have a strong correlation with the evolutionary trajectories of FWE. It has also been shown that fuzzy EADM represents two solutions, which often leads to an advantage in selecting the best one possible for a governing model. As a consequence, the fuzzy theory connected with FC allows a model to improve performance in an uncertain domain. In the future, we will investigate a similar problem by defining the Henstock integrals (fuzzy integrals in the sense of Lebesgue) at infinite intervals [69,70].
Author Contributions
Conceptualization and data curation—S.R., R.A., A.O.A., M.S.M.; formal analysis—S.R., R.A., A.O.A., M.A.A., T.A., M.S.M.; funding acquisition—S.R., R.A., A.O.A., M.A.A., T.A., M.S.M.; investigation—S.R., R.A., A.O.A., M.A.A., T.A.; methodology— S.R., R.A., A.O.A., M.A.A., T.A.; project administration—S.R., R.A., A.O.A., M.A.A., T.A, M.S.M.: supervision—S.R.; resources, software—R.A., A.O.A., M.A.A., T.A., M.S.M.; validation—S.R., R.A., A.O.A.: visualization—S.R., R.A., A.O.A., M.A.A., T.A, M.S.M.; writing—original draft—S.R., R.A., A.O.A.; writing—review & editing—S.R., M.A.A., T.A., M.S.M.; All authors have read and agreed to the published version of the manuscript.
Funding
This research received no external funding.
Institutional Review Board Statement
Not Applicable.
Informed Consent Statement
Not Applicable.
Data Availability Statement
Not Applicable.
Acknowledgments
This research was funded by the Deanship of Scientific Research at Princess Nourah bint Abdulrahman University, Saudi Arabia through the Fast-track Research Funding Program.
Conflicts of Interest
The authors declare no conflict of interest.
References
- Podlubny, I. Fractional Differential Equations; Academic Press: San Diego, CA, USA, 1999. [Google Scholar]
- Hilfer, R. Applications of Fractional Calculus in Physics; Word Scientific: Singapore, 2000. [Google Scholar]
- Kilbas, A.; Srivastava, H.M.; Trujillo, J.J. Theory and Application of Fractional Differential Equations; Elsevier: Amsterdam, The Netherlands, 2006; Volume 204, pp. 1–523. [Google Scholar]
- Magin, R.L. Fractional Calculus in Bioengineering; Begell House Publishers: Redding, CT, USA, 2006. [Google Scholar]
- Samko, S.G.; Kilbas, A.A.; Marichev, O.I. Fractional Integrals and Derivatives: Theory and Applications; Gordon and Breach Science Publishers: Philadelphia, PA, USA, 1993. [Google Scholar]
- Jajarmi, A.; Baleanu, D. On the fractional optimal control problems with a general derivative operator. Asian J. Cont. 2021, 23, 1062–1071. [Google Scholar] [CrossRef]
- Jajarmi, A.; Baleanu, D. Suboptimal control of fractional-order dynamic systems with delay argument. J. Vib. Control 2018, 24, 2430–2446. [Google Scholar] [CrossRef]
- Baleanu, D.; Zibaei, S.; Namjoo, M.; Jajarmi, A. A nonstandard finite difference scheme for the modeling and nonidentical synchronization of a novel fractional chaotic system. Adv. Diff. Eqs. 2021, 2021, 308. [Google Scholar] [CrossRef]
- Tuan, N.H.; Ganji, R.M.; Jafari, H. A numerical study of fractional rheological models and fractional Newell-Whitehead-Segel equation with non-local and non-singular kernel. Chin. J. Phys. 2020, 68, 308–320. [Google Scholar] [CrossRef]
- Ganji, R.M.; Jafari, H.; Baleanu, D. A new approach for solving multi variable orders differential equations with Mittag–Leffler kernel. Chaos Solitons Fract. 2020, 130, 109405. [Google Scholar] [CrossRef]
- Baleanu, D.; Jajarmi, A.; Mohammadi, H.; Rezapour, S. A new study on the mathematical modelling of human liver with Caputo–Fabrizio fractional derivative. Chaos Solitons Fract. 2020, 134, 109705. [Google Scholar] [CrossRef]
- Rashid, S.; Khalid, A.; Bazighifan, O.; Oros, G.I. New modifications of integral inequalities via ℘-convexity pertaining to fractional calculus and their applications. Mathematics 2021, 9, 1753. [Google Scholar] [CrossRef]
- Atangana, A.; Baleanu, D. New fractional derivatives with nonlocal and non-singular kernel: Theory and application to heat transfer model. Therm. Sci. 2016, 20, 763–769. [Google Scholar] [CrossRef]
- Caputo, M.; Fabrizio, M. A new definition of fractional derivative without singular kernel. Prog. Fract. Differ. Appl. 2015, 1, 1–13. [Google Scholar]
- Baleanu, D.; Sajjadi, S.S.; Jajarmi, A.; Defterli, O. On a nonlinear dynamical system with both chaotic and non-chaotic behaviours: A new fractional analysis and control. Adv. Differ. Equ. 2021, 2021, 234. [Google Scholar] [CrossRef]
- Abdeljawad, T.; Baleanu, D. Integration by parts and its applications of a new nonlocal fractional derivative with Mittag-Leffler nonsingular kernel. Nonlinear Anal. Theory Methods Appl. 2017, 10, 1098–1107. [Google Scholar] [CrossRef]
- Abdeljawad, T. Fractional operators with generalized Mittag-Leffler kernels and their iterated differintegrals. Chaos 2019, 29, 023102. [Google Scholar] [CrossRef]
- Li, Z.; Wang, C.; Agarwal, R.P.; Sakthivel, R. Hyers-Ulam-Rassias stability of quaternion multidimensional fuzzy nonlinear difference equations with impulses. Iran. J. Fuzzy Syst. 2021, 18, 143–160. [Google Scholar]
- Kandel, A.; Byatt, W.J. Fuzzy differential equations. In Proceedings of the International Conference Cybernetics and Society, Tokyo, Japan, 3–7 November 1978; pp. 1213–1216. [Google Scholar]
- Agarwal, R.P.; Lakshmikantham, V.; Nieto, J.J. On the concept of solution for fractional differential equations with uncertainty. Nonlin. Anal. Theory Meth Appl. 2010, 72, 2859–2862. [Google Scholar] [CrossRef]
- El-Sayed, S.; Kaya, D. An application of the ADM to seven-order Sawada-Kotara equations. Appl. Math. Comput. 2004, 157, 93–101. [Google Scholar] [CrossRef]
- El-Tawil, M.A.; Huseen, S. On convergence of the q-homotopy analysis method. Int. J. Contemp. Math. Sci. 2013, 8, 481–497. [Google Scholar] [CrossRef]
- Darvishia, M.T.; Kheybaria, S.; Khanib, F. A numerical solution of the Lax’s 7th-order KdV equation by Pseudo spectral method and Darvishi’s Preconditioning. Int. J. Contemp. Math. Sci. 2007, 2, 1097–1106. [Google Scholar] [CrossRef]
- Shiralashetti, S.C.; Kumbinarasaiah, S. Laguerre wavelets collocation method for the numerical solution of the Benjamina–Bona–Mohany equations. J. Taibah Univ. Sci. 2019, 13, 9–15. [Google Scholar] [CrossRef]
- Lahmar, N.A.; Belhamitib, O.; Bahric, S.M. A new Legendre-Wavelets decomposition method for solving PDEs. Malaya J. Mat. 2014, 1, 72–81. [Google Scholar]
- Hoa, N.V.; Vu, H.; Duc, T.M. Fuzzy fractional differential equations under Caputo Katugampola fractional derivative approach. Fuzzy Sets Syst. 2019, 375, 70–99. [Google Scholar] [CrossRef]
- Hoa, N.V. Fuzzy fractional functional differential equations under Caputo gH-differentiability. Commun. Nonlinear Sci. Numer. Simul. 2015, 22, 1134–1157. [Google Scholar] [CrossRef]
- Salahshour, S.; Ahmadian, A.; Senu, N.; Baleanu, D.; Agarwal, P. On analytical aolutions of the fractional differential equation with uncertainty: Application to the Basset problem. Entropy 2015, 17, 885–902. [Google Scholar] [CrossRef]
- Ahmad, S.; Ullah, A.; Akgül, A.; Abdeljawad, T. Semi-analytical solutions of the 3rd order fuzzy dispersive partial differential equations under fractional operators. Alex. Eng. J. 2021, 60, 5861–5878. [Google Scholar] [CrossRef]
- Shah, K.; Seadawy, A.R.; Arfan, M. Evaluation of one dimensional fuzzy fractional partial differential equations. Alex. Eng. J. 2020, 59, 3347–3353. [Google Scholar] [CrossRef]
- Allahviranloo, T. An analytic approximation to the solution of fuzzy heat equation by Adomian decomposition method. Int. J. Contemp. Math. Sci. 2009, 4, 105–114. [Google Scholar]
- Allahviranloo, T. The Adomian decomposition method for fuzzy system of linear equations. Appl. Math. Comput. 2005, 163, 553–563. [Google Scholar] [CrossRef]
- Biswas, S.; Roy, T.K. Adomian decomposition method for fuzzy differential equations with linear differential operator. J. Comput. Inf. Sci. Eng. 2016, 11, 243–250. [Google Scholar]
- Hamoud, A.; Ghadle, K. Modified Adomian decomposition method for solving fuzzy Volterra–Fredholm integral equations. J. Indian Math. Soc. 2018, 85, 52–69. [Google Scholar]
- Whitham, G.B. Variational methods and applications to water wave. Proc. R. Soc. Lond. Ser. A 1967, 299, 6–25. [Google Scholar]
- Fornberg, B.; Whitham, G.B. A numerical and theoretical study of certain nonlinear wave phenomena. Philos. Trans. R. Soc. Lond. Ser. A 1978, 289, 373–404. [Google Scholar]
- Abidi, F.; Omrani, K. The homotopy analysis method for solving the Fornberg—Whitham equation and comparison with Adomian’s decomposition method. Comput. Math. Appl. 2010, 59, 2743–2750. [Google Scholar] [CrossRef]
- Gupta, P.K.; Singh, M. Homotopy perturbation method fractional Fornberg–Whitham equation. Comput. Math. Appl. 2011, 61, 250–254. [Google Scholar] [CrossRef]
- Lu, J. An analytical approach to the Fornberg–Whitham type equations by using the variational iteration method. Comput. Math. Appl. 2011, 61, 2010–2013. [Google Scholar] [CrossRef][Green Version]
- Sakar, M.G.; Erdogan, F.; Yildirim, A. Variational iteration method for the time-fractional Fornberg–Whitham equation. Comput. Math. Appl. 2012, 63, 1382–1388. [Google Scholar] [CrossRef]
- Chen, A.; Li, J.; Deng, X.; Huang, W. Travelling wave solutions of the Fornberg–Whitham equation. Appl. Math. Comput. 2009, 215, 3068–3075. [Google Scholar]
- Yin, J.; Tian, L.; Fan, X. Classification of travelling waves in the Fornberg–Whitham equation. J. Math. Anal. Appl. 2010, 368, 133–143. [Google Scholar] [CrossRef]
- Zhou, J.; Tian, L. A type of bounded traveling wave solutions for the Fornberg–Whitham equation. J. Math. Anal. Appl. 2008, 346, 255–261. [Google Scholar] [CrossRef]
- He, B.; Meng, Q.; Li, S. Explicit peakon and solitary wave solutions for the modified Fornberg–Whitham equation. Appl. Math. Comput. 2010, 5, 1976–1982. [Google Scholar] [CrossRef]
- Fan, X.; Yang, S.; Yin, J.; Tian, L. Bifurcations of traveling wave solutions for a two-component Fornberg–Whitham equation. Commun. Nonlinear Sci. Numer. Simul. 2011, 16, 3956–3963. [Google Scholar] [CrossRef]
- Jiang, B.; Bi, B. Smooth and non-smooth traveling wave solutions of the Fornberg–Whitham equation with linear dispersion term. Appl. Math. Comput. 2010, 216, 2155–2162. [Google Scholar] [CrossRef]
- Adomian, G. A review of the decomposition method in applied mathematics. J. Math. Anal. Appl. 1988, 135, 501–544. [Google Scholar] [CrossRef]
- Belgacem, F.B.M.; Karaballi, A.A.; Kalla, S.L. Analytical investigations of the sumudu transform and applications to integral production equations. Math. Prob. Eng. 2003, 2003, 103–118. [Google Scholar] [CrossRef]
- Aboodh, K.S. The new integral transform “Aboodh Transform”. Glob. J. Pure Appl. Math. 2013, 9, 35–43. [Google Scholar]
- Elzaki, T.M. Application of new transform Elzaki transform to partial differential equations. Glob. J. Pure Appl. Math. 2011, 7, 65–70. [Google Scholar]
- Mahgoub, M.M.A. The new integral transform “Mohand Transform”. Adv. Theor. Appl. Math. 2017, 12, 113–120. [Google Scholar]
- Rashid, S.; Hammouch, Z.; Aydi, H.; Ahmad, A.G.; Alsharif, A.M. Novel computations of the time-fractional Fisher’s model via generalized fractional integral operators by means of the Elzaki transform. Fractal Fract. 2021, 5, 94. [Google Scholar] [CrossRef]
- Rashid, S.; Kubra, K.T.; Guirao, J.L.G. Construction of an approximate analytical solution for multi-dimensional fractional Zakharov-Kuznetsov equation via Aboodh adomian decomposition method. Symmetry 2021, 13, 1542. [Google Scholar] [CrossRef]
- Rashid, S.; Kubra, K.T.; Abualnaja, K.M. Fractional view of heat-like equations via the Elzaki transform in the settings of the Mittag-Leffler function. Math. Methods Appl. Sci. 2021. [Google Scholar] [CrossRef]
- Rashid, S.; Khalid, A.; Sultana, S.; Hammouch, Z.; Shah, R.; Alsharif, A.M. A novel analytical view of time-fractional Korteweg-De Vries equations via a new integral transform. Symmetry 2021, 13, 1254. [Google Scholar] [CrossRef]
- Rashid, S.; Kubra, K.T.; Ullah, S. Fractional spatial diffusion of a biological population model via a new integral transform in the settings of power and Mittag-Leffler nonsingular kernel. Phys. Scr. 2021, 96, 114003. [Google Scholar] [CrossRef]
- Rashid, S.; Jarad, F.; Abualnaja, K.M. On fuzzy Volterra-Fredholm integrodifferential equation associated with Hilfer-generalized proportional fractional derivative. AIMS Math. 2021, 6, 10920–10946. [Google Scholar] [CrossRef]
- Rashid, S.; Kubra, K.T.; Rauf, A.; Chu, Y.-M.; Hamed, Y.S. New numerical approach for time-fractional partial differential equations arising in physical system involving natural decomposition method. Phys. Scr. 2021, 96, 105204. [Google Scholar] [CrossRef]
- Allahviranloo, T. Fuzzy Fractional Differential Operators and Equation Studies in Fuzziness and Soft Computing; Springer: Berlin, Germany, 2021. [Google Scholar]
- Zimmermann, H.J. Fuzzy Set Theory and Its Applications; Kluwer Academic Publishers: Dordrecht, The Netherlands, 1991. [Google Scholar]
- Zadeh, L.A. Fuzzy sets. Inform. Contr. 1965, 8, 338–353. [Google Scholar] [CrossRef]
- Allahviranloo, T.; Ahmadi, M.B. Fuzzy Lapalce Transform. Soft Comput. 2010, 14, 235–243. [Google Scholar] [CrossRef]
- Georgieva, A. Double Fuzzy Sumudu transform to solve partial Volterra fuzzy integro-differential equations. Mathematics 2020, 8, 692. [Google Scholar] [CrossRef]
- Bede, B.; Stefanini, L. Generalized differentiability of fuzzy-valued functions. Fuzzy Sets Syst. 2013, 230, 119–141. [Google Scholar] [CrossRef]
- Bede, B.; Gal, S.G. Generalizations of the differentiability of fuzzy-number-valued functions with applications to fuzzy differential equations. Fuzzy Sets Syst. 2005, 151, 581–599. [Google Scholar] [CrossRef]
- Allahviranloo, T.; Armand, A.; Gouyandeh, Z. Fuzzy fractional differential equations under generalized fuzzy Caputo derivative. J. Intell. Fuzzy Syst. 2014, 26, 1481–1490. [Google Scholar] [CrossRef]
- Salahshour, S.; Allahviranloo, T.; Abbasbandy, S. Solving fuzzy fractional differential equations by fuzzy Laplace transforms. Commun. Nonlinear Sci. Numer. Simul. 2012, 17, 1372–1381. [Google Scholar] [CrossRef]
- Yavuz, M.; Abdeljawad, T. Nonlinear regularized long-wave models with a new integral transformation applied to the fractional derivative with power and Mittag-Leffler kernel. Adv. Differ. Equ. 2020, 2020, 367. [Google Scholar] [CrossRef]
- Henstock, R. Theory of Integration; Butterworth: London, UK, 1963. [Google Scholar]
- Gong, Z.T.; Wang, L.L. The Henstock–Stieltjes integral for fuzzy-number-valued functions. Inf. Sci. 2012, 188, 276–297. [Google Scholar] [CrossRef]
Publisher’s Note: MDPI stays neutral with regard to jurisdictional claims in published maps and institutional affiliations. |
© 2021 by the authors. Licensee MDPI, Basel, Switzerland. This article is an open access article distributed under the terms and conditions of the Creative Commons Attribution (CC BY) license (https://creativecommons.org/licenses/by/4.0/).












