Fractional Memory Effects in Dust-Acoustic Solitons: Multi-Soliton Dynamics and Analytical Advances for Lunar Terminator Plasma—Part (I), Planar Analysis
Abstract
1. Introduction
2. Physical Model and Fluid Equations
3. Hirota Direct Method and Multiple-Soliton Solutions
3.1. Single Soliton Solution
3.2. Two-Soliton Solution
3.3. Three-Soliton Solution
4. Tantawy Technique (TT) for Modeling Dust-Acoustic Fractional Solitons
- Step (1):
- The TT starts by postulating an approximate solution V in the form of a series expansion in powers of :or, for a truncated m-term approximation,where the unknown spatial functions are determined successively by inserting the ansatz (43) into the FKdV Equation (37) and matching coefficients of equal powers of . Remember that .
- Step (2):
- Action of the Caputo derivative on the ansatz: For , the CFD of order p of a monomial in time readswhile since is independent on time andNow, by applying CFD to the truncated series (43), we get
- Step (3):
- Treatment of both nonlinear and dispersive terms in power series form: Using ansatz (43), both nonlinear and dispersive terms in the FKdV Equation (37) are expanded as follows:Multiplying out the nonlinear term and collecting equal powers of leads towithwhere , for .
- Step (4):
- Step (5):
- Expression (47) can be rearranged as a formal power series in as follows:with the following implicit form toso that the coefficient functions must vanish for all values of i. The implicit values of readThe system , ∀, is then solved sequentially for , , .
- Step (6):
- Solving the system in ∀ we obtain the following implicit values of , , ,
- Step (7):
- Step (8):
- Collecting the contributions from , , , in the ansatz (43), the third-order Tantawy approximation to the FKdV Equation (37) reads as follows:The structure of the approximation shows that the fractional corrections preserve the localized -type profile but modify its amplitude and shape via higher powers of weighted by fractional-time factors .
- Step (9)
- Practical aspects and advantages: A key practical feature of the TT is that, once the series ansatz is adopted, each new correction function is obtained from an algebraic-differential equation with known source terms constructed from lower-order functions. There is no need for smallness parameters, perturbative expansions in amplitude, or linearization about a trivial state; the method directly constructs corrections around a physically relevant initial profile, such as the KdV soliton. Moreover, because each is expressed in terms of a small number of basis profiles (powers of sech in this case), the final approximations remain compact and can be written explicitly up to relatively high orders, making the method both computationally efficient and analytically transparent.
5. New Iterative Method (NIM) for Modeling Dust-Acoustic Fractional Solitons
- Step (1):
- Laplace transform (LT) for Caputo derivative: The LT in for the function is defined bywhere s is transform parameter.Now, the LT to the CFD of order with , is defined byFor the current problem, we have only one IC , i.e., ; thus, the definition (55) can be reduced to the following form:
- Step (2):
- Reformulation of the FKdV Equation (37) by isolating the Caputo derivative as follows:where and denote the nonlinear and linear spatial operators acting on .
- Step (3):
- Solving Equation (59) for yields
- Step (4):
- Taking the inverse LT of relation (60) leads to an equivalent integral equation:However, NIM is more conveniently framed by separating the initial contribution explicitly and using an iterative correction form. In the notation of the original derivation, the integral equation is written as
- Step (5):
- The NIM assumes that the solution can be represented as a convergent serieswith the IC chosen aswhere the components can be determined recursively from Equation (62).
- Step (6):
- The nonlinear term can be decomposed according to the NIM prescription as follows:where the Adomian-like polynomials (but generated without explicit formulas) are defined recursively asAlso, the explicit form to the decomposed nonlinear term readsSimilarly, the linear third-derivative term can be decomposed as follows:
- Step (7):
- Also, the explicit form can be constructed as follows:
- Step (6):
- Step (7):
- The first iteration is obtained asSince and all its derivatives do not depend on , thus, their Laplace transforms introduce only factors of , i.e.,which leads toSince , one obtainsUsing the IC as given in Equation (64) and simplifying as before leads to an expression structurally similar to in the Tantawy approximation, namely,
- Step (8):
- The second iteration is obtained as follows:Using the IC as given in Equation (64) and simplifying the obtained results, we ultimately, get:with
- Step (9):
- After computing , one obtains a second-order NIM approximationThe third-order term is also computed but is not displayed explicitly due to its length; nevertheless, it is used in the numerical error comparison with the Tantawy approximation.
6. Results and Discussion
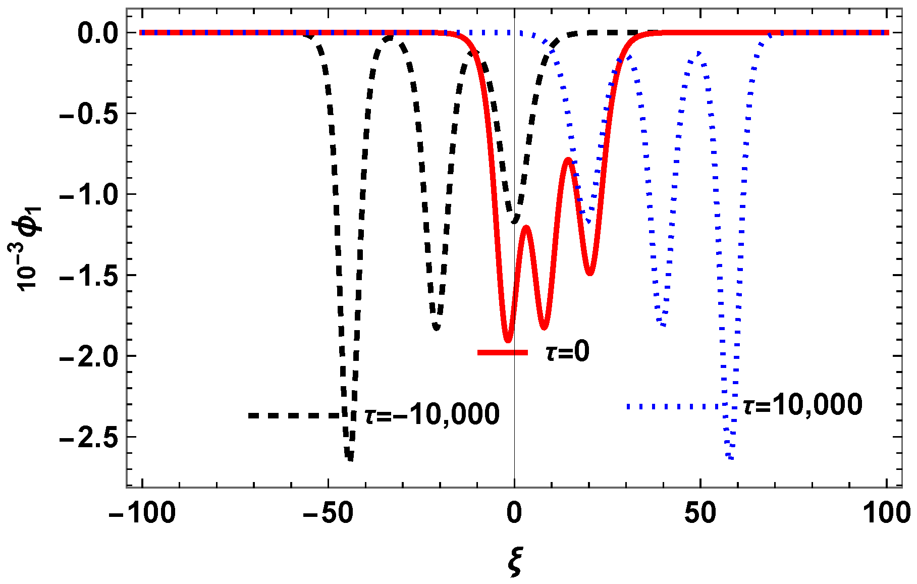
6.1. Effect on a Single Soliton
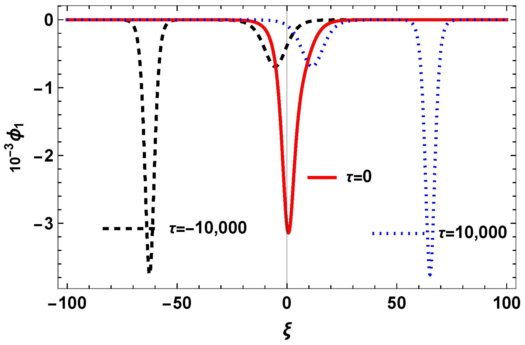
6.2. Effect on Overtaking Interaction of Two Solitons
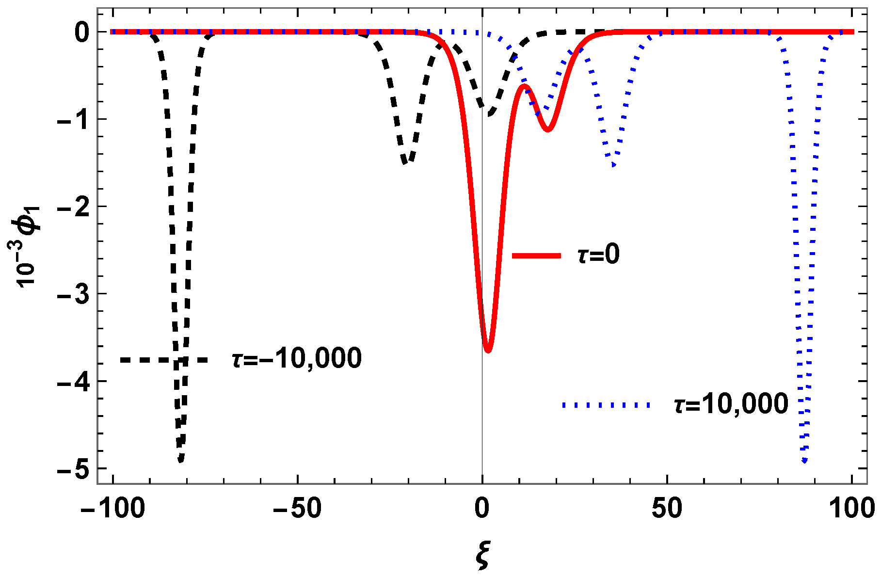
6.3. Complex Interaction of Three Solitons
- The tallest soliton () catches the middle soliton (), producing a transient two-hump potential.
- As all three solitons overlap near , the potential becomes strongly distorted and exhibits multiple adjacent peaks.
- Once the interactions complete, each soliton re-emerges with its original shape and amplitude, demonstrating the elastic nature of these collisions.
- None of the solitons overwhelmingly dominates the others.
- Their overlap produces a smoother multi-hump potential, with the peaks more symmetric compared to Figure 8.
- The overtaking sequence proceeds more slowly due to the smaller relative speed differences.
6.4. The Interplay Between Fractionality and Soliton Morphology
6.5. Comparison of the Two Fractional Techniques
7. Conclusions
- Our analysis has unequivocally demonstrated that all supported solitary structures in this environment are rarefactive. The properties and interaction dynamics of these solitons have been observed to be profoundly dependent on the fundamental plasma parameters. Specifically, an increase in the density ratio has led to a decrease in soliton amplitude and a slower overtaking process during collisions. Conversely, an increase in the temperature ratio has resulted in a significant enhancement of the soliton amplitude and a faster overtaking interaction. Furthermore, the morphology of the interaction has been shown to be dictated by the ratio of the propagation vectors () of the colliding solitons: a large disparity has produced a single merged hump in the composite potential at collision, whereas comparable vectors have generated a distinct double-hump structure due to strong nonlinear interference. The interaction of three solitons has further revealed complex, multi-stage overtaking processes that preserve the individual soliton identities.
- The second main part of the study has introduced a time-fractional KdV (FKdV) equation as an effective model for incorporating temporal memory into the dust-acoustic dynamics. Using the Caputo derivative, the fractional order has been treated as a memory parameter that continuously interpolates between static profiles and classical KdV evolution. Two analytical approximation schemes have been applied and compared: the TT and the NIM. Both methods recover the classical KdV-soliton in the integer limit, but their behavior in the fractional regime differs significantly. For the dust-acoustic FKdV-soliton problem considered here, the TT produces higher-order approximations that remain compact and show systematically smaller absolute and residual errors than those generated by the NIM at comparable truncation orders, indicating superior accuracy and numerical stability.
- One natural generalization is to formulate space-fractional and fully space–time-fractional dust-acoustic KdV-type models, in which non-integer spatial derivatives capture long-range coupling and anomalous transport across the direction of propagation in addition to temporal memory, following the ideas that have already been explored for other plasma and transport systems [31,32,33].
- Another avenue is to develop nonplanar cylindrical and spherical dust-acoustic KdV-type equations with fractional dynamics [64], which would be more appropriate for describing localized structures in curved geometries, such as those relevant to complex lunar or planetary environments. Finally, confronting the present and future fractional models with in situ and laboratory data, once sufficiently resolved measurements become available, will be essential for constraining the physically relevant fractional order and derivative definition and for assessing the predictive power of fractional dust-acoustic wave theories.
Author Contributions
Funding
Data Availability Statement
Acknowledgments
Conflicts of Interest
References
- Fortov, V.E.; Ivlev, A.V.; Khrapak, S.A.; Khrapak, A.G.; Morfill, G.E. Complex (dusty) plasmas: Current status, open issues, perspectives. Phys. Rep. 2005, 421, 1–103. [Google Scholar] [CrossRef]
- Colwell, J.E.; Batiste, S.; Horányi, M.; Robertson, S.; Sture, S. Lunar surface: Dust dynamics and regolith mechanics. Rev. Geophys. 2007, 45, RG2006. [Google Scholar] [CrossRef]
- Stubbs, T.J.; Vondrak, R.R.; Farrell, W.M. A dynamic fountain model for lunar dust. Adv. Space Res. 2006, 37, 59–66. [Google Scholar] [CrossRef]
- Popel, S.I.; Zelenyi, L.M. Future lunar missions and investigation of dusty plasma processes on the Moon. J. Plasma Phys. 2013, 79, 405–411. [Google Scholar] [CrossRef]
- Popel, S.I.; Golub’, A.P.; Kassem, A.I.; Zelenyi, L.M. Dust dynamics in the lunar dusty plasmas: Effects of magnetic fields and dust charge variations. Phys. Plasmas 2022, 29, 013701. [Google Scholar] [CrossRef]
- Rennilson, J.J.; Criswell, D.R. Surveyor observations of lunar horizon-glow. Earth Moon Planets 1974, 10, 121–142. [Google Scholar] [CrossRef]
- Zook, H.A.; McCoy, J.E. Large scale lunar horizon glow and a high altitude lunar dust exosphere. Geophys. Res. Lett. 1991, 18, 2117–2120. [Google Scholar] [CrossRef]
- Berg, O.E.; Richardson, F.F.; Burtona, H. 16. Lunar Ejecta and Meteorites Experiment. In Apollo 17 Preliminary Science Report; NASA: Washington, DC, USA, 1973; pp. 16-1–16-9. [Google Scholar]
- Grün, E.; Horányi, M. A new look at Apollo 17 LEAM data: Nighttime dust activity in 1976. Planet. Space Sci. 2013, 89, 2–14. [Google Scholar] [CrossRef]
- Horányi, M.; Sternovsky, Z.; Lankton, M.; Dumont, C.; Gagnard, S.; Gathright, D.; Grün, E.; Hansen, D.; James, D.; Kempf, S.; et al. The Lunar Dust Experiment (LDEX) Onboard the Lunar Atmosphere and Dust Environment Explorer (LADEE) Mission. Space Sci. Rev. 2014, 185, 93–113. [Google Scholar] [CrossRef]
- Szalay, J.R.; Horányi, M. The search for electrostatically lofted grains above the Moon with the Lunar Dust Experiment. Geophys. Res. Lett. 2015, 42, 5141–5146. [Google Scholar] [CrossRef]
- Sternovsky, Z.; Robertson, S.; Sickafoose, A.; Colwell, J.; Horányi, M. Contact charging of lunar and Martian dust simulants. J. Geophys. Res. 2002, 107, 15-1–15-8. [Google Scholar] [CrossRef]
- Popel, S.I.; Golub’, A.P.; Izvekova, Y.N.; Afonin, V.V.; Dol’nIkov, G.G.; Zakharov, A.V.; Zelenyi, L.M.; Lisin, E.A.; Petrov, O.F. On the distributions of photoelectrons over the illuminated part of the moon. JETP Lett. 2014, 99, 115–120. [Google Scholar] [CrossRef]
- Walbridge, E. Lunar photoelectron layer. J. Geophys. Res. 1973, 78, 3668–3687. [Google Scholar] [CrossRef]
- Golub’, A.P.; Dol’nIkov, G.G.; Zakharov, A.V.; Zelenyi, L.M.; Izvekova, Y.N.; Kopnin, S.I.; Popel, S.I. Dusty plasma system in the surface layer of the illuminated part of the Moon. JETP Lett. 2012, 95, 182–187. [Google Scholar] [CrossRef]
- Popel, S.; Zelenyi, L.; Golub’, A.; Dubinskii, A. Lunar dust and dusty plasmas: Recent developments, advances, and unsolved problems. Planet. Space Sci. 2018, 156, 71–84. [Google Scholar] [CrossRef]
- Popel, S.I.; Zelenyi, L.M.; Atamaniuk, B. Dusty plasma sheath-like structure in the region of lunar terminator. Phys. Plasmas 2015, 22, 123701. [Google Scholar] [CrossRef]
- Popel, S.I.; Zelenyi, L.M.; Atamaniuk, B. Dusty plasma in the region of the lunar terminator. Plasma Phys. Rep. 2016, 42, 543–548. [Google Scholar] [CrossRef]
- Rao, N.; Shukla, P.; Yu, M. Dust-acoustic waves in dusty plasmas. Planet. Space Sci. 1990, 38, 543–546. [Google Scholar] [CrossRef]
- Hirota, R. Exact solution of the korteweg—De Vries equation for multiple collisions of solitons. Phys. Rev. Lett. 1971, 27, 1192–1194. [Google Scholar] [CrossRef]
- Jahangir, R.; Masood, W. Interaction of electron acoustic waves in the presence of superthermal electrons in terrestrial magnetosphere. Phys. Plasmas 2020, 27, 042105. [Google Scholar] [CrossRef]
- Hassaballa, A.A.; Baber, M.Z.; Butt, A.; Yasin, M.W.; Safdar, R.; Bittaye, E. Dynamical description and analytical study of traveling wave solutions for generalized Benjamin-Ono equation. Sci. Rep. 2025, 15, 33923. [Google Scholar] [CrossRef] [PubMed]
- Bilal, M.; Alawaideh, Y.M.; Rehman, S.U.; Yousif, M.A.; Baleanu, D.; Mohammed, P.O.; Abdeljawad, T. Propagation of solitary waves for hydrodynamical nonlinear complex model in a fractional derivative setting. Sci. Rep. 2026, 16, 853. [Google Scholar] [CrossRef] [PubMed]
- Podlubny, I. Fractional Differential Equations: An Introduction to Fractional Derivatives, Fractional Differential Equations, to Methods of Their Solution and Some of Their Applications; Academic Press: Cambridge, MA, USA, 1999. [Google Scholar]
- Kilbas, A.A.; Srivastava, H.M.; Trujillo, J.J. Theory and Applications of Fractional Differential Equations, North-Holland Mathematics Studies; Elsevier: Amsterdam, The Netherlands, 2006; Volume 204. [Google Scholar]
- Mainardi, F. Fractional Calculus and Waves in Linear Viscoelasticity: An Introduction to Mathematical Models; World Scientific: Singapore, 2010. [Google Scholar]
- Metzler, R.; Klafter, J. The random walk’s guide to anomalous diffusion: A fractional dynamics approach. Phys. Rep. 2000, 339, 1–77. [Google Scholar] [CrossRef]
- Hilfer, R.; Butzer, P.L.; Westphal, U.; West, B.J.; Grigolini, P.; Zaslavsky, G.M.; Douglas, J.F.; Schiessel, H.; Friedrich, C.; Blumen, A.; et al. (Eds.) Applications of Fractional Calculus in Physics; World Scientific: Singapore, 2000. [Google Scholar]
- Diethelm, K. The Analysis of Fractional Differential Equations: An Application-Oriented Exposition Using Differential Operators of Caputo Type; Springer: Berlin/Heidelberg, Germany, 2010. [Google Scholar]
- Tarasov, V.E.; Tenreiro Machado, J.A.; Lopes, A.M.; Stanislavsky, A.; Weron, K.; Luchko, Y.; Gorenflo, R.; Mainardi, F.; Kelly, J.F.; Meerschaert, M.M.; et al. Handbook of Fractional Calculus with Applications. Volume 4: Applications in Physics, Part A; W De Gruyter: Berlin, Germany, 2019. [Google Scholar]
- El-Wakil, S.A.; Abulwafa, E.M.; El-Shewy, E.K.; Mahmoud, A.A. Time-fractional KdV equation for plasma of two different temperature electrons and stationary ion. Phys. Plasmas 2011, 18, 092116. [Google Scholar] [CrossRef]
- El-Wakil, S.A.; Abulwafa, E.M.; Zahran, M.A.; Mahmoud, A.A. Time-fractional KdV equation: Formulation and solution using variational methods. Nonlinear Dyn. 2010, 65, 55–63. [Google Scholar] [CrossRef]
- El-Wakil, S.A.; Abulwafa, E.M.; El-Shewy, E.K.; Mahmoud, A.A. Time-fractional kdv equation for electron-acoustic waves in plasma of cold electron and two different temperature isothermal ions. Astrophys. Space Sci. 2011, 333, 269–276. [Google Scholar] [CrossRef]
- Lee, H.G.; Kwak, S.; Jyoti; Nam, Y.; Kim, J. A normalized time-fractional Korteweg–de Vries equation. Alex. Eng. J. 2025, 125, 83–89. [Google Scholar] [CrossRef]
- Hussain, A.; Ibrahim, T.F.; Birkea, F.M.O.; Yahya, M.S.; Hassaballa, A.A.; Mukalazi, H. Abundant different types of soliton solutions for fractional modified KdV equation using auxiliary equation method. Sci. Rep. 2025, 15, 43518. [Google Scholar] [CrossRef]
- Ahmad, J.; Akram, S.; Noor, K.; Nadeem, M.; Bucur, A.; Alsayaad, Y. Soliton solutions of fractional extended nonlinear Schrödinger equation arising in plasma physics and nonlinear optical fiber. Sci. Rep. 2023, 13, 10877. [Google Scholar] [CrossRef]
- Litvinenko, Y.E.; Effenberger, F. Analytical Solutions of a Fractional Diffusion-advection Equation for Solar Cosmic-Ray Transport. Astrophys. J. 2014, 796, 125. [Google Scholar] [CrossRef]
- Zimbardo, G.; Perri, S.; Effenberger, F.; Fichtner, H. Fractional Parker equation for the transport of cosmic rays: Steady-state solutions. Astron. Astrophys. 2017, 607, A7. [Google Scholar] [CrossRef]
- El-Qahtani, Z.M.; Almalki, F.; Al-Mutairi, T.; Algarni, A.; Albogami, T.M.; Abdel-Salam, E.-B. Nonlinear space–time fractional KdV model for ion-acoustic shock waves in isothermal-electron, warm-ion plasmas. Alex. Eng. J. 2025, 134, 358–374. [Google Scholar] [CrossRef]
- El-Tantawy, S.A.; Bacha, S.I.H.; Khalid, M.; Alhejaili, W. Application of the Tantawy technique for modeling fractional ion-acoustic waves in electronegative plasmas having Cairns distributed-electrons, Part (I): Fractional KdV Solitary Waves. Braz. J. Phys. 2025, 55, 123. [Google Scholar] [CrossRef]
- Şenol, M.; Ata, A. Approximate solution of time-fractional KdV equations by residual power series method. Balıkesir Üniversitesi Fen Bilim. Enstitüsü Derg. 2018, 20, 430–439. [Google Scholar] [CrossRef]
- Almusawa, M.Y.; Almusawa, H. Numerical analysis of the fractional nonlinear waves of fifth-order KdV and Kawahara equations under Caputo operator. AIMS Math. 2024, 9, 31898–31925. [Google Scholar] [CrossRef]
- Alhejaili, W.; A Az-Zo’bI, E.; Shah, R.; A El-Tantawy, S. On the analytical soliton approximations to fractional forced Korteweg–de Vries equation arising in fluids and plasmas using two novel techniques. Commun. Theor. Phys. 2024, 76, 085001. [Google Scholar] [CrossRef]
- El-Wakil, S.; Elhanbaly, A.; Abdou, M. Adomian decomposition method for solving fractional nonlinear differential equations. Appl. Math. Comput. 2006, 182, 313–324. [Google Scholar] [CrossRef]
- Momani, S. An explicit and numerical solutions of the fractional KdV equation. Math. Comput. Simul. 2005, 70, 110–118. [Google Scholar] [CrossRef]
- Wang, Q. Homotopy perturbation method for fractional KdV equation. Appl. Math. Comput. 2007, 190, 1795–1802. [Google Scholar] [CrossRef]
- Singh, J.; Kumar, D.; Kılıçman, A. Homotopy Perturbation Method for Fractional Gas Dynamics Equation Using Sumudu Transform. Abstr. Appl. Anal. 2013, 2013, 934060. [Google Scholar] [CrossRef]
- Jawarneh, Y.; Alsheekhhussain, Z.; Al-Sawalha, M.M. Fractional View Analysis System of Korteweg–de Vries Equations Using an Analytical Method. Fractal Fract. 2024, 8, 40. [Google Scholar] [CrossRef]
- Almuqrin, A.H.; Tiofack, C.; Mohamadou, A.; Alim, A.; Ismaeel, S.M.; Alhejaili, W.; A El-Tantawy, S. On the “Tantawy Technique” and other methods for analyzing the family of fractional Burgers’ equations: Applications to plasma physics. J. Low Freq. Noise, Vib. Act. Control. 2025, 44, 1323–1352. [Google Scholar] [CrossRef]
- El-Tantawy, S.A.; Khalid, M.; Bacha, S.I.H.; Alyousef, H.A.; El-Sherif, L.S. On the Tantawy Technique for Modeling Fractional Ion-Acoustic KdV Solitary Waves in a Nonthermal Plasma Having Electron Beams. Braz. J. Phys. 2025, 55, 191. [Google Scholar] [CrossRef]
- A El-Tantawy, S.; Rahman, A.-U.; A Alyousef, H.; Al-Johani, A.S. On the Tantawy technique for modeling fractional dissipative dust-acoustic solitons in a polarized complex plasma, part (I): Fractional damped KdV equation. J. Low Freq. Noise, Vib. Act. Control. 2025, 44, 2073–2090. [Google Scholar] [CrossRef]
- Shan, S.A.; Albalawi, W.; Alharbey, R.A.; El-Tantawy, S.A. The Tantawy Technique for Modeling Fractional Kinetic Alfvén Solitary Waves in an Oxygen–Hydrogen Plasma in Earth’s Upper Ionosphere. Fractal Fract. 2025, 9, 705. [Google Scholar] [CrossRef]
- El-Tantawy, S.A.; Alhejaili, W.; Al-Johani, A.S. On the Tantawy technique for analyzing (in)homogeneous fractional physical wave equations. J. Supercomput. 2025, 81, 1377. [Google Scholar] [CrossRef]
- Daftardar-Gejji, V.; Jafari, H. An iterative method for solving nonlinear functional equations. J. Math. Anal. Appl. 2006, 316, 753–763. [Google Scholar] [CrossRef]
- Jafari, H.; Nazari, M.; Baleanu, D.; Khalique, C.M. A new approach for solving a system of fractional partial differential equations. Comput. Math. Appl. 2013, 66, 838–843. [Google Scholar] [CrossRef]
- Hemeda, A.A. New Iterative Method: An Application for Solving Fractional Physical Differential Equations. Abstr. Appl. Anal. 2013, 2013, 617010. [Google Scholar] [CrossRef]
- Ali, L.; Shah, R.; Weera, W. Fractional View Analysis of Cahn–Allen Equations by New Iterative Transform Method. Fractal Fract. 2022, 6, 293. [Google Scholar] [CrossRef]
- Yan, L. Numerical solutions of fractional Fokker-Planck equations using iterative Laplace transform method. Abstr. Appl. Anal. 2013, 2013, 465160. [Google Scholar] [CrossRef]
- Prakash, A.; Kumar, M.; Baleanu, D. A new iterative technique for a fractional model of nonlinear Zakharov-Kuznetsov equations via Sumudu transform. Appl. Math. Comput. 2018, 334, 30–40. [Google Scholar] [CrossRef]
- Awuya, M.A.; Subasi, D. Aboodh Transform Iterative Method for Solving Fractional Partial Differential Equation with Mittag–Leffler Kernel. Symmetry 2021, 13, 2055. [Google Scholar] [CrossRef]
- Washimi, H.; Taniuti, T. Propagation of ion-acoustic solitary waves of small amplitude. Phys. Rev. Lett. 1966, 17, 996–998. [Google Scholar] [CrossRef]
- Hirota, R. Exact solution of the modified Korteweg-de Vries equation for multiple collisions of solitons. J. Phys. Soc. Jpn. 1972, 33, 1456–1458. [Google Scholar] [CrossRef]
- Hietarinta, J. Irota’s Bilinear Method and Its Connection with Integrability. In Integrability; Mikhailov, A.V., Ed.; Lecture Notes in Physics; Springer: Berlin/Heidelberg, Germany, 2009; Volume 767. [Google Scholar]
- El-Tantawy, S.A.; Salas, A.H.; Albalawi, W.; Alharby, A.A.; Malaikah, H. On the Ansatz and Tantawy Techniques for Analyzing (Non)Fractional Nonplanar Kuramoto-Sivashinsky-Type Equations and Modeling Dust-Acoustic Shock Waves in a Complex Plasma–Part (II), Nonplanar Case. Fractal Fract. 2026, 10, 120. [Google Scholar] [CrossRef]











| Exact | |||||
|---|---|---|---|---|---|
| −5 | −4.86731 × | −4.86731 × | −4.8673 × | 0.0149559 | 0.0149552 |
| −4 | −6.71536 × | −6.71536 × | −6.71534 × | 0.206271 | 0.206134 |
| −3 | −0.0000925919 | −0.0000925919 | −0.0000925916 | 2.83009 | 2.80402 |
| −2 | −0.0012655 | −0.0012655 | −0.0012655 | 36.0906 | 31.4104 |
| −1 | −0.0153902 | −0.0153902 | −0.0153902 | 101.31 | 284.537 |
| 0 | −0.0624544 | −0.0624544 | −0.0624544 | 12.3471 | 12.3471 |
| 1 | −0.0161049 | −0.0161049 | −0.0161049 | 98.7335 | 287.114 |
| 2 | −0.00133297 | −0.00133297 | −0.00133297 | 36.5257 | 31.8455 |
| 3 | −0.0000975773 | −0.0000975773 | −0.0000975776 | 2.86724 | 2.84118 |
| 4 | −7.0772 × | −7.0772 × | −7.07722 × | 0.208995 | 0.208857 |
| 5 | −5.12959 × | −5.12959 × | −5.1296 × | 0.0151535 | 0.0151528 |
| Exact | |||||
|---|---|---|---|---|---|
| −5 | −4.8673 × | −4.73616 × | −4.8673 × | 0.0000982547 | 131.138 |
| −4 | −6.71534 × | −6.53442 × | −6.71534 × | 0.00135457 | 1809.2 |
| −3 | −0.0000925916 | −0.0000900988 | −0.0000925916 | 0.0184801 | 24,927.3 |
| −2 | −0.0012655 | −0.00123177 | −0.0012655 | 0.216617 | 337,307 |
| −1 | −0.0153902 | −0.0150328 | −0.0153902 | 1.26921 | 3.57357 × |
| 0 | −0.0624544 | −0.0624544 | −0.0624544 | 12.3471 | 77.182 |
| 1 | −0.0161049 | −0.0164623 | −0.0161049 | 1.30739 | 3.57357 × |
| 2 | −0.00133297 | −0.0013667 | −0.00133297 | 0.218478 | 337,307 |
| 3 | −0.0000975776 | −0.00010007 | −0.0000975776 | 0.0186727 | 24,927.3 |
| 4 | −7.07722 × | −7.25814 × | −7.07722 × | 0.00136885 | 1809.2 |
| 5 | −5.1296 × | −5.26074 × | −5.1296 × | 0.0000992916 | 131.138 |
| 2 | 3 | 4 | Exact | ||||
|---|---|---|---|---|---|---|---|
| −5 | −4.86731 × | −4.8673 × | −4.8673 × | −4.8673 × | 0.0149559 | 0.000982547 | 0.00516149 |
| −4 | −6.71536 × | −6.71534 × | −6.71534 × | −6.71534 × | 0.206271 | 0.0135457 | 0.0710997 |
| −3 | −0.0000925919 | −0.0000925916 | −0.0000925916 | −0.0000925916 | 2.83009 | 0.184801 | 0.958996 |
| −2 | −0.0012655 | −0.0012655 | −0.0012655 | −0.0012655 | 36.0906 | 2.16617 | 9.28331 |
| −1 | −0.0153902 | −0.0153902 | −0.0153902 | −0.0153902 | 101.31 | 12.6921 | 189.831 |
| 0 | −0.0624544 | −0.0624544 | −0.0624544 | −0.0624544 | 12.3471 | 123.471 | 12.0473 |
| 1 | −0.0161049 | −0.0161049 | −0.0161049 | −0.0161049 | 98.7335 | 13.0739 | 192.019 |
| 2 | −0.00133297 | −0.00133297 | −0.00133297 | −0.00133297 | 36.5257 | 2.18478 | 9.32928 |
| 3 | −0.0000975773 | −0.0000975776 | −0.0000975776 | −0.0000975776 | 2.86724 | 0.186727 | 0.967213 |
| 4 | −7.0772 × | −7.07722 × | −7.07722 × | −7.07722 × | 0.208995 | 0.0136885 | 0.0717234 |
| 5 | −5.12959 × | −5.1296 × | −5.1296 × | −5.1296 × | 0.0151535 | 0.000992916 | 0.00520682 |
Disclaimer/Publisher’s Note: The statements, opinions and data contained in all publications are solely those of the individual author(s) and contributor(s) and not of MDPI and/or the editor(s). MDPI and/or the editor(s) disclaim responsibility for any injury to people or property resulting from any ideas, methods, instructions or products referred to in the content. |
© 2026 by the authors. Licensee MDPI, Basel, Switzerland. This article is an open access article distributed under the terms and conditions of the Creative Commons Attribution (CC BY) license.
Share and Cite
Alharbey, R.A.; Batool, M.; Jahangir, R.; Masood, W.; Alyousef, H.A.; Daqrouq, K.; El-Tantawy, S.A. Fractional Memory Effects in Dust-Acoustic Solitons: Multi-Soliton Dynamics and Analytical Advances for Lunar Terminator Plasma—Part (I), Planar Analysis. Fractal Fract. 2026, 10, 237. https://doi.org/10.3390/fractalfract10040237
Alharbey RA, Batool M, Jahangir R, Masood W, Alyousef HA, Daqrouq K, El-Tantawy SA. Fractional Memory Effects in Dust-Acoustic Solitons: Multi-Soliton Dynamics and Analytical Advances for Lunar Terminator Plasma—Part (I), Planar Analysis. Fractal and Fractional. 2026; 10(4):237. https://doi.org/10.3390/fractalfract10040237
Chicago/Turabian StyleAlharbey, Rania A., Munza Batool, R. Jahangir, W. Masood, Haifa A. Alyousef, K. Daqrouq, and Samir A. El-Tantawy. 2026. "Fractional Memory Effects in Dust-Acoustic Solitons: Multi-Soliton Dynamics and Analytical Advances for Lunar Terminator Plasma—Part (I), Planar Analysis" Fractal and Fractional 10, no. 4: 237. https://doi.org/10.3390/fractalfract10040237
APA StyleAlharbey, R. A., Batool, M., Jahangir, R., Masood, W., Alyousef, H. A., Daqrouq, K., & El-Tantawy, S. A. (2026). Fractional Memory Effects in Dust-Acoustic Solitons: Multi-Soliton Dynamics and Analytical Advances for Lunar Terminator Plasma—Part (I), Planar Analysis. Fractal and Fractional, 10(4), 237. https://doi.org/10.3390/fractalfract10040237

