Multifractal Evolution Patterns of Microporous Structures with Coalification Degree
Abstract
1. Introduction
2. Experimental Samples and Methods
2.1. Selection of Coal Samples
2.2. Experimental Methods
2.3. Multifractal Theory
3. Experimental Results and Discussion
3.1. Basic Properties of Samples
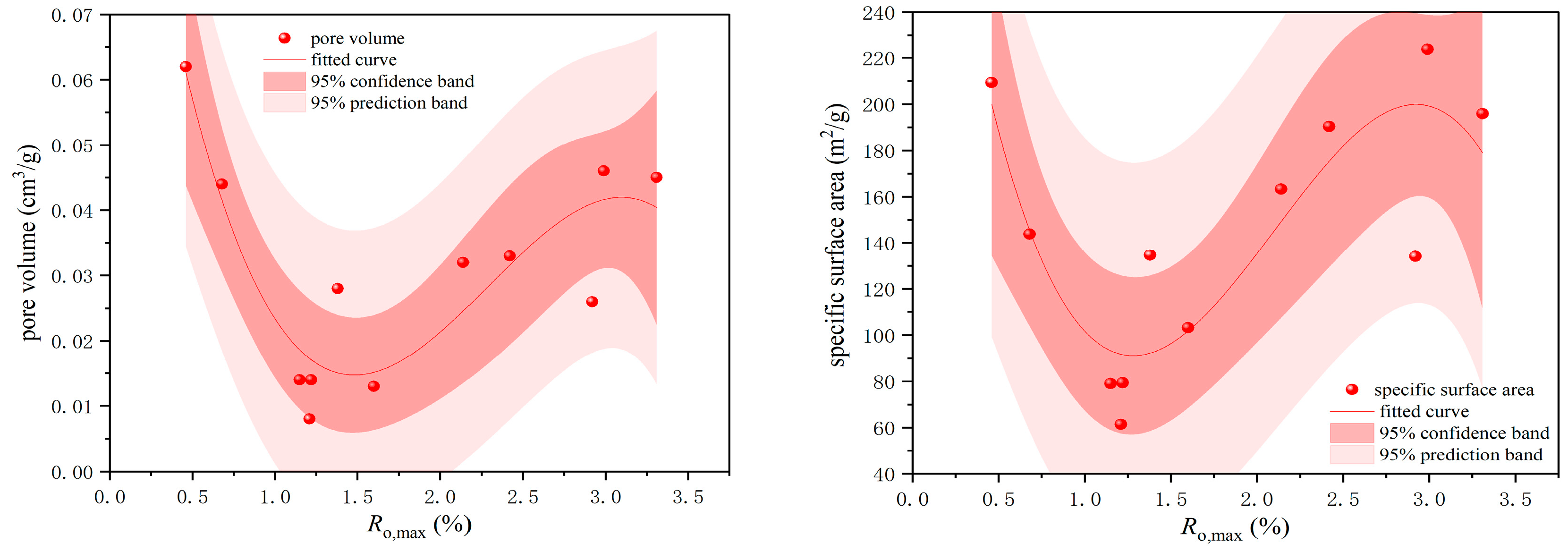
3.2. Characteristics of Micropore Size, Pore Volume, and Specific Surface Area
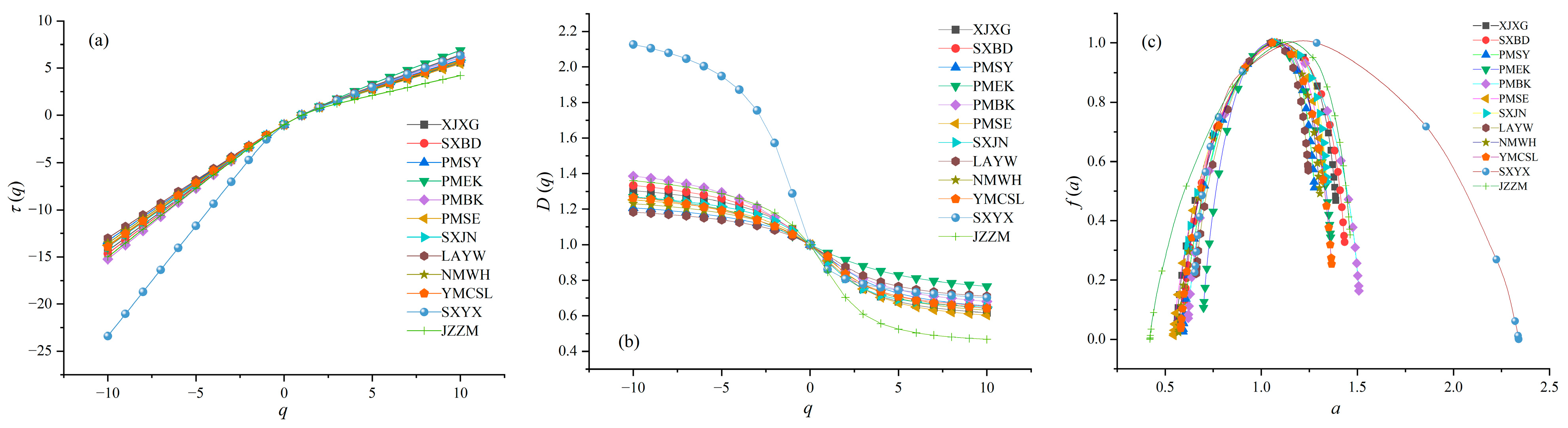
3.3. Generalized Fractal Characteristics of Micropores
3.4. Singular Fractal Characteristics of Microporous Structures
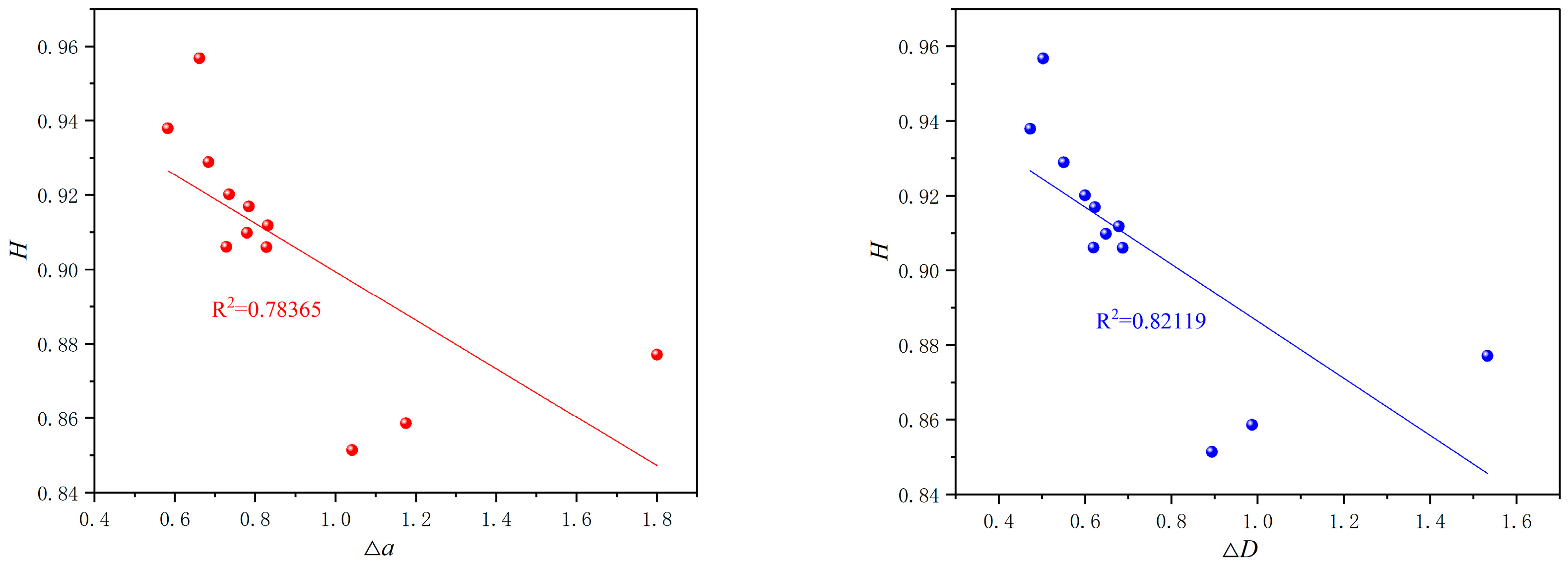
3.5. Comparative Analysis of Micropore Heterogeneity
3.6. Factors Influencing the Heterogeneity of Microporous Structures
3.7. Influence of Coalification Degree on the Multifractal Evolution Patterns of Microporous Structures
3.8. Implication and Limitation
4. Conclusions
- (1)
- As coalification progressed, the micropore volume and specific surface area of coal from different rank groups exhibited a U-shaped trend, first decreasing and then increasing with the rise in Rₒ,max. These parameters reached their lowest values when Rₒ,max = 1.2–1.4%. The micropore size distributions of all coal rank samples exhibited multipeak patterns, with the main peak occurring within the range of 0.45–0.65 nm (peak value approximately 0.55 nm) and a secondary peak occurring within the range of 0.8–0.9 nm (peak value approximately 0.85 nm).
- (2)
- Micropores in coal of different ranks all display pronounced multifractal characteristics. Their fractal dimension spectrum assumed an inverted S shape, while the singularity spectrum exhibited a convex parabolic shape. The width of the fractal dimension spectrum ΔD and the singularity spectrum width Δα first increased, then decreased, and finally increased again with increasing Rₒ,max, whereas the Hurst index H first increased and then decreased, exhibiting an opposite trend to those of PV and SSA. The values of ΔD, Δα, and H can be used to quantitatively characterize the heterogeneity and connectivity of the pore structure.
- (3)
- The coalification degree governed the evolution of the coal microporous system, essentially representing a structural phase transition of the coal macromolecular network under geothermal influences. The second coalification jump (Rₒ,max = 1.2–1.4%) served as a pivotal turning point, marking a paradigm shift from flexible degradation–polycondensation to rigid ordering–construction. This process drove the synergistic evolution of three groups of parameters: micropore quantity (PV, SSA), spatial distribution heterogeneity (ΔD and Δα), and topological connectivity (H). Notably, these three groups of parameters evolved asynchronously, with the reconstruction of heterogeneity and connectivity considerably lagging the evolution of micropore quantity, reflecting the multiscale nature and complexity of microporous structure evolution.
Author Contributions
Funding
Data Availability Statement
Conflicts of Interest
References
- Liu, G.; Liu, H.; Xian, B.; Gao, D.; Wang, X.; Zhang, Z. Fuzzy Pattern Recognition Model of Geological Sweetspot for Coalbed Methane Development. Pet. Explor. Dev. 2023, 50, 924–933. [Google Scholar] [CrossRef]
- Li, L.; Liu, D.; Cai, Y.; Wang, Y.; Jia, Q. Coal Structure and Its Implications for Coalbed Methane Exploitation: A Review. Energy Fuels 2021, 35, 86–110. [Google Scholar] [CrossRef]
- Wang, Z.; Fu, X.; Pan, J.; Deng, Z. Effect of N2/CO2 Injection and Alternate Injection on Volume Swelling/Shrinkage Strain of Coal. Energy 2023, 275, 127377. [Google Scholar] [CrossRef]
- Mou, P.; Pan, J.; Niu, Q.; Wang, Z.; Li, Y.; Song, D. Coal Pores: Methods, Types, and Characteristics. Energy Fuels 2021, 35, 7467–7484. [Google Scholar] [CrossRef]
- Hodot, B. Outburst of Coal and Coalbed Gas; China Coal Industry Press: Beijing, China, 1966; Volume 318. (In Chinese) [Google Scholar]
- Farber, E.M.; Seraphim, N.M.; Tamakuwala, K.; Stein, A.; Rücker, M.; Eisenberg, D. Porous Materials: The next Frontier in Energy Technologies. Science 2025, 390, eadn9391. [Google Scholar] [CrossRef] [PubMed]
- Hu, B.; Cheng, Y.; He, X.; Wang, Z.; Jiang, Z.; Wang, C.; Li, W.; Wang, L. New Insights into the CH4 Adsorption Capacity of Coal Based on Microscopic Pore Properties. Fuel 2020, 262, 116675. [Google Scholar] [CrossRef]
- Xu, C.; Wang, W.; Wang, K.; Guo, L.; Yang, T.; Nie, Z.; Shi, Y. Non-Homogeneous Characterisation of Nanopore Structures in Low-, Medium- and High-Rank Coals Based on Gas Adsorption and Multifractal Theory. Fuel 2025, 401, 135947. [Google Scholar] [CrossRef]
- Niu, Q.; Pan, J.; Jin, Y.; Wang, H.; Li, M.; Ji, Z.; Wang, K.; Wang, Z. Fractal Study of Adsorption-Pores in Pulverized Coals with Various Metamorphism Degrees Using N2 Adsorption, X-Ray Scattering and Image Analysis Methods. J. Pet. Sci. Eng. 2019, 176, 584–593. [Google Scholar] [CrossRef]
- Ren, J.; Song, Z.; Li, B.; Liu, J.; Lv, R.; Liu, G. Structure Feature and Evolution Mechanism of Pores in Different Metamorphism and Deformation Coals. Fuel 2021, 283, 119292. [Google Scholar] [CrossRef]
- Mahajan, O.P. Physical Characterization of Coal. Powder Technol. 1984, 40, 1–15. [Google Scholar] [CrossRef]
- Liu, D.; Zou, Z.; Cai, Y.; Qiu, Y.; Zhou, Y.; He, S. An Updated Study on CH4 Isothermal Adsorption and Isosteric Adsorption Heat Behaviors of Variable Rank Coals. J. Nat. Gas Sci. Eng. 2021, 89, 103899. [Google Scholar] [CrossRef]
- Ye, J.; Tao, S.; Zhao, S.; Li, S.; Chen, S.; Cui, Y. Characteristics of Methane Adsorption/Desorption Heat and Energy with Respect to Coal Rank. J. Nat. Gas Sci. Eng. 2022, 99, 104445. [Google Scholar] [CrossRef]
- Song, D.; Ji, X.; Li, Y.; Zhao, H.; Song, B.; He, K. Heterogeneous Development of Micropores in Medium-High Rank Coal and Its Relationship with Adsorption Capacity. Int. J. Coal Geol. 2020, 226, 103497. [Google Scholar] [CrossRef]
- Chen, S.; Tao, S.; Tang, D.; Xu, H.; Li, S.; Zhao, J.; Jiang, Q.; Yang, H. Pore Structure Characterization of Different Rank Coals Using N2 and CO2 Adsorption and Its Effect on CH4 Adsorption Capacity: A Case in Panguan Syncline, Western Guizhou, China. Energy Fuels 2017, 31, 6034–6044. [Google Scholar] [CrossRef]
- Shen, Z.; Meng, Z.; Liu, Y.; Lei, J.; Shen, W.; Ren, H.; Gao, T.; Zhang, K.; Wang, Y.; Tan, L. Relationship between Multiscale Nanopore Structure and Coal Connectivity during Coalification Process. Microporous Mesoporous Mater. 2023, 360, 112717. [Google Scholar] [CrossRef]
- Wang, Z.; Xiong, J.; Zhang, Y.; Tao, G.; Pan, J.; Niu, Q. Investigation of Permeability Stress Induced Damage Evolution of Shallow and Deep Coal Reservoirs in the Junggar Basin, China. Rock Mech. Rock Eng. 2025. [Google Scholar] [CrossRef]
- Lu, Y.; Cui, M.; Liu, D.; Cai, Y.; Zhou, Y.; Yin, W.; Xu, B.; Liu, Y.; Zhang, C. Pore Fractal Characteristics of Coal and Their Effect on Permeability: A Case Study of the Gujiao Block. Energy Fuels 2026, 40, 1218–1228. [Google Scholar] [CrossRef]
- Ravikovitch, P.I.; Vishnyakov, A.; Russo, R.; Neimark, A.V. Unified Approach to Pore Size Characterization of Microporous Carbonaceous Materials from N2, Ar, and CO2 Adsorption Isotherms. Langmuir 2000, 16, 2311–2320. [Google Scholar] [CrossRef]
- Feng, G.; Li, W.; Zhu, Y.; Wang, X.; Wang, Y.; Song, Y.; Zheng, S.; Shang, F. Matrix Compressibility and Multifractal Nature of Nanoporous Shale. Energy Fuels 2024, 38, 4057–4075. [Google Scholar] [CrossRef]
- Feng, K.; Liu, G.; Zhang, Z.; Liu, H.; Lv, R.; Wang, X.; Chang, P.; Lin, J.; Barakos, G. Fractal Strategy for Improving Characterization of N2 Adsorption–Desorption in Mesopores. Fractal Fract. 2024, 8, 617. [Google Scholar] [CrossRef]
- Muller, J. Characterization of Pore Space in Chalk by Multifractal Analysis. J. Hydrol. 1996, 187, 215–222. [Google Scholar] [CrossRef]
- Paz Ferreiro, J.; Miranda, J.G.V.; Vidal Vázquez, E. Multifractal Analysis of Soil Porosity Based on Mercury Injection and Nitrogen Adsorption. Vadose Zone J. 2010, 9, 325–335. [Google Scholar] [CrossRef]
- Zhang, M.; Duan, C.; Li, G.; Fu, X.; Zhong, Q.; Liu, H.; Dong, Z. Determinations of the Multifractal Characteristics of the Pore Structures of Low-, Middle-, and High-Rank Coal Using High-Pressure Mercury Injection. J. Pet. Sci. Eng. 2021, 203, 108656. [Google Scholar] [CrossRef]
- Wang, S.; Chen, F.; Yue, S.; Hu, J.; Ding, H.; Lu, A. Multifractal Characterization of Pore Structure of Coals Using Gas Adsorption Experiment and Mercury Intrusion Porosimetry (MIP). Fractal Fract. 2025, 9, 183. [Google Scholar] [CrossRef]
- Jiang, Z.-Q.; Xie, W.-J.; Zhou, W.-X.; Sornette, D. Multifractal Analysis of Financial Markets: A Review. Rep. Prog. Phys. 2019, 82, 125901. [Google Scholar] [CrossRef]
- Braverman, B.; Tambasco, M. Scale-Specific Multifractal Medical Image Analysis. Comput. Math. Methods Med. 2013, 2013, 262931. [Google Scholar] [CrossRef]
- Kusák, M. Application of Fractal and Multifractal Analysis on Blue Nile Drainage Patterns in the Morphostructural Analysis of the Ethiopian Highlands, Ethiopia. Prog. Phys. Geogr. Earth Environ. 2022, 46, 357–370. [Google Scholar] [CrossRef]
- Sadeghi, B. Simulated-Multifractal Models: A Futuristic Review of Multifractal Modeling in Geochemical Anomaly Classification. Ore Geol. Rev. 2021, 139, 104511. [Google Scholar] [CrossRef]
- Liu, H.; Zhang, S.; Qiao, Y.; Xie, D.; Chang, L. Multifractal Characterization of Pore Heterogeneity and Water Distribution in Medium- and High-Rank Coals via Nuclear Magnetic Resonance. Fractal Fract. 2025, 9, 290. [Google Scholar] [CrossRef]
- Wang, L.; Wu, S.; Han, S.; Hu, B.; Wang, Q.; Zhang, K.; Song, T. Fractal Analysis of Coal Pore Structure Based on Low-Pressure Gas Adsorption and Its Influence on Methane Adsorption Capacity: A Perspective from Micropore Filling Model. Energy Fuels 2024, 38, 4031–4046. [Google Scholar] [CrossRef]
- GB/T 482-2008; Sampling of Coal Seams. Chinese National Standard: Beijing, China, 2008. (In Chinese)
- GB/T 6948-2008; Method of Determining Microscopically the Reflectance of Vitrinite in Coal. Chinese National Standard: Beijing, China, 2008. (In Chinese)
- GB/T 212-2008; Proximate Analysis of Coal. Chinese National Standard: Beijing, China, 2008. (In Chinese)
- GB/T 21650.3-2011; Pore Size Distribution and Porosity of Solid Materials by Mercury Porosimetry and Gas Adsorption—Part3: Analysis of Micropores by Gas Adsorption. Chinese National Standard: Beijing, China, 2011. (In Chinese)
- Thommes, M.; Kaneko, K.; Neimark, A.V.; Olivier, J.P.; Rodriguez-Reinoso, F.; Rouquerol, J.; Sing, K.S.W. Physisorption of Gases, with Special Reference to the Evaluation of Surface Area and Pore Size Distribution (IUPAC Technical Report). Pure Appl. Chem. 2015, 87, 1051–1069. [Google Scholar] [CrossRef]
- Sing, K.S.W. Reporting Physisorption Data for Gas/Solid Systems with Special Reference to the Determination of Surface Area and Porosity (Recommendations 1984). Pure Appl. Chem. 1985, 57, 603–619. [Google Scholar] [CrossRef]
- Jagiello, J.; Thommes, M. Comparison of DFT Characterization Methods Based on N2, Ar, CO2, and H2 Adsorption Applied to Carbons with Various Pore Size Distributions. Carbon 2004, 42, 1227–1232. [Google Scholar] [CrossRef]
- Fomkin, A.A. Adsorption of Gases, Vapors and Liquids by Microporous Adsorbents. Adsorption 2005, 11, 425–436. [Google Scholar] [CrossRef]
- Wang, Z.; Song, D.; Li, Y.; Zhai, Y.; Pan, J.; Shi, X.; Wei, G. Model Optimization and Data Analysis Methods for Low-Temperature CO2 and N2 Adsorption Experiments on Carbonaceous Materials. Energy Fuels 2025, 39, 6300–6309. [Google Scholar] [CrossRef]
- Mastalerz, M.; He, L.; Melnichenko, Y.B.; Rupp, J.A. Porosity of Coal and Shale: Insights from Gas Adsorption and SANS/USANS Techniques. Energy Fuels 2012, 26, 5109–5120. [Google Scholar] [CrossRef]
- Mahajan, O.P. CO2 Surface Area of Coals: The 25-Year Paradox. Carbon 1991, 29, 735–742. [Google Scholar] [CrossRef]
- Şenel, İ.G.; Gürüz, A.G.; Yücel, H.; Kandas, A.W.; Sarofim, A.F. Characterization of Pore Structure of Turkish Coals. Energy Fuels 2001, 15, 331–338. [Google Scholar] [CrossRef]
- Cao, Z.; Liu, S.; Huang, F.; Zhang, H.; Sang, S.; Han, S.; Li, Z. Integrated Multifractal Framework for Characterizing Full-Scale Pore Architecture and Reservoir-Controlling Mechanisms of Deep Low-Rank Coal in the Turpan–Hami Basin. ACS Omega 2026, 11, 4782–4798. [Google Scholar] [CrossRef] [PubMed]
- Liu, G.; Fang, Z.; Zhang, Z.; Liu, H.; Lv, R.; Wang, X.; Chang, P.; Lin, J.; Barakos, G. Improved Strategy for Multifractal Characterization of CO2 Adsorption in Micropores. Energy Fuels 2024, 38, 20449–20461. [Google Scholar] [CrossRef]
- Lowell, S.; Shields, J.E.; Thomas, M.A.; Thommes, M. Characterization of Porous Solids and Powders: Surface Area, Pore Size and Density; Springer Science & Business Media: Berlin/Heidelberg, Germany, 2012; ISBN 978-1-4020-2303-3. [Google Scholar]
- Rouquerol, J.; Rouquerol, F.; Llewellyn, P.; Maurin, G.; Sing, K. Adsorption by Powders and Porous Solids: Principles, Methodology and Applications; Academic Press: Cambridge, MA, USA, 2013; ISBN 978-0-08-097036-3. [Google Scholar]
- Jiang, J.; Yang, W.; Cheng, Y.; Zhao, K.; Zheng, S. Pore Structure Characterization of Coal Particles via MIP, N2 and CO2 Adsorption: Effect of Coalification on Nanopores Evolution. Powder Technol. 2019, 354, 136–148. [Google Scholar] [CrossRef]
- Landers, J.; Gor, G.Y.; Neimark, A.V. Density Functional Theory Methods for Characterization of Porous Materials. Colloids Surf. A Physicochem. Eng. Asp. 2013, 437, 3–32. [Google Scholar] [CrossRef]
- Stanley, H.E.; Meakin, P. Multifractal Phenomena in Physics and Chemistry. Nature 1988, 335, 405–409. [Google Scholar] [CrossRef]
- Li, W.; Liu, H.; Song, X. Multifractal Analysis of Hg Pore Size Distributions of Tectonically Deformed Coals. Int. J. Coal Geol. 2015, 144–145, 138–152. [Google Scholar] [CrossRef]
- Liu, H.; Liu, G.; Zhang, Z.; Si, N.; Wang, X.; Chang, P.; Barakos, G. Improved Characterization of the Pore Size Distribution in Full and across Scale by a Fractal Strategy. Phys. Fluids 2025, 37, 046602. [Google Scholar] [CrossRef]
- Zhu, J.; He, F.; Zhang, Y.; Zhang, R.; Zhang, B. Fractal Analysis in Pore Size Distributions of Different Bituminous Coals. Sci. Rep. 2019, 9, 18162. [Google Scholar] [CrossRef]
- Li, R.; Hou, X.; Chen, L.; Fang, H.; Zheng, C. Multifractal Investigation on Multi-Scale Pore Structure Heterogeneity of High Rank Coal Reservoirs. Nat. Resour. Res. 2022, 31, 1665–1685. [Google Scholar] [CrossRef]
- Sun, M.; Zou, C.; Xin, D. Pore Structure Evolution Mechanism of Cement Mortar Containing Diatomite Subjected to Freeze-Thaw Cycles by Multifractal Analysis. Cem. Concr. Compos. 2020, 114, 103731. [Google Scholar] [CrossRef]
- Feng, K.; Liu, G.; Zhang, Z.; Liu, H.; Lv, R.; Wang, X.; Chang, P.; Lin, J.; Barakos, G. Multifractal Characterization of Methane Adsorption in Coal Pores. Langmuir 2025, 41, 14548–14559. [Google Scholar] [CrossRef]
- Yu, S.; Bo, J.; Pei, S.; Jiahao, W. Matrix Compression and Multifractal Characterization for Tectonically Deformed Coals by Hg Porosimetry. Fuel 2018, 211, 661–675. [Google Scholar] [CrossRef]
- Liu, K.; Ostadhassan, M.; Kong, L. Multifractal Characteristics of Longmaxi Shale Pore Structures by N2 Adsorption: A Model Comparison. J. Pet. Sci. Eng. 2018, 168, 330–341. [Google Scholar] [CrossRef]
- Xin, F.; Xu, H.; Tang, D.; Yang, J.; Chen, Y.; Cao, L.; Qu, H. Pore Structure Evolution of Low-Rank Coal in China. Int. J. Coal Geol. 2019, 205, 126–139. [Google Scholar] [CrossRef]
- Li, Q.; Liu, D.; Cai, Y.; Zhou, Y.; Yin, T. Investigation on the Methane Adsorption Capacity in Coals: Considerations from Nanopores by Multifractal Analysis. Energy Fuels 2021, 35, 6633–6643. [Google Scholar] [CrossRef]
- Zhang, Z.; Liu, G.; Chang, P.; Wang, X.; Lin, J. Fractal Characteristics for Coal Chemical Structure: Principle, Methodology and Implication. Chaos Solitons Fractals 2023, 173, 113699. [Google Scholar] [CrossRef]
- Wang, F.; Zai, Y. Fractal and Multifractal Characteristics of Shale Nanopores. Results Phys. 2021, 25, 104277. [Google Scholar] [CrossRef]
- Gao, J.; Li, Z.; Tao, X.; Li, X.; Zhu, K. A Comprehensive Study of Multiscale Pore Structural Characteristics in Deep-Buried Coals of Different Ranks. Sci. Rep. 2025, 15, 8299. [Google Scholar] [CrossRef]
- Yan, J.; Meng, Z.; Li, G. Diffusion Characteristics of Methane in Various Rank Coals and the Control Mechanism. Fuel 2021, 283, 118959. [Google Scholar] [CrossRef]
- Tao, S.; Chen, S.; Tang, D.; Zhao, X.; Xu, H.; Li, S. Material Composition, Pore Structure and Adsorption Capacity of Low-Rank Coals around the First Coalification Jump: A Case of Eastern Junggar Basin, China. Fuel 2018, 211, 804–815. [Google Scholar] [CrossRef]
- Li, H.; Chen, S.; Tang, D. Coal Pore Size Distribution and Adsorption Capacity Controlled by the Coalification in China. Int. J. Hydrog. Energy 2024, 88, 594–603. [Google Scholar] [CrossRef]
- Sun, Y.; Wang, L.; Wang, R.; Zheng, S.; Liao, X.; Zhu, Z.; Zhao, Y. Insight on Microscopic Mechanisms of CH4 and CO2 Adsorption of Coal with Different Ranks. Fuel 2022, 330, 125715. [Google Scholar] [CrossRef]
- Feng, P.; Li, S.; Tang, S.; Tang, D.; Zhang, C.; Zhong, G.; Fan, L.; Zhang, Z. Unraveling the Nanopores Evolution: Chemical Structure Control in Coal during Coalification. Energy Fuels 2024, 38, 8688–8699. [Google Scholar] [CrossRef]
- Rahman, T.; Hazra, B.; Vishal, V. Pore Structure Evolution of Jharia Coal for Potential Underground Coal Thermal Treatment and Associated CO2 Sequestration. Fuel 2025, 381, 133577. [Google Scholar] [CrossRef]
- Han, W.; Zhou, G.; Gao, D.; Zhang, Z.; Wei, Z.; Wang, H.; Yang, H. Experimental Analysis of the Pore Structure and Fractal Characteristics of Different Metamorphic Coal Based on Mercury Intrusion-nitrogen Adsorption Porosimetry. Powder Technol. 2020, 362, 386–398. [Google Scholar] [CrossRef]
- Zhang, S.; Liu, H.; Wu, C.; Jin, Z. Influence of Particle Size on Pore Structure and Multifractal Characteristics in Coal Using Low-Pressure Gas Adsorption. J. Pet. Sci. Eng. 2022, 212, 110273. [Google Scholar] [CrossRef]
- Lin, Y.; Qin, Y.; Qiao, J.; Li, G.; Zhang, H. Effect of Coalification and Maceration on Pore Differential Development Characteristics of High-Volatile Bituminous Coal. Fuel 2022, 318, 123634. [Google Scholar] [CrossRef]
- Chen, X.; Li, M.; Xiang, J.; Shao, Y. Micropores Manipulation of Medium-Rank Coal through Aggregate Structure Evolution during Coalification: A Study Based on HRTEM Analysis. Fuel 2023, 346, 128380. [Google Scholar] [CrossRef]
- Peng, L.; Cheng, H.; Chen, F.; Yang, J.; Zheng, B. Exploring the Ultramicropore Structure Evolution and the Methane Adsorption of Tectonically Deformed Coals in Molecular Terms. Sci. Rep. 2024, 14, 26316. [Google Scholar] [CrossRef] [PubMed]
- Zhou, S.; Liu, D.; Karpyn, Z.T.; Cai, Y.; Yao, Y. Effect of Coalification Jumps on Petrophysical Properties of Various Metamorphic Coals from Different Coalfields in China. J. Nat. Gas Sci. Eng. 2018, 60, 63–76. [Google Scholar] [CrossRef]
- Hou, H.; Shao, L.; Tang, Y.; Zhao, S.; Yuan, Y.; Li, Y.; Mu, G.; Zhou, Y.; Liang, G.; Zhang, J. Quantitative Characterization of Low-Rank Coal Reservoirs in the Southern Junggar Basin, NW China: Implications for Pore Structure Evolution around the First Coalification Jump. Mar. Pet. Geol. 2020, 113, 104165. [Google Scholar] [CrossRef]
- Sun, B.; Yang, Q.; Zhu, J.; Shao, T.; Yang, Y.; Hou, C.; Li, G. Pore Size Distributions and Pore Multifractal Characteristics of Medium and Low-Rank Coals. Sci. Rep. 2020, 10, 22353. [Google Scholar] [CrossRef]
- Yan, J.; Lei, Z.; Li, Z.; Wang, Z.; Ren, S.; Kang, S.; Wang, X.; Shui, H. Molecular Structure Characterization of Low-Medium Rank Coals via XRD, Solid State 13C NMR and FTIR Spectroscopy. Fuel 2020, 268, 117038. [Google Scholar] [CrossRef]
- Zhang, S.; Zhang, C.; Zhang, M.; Liu, X.; Xue, S. Model Construction and Optimization of Coal Molecular Structure. J. Mol. Struct. 2023, 1290, 135960. [Google Scholar] [CrossRef]









| Coal Samples | Position of Sampling | Mad/% | Aad/% | Vdaf/% | FCad/% | Ro,max/% |
|---|---|---|---|---|---|---|
| XJXG | Xigou Coal Mine | 4.54 | 7.75 | 46.58 | 49.28 | 0.46 |
| SXBD | Baode Coal Mine | 1.90 | 20.7 | 36.26 | 50.46 | 0.68 |
| PMSY | Pingdingshan No. 11 | 2.32 | 13.38 | 28.22 | 57.08 | 1.15 |
| PMEK | Pingdingshan Tian No. 2 | 2.14 | 12.88 | 24.38 | 61.61 | 1.21 |
| PMBK | Pingdingshan No. 8 | 1.97 | 10.03 | 22.17 | 66.83 | 1.22 |
| PMSE | Pingdingshan No. 12 | 1.08 | 10.28 | 21.08 | 68.23 | 1.38 |
| SXJN | Jining Coal Mine | 1.92 | 8.18 | 18.59 | 72.41 | 1.60 |
| LAYW | Yuwu Coal Mine | 1.83 | 12.14 | 13.11 | 74.93 | 2.14 |
| NMWH | Wuhai Coal Mine | 1.92 | 8.18 | 10.38 | 80.57 | 2.42 |
| YMCSL | Chenshilou Coal Mine | 1.96 | 8.96 | 7.32 | 82.66 | 2.92 |
| SXYX | Yuxi Coal Mine | 2.81 | 7.93 | 6.64 | 83.33 | 2.99 |
| JZZM | Zhongma Coal Mine | 2.94 | 8.41 | 5.50 | 83.95 | 3.31 |
| Coal Samples | PV (cm3/g) | SSA (m2/g) | Ro,max/% |
|---|---|---|---|
| XJXG | 0.062 | 209.408 | 0.46 |
| SXBD | 0.044 | 143.816 | 0.68 |
| PMSY | 0.014 | 79.084 | 1.15 |
| PMEK | 0.008 | 61.401 | 1.21 |
| PMBK | 0.014 | 79.471 | 1.22 |
| PMSE | 0.028 | 134.655 | 1.38 |
| SXJN | 0.013 | 103.203 | 1.60 |
| LAYW | 0.032 | 163.285 | 2.14 |
| NMWH | 0.033 | 190.381 | 2.42 |
| YMCSL | 0.026 | 134.072 | 2.92 |
| SXYX | 0.046 | 223.674 | 2.99 |
| JZZM | 0.045 | 195.908 | 3.31 |
| Coal Samples | D0 | D1 | D2 | H | ∆(D−10–D0) | ∆(D0–D10) | ∆D |
|---|---|---|---|---|---|---|---|
| XJXG | 1 | 0.9001 | 0.8120 | 0.9060 | 0.3041 | 0.3830 | 0.6872 |
| SXBD | 1 | 0.9048 | 0.8236 | 0.9118 | 0.3363 | 0.3421 | 0.6784 |
| PMSY | 1 | 0.9296 | 0.8579 | 0.9289 | 0.2073 | 0.3439 | 0.5511 |
| PMEK | 1 | 0.9535 | 0.9134 | 0.9567 | 0.2686 | 0.2342 | 0.5028 |
| PMBK | 1 | 0.8354 | 0.7542 | 0.8771 | 1.1144 | 0.4186 | 1.5330 |
| PMSE | 1 | 0.9094 | 0.8195 | 0.9098 | 0.2521 | 0.3963 | 0.6485 |
| SXJN | 1 | 0.9009 | 0.8121 | 0.9061 | 0.2685 | 0.3511 | 0.6195 |
| LAYW | 1 | 0.9382 | 0.8758 | 0.9379 | 0.1832 | 0.2896 | 0.4728 |
| NMWH | 1 | 0.9203 | 0.8402 | 0.9201 | 0.2309 | 0.3693 | 0.6003 |
| YMCSL | 1 | 0.9339 | 0.8338 | 0.9169 | 0.2651 | 0.3576 | 0.6227 |
| SXYX | 1 | 0.8544 | 0.7173 | 0.8586 | 0.4675 | 0.5196 | 0.9871 |
| JZZM | 1 | 0.8468 | 0.7028 | 0.8514 | 0.3612 | 0.5326 | 0.8938 |
| Coal Samples | α0 | ∆α | Rd | ∆f(α) |
|---|---|---|---|---|
| XJXG | 1.0850 | 0.8280 | −0.2225 | 0.4237 |
| SXBD | 1.0845 | 0.8313 | −0.1328 | 0.1956 |
| PMSY | 1.0550 | 0.6837 | −0.2401 | 0.4855 |
| PMEK | 1.0502 | 0.6613 | −0.0394 | 0.2374 |
| PMBK | 1.2902 | 1.8004 | −0.0217 | 0.2709 |
| PMSE | 1.0696 | 0.7798 | −0.2702 | 0.5168 |
| SXJN | 1.0801 | 0.7281 | −0.2041 | 0.2333 |
| LAYW | 1.0484 | 0.5830 | −0.1909 | 0.3496 |
| NMWH | 1.0624 | 0.7350 | −0.2499 | 0.4679 |
| YMCSL | 1.0583 | 0.7844 | −0.1685 | 0.2172 |
| SXYX | 1.1132 | 1.1752 | −0.1863 | 0.0662 |
| JZZM | 1.1094 | 1.0414 | −0.3360 | 0.3517 |
Disclaimer/Publisher’s Note: The statements, opinions and data contained in all publications are solely those of the individual author(s) and contributor(s) and not of MDPI and/or the editor(s). MDPI and/or the editor(s) disclaim responsibility for any injury to people or property resulting from any ideas, methods, instructions or products referred to in the content. |
© 2026 by the authors. Licensee MDPI, Basel, Switzerland. This article is an open access article distributed under the terms and conditions of the Creative Commons Attribution (CC BY) license.
Share and Cite
Ren, J.; Li, B.; Wang, X.; Zhang, F.; Yang, C.; Jiang, P.; Liu, J.; Qu, Y.; Li, H.; Song, Z. Multifractal Evolution Patterns of Microporous Structures with Coalification Degree. Fractal Fract. 2026, 10, 235. https://doi.org/10.3390/fractalfract10040235
Ren J, Li B, Wang X, Zhang F, Yang C, Jiang P, Liu J, Qu Y, Li H, Song Z. Multifractal Evolution Patterns of Microporous Structures with Coalification Degree. Fractal and Fractional. 2026; 10(4):235. https://doi.org/10.3390/fractalfract10040235
Chicago/Turabian StyleRen, Jiangang, Bing Li, Xiaoming Wang, Fan Zhang, Chengtao Yang, Peiwen Jiang, Jianbao Liu, Yanwei Qu, Haonan Li, and Zhimin Song. 2026. "Multifractal Evolution Patterns of Microporous Structures with Coalification Degree" Fractal and Fractional 10, no. 4: 235. https://doi.org/10.3390/fractalfract10040235
APA StyleRen, J., Li, B., Wang, X., Zhang, F., Yang, C., Jiang, P., Liu, J., Qu, Y., Li, H., & Song, Z. (2026). Multifractal Evolution Patterns of Microporous Structures with Coalification Degree. Fractal and Fractional, 10(4), 235. https://doi.org/10.3390/fractalfract10040235

