On the Ansatz and Tantawy Techniques for Analyzing (Non)Fractional Nonplanar Kuramoto-Sivashinsky-Type Equations and Modeling Dust-Acoustic Shock Waves in a Complex Plasma–Part (II), Nonplanar Case
Abstract
1. Introduction
Notation and Parameter Conventions
- The independent variables x and t denote the spatial and temporal variables in the nonplanar evolution equations after applying the RPT; r is the radial coordinate in the underlying fluid models.
- The physical quantity denotes the wave function or electrostatic potential associated with the dust–acoustic shock wave in the framework of nonplanar geometry. When the physical quantity is written, we refer specifically to an exact planar KS shock solution used as input for the Ansatz construction.
- The coefficients , , and denote, respectively, the nonlinear steepening, second-order dissipative/unstable diffusion, and fourth-order dissipative coefficients in the KS equation. Their explicit expressions in terms of plasma parameters are given after the RPT reduction of the fluid model.
- The curvature coefficient (where for planar case and for cylindrical (spherical) geometry).
- In the fractional model, represents the time fractional Caputo derivative (TFCD) of order with respect to time, which introduces a genuine memory effect into the model. The case corresponds to the integer nonplanar KS equation.
- The functions , , , and in the Ansatz method denote the time-dependent amplitude, inverse width, velocity, and phase variable of the nonplanar shock, respectively. From now on, we can use to denote the initial value phase variable.
- In the Tantawy Technique (TT), , ∀, denote spatial coefficient functions of the fractional series expansion, and should not be confused with the time-dependent amplitude of the Ansatz method.
2. Ansatz Method to Analyze the Nonplanar Integer KSE
- Step (1)
- To begin the analysis of problem (1) using the Ansatz method, we first consider the following exact solution to the planar integer KS equation, i.e., problem (1) at :where indicates any exact solution to Equation (2), such as the following shock-wave solution [1]withwhere indicates the phase variable and A is a free and non-zero parameter. It should be mentioned here that the shock-wave solution (3) satisfies the integer planar KS Equation (2).
- Step (2)
- After that, the analytical approximation to problem (1) can be introduced in the subsequent Ansatz form:where indicates the phase function in the framework of nonplanar KSE, , indicates the amplitude of the shock waves, indicates the inverse of the width of the shock waves, and the shock-wave velocity is given by . Note that, for simplicity, the following notations are considered: , , and
- Step (3)
- We rewrite the fourth-order spatial derivative in Equation (2) in the following form:
- Step (4)
- Step (5)
- Step (6)
- From Equation (8), the following choice is considered:Note that for , the planar case is recovered.
- Step (7)
- According to choice (9), the following residual error is obtained:
- Step (8)
- Step (9)
- Step (10)
- Step (11)
- Explicit form of the residual error according to the relation (10) reads
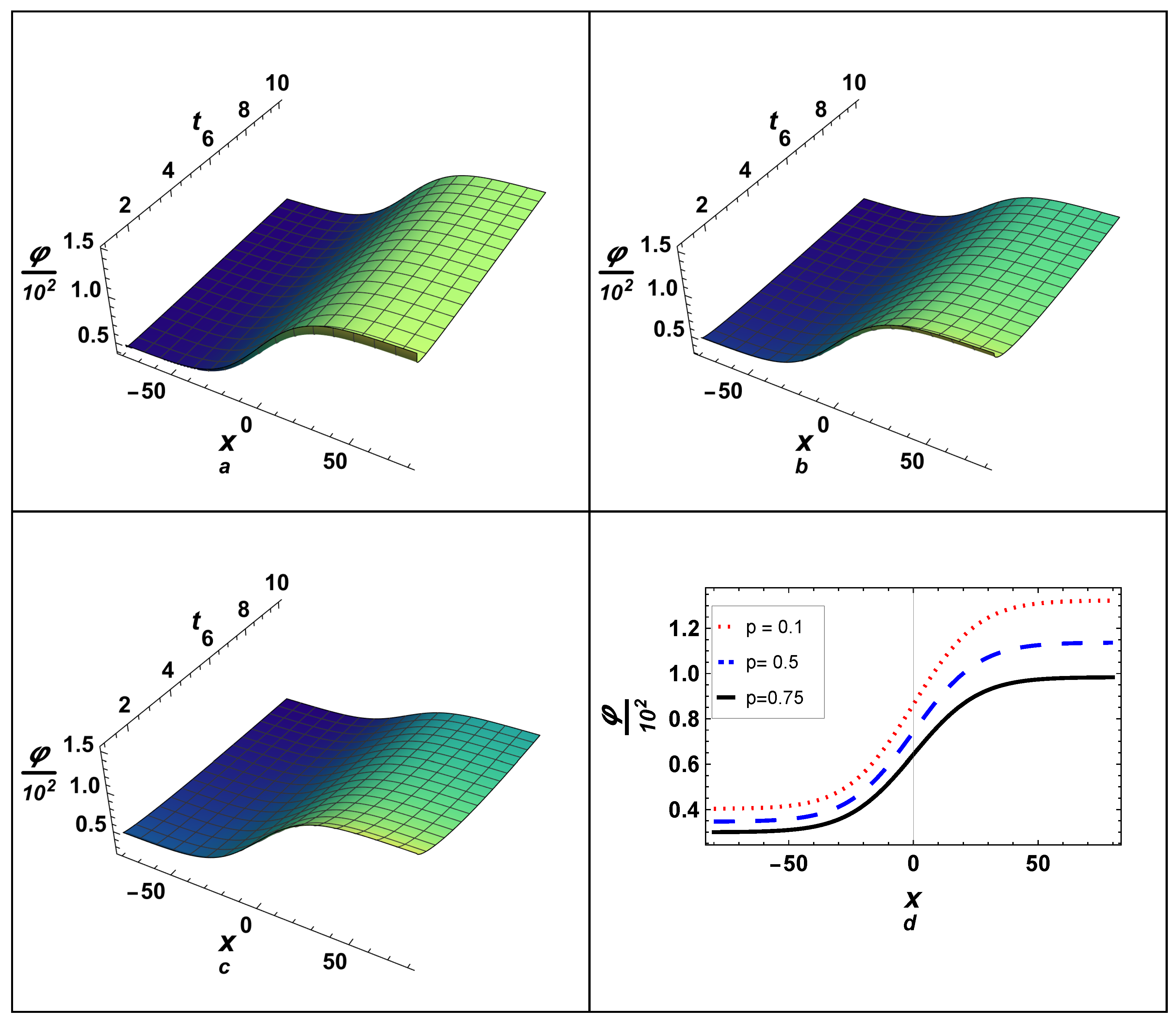
A Plasma Application and Numerical Example
3. Tantawy Technique (TT) for Analyzing Nonplanar FKSE
- Step (1)
- According to the TT, the solution to the problem (32) is presumed to take the following Ansatz form:where , ∀ are unknown space functions that will be determined later and indicates any initial solution to this problem.For simplicity, we can consider the first four terms in Ansatz (32), i.e., ():
- Step (2)
- The time fractional Caputo derivative can be defined as follows:
- Step (3)
- Step (4)
- After rearranging all terms of Equation (36) and collecting the coefficients of , we ultimately obtain the following form:withHere, the following notations are considered for any i:where ∀
- Step (5)
- Equating the above coefficients ∀ , to zero and integrating the resulting equations over ∀, yields
- Step (6)
- Remember that for and
- Step (7)
- To obtain explicit values for , , , and in the IC , the system (39) can be solved using MATHEMATICA with the help of the following values of the IC (30) and its derivatives:whereIn general, we can receive any derivatives for f using the following simple MATHEMATICA code:Note that we refrained from including these expressions here because of their considerable size; however, acquiring them is straightforward.
- Step (8)
3.1. A Plasma Application and Numerical Example
3.2. Comparison with Other Analytical and Numerical Methods
3.3. Extension to Other Plasma Configurations
4. Conclusions
- The first part focused on the integer nonplanar KS equation and its analysis, yielding an analytical approximation to understand the dynamical behavior of shock waves that can arise and propagate in various plasma systems. To this end, the Ansatz method has been applied, yielding some semi-analytical approximations for this model. As a practical application, the fluid equations governing the propagation of acoustic shock waves in a non-Maxwellian dust plasma have been reduced to the integer nonplanar KS equation using the reductive perturbation method. After that, this equation was analyzed using the derived semi-analytical approximations, and the influence of various physical parameters on the profiles of acoustic shock waves was numerically discussed.
- As for the second objective, the integer nonplanar KS equation has been transformed into its fractional counterpart (fractional KS (FKS) equation) to study the effect of the memory factor on the dynamical behavior of the dust–acoustic shock waves. This equation has been analyzed using one of the most modern, accurate, and user-friendly analytical methods, namely, the Tantawy technique. A fourth-order analytical approximation has been generated, and based on it, the effect of fractionality on the behavior of dust–acoustic shock waves has been examined. To verify the accuracy of the derived approximations and the efficiency of the used technique, the maximum residual errors of the derived approximations have been calculated for both cylindrical and spherical fractional dust–acoustic shock waves, in addition to calculating the absolute error of these approximations compared to the semi-analytical solution for the integer case. The results of the analysis showed promising results, which enhances the efficiency of the methods used.
- The nonplanar FKS has been thoroughly examined in the concluding phase of the present study, leading to the derivation of a highly precise analytical approximation for this equation. It was found that the analytical approximation for the nonplanar FKS equation covers the analytical approximation for the planar case, i.e., the planar FKS equation.
Future Work
- (i)
- In a direct continuation of the analysis developed here, the next part of this research program will address the same nonplanar KS-type problem and some related physical problems while explicitly incorporating collisional forces between the charged/neutral particles in a plasma [52]. In particular, we shall account for momentum transfer between neutral and charged constituents of the plasma, as well as collisions among the charged species themselves, and investigate how these additional dissipative and dispersive effects reshape the structure and evolution of (non)planar dissipative dust–acoustic fractional shock waves.
- (ii)
- Additionally, the new iterative method [53,54,55] can be applied for analyzing the (non)planar fractional (un)damped KS problem and making a comparison between its approximations and the approximations generated via the TT. Such a comparison, carried out for both planar and nonplanar fractional (un)damped KS problems, will make it possible to quantify the relative convergence rates, stability properties, and error levels of the two approaches over a broad range of physical parameters.
- (iii)
- Finally, we envisage extending the collisional, nonplanar fractional methodology beyond the dust–acoustic regime considered here. In particular, the same analytical machinery can be adapted to ion–acoustic and magneto–acoustic shocks in multi-component plasmas, where both curvature and collisions play a decisive role, hence offering a broader testing ground for the new iterative method and for the TT.
Author Contributions
Funding
Data Availability Statement
Acknowledgments
Conflicts of Interest
References
- El-Tantawy, S.A.; Salas, A.H.; Albalawi, W.; Alharbey, R.A.; Alharby, A.A. On the Tantawy Technique for Analyzing Fractional Kuramoto–Sivashinsky-Type Equations and Modeling Shock Waves in Plasmas and Fluids—Part (I), Planar Case. Fractal Fract. 2026, 10, 105. [Google Scholar] [CrossRef]
- Mamun, A.A.; Shukla, P.K. Dust-acoustic shock waves in dusty plasmas. Phys. Rev. E 1999, 60, 4341–4347. [Google Scholar]
- Shukla, P.K.; Mamun, A.A. Introduction to Dusty Plasma Physics; Institute of Physics Publishing: Bristol, UK, 2002. [Google Scholar]
- Wazwaz, A.-M. A variety of distinct kinds of multiple soliton solutions for a (3+1)-dimensional nonlinear evolution equations. Math. Appl. Sci. 2013, 36, 349–357. [Google Scholar] [CrossRef]
- Mihalache, D. Multidimensional localized structures in optical and matter-wave media: A topical survey of recent literature. Rom. Rep. Phys. 2017, 69, 403. [Google Scholar]
- Mamun, A.A.; Shukla, P.K. Nonplanar dust ion-acoustic solitary and shock waves in a dusty plasma with electrons following a vortex-like distribution. Phys. Lett. A 2010, 374, 472–475. [Google Scholar] [CrossRef]
- Ema, S.A.; Hossen, M.R.; Mamun, A.A. Planar and Nonplanar Shock Waves in a Degenerate Quantum Plasma. Contrib. Plasma Phys. 2015, 55, 551–559. [Google Scholar] [CrossRef]
- Affan, H.; Ullah, S. Nonplanar ion acoustic waves in e-p-i plasmas with non-Maxwellian distributed electrons and positrons. Phys. Scr. 2024, 99, 075602. [Google Scholar] [CrossRef]
- El-Tantawy, S.A. Nonlinear dynamics of soliton collisions in electronegative plasmas: The phase shifts of the planar KdV-and mkdV-soliton collisions. Chaos Solitons Fractals 2016, 93, 162. [Google Scholar] [CrossRef]
- Alharthi, M.R.; Alharbey, R.A.; El-Tantawy, S.A. Novel analytical approximations to the nonplanar Kawahara equation and its plasma applications. Eur. Phys. J. Plus 2022, 137, 1172. [Google Scholar] [CrossRef]
- El-Tantawy, S.A.; Salas, A.H.; Alyousef, H.A.; Alharthi, M.R. Novel approximations to a nonplanar nonlinear Schrödinger equation and modeling nonplanar rogue waves/breathers in a complex plasma. Chaos Solitons Fractals 2022, 163, 112612. [Google Scholar] [CrossRef]
- Kuramoto, Y.; Tsuzuki, T. Persistent propagation of concentration waves in dissipative media far from thermal equilibrium. Prog. Theor. Phys. 1976, 55, 356–369. [Google Scholar] [CrossRef]
- Rademacher, J.; Wattenberg, R. Viscous shocks in the destabilized Kuramoto–Sivashinsky. J. Comput. Nonlinear Dyn. 2006, 1, 336–347. [Google Scholar] [CrossRef]
- Sivashinsky, G.I. Instabilities, pattern-formation, and turbulence in flames. Ann. Rev. Fluid Mech. 1983, 15, 179–199. [Google Scholar] [CrossRef]
- Hooper, A.P.; Grimshaw, R. Nonlinear instability at the interface between two viscous fluids. Phys. Fluids 1985, 28, 37–45. [Google Scholar] [CrossRef]
- Lakestani, M.; Dehghan, M. Numerical solutions of the generalized Kuramoto–Sivashinsky equation using B-spline functions. Appl. Math. Model. 2012, 36, 605–617. [Google Scholar] [CrossRef]
- Odibat, Z.; Momani, S. Numerical methods for nonlinear partial differential equations of fractional order. Appl. Math. Model. 2008, 32, 28–39. [Google Scholar] [CrossRef]
- Metzler, R.; Klafter, J. The random walk’s guide to anomalous diffusion: A fractional dynamics approach. Phys. Rep. 2000, 339, 1–77. [Google Scholar] [CrossRef]
- Mainardi, F. Fractional Calculus and Waves in Linear Viscoelasticity; Imperial College Press: London, UK, 2010. [Google Scholar]
- Podlubny, I. Geometric and physical interpretation of fractional integration and fractional differentiation. Fract. Calc. Appl. Anal. 2002, 5, 367–386. [Google Scholar]
- Baleanu, D.; Diethelm, K.; Scalas, E.; Trujillo, J.J. Fractional Calculus: Models and Numerical Methods; World Scientific: Singapore, 2012. [Google Scholar]
- Podlubny, I. Fractional Differential Equations: An Introduction to Fractional Derivatives, Fractional Differential Equations, to Methods of Their Solution and Some of Their Applications; Academic Press: New York, NY, USA, 1999. [Google Scholar]
- Miller, K.S.; Ross, B. An Introduction to the Fractional Calculus and Fractional Differential Equations; Wiley: New York, NY, USA, 1993. [Google Scholar]
- Oldham, K.B.; Spanier, J. The Fractional Calculus; Academic Press: New York, NY, USA, 1974. [Google Scholar]
- Kilbas, A.A.; Trujillo, J.J. Differential equations of fractional order: Methods, results problems. Appl Anal. 2001, 78, 153–192. [Google Scholar] [CrossRef]
- Baleanu, D.; Wu, G.C.; Zeng, S.D. Chaos analysis and asymptotic stability of generalized Caputo fractional differential equations. Chaos Solitons Fractals 2017, 102, 99–105. [Google Scholar] [CrossRef]
- Eltayeb, H.; Mesloub, S. Solution for Time-Fractional Coupled Burgers Equations by Generalized-Laplace Transform Methods. Fractal Fract. 2024, 8, 692. [Google Scholar] [CrossRef]
- Akram, T.; Abbas, M.; Riaz, M.B.; Ismail, A.I.; Ali, N.M. An efficient numerical technique for solving time fractional Burgers equation. Alex. Eng. J. 2020, 59, 2201–2220. [Google Scholar] [CrossRef]
- El-Wakil, S.A.; Abulwafa, E.M.; El-Shewy, E.; Mahmoud, A.A. Time-fractional kdv equation for plasma of two different temperature electrons and stationary ion. Phys. Plasmas 2011, 18, 092116. [Google Scholar] [CrossRef]
- El-Wakil, S.A.; Abulwafa, E.M.; Zahran, M.A.; Mahmoud, A.A. Time-fractional kdv equation: Formulation and solution using variational methods. Nonlinear Dyn. 2011, 65, 55–63. [Google Scholar] [CrossRef]
- El-Wakil, S.A.; Abulwafa, E.M.; El-Shewy, E.K.; Mahmoud, A.A. Time fractional kdv equation for electron-acoustic waves in plasma of cold electron and two different temperature isothermal ions. Astrophys. Space Sci. 2011, 333, 269–276. [Google Scholar]
- Naber, M. Time fractional Schrödinger equation. J. Math. Phys. 2004, 45, 3339–3352. [Google Scholar] [CrossRef]
- Alazman, I.; Jleli, M.; Samet, B. A Time-Fractional Schrödinger Equation with Singular Potentials on the Boundary. Fractal Fract. 2023, 7, 417. [Google Scholar] [CrossRef]
- Abd-Elhameed, W.M.; Abdelkawy, M.A.; Alsafri, N.M.A.; Atta, A.G. Numerical Treatment of the Time-Fractional Kuramoto–Sivashinsky Equation Using a Combined Chebyshev-Collocation Approach. Fractal Fract. 2025, 9, 727. [Google Scholar] [CrossRef]
- Feng, D. Exact Solutions of Kuramoto-Sivashinsky Equation. Int. J. Educ. Manag. Eng. 2012, 2, 61–66. [Google Scholar] [CrossRef]
- Alshehry, A.S.; Imran, M.; Khan, A.; Shah, R.; Weera, W. Fractional View Analysis of Kuramoto–Sivashinsky Equations with Non-Singular Kernel Operators. Symmetry 2022, 14, 1463. [Google Scholar] [CrossRef]
- Veeresha, P.; Prakasha, D.G. Solution for Fractional Kuramoto–Sivashinsky Equation Using Novel Computational Technique. Int. J. Appl. Comput. Math. 2021, 7, 33. [Google Scholar] [CrossRef]
- Mohammed, W.W.; Albalahi, A.M.; Albadrani, S.; Aly, E.S.; Sidaoui, R.; Matouk, A.E. The Analytical Solutions of the Stochastic Fractional Kuramoto–Sivashinsky Equation by Using the Riccati Equation Method. Math. Probl. Eng. 2022, 2022, 5083784. [Google Scholar] [CrossRef]
- Sahoo, S.; Ray, S.S. New approach to find exact solutions of time-fractional Kuramoto-Sivashinsky equation. Physica A 2015, 434, 240–245. [Google Scholar] [CrossRef]
- Nadeem, M.; Iambor, L.F. Advanced Numerical Scheme for Solving Nonlinear Fractional Kuramoto–Sivashinsky Equations Using Caputo Operators. Fractal Fract. 2025, 9, 418. [Google Scholar] [CrossRef]
- Rezazadeh, H.; Ziabary, B.P. Sub-equation Method for the Conformable Fractional Generalized KuramotoSivashinsky Equation. Comput. Res. Prog. Appl. Sci. Eng. 2016, 2, 106–109. [Google Scholar]
- Aziz, H.; Jwamer, K.H.F. Analytical Solution of Nonlinear Time-Fractional Kuramoto-Sivashinsky Equation by Sumudu Adomian Decomposition Method. Bas. J. Sci. 2025, 43, 67. [Google Scholar]
- Choudhary, R.; Kumar, D. Numerical solution of linear time-fractional Kuramoto-Sivashinsky equation via quintic B-splines. Int. J. Comput. Math. 2023, 100, 1512–1531. [Google Scholar] [CrossRef]
- Alhejaili, W.; Alzaben, L.; El-Tantawy, S.A. Modeling Fractional Dust-Acoustic Shock Waves in a Complex Plasma Using Novel Techniques. Fractal Fract. 2025, 9, 674. [Google Scholar] [CrossRef]
- Almuqrin, A.H.; Tiofack, C.G.L.; Mohamadou, A.; Alim, A.; Ismaeel, S.M.E.; Alhejaili, W.; El-Tantawy, S.A. On the “Tantawy Technique” and other methods for analyzing the family of fractional Burgers’ equations: Applications to plasma physics. Journal of Low Frequency Noise. Vib. Act. Control 2025, 44, 1323–1352. [Google Scholar] [CrossRef]
- El-Tantawy, S.A.; Bacha, S.I.H.; Khalid, M.; Alhejaili, W. Application of the Tantawy technique for modeling fractional ion-acoustic waves in electronegative plasmas having Cairns distributed-electrons, Part (I): Fractional KdV Solitary Waves. Braz. J. Phys. 2025, 55, 123. [Google Scholar] [CrossRef]
- El-Tantawy, S.A.; Alhejaili, W.; Khalid, M.; Al-Johani, A.S. Application of the Tantawy Technique for Modeling Fractional Ion-Acoustic Waves in Electronegative nonthermal Plasmas, Part (II): Fractional modifed KdV-Solitary Waves. Braz. J. Phys. 2025, 55, 176. [Google Scholar] [CrossRef]
- El-Tantawy, S.A.; Alhejaili, W.; Al-Johani, A.S. On the Tantawy technique for analyzing (in) homogeneous fractional physical wave equations. J. Supercomput. 2025, 81, 1377. [Google Scholar] [CrossRef]
- Ferdousi, M.; Miah, M.R.; Sultana, S.; Mamun, A.A. Dust-acoustic shock waves in an electron depleted nonextensive dusty plasma. Astrophys. Space Sci. 2015, 360, 43. [Google Scholar] [CrossRef]
- Das, S. Functional Fractional Calculus; Springer: Berlin/Heidelberg, Germany, 2011. [Google Scholar]
- Diethelm, K. The Analysis of Fractional Differential Equations; Springer: Berlin/Heidelberg, Germany, 2010. [Google Scholar]
- Sahu, B. Nonplanar ion acoustic waves in collisional quantum plasma. Physica A 2018, 509, 162–168. [Google Scholar] [CrossRef]
- Daftardar-Gejji, V.; Jafari, H. An iterative method for solving nonlinear functional equations. J. Math. Anal. Appl. 2006, 316, 753–763. [Google Scholar] [CrossRef]
- Jafari, H.; Nazari, M.; Baleanu, D.; Khalique, C.M. A new approach for solving a system of fractional partial differential equations. Comput. Math. Appl. 2013, 66, 838–843. [Google Scholar] [CrossRef]
- Hemeda, A.A. New Iterative Method: An Application for Solving Fractional Physical Differential Equations. Abstr. Appl. Anal. 2013, 2013, 617010. [Google Scholar] [CrossRef]





| x | |||||
|---|---|---|---|---|---|
| −80 | 0.00331344 | 0.00411461 | 0.00411298 | 0.00080117 | 0.000799539 |
| −70 | 0.0033332 | 0.0041272 | 0.00412556 | 0.000793995 | 0.00079236 |
| −60 | 0.00337894 | 0.00416033 | 0.00415868 | 0.000781386 | 0.000779738 |
| −50 | 0.00348059 | 0.00424433 | 0.00424265 | 0.000763736 | 0.000762055 |
| −40 | 0.00369336 | 0.00444516 | 0.0044434 | 0.000751801 | 0.000750043 |
| −30 | 0.00410201 | 0.00488403 | 0.0048821 | 0.00078202 | 0.000780092 |
| −20 | 0.00479964 | 0.00572529 | 0.00572303 | 0.000925647 | 0.000923393 |
| −10 | 0.00582243 | 0.00707416 | 0.00707138 | 0.00125173 | 0.00124895 |
| 0 | 0.00707193 | 0.00880524 | 0.00880178 | 0.00173331 | 0.00172985 |
| 10 | 0.00832126 | 0.0105357 | 0.0105315 | 0.00221441 | 0.00221027 |
| 20 | 0.00934364 | 0.0118831 | 0.0118784 | 0.00253946 | 0.00253477 |
| 30 | 0.0100408 | 0.012723 | 0.0127179 | 0.00268212 | 0.00267709 |
| 40 | 0.0104492 | 0.0131609 | 0.0131557 | 0.00271174 | 0.00270653 |
| 50 | 0.0106617 | 0.0133613 | 0.013356 | 0.00269952 | 0.00269422 |
| 60 | 0.0107633 | 0.013445 | 0.0134397 | 0.00268175 | 0.00267642 |
| 70 | 0.010809 | 0.0134781 | 0.0134727 | 0.0026691 | 0.00266376 |
| 80 | 0.0108287 | 0.0134906 | 0.0134853 | 0.00266191 | 0.00265656 |
| x | |||||
|---|---|---|---|---|---|
| −80 | 0.00235443 | 0.0036314 | 0.00361835 | 0.00127697 | 0.00126393 |
| −70 | 0.00237909 | 0.00364251 | 0.00362943 | 0.00126342 | 0.00125034 |
| −60 | 0.00242986 | 0.00367175 | 0.00365856 | 0.00124189 | 0.0012287 |
| −50 | 0.00253007 | 0.00374588 | 0.00373243 | 0.00121581 | 0.00120235 |
| −40 | 0.00271653 | 0.00392312 | 0.00390904 | 0.00120659 | 0.00119251 |
| −30 | 0.0030368 | 0.00431043 | 0.00429498 | 0.00127363 | 0.00125817 |
| −20 | 0.00353264 | 0.00505286 | 0.00503476 | 0.00152022 | 0.00150213 |
| −10 | 0.00420788 | 0.00624328 | 0.00622094 | 0.0020354 | 0.00201306 |
| 0 | 0.00500048 | 0.00777102 | 0.00774322 | 0.00277054 | 0.00274274 |
| 10 | 0.00579301 | 0.00929823 | 0.00926495 | 0.00350523 | 0.00347194 |
| 20 | 0.00646806 | 0.0104875 | 0.0104499 | 0.0040194 | 0.00398181 |
| 30 | 0.00696367 | 0.0112287 | 0.0111885 | 0.00426507 | 0.00422478 |
| 40 | 0.00728376 | 0.0116153 | 0.0115736 | 0.00433153 | 0.00428983 |
| 50 | 0.00747009 | 0.0117921 | 0.0117498 | 0.00432204 | 0.00427968 |
| 60 | 0.00757022 | 0.0118661 | 0.0118234 | 0.00429585 | 0.00425323 |
| 70 | 0.00762095 | 0.0118952 | 0.0118525 | 0.00427428 | 0.00423155 |
| 80 | 0.00764559 | 0.0119063 | 0.0118635 | 0.00426072 | 0.00421795 |
Disclaimer/Publisher’s Note: The statements, opinions and data contained in all publications are solely those of the individual author(s) and contributor(s) and not of MDPI and/or the editor(s). MDPI and/or the editor(s) disclaim responsibility for any injury to people or property resulting from any ideas, methods, instructions or products referred to in the content. |
© 2026 by the authors. Licensee MDPI, Basel, Switzerland. This article is an open access article distributed under the terms and conditions of the Creative Commons Attribution (CC BY) license.
Share and Cite
El-Tantawy, S.A.; Salas, A.H.; Albalawi, W.; Alharby, A.A.; Malaikah, H. On the Ansatz and Tantawy Techniques for Analyzing (Non)Fractional Nonplanar Kuramoto-Sivashinsky-Type Equations and Modeling Dust-Acoustic Shock Waves in a Complex Plasma–Part (II), Nonplanar Case. Fractal Fract. 2026, 10, 120. https://doi.org/10.3390/fractalfract10020120
El-Tantawy SA, Salas AH, Albalawi W, Alharby AA, Malaikah H. On the Ansatz and Tantawy Techniques for Analyzing (Non)Fractional Nonplanar Kuramoto-Sivashinsky-Type Equations and Modeling Dust-Acoustic Shock Waves in a Complex Plasma–Part (II), Nonplanar Case. Fractal and Fractional. 2026; 10(2):120. https://doi.org/10.3390/fractalfract10020120
Chicago/Turabian StyleEl-Tantawy, Samir A., Alvaro H. Salas, Wedad Albalawi, Ashwag A. Alharby, and Hunida Malaikah. 2026. "On the Ansatz and Tantawy Techniques for Analyzing (Non)Fractional Nonplanar Kuramoto-Sivashinsky-Type Equations and Modeling Dust-Acoustic Shock Waves in a Complex Plasma–Part (II), Nonplanar Case" Fractal and Fractional 10, no. 2: 120. https://doi.org/10.3390/fractalfract10020120
APA StyleEl-Tantawy, S. A., Salas, A. H., Albalawi, W., Alharby, A. A., & Malaikah, H. (2026). On the Ansatz and Tantawy Techniques for Analyzing (Non)Fractional Nonplanar Kuramoto-Sivashinsky-Type Equations and Modeling Dust-Acoustic Shock Waves in a Complex Plasma–Part (II), Nonplanar Case. Fractal and Fractional, 10(2), 120. https://doi.org/10.3390/fractalfract10020120

