Iterative Learning Fault Diagnosis of Fractional-Order Nonlinear Multi-Agent Systems with Initial State Learning and Switching Topology
Abstract
1. Introduction
- 1.
- 2.
- To synchronize with iterative learning, a novel state observer integrating real-time accurate estimation and fault diagnosis is designed. The observer-based protocol uses local information, adapts to topologies, and boosts fault diagnosis for the FONMASs.
- 3.
- Under the fault diagnosis framework of iterative learning, the contraction mapping method achieves fault diagnosis by constructing an fault observer, with rigorous convergence conditions and estimation consistency established under both fixed and iteration-varying topologies.
2. Preliminaries and Problem Statement
2.1. Graph Theory
2.2. System Description and Fault Observation
2.3. Iterative Learning for Fault Diagnosis of FONMAS
2.4. Design of Fault Estimator Based on Iterative Learning
2.5. Design of Initial Value Learning
3. Main Results on Fault Diagnosis
Fault Diagnosis of FONMASs with Fixed Topology
4. Fault Diagnosis of FONMASs with Switching Topology
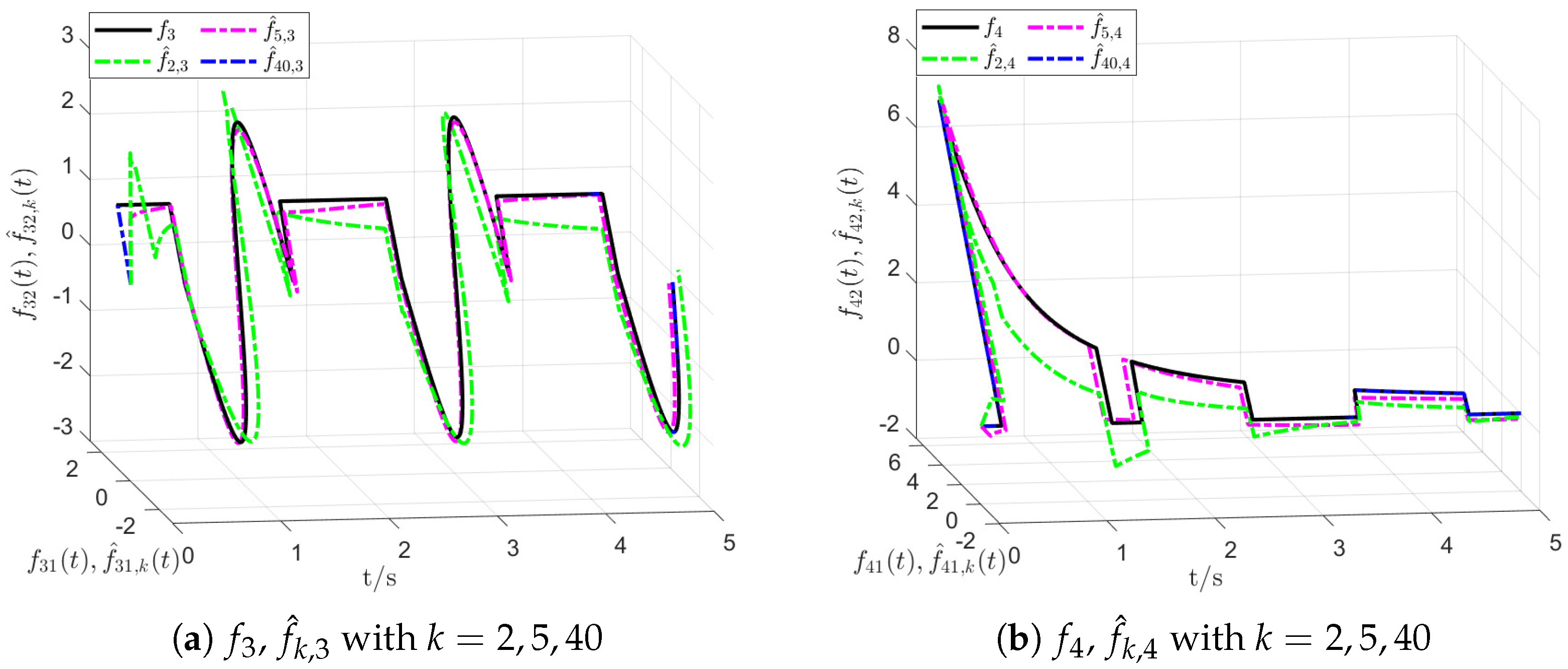
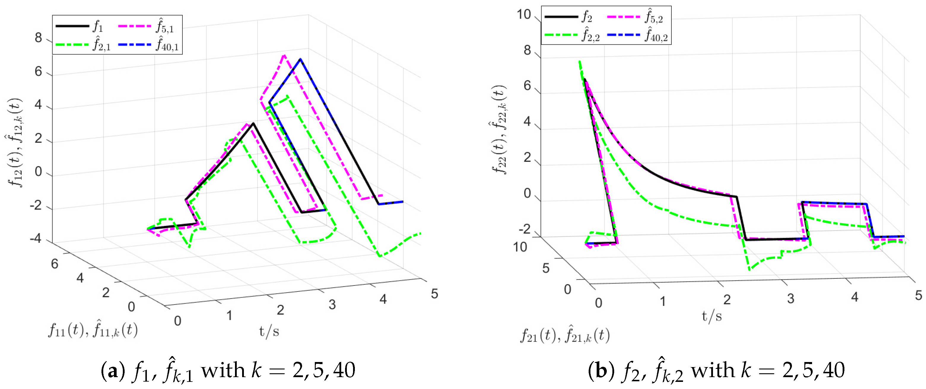
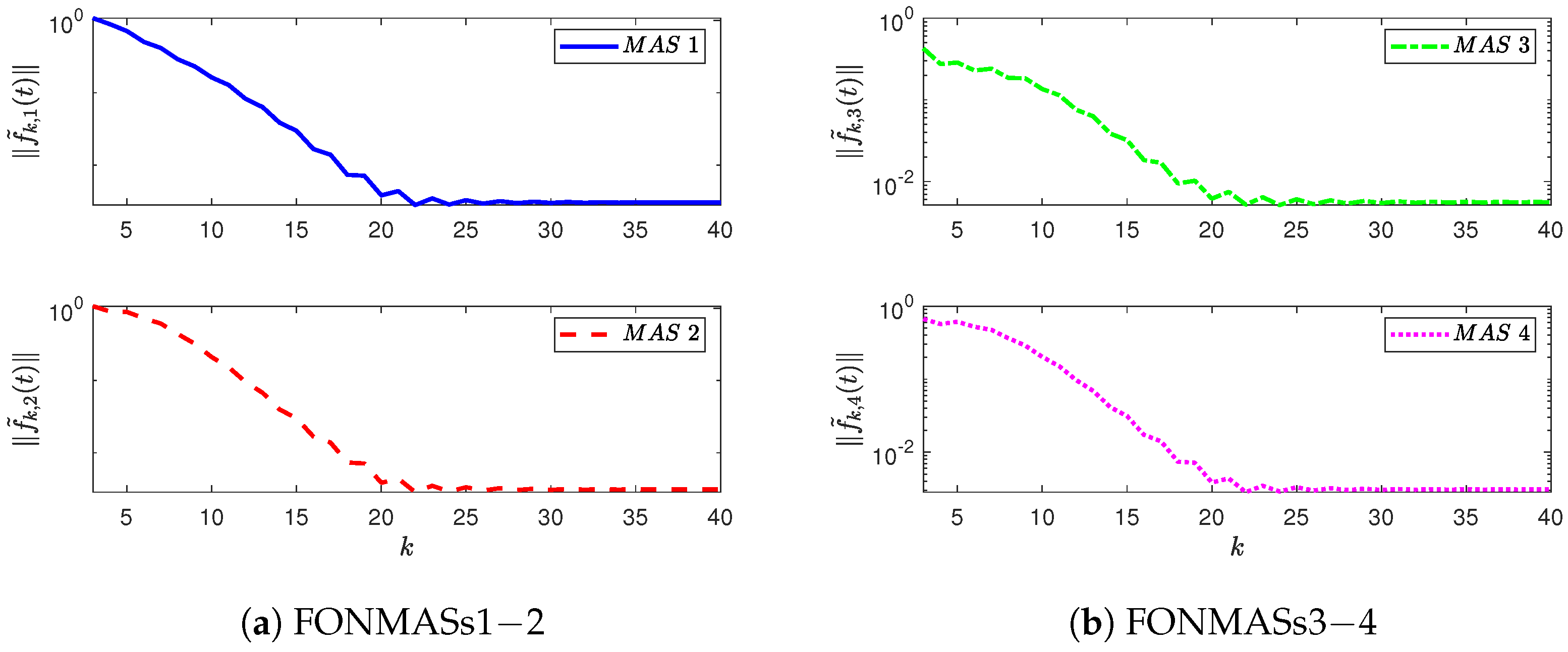
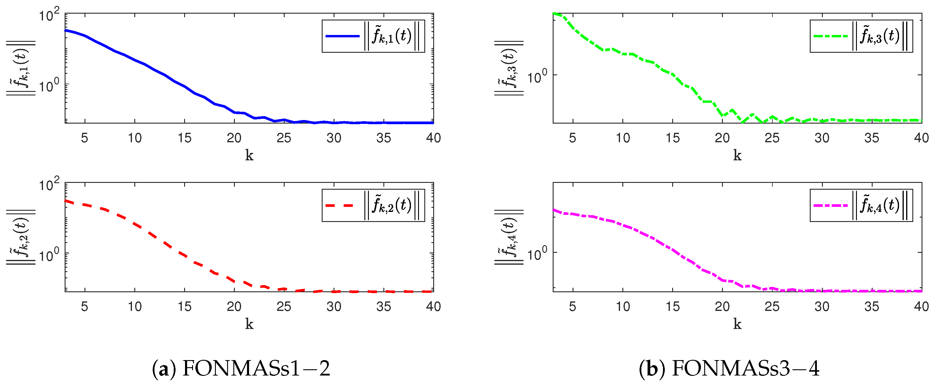
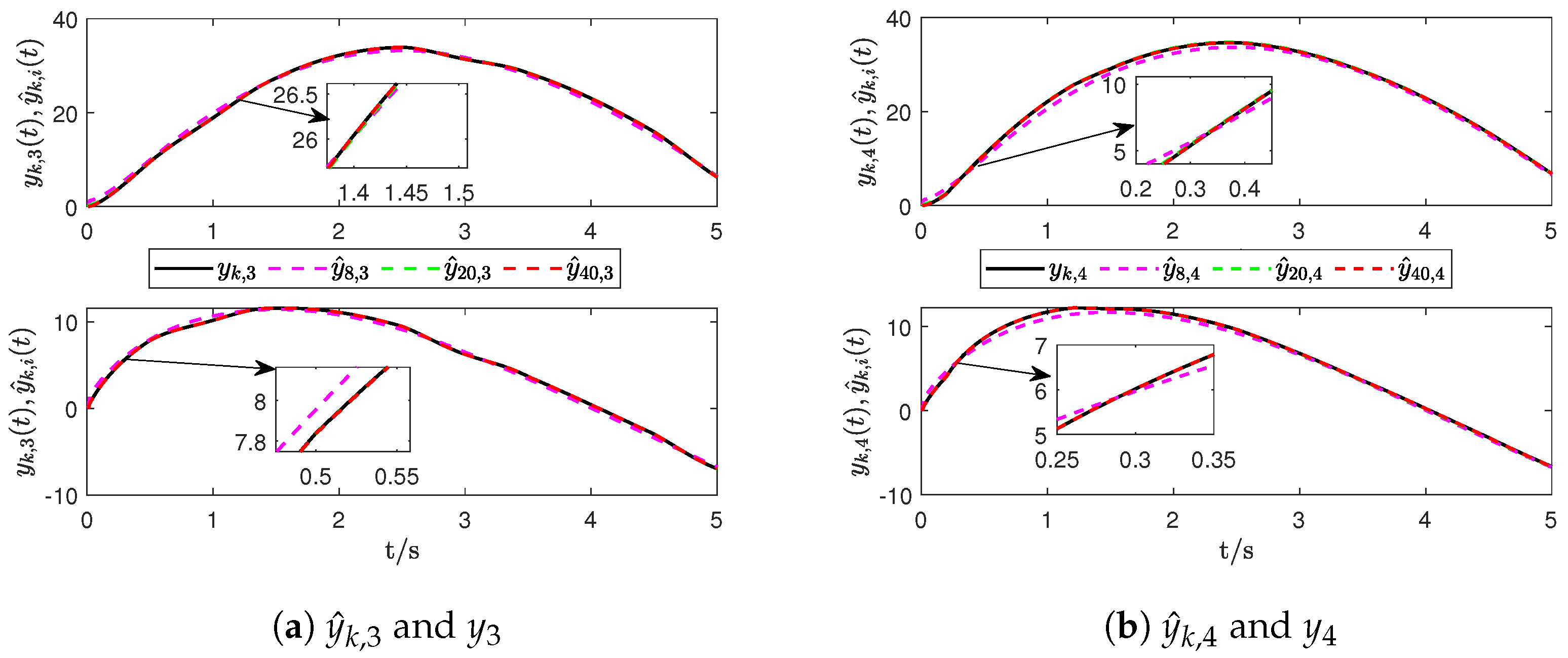
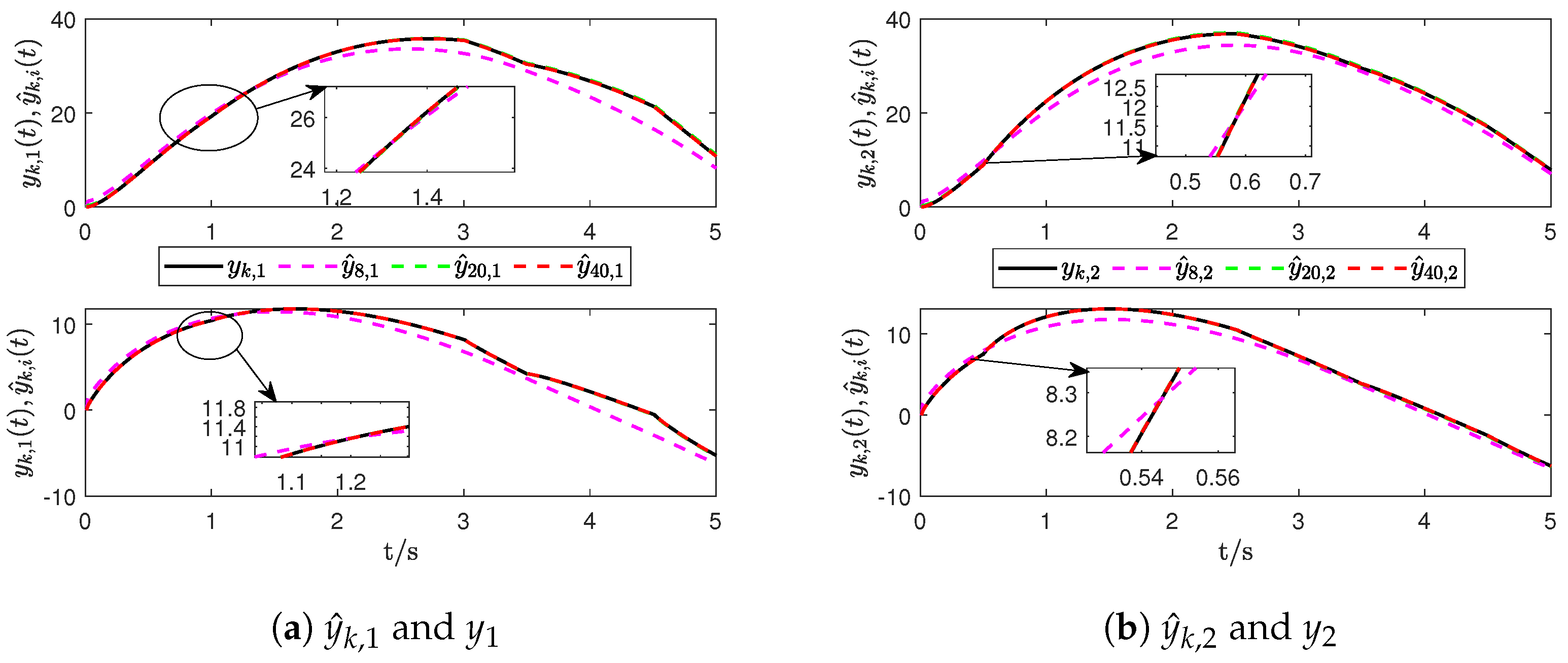
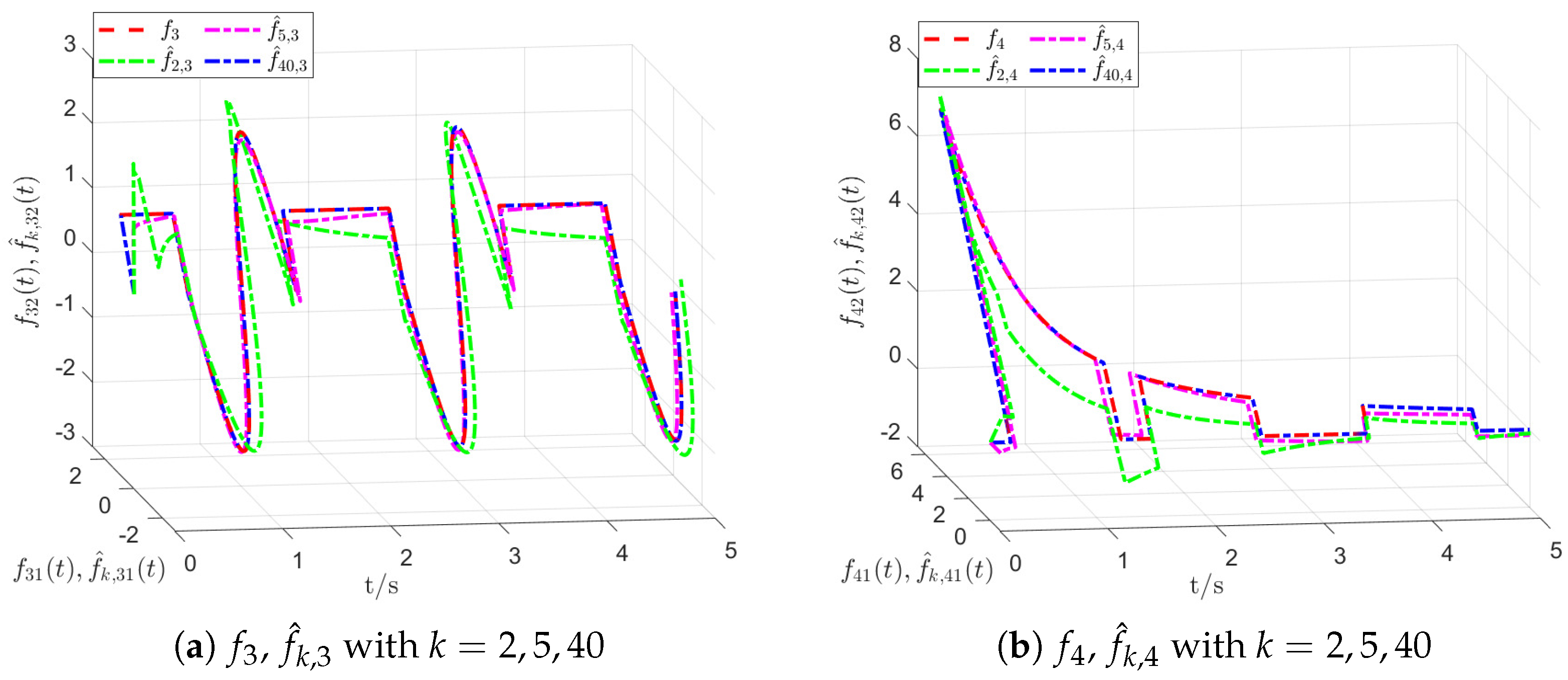
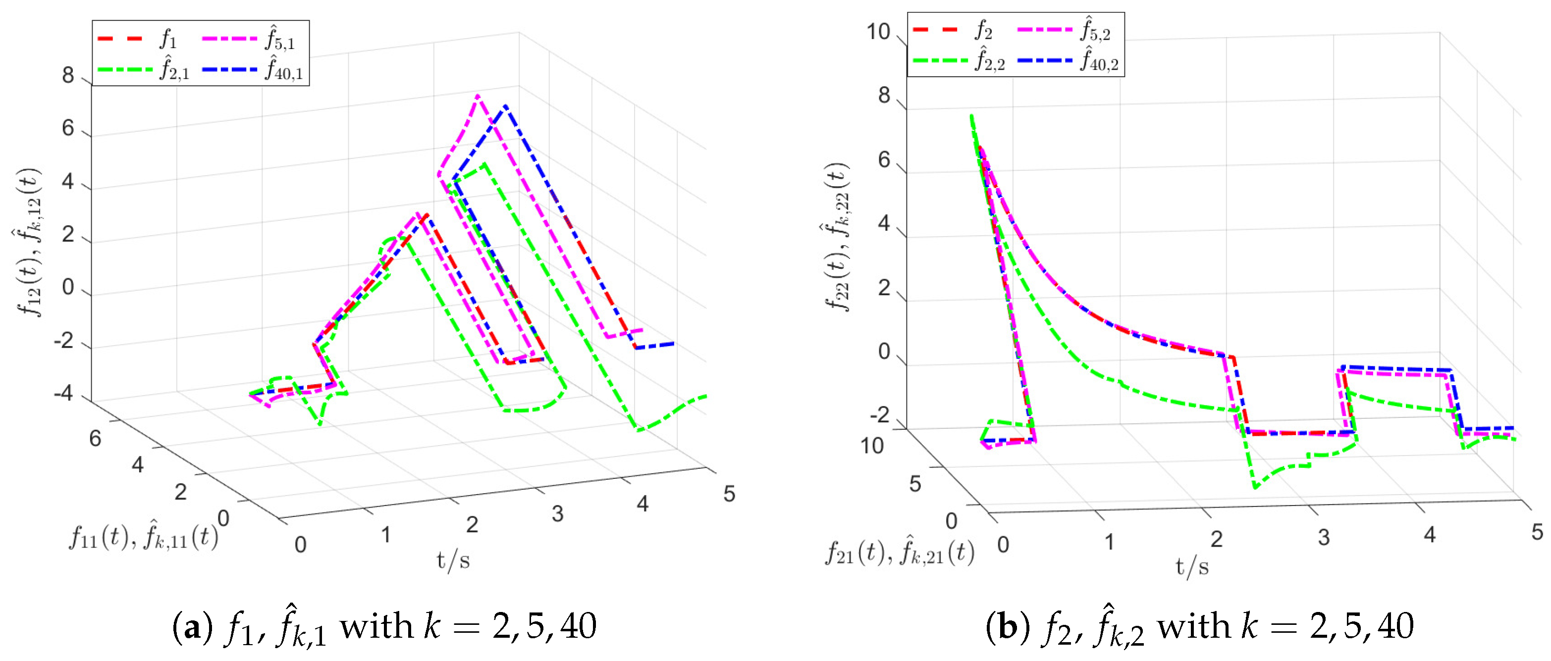
5. Numerical Simulation
6. Conclusions
Author Contributions
Funding
Data Availability Statement
Conflicts of Interest
References
- Mohamedhen, A.; Alfazi, A.; Arfaoui, N.; Ejbali, R.; Nanne, M.F. Towards multi-agent system for learning object recommendation. Heliyon 2024, 10, 39088. [Google Scholar] [CrossRef]
- Zhu, Q.; Ishiib, H. Introduction to the special section on learning and security for multi-agent systems. Annu. Rev. Control 2022, 53, 249–251. [Google Scholar] [CrossRef]
- Xu, H.; Chen, R.; Ni, X.; Wei, Y. Passivity of nabla fractional order systems and its application on distributed optimization. Commun. Nonlinear Sci. Numer. Simul. 2025, 146, 108747. [Google Scholar] [CrossRef]
- Anil, G.; Martinez-Hernandez, U. Safe multi-channel communication for human–robot collaboration. Robot. Comput. Integr. Manuf. 2026, 97, 103109. [Google Scholar]
- Gouda, B.; Panigrahi, T.; Das, S.; Panda, M.; Cenkeramaddi, L.R. Distributed fault detection in sparse wireless sensor networks utilizing simultaneous likelihood ratio statistics. Pervasive Mob. Comput. 2025, 110, 102043. [Google Scholar] [CrossRef]
- Yang, H.; Zhu, X.; Cao, K. Distributed coordination of fractional order multi-agent systems with communication delays. Fract. Calc. Appl. Anal. 2014, 17, 23–37. [Google Scholar] [CrossRef]
- Olayiwola, M.; Abiodun, O. Caputo fractional-order model formulation of tuberculosis epidemics incorporating consciousness effects via the laplace–adomian decomposition method with adjusted initial condition. Discov. Appl. Sci. 2025, 7, 1162. [Google Scholar] [CrossRef]
- Zoubaa, Y.; Chouiekh, S.; Bakri, A.; Sefriti, S.; Boumhidi, I. Novel full fractional-order control and Lyapunov stability approach using genetic algorithm optimization for high-performance wind turbines. Comput. Electr. Eng. 2025, 128, 110658. [Google Scholar] [CrossRef]
- Dai, D.; Li, X.; Li, Z.; Zhang, W.; Wang, Y. Numerical simulation of the fractional-order lorenz chaotic systems with caputo fractional derivative. CMES Comput. Model. Eng. Sci. 2022, 135, 1371–1392. [Google Scholar]
- Khalil, M.M.; Ur Rehman, S.; Ali, A.H.; Nawaz, R.; Batiha, B. New modifications of natural transform iterative method and q-homotopy analysis method applied to fractional order KDV-Burger and Sawada–Kotera equations. Partial. Differ. Equations Appl. Math. 2024, 12, 100950. [Google Scholar] [CrossRef]
- Smith, R.; Alleyne, A. Set-to-set iterative learning control. Automatica 2025, 179, 112422. [Google Scholar] [CrossRef]
- Hwang, D.; Bien, Z.; Oh, S. Iterative learning control method for discrete-time dynamic systems. IEEE Proc. D Control Theory Appl. 1991, 138, 139. [Google Scholar] [CrossRef]
- Yang, S.; Xu, J.; Li, X. Iterative learning control with input sharing for multi-agent consensus tracking. Syst. Control Lett. 2016, 94, 97–106. [Google Scholar] [CrossRef]
- Xu, K.; Meng, B.; Wang, Z. Design of data-driven mode-free iterative learning controller based higher order parameter estimation for multi-agent systems consistency tracking. Knowl.-Based Syst. 2023, 261, 110221. [Google Scholar] [CrossRef]
- Cao, W.; Qiao, J. Piecewise Iterative learning control for linear motors under random initial position. J. Frankl. Inst. 2025, 362, 107578. [Google Scholar] [CrossRef]
- Liu, Y.; Fan, Y.; Jia, Y. Iterative learning formation control for continuous-time multi-agent systems with randomly varying trial lengths. J. Frankl. Inst. 2020, 357, 9268–9287. [Google Scholar] [CrossRef]
- Wang, C.; Zhou, Z. Distributed iterative learning consensus tracking for singular partial differential multi-agent systems under fixed and iteration-varying topologies. J. Frankl. Inst. 2024, 361, 107030. [Google Scholar] [CrossRef]
- Zhang, Z.; Zou, Q. Data-driven robust iterative learning control of linear systems. Automatica 2024, 164, 111646. [Google Scholar] [CrossRef]
- Zhao, G.; Cui, H.; Hua, C. Hybrid event-triggered bipartite consensus control of multiagent systems and application to satellite formation. IEEE Trans. Autom. Sci. Eng. 2023, 20, 1760–1771. [Google Scholar] [CrossRef]
- Tao, H.; Chen, D.; Yang, H. Iterative learning fault diagnosis algorithm for non-uniform sampling hybrid system. IEEE/CAA J. Autom. Sin. 2017, 4, 534–542. [Google Scholar] [CrossRef]
- Jiang, Z.; Yang, B.; Zheng, R.; Hou, Y.; Li, H.; Gao, D.; Guo, Z.; Jiang, L. Fault diagnosis of proton exchange membrane fuel cell using multiple convolutional neural networks with multi-scale attention mechanism. Inf. Sci. 2025, 720, 122524. [Google Scholar] [CrossRef]
- Wang, X.; Zhou, Y.; Liu, M. Active fault tolerant control based on adaptive iterative learning observer against time-varying faults in thrusters of autonomous underwater vehicle. Ocean. Eng. 2025, 331, 121266. [Google Scholar] [CrossRef]
- Fu, W. Frequency-domain-based nonlinear normalized iterative learning control for three-dimensional ball screw drive systems. ISA Trans. 2025, 157, 224–232. [Google Scholar]
- Tian, J.; Yu, Y.; Karimi, H.; Gao, F.; Lin, J. A continual test-time domain adaptation method for online machinery fault diagnosis under dynamic operating conditions. Neural Netw. 2026, 194, 108192. [Google Scholar] [CrossRef]
- Qi, Y.; Qu, Z.; Shen, D. Iterative learning control for performance-driven switched systems under all unknown channel gains. Automatica 2026, 183, 112607. [Google Scholar] [CrossRef]
- Zhang, S.; Li, X.; Li, X. Efficient iterative learning model predictive control for uncertain nonlinear discrete-time systems. Automatica 2025, 177, 112306. [Google Scholar] [CrossRef]
- Wei, X.; Liu, X.; Yang, J.; Liu, T. Exponential stability analysis of discrete-time almost periodic piecewise nonlinear systems. Nonlinear Anal. Hybrid Syst. 2026, 59, 101642. [Google Scholar] [CrossRef]
- Gao, K.; Lu, J.; Zhou, Y.; Gao, F. A computationally efficient policy optimization scheme in feedback iterative learning control for nonlinear batch process. Comput. Chem. Eng. 2025, 195, 109005. [Google Scholar] [CrossRef]
- Bin, C.; Zheng, J.; Bing, C. Distributed data-driven iterative learning control for consensus tracking. IFAC Pap. Online 2023, 56, 1045–1050. [Google Scholar]
- Chen, S.; Christopher, T. A decentralised iterative learning control framework for collaborative tracking. Mechatronics 2022, 72, 102465. [Google Scholar] [CrossRef]
- Ye, X.; Wen, B.; Zhang, H.; Xue, F. Leader-following consensus control of multiple nonholonomic mobile robots: An iterative learning adaptive control scheme. J. Frankl. Inst. 2022, 359, 1018–1040. [Google Scholar] [CrossRef]
- Zhang, J.; Zhu, Y.; Yang, R.; Zhou, D. Nonrepetitive fault estimation for continuous-time switched systems via iterative learning observer with current feedback. ISA Trans. 2024, 7, 71. [Google Scholar] [CrossRef]
- Huang, F.; Han, W.; Li, X.; Deng, X.; Jiang, W. Reducing the estimation bias and variance in reinforcement learning via maxmean and aitken value iteration. Eng. Appl. Artif. Intell. 2025, 162, 112502. [Google Scholar] [CrossRef]
- Zhang, L.; Hu, J.; Liang, P.; Xu, X.; Li, G.; Xie, Z.; Wang, S. Physically interpretable Stockwell weight initialization and adaptive fusion average threshold for intelligent fault diagnosis of rolling bearing under noisy environment. Eng. Appl. Artif. Intell. 2025, 160, 111916. [Google Scholar] [CrossRef]
- Chen, W. Fuzzy nonlinear unknown input observer design with fault diagnosis applications. J. Vib. Control 2010, 16, 377–401. [Google Scholar] [CrossRef]
- Jayaswal, P. Development of EBP-artificial neural network expert system for rolling element bearing fault diagnosis. J. Vib. Control 2011, 17, 1131–1148. [Google Scholar] [CrossRef]
- Carvalho-Neto, P.; Júnior, R. The riemann-liouville fractional integral in bochner-lebesgue spaces III: An iterative learning adaptive control scheme. J. Math. Anal. Appl. 2025, 543, 129023. [Google Scholar] [CrossRef]
- Lan, Y. Iterative learning control with initial state learning for fractional order nonlinear systems. Comput. Math. Appl. 2012, 64, 3120–3126. [Google Scholar] [CrossRef]
- Gu, P.; Tian, S. Analysis of iterative learning control for one-sided lipschitz nonlinear singular systems. J. Frankl. Inst. 2019, 35, 196–208. [Google Scholar] [CrossRef]
- Bu, X.; Ma, W.; Yin, Y. Event-triggered iterative learning formation control for a class of nonlinear multi-agent systems under deception attack. Asian J. Control 2025, 1002, 3675. [Google Scholar] [CrossRef]
- Bu, X.; Yu, F.; Hou, Z.; Wang, F. Iterative learning control for a class of nonlinear systems with random packet losses. Nonlinear Anal. Real World Appl. 2013, 14, 567–580. [Google Scholar] [CrossRef]
- Xu, X.; Chen, J.; Lu, J. Fractional-order iterative learning control for fractional-order systems with initialization non-repeatability. ISA Trans. 2023, 143, 271–285. [Google Scholar] [CrossRef] [PubMed]













Disclaimer/Publisher’s Note: The statements, opinions and data contained in all publications are solely those of the individual author(s) and contributor(s) and not of MDPI and/or the editor(s). MDPI and/or the editor(s) disclaim responsibility for any injury to people or property resulting from any ideas, methods, instructions or products referred to in the content. |
© 2026 by the authors. Licensee MDPI, Basel, Switzerland. This article is an open access article distributed under the terms and conditions of the Creative Commons Attribution (CC BY) license.
Share and Cite
Ma, J.; Xu, X.; Wang, G.; Cai, S.; Zhou, X.; Zhang, S. Iterative Learning Fault Diagnosis of Fractional-Order Nonlinear Multi-Agent Systems with Initial State Learning and Switching Topology. Fractal Fract. 2026, 10, 106. https://doi.org/10.3390/fractalfract10020106
Ma J, Xu X, Wang G, Cai S, Zhou X, Zhang S. Iterative Learning Fault Diagnosis of Fractional-Order Nonlinear Multi-Agent Systems with Initial State Learning and Switching Topology. Fractal and Fractional. 2026; 10(2):106. https://doi.org/10.3390/fractalfract10020106
Chicago/Turabian StyleMa, Junjie, Xiaoxiao Xu, Guangxu Wang, Shuai Cai, Xingyu Zhou, and Shuyu Zhang. 2026. "Iterative Learning Fault Diagnosis of Fractional-Order Nonlinear Multi-Agent Systems with Initial State Learning and Switching Topology" Fractal and Fractional 10, no. 2: 106. https://doi.org/10.3390/fractalfract10020106
APA StyleMa, J., Xu, X., Wang, G., Cai, S., Zhou, X., & Zhang, S. (2026). Iterative Learning Fault Diagnosis of Fractional-Order Nonlinear Multi-Agent Systems with Initial State Learning and Switching Topology. Fractal and Fractional, 10(2), 106. https://doi.org/10.3390/fractalfract10020106

