Next Article in Journal
Analysis of Stability and Quasi-Synchronization in Fractional-Order Neural Networks with Mixed Delays, Uncertainties, and External Disturbances
Next Article in Special Issue
Novel Criterion on Finite-Time Stability of Fractional-Order Time Delay Human Balancing Systems
Previous Article in Journal
Advanced Hermite-Hadamard-Mercer Type Inequalities with Refined Error Estimates and Applications
Previous Article in Special Issue
A New Laplace-Type Transform on Weighted Spaces with Applications to Hybrid Fractional Cauchy Problems
 
 
Font Type:
Arial Georgia Verdana
Font Size:
Aa Aa Aa
Line Spacing:
Column Width:
Background:
Article

Fractional Modelling of Hereditary Vibrations in Coupled Circular Plate System with Creep Layers

by
Julijana Simonović
Department of Theoretical and Applied Mechanics, Faculty of Mechanical Engineering, University of Niš, A. Medvedeva 14, 18000 Niš, Serbia
Fractal Fract. 2026, 10(1), 72; https://doi.org/10.3390/fractalfract10010072
Submission received: 26 December 2025 / Revised: 15 January 2026 / Accepted: 20 January 2026 / Published: 21 January 2026

Abstract

This paper presents an analytical model for the hereditary vibrations of a coupled circular plate system interconnected by viscoelastic creep layers. The system is represented as a discrete-continuous chain of thin, isotropic plates with time-dependent material properties. Based on the theory of hereditary viscoelasticity and D’Alembert’s principle, a system of partial integro-differential equations is derived and reduced to ordinary integro-differential equations using Bernoulli’s method and Laplace transforms. Analytical expressions for natural frequencies, mode shapes, and time-dependent response functions are obtained. The results reveal the emergence of multi-frequency vibration regimes, with modal families remaining temporally uncoupled. This enables the identification of resonance conditions and dynamic absorption phenomena. The fractional parameter serves as a tunable damping factor: lower values result in prolonged oscillations, while higher values cause rapid decay. Increasing the kinetic stiffness of the coupling layers raises vibration frequencies and enhances sensitivity to hereditary effects. This interplay provides deeper insight into dynamic behavior control. The model is applicable to multilayered structures in aerospace, civil engineering, and microsystems, where long-term loading and time-dependent material behavior are critical. The proposed framework offers a powerful tool for designing systems with tailored dynamic responses and improved stability.

1. Introduction

Discrete-continuous systems with creeping properties are an important part of modern mechanics, especially in multilayer sandwich and chain structures composed of isotropic circular plates. These systems are of special interest because they enable modeling of real engineering constructions subjected to long-term loads and time-dependent deformations known as creep. Creep, as a time-dependent deformation of materials under constant load, is especially pronounced at elevated temperatures and under prolonged exploitation, making it a key phenomenon in fields such as energy, civil engineering, aerospace, and microengineering.
This paper models a system of circular plates interconnected by viscoelastic creep layers. The analysis is based on the theory of partial differential equations with fractional-order derivatives, which allow for a more precise description of hereditary material behavior and time-dependent deformations and oscillations. This approach enables the identification of multi-frequency oscillation regimes and potential resonant states, which is crucial for the design of stable and durable structures.
The theoretical framework of this study builds upon the results of Hedrih, who developed models of transverse oscillations of multilayer systems with creeping layers. In her 2005 paper, she demonstrated how fractional partial differential equations can describe the oscillations of circular plates with creeping properties, with time functions expressed as series, allowing for detailed analysis of multi-frequency modes [1]. In another 2005 study, she analyzed a system of two coupled plates using Laplace transformation and the method of eigenfunctions to separate temporal and spatial components of the solution [2]. These results were further extended in later works, introducing the concept of hybrid systems with fractional damping [3] and analyzing dynamic absorption and resonance phenomena in multilayer systems [4]. In a magister’s science thesis by Simonović (2008), these models were further numerically analyzed and visualized, enabling deeper understanding of the influence of creep and stiffness parameters on system behavior [5].
Recent studies further confirm the relevance of such models. Huang et al. (2024) developed a three-dimensional anisotropic creep model for layered rock masses, showing that layering and orientation significantly affect the rate and shape of creep, which is directly applicable to the analysis of sandwich structures with layers of different rheological properties [6]. Harapin et al. (2024) emphasized that long-term effects such as creep, shrinkage, and aging can lead to serious structural damage if not considered during design, highlighting the need for precise models like the one developed in this paper [7]. Zhang et al. (2025) used multiscale simulations to analyze creep in aluminum alloys, demonstrating how microstructural changes influence macroscopic behavior, which can be directly related to the behavior of interlayers in multilayer systems [8]. Additionally, recent studies have expanded the application of fractional models to biomechanics and piezoelectric materials. In the work by Hedrih and Hedrih [9], Burgers–Faraday rheological models with fractional derivatives were developed, while ref. [10] presents a new class of complex material models with piezoelectric properties, based on fractional-order constitutive relations.
Classical approaches to hereditary materials, such as those developed by Rabotnov [11], laid the foundation for modern viscoelastic models by introducing integral constitutive relations that account for time-dependent material behavior. His pioneering work on creep phenomena emphasized the role of memory effects in structural elements under long-term loading, providing a rigorous mathematical framework for hereditary mechanics. Building on this foundation, the modern theory of fractional calculus has evolved significantly. Machado et al. [12] provided a comprehensive historical overview, highlighting how fractional derivatives transitioned from mathematical abstraction to essential tools in modeling complex systems with non-local and memory-dependent behavior. Their work underscores the applicability of fractional operators in viscoelasticity, anomalous diffusion, and control theory. Kiryakova [13,14] contributed to the development of generalized fractional operators and their connections to special functions and integral transforms, enriching the analytical methods available for solving fractional differential equations. Her research has been instrumental in formalizing the mathematical structure of fractional models. Herrmann [15] offered a physicist’s perspective, demonstrating how fractional calculus can be applied to classical and quantum mechanics, damping models, and wave propagation. His work on fractional harmonic oscillators and fractional Schrödinger equations reveals new dynamic regimes and spectral properties, making fractional models more interpretable and physically grounded. Together, these contributions form a robust theoretical and applied framework that supports the use of fractional calculus in modeling hereditary vibrations. They provide mathematical and physical justification for the fractional-order operators employed in this study, enabling accurate prediction and control of complex oscillatory behavior in layered viscoelastic systems.
In addition to the foundational works by Hedrih and related studies [1,2,3,4,5,8,9], this research draws on recent advances in layered viscoelastic systems-such as computational and analytical modeling of composite sandwich structures with viscoelastic interlayers [16], spectrum-based analyses encompassing linear and non-linear vibrating plates [17], material characterization via Dynamic Mechanical Analysis (DMA) [18], and advanced foundation damping models in functionally graded beams [19]. Furthermore, Nešić et al. [20] investigated nonlinear vibrations of nonlocal functionally graded beams on fractional visco-Pasternak foundations, combining fractional damping with nonlocal elasticity. While these studies provide valuable insights into damping mechanisms and structural optimization, they are either limited to simplified geometries, rely on numerical approximations, or focus on single-beam or sandwich configurations. In contrast, the present work introduces a generalized analytical framework for an arbitrary number of circular plates interconnected by hereditary viscoelastic layers, derives closed-form determinant-based spectral solutions, and demonstrates temporal decoupling of modal families. This approach not only captures fractional-order hereditary effects with mathematical rigor but also enables systematic control of dynamic responses in multilayer systems, extending the applicability of fractional models beyond previously explored configurations.
In addition to analytical approaches, contemporary studies [21,22,23] often employ numerical and semi-analytical methods—such as finite element modeling [21,22], spectral element techniques, semi-analytical finite element (SAFE) methods, and hybrid computational schemes [23] to analyze layered viscoelastic plates. These methods offer flexibility for complex geometries and heterogeneous materials but typically require significant computational resources and do not provide closed-form solutions. In contrast, the analytical framework developed in this paper yields explicit expressions for natural frequencies, mode shapes, and time-dependent responses, offering deeper theoretical insight and serving as a benchmark for validating numerical models. This distinction highlights the complementary role of analytical methods in advancing the understanding and optimization of multilayer systems with hereditary behavior. The model developed in this paper has broad applications in the design of sandwich structures in aerospace and civil engineering, vibration analysis in micromechanical systems, design of materials with controlled creep properties, and safety assessment of structures exposed to environmental and thermal changes. By employing fractional models and analytical methods, this study contributes to the understanding of complex dynamic behaviors in multilayer systems and opens possibilities for their optimization in real engineering applications. The main objective of this study is to develop an analytical fractional-order model for hereditary vibrations in a coupled circular plate system interconnected by viscoelastic creep layers. Unlike previous works that focused on single plates or simplified coupling, this research introduces a generalized framework for multi-plate systems with fractional damping, enabling precise prediction of multi-frequency vibration regimes and resonance phenomena. The original contribution lies in formulating and solving a system of integro-differential equations using Bernoulli’s method and Laplace transforms, providing closed-form expressions for natural frequencies, mode shapes, and time-dependent responses. Importantly, these equations are developed and solved in the time domain to describe the oscillatory behavior of the plate system. Similar equations, when multiplied by different amplitude (shape) modes, can be applied to plates of various geometries or boundary conditions coupled through the same creep layers. Therefore, this work offers a generalized theoretical framework that extends beyond circular plates, making it significant for both practical applications and educational purposes in advanced mechanics. This approach provides a novel tool for designing multilayer structures with controlled dynamic behavior, which is essential for aerospace, civil engineering, and microsystem applications. The novelty of this study lies in several key aspects that extend beyond previous research on coupled creeping plates. First, the model introduces a generalized formulation for an arbitrary number of plates (M-plate system), whereas earlier works primarily addressed two-plate configurations or elastic chains. Second, the framework incorporates fractional damping to capture hereditary viscoelastic effects with greater accuracy. Third, the derived solutions reveal that modal families remain temporally uncoupled, a property not emphasized in prior models, allowing independent control of vibration modes. Finally, the analytical determinant representation developed here enables spectral analysis for systems of any size, contrasting with earlier approaches limited to simplified configurations. These innovations collectively advance the theoretical foundation and practical applicability of fractional viscoelastic modeling in multilayer structures.

2. Models of Circular Plate Creeping Chain System

In this chapter, we present a physical model of a discrete-continuous chain system, structured as a sandwich configuration composed of circular plates. These plates are made of materials with time-dependent (creeping) properties and are interconnected by viscoelastic interlayers that also exhibit creep behavior. The model captures the essential mechanical characteristics of both the plate materials and the coupling layers, allowing for a realistic representation of the system’s dynamic response under long-term loading.
To this physical configuration, we associate a corresponding mathematical model that describes the transverse oscillations of the system. The model is formulated using partial integro-differential equations that incorporate fractional-order derivatives, reflecting the hereditary nature of the materials involved. Analytical methods are proposed for solving the model equations, enabling the study of the system’s dynamic behavior and the identification of key parameters influencing its stability and resonance characteristics.
As an example of a discrete-continuous, homogeneous, ideally creeping chain system—or a sandwich structure composed of elements connected by ideally creeping hereditary components—we consider a system of M circular plates made of a homogeneous and isotropic material with creep properties. The thicknesses of the plates denoted h i , for i = 1 , 2 M are small compared to the other two dimensions. In such a homogeneous and isotropic creeping material, the creep coefficients are equal in all directions, i.e., α x = α y = α , as are the elastic moduli for short-term and long-term loading: E 0 x = E 0 y = E 0   and E α x = E α y = E α . The short-term and long-term stiffness coefficients of the creeping interlayer are denoted by c and c α , respectively, where α 0 , 1 is the parameter characterizing the creep behavior of the layer.
The plates are of constant thickness along the axis direction and have parallel contours (Figure 1). They are connected by creeping interlayers with uniformly distributed surface stiffnesses and are subjected to a uniformly distributed external continuous load applied over the corresponding surfaces of the plates.
Using assumptions similar to those for two elastic circular plates—thin plates, no warping, and small deflections—the established theory and D’Alembert’s principle are applied to formulate partial integro-differential equations governing transverse oscillations. The coordinate systems, with parallel corresponding axes, are assumed to be placed at the centroids of the plates, such that the coordinate planes coincide with their mid-surfaces, and the vertical axis is directed downward (Figure 1). The approach is based on the methodology presented in [1,2,5], adapted here for a system of circular plates. We assume that all plates have the same contour and identical boundary conditions, with flat mid-surfaces in the undeformed state. The assumptions that the plates are thin, isotropic, and circular were adopted to enable analytical tractability and closed-form solutions. The thin plate assumption allows the use of classical plate theory, which is valid when thickness is small compared to other dimensions; for thicker plates, the same fractional framework can be extended using higher-order theories. Isotropy simplifies stiffness and creep parameters to uniform values, but the model can incorporate anisotropic or composite materials by introducing directional stiffness coefficients, as demonstrated in recent studies on layered systems. Circular geometry was chosen because its eigenfunctions and boundary conditions are well-established, facilitating analytical solutions. However, the governing integro-differential equations and fractional operators are formulated in a general form, meaning that by replacing amplitude (shape) functions, the approach can be applied to plates of different geometries and boundary conditions. Therefore, while these assumptions simplify the initial model, they do not limit its generalizability; the framework remains adaptable to more complex configurations, making it relevant for a wide range of engineering applications.
The mathematical model of the described physical system includes a governing system of partial integro-differential equations that describe the transverse oscillations of the mid-plane points of the plates, denoted as w i r , φ , t , for i = 1 , 2 , , M , is:
2 w 1 r , φ , t t 2 + c 1 4 1 + κ α D t α Δ Δ w 1 r , φ , t a 1 2 1 + κ α c D t α w 2 r , φ , t w 1 r , φ , t = q ~ 1 r , φ , t 2 w i r , φ , t t 2 + c i 4 1 + κ α D t α Δ Δ w i r , φ , t + a i 2 1 + κ α c D t α 2 w i r , φ , t w i 1 r , φ , t w i + 1 r , φ , t = q ~ i r , φ , t i = 2 , M 1 , 2 w M r , φ , t t 2 + c M 4 1 + κ α D t α Δ Δ w M r , φ , t + a M 2 1 + κ α c D t α w M r , φ , t w M 1 r , φ , t = q ~ M r , φ , t .
Following the theoretical fractional strain derivatives from [15,24,25,26] the operator D t α ε t with fractional derivatives α 0 , 1 is defined as follows:
D t α ε t = 1 Γ 1 α d d t 0 t ε τ t τ α d τ ,
Dimensionless parameters from system of Equation (1) are:
c i 4 = D i ρ i h i = E 0 h 3 12 ρ h 1 μ 2 = c 0 4 the known reduced values of the bending stiffnesses of the plates;
a i 2 = c ρ h = a 0 2 the reduced stiffnesses of the interlayer;
κ α = E α E 0 the ratios of the elastic moduli under short-term and long-term loading of the plate and
κ α c = c α c the interlayer stiffness ratio.
The governing system (1) is adopted because it accurately represents the physical configuration of a discrete–continuous chain of circular plates interconnected by hereditary viscoelastic layers. This formulation enables the separation of spatial and temporal components and captures the essential coupling effects under long-term loading, consistent with the principles of hereditary mechanics introduced by Rabotnov [11] and extended in fractional viscoelastic models [1,2,3,4,9]. The fractional operator in (2) follows the Riemann–Liouville definition, which is widely used in viscoelasticity and hereditary systems due to its ability to model memory-dependent behavior and provide compatibility with Laplace transform techniques [12,13,14,15]. Compared to alternative definitions, this form ensures rigorous mathematical treatment and facilitates analytical solutions for complex oscillatory regimes.
The system (1) is solved using Bernoulli’s method of particular integrals [1,2,5]. The solutions is assumed in the form of a product of two functions w i n m r , φ , t = W i n m r , φ T i n m t , one being the eigen amplitude function depending on the spatial coordinates W i n m r , φ , and the unknown time-dependent functions T i n m t , for any plate in system i = 1 , 2 , , M . The eigen numbers n = 0 , 1 , 2 , ; m = 1 , 2 , 3 , 4 , corresponds to the eigen amplitude functions of free plate oscillations derived in paper [27]. To simplify the governing system of partial integro-differential equations, we separate spatial and temporal components using Bernoulli’s method. This reduction transforms the PDEs into ordinary integro-differential equations with respect to time-dependent functions, enabling analytical treatment of hereditary effects. By substituting the assumed solution into the system of Equation (1) and performing an analysis through the two-plate system [27], this system of partial differential equations is reduced to a system of ordinary integro-differential equations with respect to the time-dependent functions:
T ¨ i t + ω i 2 1 + κ ~ α i D t α T i t = 0 ,
And a system of differential equations with respect to the eigen amplitude functions:
Δ Δ W i r , ϕ k i 4 W i r , ϕ = 0 ,
where the eigen circular frequencies are given by expressions
ω i 2 = k i 4 c i 4 + a i 2 = k i 4 D i ρ i h i + c ρ i h i = k i 4 E i h i 2 12 ρ i 1 μ 2 + c ρ i h i ,   for   i = 1 , 2 , , M ,
ω i α n m 2 = κ ~ i α n m ω i n m 2 = k n m 4 κ α c i 4 + a i 2 κ i α c   for   n , m = 1 , 2 , 3 , 4 , .
As shown in [1,2,5,27], the solutions of the partial differential Equation (4) are the eigen amplitude functions, which define the shapes of transverse displacement amplitudes of the mid-plane points of the plates during their natural oscillations, while satisfying the prescribed boundary conditions and orthogonality conditions. Here, we will denote them as W i n m r , φ , i = 1 , 2 , , M   and n , m = 1 , 2 , 3 , 4 , for the given boundary conditions. Furthermore, the time-dependent functions T i n m t , i = 1 , 2 , , M , n , m = 1 , 2 , 3 , 4 , are expressed in the form of k n m series, depending on the eigenvalues that represent the solution series of the characteristic equations corresponding to the given boundary conditions.
By substituting the assumed solution into the initial system of partial integro-differential Equation (1), multiplying the equations by W i sr r , φ r d r d φ , and integrating over the mid-surface—while taking into account the orthogonality conditions of the eigen amplitude functions and the corresponding boundary conditions of the plates—this system of partial differential equations is reduced to an n m -family of systems of coupled pairs of ordinary integro-differential equations. From these, the unknown time-dependent functions T i n m t , i = 1 , 2 , , M , n = 0 , 1 , 2 , ; m = 1 , 2 , 3 , 4 , can be determined as:
T ¨ 1 n m t + ω 1 n m 2 1 + κ ~ α 1 n m D t α T 1 nm t a 1 2 + a 1 α n m 2 D t α T 2 nm t = f 1 n m t , T ¨ i n m t + 2 ω i n m 2 1 + κ ~ α i n m D t α T i nm t a i 2 + a i α n m 2 D t α T i 1 nm t + T i + 1 nm t = f i n m t i = 2 , , M 1   a n d   n , m = 1 , 2 , 3 , 4 , , T ¨ M n m t + ω M n m 2 1 + κ ~ α M n m D t α T M nm t a M 2 + a M α n m 2 D t α T M 1 nm t = f M n m t
where f i n m t = 0 r 0 2 π q ~ i r , φ , t W i nm r , φ r d r d φ 0 r 0 2 π W i nm r , φ 2 r d r d φ are known functions of external distributed load corresponding to specific n m eigen amplitude mode of vibration. The system of Equation (6) represents the time-domain functions of forced oscillations for each plate in the coupled system. The first equation corresponds to the time function of forced oscillations of the first plate. The second equation describes the set of intermediate plates, from the second to the penultimate plate ( M 1 ), capturing their mutual coupling through hereditary interlayers. The third equation provides the time-domain representation for the last ( M -th) plate in the system of interconnected plates. This structure ensures that the dynamic interaction among all plates under external loading is consistently modeled within the fractional viscoelastic framework.
The system of coupled differential equations with fractional derivatives (6), with respect to the unknown time-dependent functions T i n m t , i = 1 , 2 , , M , n , m = 1 , 2 , 3 , 4 , , can be solved using Laplace transforms in the following section.
The chosen approach—fractional integro-differential modeling combined with Laplace transforms and eigenfunction expansion—offers distinct advantages over conventional viscoelastic models. Classical models based on integer-order derivatives often fail to capture long-term hereditary effects and require extensive numerical computation for multi-layered systems. In contrast, fractional operators provide a more accurate representation of memory-dependent behavior, while Laplace transforms enable systematic handling of fractional derivatives in the time domain. The eigenfunction expansion method facilitates modal separation and analytical solutions for natural frequencies and mode shapes, even for systems with multiple coupled plates. This combination ensures both mathematical rigor and practical applicability, offering closed-form expressions that serve as benchmarks for validating numerical models.

3. Solutions for Two Coupled Creep Circular Plates Vibrations

To solve this system (6) of integro-differential equations and to generalize the conclusions, let us first consider a special case of two identical circular plates of creep properties of material, coupled by a viscoelastic hereditary interlayer, for which the equivalent system of equations would be:
T ¨ 1 n m t + ω 1 n m 2 1 + κ ~ α 1 n m D t α T 1 nm t a 1 2 + a 1 α n m 2 D t α T 2 nm t = f 1 n m t T ¨ 2 n m t + ω 2 n m 2 1 + κ ~ α 2 n m D t α T 2 nm t a 2 2 + a 2 α n m 2 D t α T 1 nm t = f 2 n m t
After Laplace transformation of this system, it follows:
p 2 + ω 1 n m 2 1 + ω 1 α n m 2 ω 1 n m 2 R p L T 1 nm t a 1 2 1 + a 1 α n m 2 ω 1 2 R p L T 2 nm t = L f 1 n m t + p T 1 n m 0 + T ˙ 1 n m 0 p 2 + ω 2 n m 2 1 + ω 2 α n m 2 ω 2 n m 2 R p L T 2 nm t a 2 2 1 + a 1 α n m 2 ω 2 2 R p L T 1 nm t = L f 2 n m t + p T 2 n m 0 + T ˙ 2 n m 0
However, after Laplace transformation of system (6) it follows:
p 2 + ω 1 n m 2 1 + ω 1 α n m 2 ω 1 n m 2 R p L T 1 nm t a 1 2 1 + a 1 α 2 a 1 2 R p L T 2 nm t = L f 1 n m t + p T 1 n m 0 + T ˙ 1 n m 0 p 2 + 2 ω i n m 2 1 + ω i α n m 2 ω i n m 2 R p L T i nm t a i 2 1 + a i α 2 a i 2 R p L T i 1 nm t + L T i + 1 nm t = L f i n m t + p T i n m 0 + T ˙ i n m 0 i = 2 , , M 1 ;   n , m = 1 , 2 , 3 , 4 , p 2 + ω M n m 2 1 + ω M α n m 2 ω M n m 2 R p L T M nm t a M 2 1 + a M α 2 a M 2 R p L T M 1 nm t = L f M n m t + p T M n m 0 + T ˙ M n m 0
In the general case when ω 0 2 0 , the Laplace transform of the solution to the one of the fractional differential Equation (9) can be developed in two steps: as series expansions with respect to the binomials p α + ω 0 x 2 / ω α x 2 and p α The Laplace transform of the fractional derivative is given by (10):
L D t α T i n m t = R p L T i n m t d α 1 d t α 1 T i n m 0 = p α L T i n m t d α 1 d t α 1 T i n m 0 = p α L T i n m t
where, for a plate made of a rheological material with creep properties and no prior history at the initial moment, in its natural unstressed state, we assume zero initial conditions d α 1 T i n m t d t α 1 t = 0 = 0 .
Applying the Laplace transform to the system (9) yields an algebraic representation of the fractional differential equations. The determinant Δ n m p is introduced to ensure nontrivial solutions and to analyze the spectral properties of the system:
Δ n m p = p 2 + ω n m 2 1 + ω α n m 2 ω n m 2 p α a 2 1 + a α 2 a 2 p α 0 0 a 2 1 + a α 2 a 2 p α p 2 + 2 ω n m 2 1 + ω α n m 2 ω n m 2 p α a 2 1 + a α 2 a 2 p α 0 0 a 2 1 + a α 2 a 2 p α p 2 + 2 ω n m 2 1 + ω α n m 2 ω n m 2 p α a 2 1 + a α 2 a 2 p α 0 0 a 2 1 + a α 2 a 2 p α p 2 + ω n m 2 1 + ω α n m 2 ω n m 2 p α
For a homogeneous linear system, the condition for nontrivial solutions is that the determinant of the coefficient matrix equals zero, i.e., Δ n m p = 0 .
For homogeneous system of Equation (8) this determinant in the expanded form is:
Δ n m p = p 4 1 + ω 1 α n m 2 p 2 1 + ω 1 n m 2 ω 1 α n m 2 p α 2 a 1 α 2 2 1 + a 1 2 a 1 α 2 p α 2
Or
Δ n m p = p 4 1 + ω 1 α n m 2 + a 1 α 2 p 2 1 + ω 1 n m 2 + a 1 2 ω 1 α n m 2 + a 1 α 2 p α · 1 + ω 1 α n m 2 a 1 α 2 p 2 1 + ω 1 n m 2 a 1 2 ω 1 α n m 2 a 1 α 2 p α
By considering expression (5a) it follows:
ω i n m 2 a i 2 = k n m 4 c i 4 = ω 0 n m 2 = k n m 4 E 0 h 2 12 ρ 1 μ 2 ω i n m 2 + a i 2 = k n m 4 c i 4 + 2 a i 2 = ω 0 n m 2 + 2 a 0 2 = k n m 4 E 0 h 2 12 ρ 1 μ 2 + 2 c ρ h
Also, by considering expression (5b) it follows:
ω i α n m 2 a i α 2 = κ ~ i α n m ω i n m 2 a i α 2 = k n m 4 κ α c i 4 + a i 2 κ i α c a i α 2 = k n m 4 κ α c i 4 = ω α n m 2 = k n m 4 E α h 2 12 ρ 1 μ 2 ω i α n m 2 + a i α 2 = κ ~ i α n m ω i n m 2 + a i α 2 = k n m 4 κ α c i 4 + a i 2 κ i α c + a i α 2 = = k n m 4 κ α c i 4 + 2 a i 2 κ i α c = ω α n m 2 + 2 a α 2 = k n m 4 E α h 2 12 ρ 1 μ 2 + 2 c α ρ h            
Thus, the relevant ratios obtained from expression (12a) have forms:
ω 1 n m 2 + a 1 2 ω 1 α n m 2 + a 1 α 2 = ω 0 n m 2 + 2 a 0 2 ω α n m 2 + 2 a α 2   and   ω 1 n m 2 a 1 2 ω 1 α n m 2 a 1 α 2 = ω 0 n m 2 ω α n m 2 = 1 κ α
The reciprocal value of the determinant (12a) of the system of Laplace-transformed solutions can be written in the form:
1 Δ n m p = 1 p 4 · 1 1 + ω α n m 2 + 2 a α 2 p 2 1 + ω 0 n m 2 + 2 a 0 2 ω α n m 2 + 2 a α 2 p α · 1 1 + ω α n m 2 p 2 1 + ω 0 n m 2 ω α n m 2 p α
Using the analogy with homogeneous chains, as in [4,5] for the example of a fractionally damped discrete-continuous system or a discrete-continuous homogeneous ideally elastic chain system, system (9) can be written as the following system of homogeneous algebraic equations:
Δ n m p A 1 A 2 A M 1 A M = 0 0 0
where Δ n m p denotes the M × M matrix associated with the determinant given in Equation (11). In its expanded form, this system of equations can be written as:
p 2 + ω n m 2 1 + ω α n m 2 ω n m 2 p α A 1 a 2 1 + a α 2 a 2 p α A 2 = 0 a 2 1 + a α 2 a 2 p α A k 1 + p 2 + 2 ω n m 2 1 + ω α n m 2 ω n m 2 p α A k a 2 1 + a α 2 a 2 p α A k + 1 = 0 , k = 2 , 3 , 4 , , M 1 p 2 + ω n m 2 1 + ω α n m 2 ω n m 2 p α A M a 2 1 + a α 2 a 2 p α A M 1 = 0
To satisfy boundary conditions and achieve modal separation, the solution is expressed in trigonometric form: A k = C sin k φ , where C is a constant and φ is an angle that must satisfy the condition: φ s = s π M for s = 1 , 2 , 3 , 4 , , M 1 . The trigonometric form for solution expression is used following the approach consistently presented in [1,4,5,27], where all these references describe the same trigonometric method for determining modal parameters. This spectral decomposition provides a systematic way to represent the vibration modes of the multi-plate system [28]. In the subsequent analysis, the determinant function Δ n m p , expression (11) and associated with the nm-family of systems of Equation (9), can be expressed and used in a form suitable for both analytical evaluation and numerical implementation:
Δ n m M p = s = 1 s = M 1 p 2 + 2 ω n m 2 1 + ω α n m 2 ω n m 2 p α 2 a 2 1 + a α 2 a 2 p α cos s π M 0
The next step toward the solution involves obtaining a transformation of the Laplace-expanded solutions into series representations in terms of complex variables. Therefore, we write:
1 Δ n m M p = s = 1 s = M 1 1 p 2 + 2 ω n m 2 1 + ω α n m 2 ω n m 2 p α 2 a 2 1 + a α 2 a 2 p α cos s π M
This form is more general than expression (14), which represents only a special case for two plates, and it is particularly suitable for deriving specific elementary terms of the solution expressions using inverse Laplace transformations.
Let us demonstrate this in the example of the system of Equation (8), whose solutions, in terms of the Laplace transforms of the time-dependent functions, take the form:
L T 1 n m t = 1 Δ n m p p T 1 n m 0 + T ˙ 1 n m 0 + L f 1 n m t · p 2 + ω 2 n m 2 1 + ω 2 α n m 2 ω 2 n m 2 R p + 1 Δ n m p p T 2 n m 0 + T ˙ 2 n m 0 L f 2 n m t · a 1 2 1 + a 1 α 2 a 1 2 R p L T 2 n m t = 1 Δ n m p p T 2 n m 0 + T ˙ 2 n m 0 L f 2 n m t · p 2 + ω 1 n m 2 1 + ω 1 α n m 2 ω 1 n m 2 R p + 1 Δ n m p p T 1 n m 0 + T ˙ 1 n m 0 + L f 1 n m t · a 2 2 1 + a 2 α 2 a 2 2 R p
And in view of expression (14), they can be written in the form:
L T 1 n m t = 1 p 2 p T 1 n m 0 + T ˙ 1 n m 0 + L f 1 n m t · 1 + ω 2 α n m 2 p 2 p α + ω 2 n m 2 ω 2 α n m 2 · k = 0 1 k ω α n m 2 k p 2 k j = 0 k k j p α j ω 0 n m 2 j k ω α n m 2 j · i = 0 1 i ω α n m 2 + 2 a α 2 i p 2 i l = 0 i i l p α l ω 0 n m 2 + 2 a 0 2 l i ω α n m 2 + 2 a α 2 l + + 1 p 4 p T 2 n m 0 + T ˙ 2 n m 0 L f 2 n m t · a 1 α 2 p α + a 1 2 a 1 α 2 · k = 0 1 k ω α n m 2 k p 2 k j = 0 k k j p α j ω 0 n m 2 j k ω α n m 2 j · i = 0 1 i ω α n m 2 + 2 a α 2 i p 2 i l = 0 i i l p α l ω 0 n m 2 + 2 a 0 2 l i ω α n m 2 + 2 a α 2 l L T 2 n m t = 1 p 2 p T 2 n m 0 + T ˙ 2 n m 0 L f 2 n m t · 1 + ω 1 α n m 2 p 2 p α + ω 1 n m 2 ω 1 α n m 2 · k = 0 1 k ω α n m 2 k p 2 k j = 0 k k j p α j ω 0 n m 2 j k ω α n m 2 j · i = 0 1 i ω α n m 2 + 2 a α 2 i p 2 i l = 0 i i l p α l ω 0 n m 2 + 2 a 0 2 l i ω α n m 2 + 2 a α 2 l + + 1 p 4 p T 1 n m 0 + T ˙ 1 n m 0 + L f 1 n m t · a 2 α 2 p α + a 2 2 a 2 α 2 · k = 0 1 k ω α n m 2 k p 2 k j = 0 k k j p α j ω 0 n m 2 j k ω α n m 2 j · i = 0 1 i ω α n m 2 + 2 a α 2 i p 2 i l = 0 i i l p α l ω 0 n m 2 + 2 a 0 2 l i ω α n m 2 + 2 a α 2 l
Next we employ inverse Laplace transformations by using the convolution formula L g i t · L g k t = L 0 t g i t τ · g k τ d τ , and notation Γ n = n 1 ! , k j = k ! k j ! j ! .
In order to obtain the inverse Laplace transforms of the Laplace-domain solutions for the time-dependent functions in the homogeneous two-plate system (20), it is necessary to consider the corresponding series expansions in terms of the complex variable p , along with their associated time-domain functions. These time-dependent functions, expressed as time series obtained via inverse Laplace transformations, are summarized in Table 1.
Table 1 summarizes the formal series expansions of Laplace-domain functions and their corresponding time-domain representations obtained through inverse Laplace transformations. These functions represent the elementary components of fractional-order oscillatory behavior in the coupled plate system. The approach follows the methodology presented in Hedrih [1,2,4] and Machado et al. [12], ensuring consistency with fractional viscoelastic modeling principles.
Here, we have taken into account that expression (10) holds for the Laplace transformation of a fractional-order derivative of a time-dependent function. Accordingly, the property of the Laplace transformation L g 6 t and L g 7 t is utilized as:
L g 6 t = p α · L g 4 t ,
L g 7 t = p α · L g 5 t .
So that g 6 t and g 7 t are calculated and obtained as follow:
g 6 t = D t α g 4 t = 1 Γ 1 α d d t 0 t g 4 τ t τ α d τ , g 7 t = D t α g 5 t = 1 Γ 1 α d d t 0 t g 5 τ t τ α d τ .
If the corresponding time function g 2 t is known from Table 1, it can be used to obtain the time function g 1 t by using the convolution formula in the following way:
g 1 t = L 1 p L g 2 t = d g 2 t d t = d d t k = 0 1 k ω α 2 k t 2 k j = 0 k k j ω 0 2 j t α j ω α 2 j Γ 2 k + 1 α j = = k = 0 1 k ω α 2 k t 2 k 1 j = 0 k k j ω 0 2 j t α j 2 k α j ω α 2 j Γ 2 k + 1 α j = k = 0 1 k ω α 2 k t 2 k 1 j = 0 k k j ω 0 2 j t α j ω α 2 j Γ 2 k α j
To determine the harmonics of free creep oscillations of the plate system, the given convolution formula for first harmonics can be used:
g 018 t = g 01 t = 0 t g 1 t τ · g 8 τ d τ = = 0 t k = 0 1 k ω α 2 k t τ 2 k 1 j = 0 k k j ω 0 2 j t τ α j ω α 2 j Γ 2 k α j · i = 0 1 i ω α n m 2 + 2 a α 2 i τ 2 i 1 j = 0 i i l ω 0 n m 2 + 2 a 0 2 l τ α l ω α n m 2 + 2 a α 2 j Γ 2 i α l d τ
Likewise, the same principle holds for all subsequent seven harmonics ( r = 1 7 ) , which leads to the general form:
g 0 r 8 t = g 0 r t = 0 t g r t τ · g 8 τ d τ
The expressions for all functions g r t for r = 1 7 , as well as for g 8 τ , are provided in the left column of Table 1.
The harmonics of forced creep oscillations are also obtained using the convolution formula from the following expressions, analogously to the previous procedure used for free harmonics:
g 038 f i n m t = g 03 f i n m t = 0 t f i n m t τ · g 038 τ d τ = 0 t f i n m t θ 0 θ g 3 t τ · g 8 τ d τ d θ
For the general case of system (11), which corresponds to the Laplace transforms of the time functions of the M -plate system, we apply the same approach. Using expression (18), it is straightforward to separate the series into the corresponding bi-frequency elementary modes of the n m -family of solutions. For example, let us analyze the following as a bi-frequency fundamental mode:
L g ~ 1 n m s = 1 p 2 + 2 ω n m 2 1 + ω α n m 2 ω n m 2 p α 2 a 2 1 + a α 2 a 2 p α cos s π M = = 1 p 2 1 + ω α n m 2 ω n m 2 2 a α 2 cos s π M p 2 2 ω n m 2 2 a 2 cos s π M ω α n m 2 ω n m 2 2 a α 2 cos s π M + p α .
After applying the inverse Laplace transformation to these expressions, the following results are obtained:
g ~ 1 n m s t = k = 0 1 k ω α n m 2 ω n m 2 2 a α 2 cos s π M k t 2 k 1 · j = 0 k k j 2 ω n m 2 2 a 2 cos s π M j t α j ω α n m 2 ω n m 2 2 a α 2 cos s π M j Γ 2 k α j ; g ~ 2 n m s t = k = 0 1 k ω α n m 2 ω n m 2 2 a α 2 cos s π M k t 2 k · j = 0 k k j 2 ω n m 2 2 a 2 cos s π M j t α j ω α n m 2 ω n m 2 2 a α 2 cos s π M j Γ 2 k + 1 α j .

4. Discussion

Considering the formalism presented in Table 1 for the component modes of free oscillations of two coupled creep plates, it is clear that this sequence of functions g ~ k n m s t can be extended and written analogously, as in Table 1, for the system of M coupled plates. To obtain the inverse Laplace transforms of the solutions for time functions of a homogeneous multi-plate system free vibrations, we must consider the series g r t for r = 1 8 from the right column of Table 1, as well as expressions (21) and (22). For forced vibration of that system the expression (23) must be used.
Using expressions (25) for the components of the time function g ~ k n m s t , which represent the modal components of creep oscillations in plates, one can construct the expression for the corresponding particular solution. For example, the time function T n m t of the corresponding mode shape of free oscillations of a single plate made of a material with creep properties—more precisely, the solution of Equation (6)—takes the following form:
T n m t = T 0 n m g 2 n m t + T ˙ 0 n m g 3 n m t .
Finally, the law governing the free transverse oscillations of a clamped circular plate made of a material with creep properties can be written in the following form:
w r , ϕ , t = n = 1 m = 1 J n k n m r J n k n m a I n k n m a I n k n m r cos n ϕ + α n · · T 0 n m i = 0 1 i ω α n m 2 i t 2 i j = 0 j = i i j ω α n m 2 j t α j ω 0 n m 2 j Γ 2 i + 1 α j + T ˙ 0 n m i = 0 1 i ω α n m 2 i t 2 i + 1 j = 0 j = i i j ω α n m 2 j t α j ω 0 n m 2 j Γ 2 i + 2 α j
where the modified Bessel functions of the first kind of order n , with real arguments J n x , and with imaginary arguments I n x are used.
For the selected initial conditions, the kinetic parameters of the plate, and real values of the coefficient within the interval 0 < α 1 , it is possible to generate plots of the time series functions g k t as particular solutions of the time function corresponding to a specific oscillation mode. These are illustrated in the following figures.
Figure 2 and Figure 3 show the component mode solution g 2 t , α of the fractional-order differential equation. Specifically, the surfaces g 2 t , α are presented with several characteristic ratios of the system’s kinetic parameters: ω α x / ω 0 x = 1 ,   1 / 4 ,   1 / 3 ,   3   a n d   4   . These are visualized geometrically in the 3D space g 2 t , α , t , α , where the creep coefficient α varies within the interval 0 α 1 .
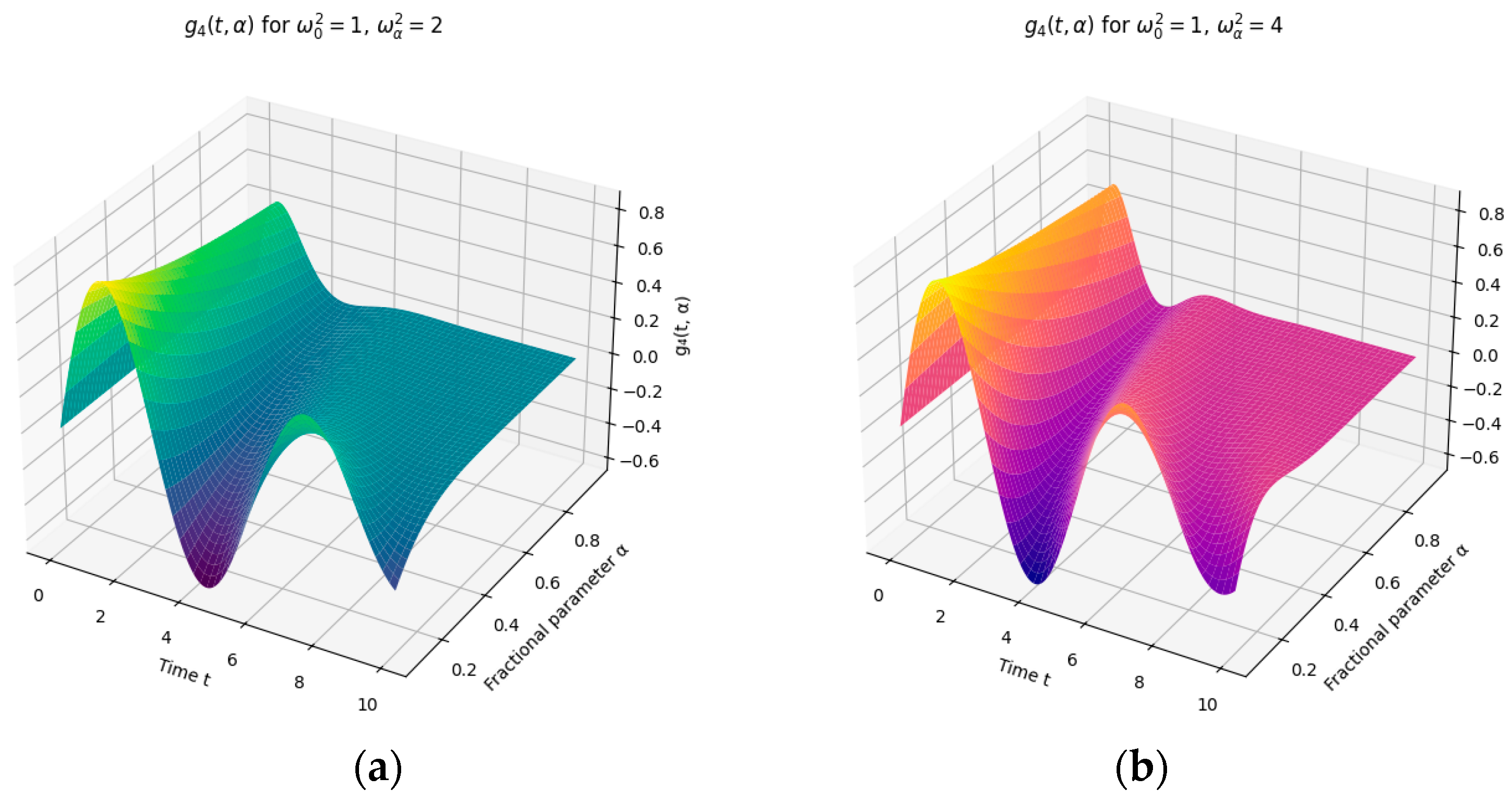
In Figure 4 and Figure 5, the surfaces g 3 t , α , t , α , g 4 t , α , t , α and g 5 t , α , t , α are shown, corresponding to the component time series g 3 t , α , g 4 t , α and g 5 t , α of the time function of transverse oscillations of a homogeneous multi-plate system. These are plotted for the system’s kinetic parameters ω 0 2 = 1 , ω α 2 = 2 and for the creep coefficient αα within the interval 0 α 1 . In Figure 6, the same is shown for the kinetic parameter values ω 0 2 = 1 , ω α 2 = 4 .
In order to deepen the discussion of the results, we will compare cross-sections of the surfaces presented in Figure 5 and Figure 6 for the modal functions g 4 t , α and g 5 t , α , corresponding to selected values of the fractional parameter α , and plot their time-domain modal functions in Figure 7. As demonstrated in Figure 7, which presents the time-domain modal functions g 4 t , α and g 5 t , α , the results clearly highlight the significant influence of both the fractional parameter α and the kinetic stiffness parameter ω α 2 on the system’s dynamic response. As α increases, the modal functions exhibit stronger hereditary damping—higher values (e.g., α = 0.8 ) lead to rapid attenuation of oscillations, while lower values (e.g., α = 0.2 ) allow for sustained vibrations with larger amplitudes. This behavior reflects the increasing dominance of memory effects in materials with higher fractional orders.
Furthermore, increasing ω α 2   from 2 to 4 results in a noticeable rise in oscillation frequency and a temporal compression of the amplitude envelope, indicating faster energy exchange and more rapid dynamic transitions. The modal functions g 4 t , α and (b) g 5 t , α become increasingly sensitive to changes in α under higher kinetic stiffness, amplifying the influence of hereditary effects on the system’s vibrational behavior.
These findings underscore the importance of jointly tuning both parameters—fractional order and kinetic stiffness—to achieve desired dynamic characteristics in creep-sensitive multilayer structures. Figure 2, Figure 3, Figure 4, Figure 5, Figure 6 and Figure 7 illustrate the parametric influence of fractional order α and stiffness ratios on vibration behavior, demonstrating how these parameters control damping and frequency characteristics. The graphical results in Figure 2, Figure 3, Figure 4, Figure 5, Figure 6 and Figure 7 can be interpreted in physical terms as follows: the fractional parameter α governs the intensity of memory effects in the viscoelastic interlayers. Lower values of α correspond to weaker memory and reduced energy dissipation, resulting in sustained oscillations with larger amplitudes. Conversely, higher α values indicate stronger hereditary damping, where stored energy is rapidly dissipated, leading to faster decay of vibrations. This trend is evident in the steep attenuation observed in Figure 4, Figure 5, Figure 6 and Figure 7 for α     0.8 . Similarly, increasing the stiffness of coupling layers (reflected by higher ω α 2 ratios) raises natural frequencies and compresses the time envelope of oscillations, indicating faster energy exchange between plates. These mechanisms—energy dissipation through fractional damping, memory-driven resistance to deformation, and compliance of interlayers—explain the mathematical trends and provide intuitive insight into how fractional parameters control dynamic behavior in multilayer systems. From the analytical solution (25) for time modes of plate system vibration and general for creep plate (26), it is clear that coupling with the creeping layers of M circular plates cause the emergence of multi ( M )-frequency regimes in the time functions of a corresponding natural vibration mode. It is also evident that the time functions of different m n families of vibration modes are not coupled, meaning they are mutually independent. This, in turn, implies that such systems allow for M possibilities of resonant dynamic states or the occurrence of dynamic absorption.
The hereditary viscoelasticity model was adopted because it provides a rigorous framework for describing time-dependent material behavior and memory effects, which are critical in systems subjected to creep and prolonged loading. Unlike classical models based on integer-order derivatives, fractional-order operators enable a more accurate representation of hereditary phenomena and allow for flexible control of damping characteristics. The fractional parameter α plays a key role in this framework: it reflects the intensity of memory effects and serves as a tunable measure of damping. Lower values of α result in prolonged oscillations with minimal energy dissipation, while higher values lead to rapid attenuation of vibrations. This property makes α an important design parameter for tailoring dynamic responses in multilayer structures, ensuring stability and performance in applications such as vibration isolation or dynamic absorbers in aerospace and civil engineering. The main analytical results and their engineering implications can be summarized as follows: (i) the coupling of M circular plates through hereditary layers leads to multi-frequency vibration regimes, with modal families remaining temporally uncoupled; (ii) the fractional parameter α strongly influences damping behavior—lower values produce prolonged oscillations, while higher values accelerate decay; (iii) increasing the stiffness of coupling layers raises natural frequencies and enhances sensitivity to hereditary effects; and (iv) the determinant-based formulation enables spectral analysis for systems of arbitrary size. These findings not only provide theoretical insight but also guide practical design decisions: identifying multi-frequency regimes helps avoid resonance in multilayer structures, tuning α allows control of energy dissipation, and adjusting stiffness offers a means to optimize structural performance under long-term loading. Together, these insights demonstrate how the proposed analytical framework supports stability, safety, and tailored dynamic responses in systems where hereditary material behavior plays a critical role.

5. Conclusions

This study presents a comprehensive analytical framework for modeling and analyzing the hereditary vibrations of a coupled circular plate system interconnected by viscoelastic creep layers. By employing fractional calculus and integro-differential equations, the dynamic behavior of the system is captured with high fidelity, accounting for the time-dependent material properties inherent to creep phenomena.
The mathematical model developed herein is based on the theory of hereditary viscoelasticity and D’Alembert’s principle, leading to a system of partial integro-differential equations. These were systematically reduced to ordinary integro-differential equations using Bernoulli’s method of particular integrals and solved via Laplace transforms. The resulting analytical expressions for natural frequencies, modal shapes, and time-dependent response functions provide deep insight into the system’s dynamic characteristics.
A key finding of this work is the emergence of multi-frequency vibration regimes induced by the hereditary coupling, with each modal family remaining temporally uncoupled. This uncoupling enables the identification of distinct resonance conditions and dynamic absorption phenomena, which are critical for the design of stable and efficient engineering systems.
The analytical results are validated through numerical simulations, which illustrate the influence of fractional parameters and kinetic ratios on the system’s vibrational response. The generality of the derived expressions allows for their application to a wide range of multilayered structures, including those in aerospace, civil engineering, and micromechanical systems.
The analytical and numerical results presented in this study offer valuable insights for the design of multilayered structures with hereditary material behavior. The fractional parameter α serves as a tunable measure of damping, allowing designers to control the rate of energy dissipation in the system. Lower values of α yield prolonged oscillations, while higher values induce rapid decay, making this parameter critical for tailoring dynamic stability. Furthermore, increasing the kinetic stiffness parameter ω α 2 leads to higher-frequency modal responses and enhances the system’s sensitivity to hereditary effects. This interplay between fractional damping and kinetic coupling enables targeted control of specific vibration modes, facilitating the design of structures with optimized resonance characteristics, dynamic absorbers, or vibration isolation features. The parametric analysis confirms that fractional order and stiffness ratios can be tuned to achieve desired dynamic performance. These findings are particularly relevant for applications in aerospace, civil engineering, and microstructured systems, where long-term loading and time-dependent material behavior must be carefully managed.
Overall, this research provides a robust theoretical and computational framework for analyzing complex viscoelastic systems with hereditary behavior. It opens new avenues for optimizing structural designs where long-term loading and time-dependent material responses are critical. The present study relies on several simplifying assumptions—such as ideal creep behavior, identical boundary conditions for all plates, and uniform interlayer properties—which enable closed-form analytical solutions and fundamental insights but may limit direct applicability to highly heterogeneous or nonlinear systems. Future work should address these limitations by incorporating non-ideal creep laws, variable boundary conditions, and anisotropic or composite interlayers. Moreover, extending the model to include thermal effects, geometric nonlinearity, and stochastic material properties would significantly enhance its predictive capability and broaden its relevance to real-world engineering applications. The present study focuses on the theoretical formulation and modal analysis of layered plate systems. While the approach is broadly applicable to structural mechanics problems, detailed physical case studies are beyond the scope of this paper and will be considered in future research.

Funding

No external funding was received for this research.

Data Availability Statement

The results presented in this study are given in analytical form and can be directly applied to arbitrary systems of circular creep plates. These expressions are general and adaptable, provided that the amplitude function modes are either predefined or generated for the specific system under consideration. All relevant data, including the analytical framework and review protocol, are available from the corresponding author upon reasonable request.

Acknowledgments

The author gratefully acknowledges the institutional and technical support provided by the Ministry of Science, Technological Development and Innovation of the Republic of Serbia (Contract No. 451-03-136/2025-03/200109). The author also wishes to express sincere gratitude to Katica (Stevanović) Hedrih for her invaluable and selfless mentorship, guidance, and continuous support throughout the development of this work.

Conflicts of Interest

The author declares that there is no conflict of interest.

References

  1. Hedrih, K. Partial Fractional Differential Equations of Creeping and Vibrations of Plate and Their Solutions. J. Mech. Behav. Mater. 2005, 16, 305–314. [Google Scholar] [CrossRef]
  2. Hedrih, K. Partial Fractional Order Differential Equations of Transversal Vibrations of Creep-Connected Double Plate Systems. In Fractional Differentiation and Its Applications; Le Mahaute, A., Tenreiro Machado, J.A., Trigeassou, J.C., Sabatier, J., Eds.; U-Book: Bordeaux, France, 2005; pp. 289–302. [Google Scholar]
  3. Hedrih, K.R. Fractional Order Hybrid System Dynamics. PAMM 2013, 13, 25–26. [Google Scholar] [CrossRef]
  4. Hedrih, K.R. Elements of Mathematical Phenomenology in Dynamics of Multi-Body Systems with Fractionally Damped Discrete Continuous Layers. Int. J. Mech. 2014, 8, 345–352. [Google Scholar]
  5. Simonović, J. Dynamics and Stability of Hybrid Dynamical Systems. Doctoral Thesis, Faculty of Mechanical Engineering, University of Niš, Niš, Serbia, 2012; pp. 1–375. Available online: https://eteze.ni.ac.rs/application/showtheses?thesesId=5558 (accessed on 1 December 2012).
  6. Huang, S.; Zhang, J.; Ding, X.; Han, G.; Yu, P.; Fan, X. A Three-dimensional Anisotropic Creep Model for Predicting the Time-dependent Deformation of Layered Rock Mass. Rock Mech. Rock Eng. 2024, 57, 3577–3600. [Google Scholar] [CrossRef]
  7. Harapin, A.; Jurišić, M.; Bebek, N.; Sunara, M. Long-Term Effects in Structures: Background and Recent Developments. Appl. Sci. 2024, 14, 2352. [Google Scholar] [CrossRef]
  8. Lu, W.; Wu, J.; Liu, J.; Yi, X.; Zhang, Q.; Chen, Y.; Li, J.; Fang, Q. Creep Behavior and Deformation Mechanism of Aluminum Alloy: Integrating Multiscale Simulation and Experiments. Symmetry 2025, 17, 1146. [Google Scholar] [CrossRef]
  9. Hedrih, K.R.; Hedrih, A.N. Rheological Burgers–Faraday Models and Rheological Dynamical Systems with Fractional Derivatives and Their Application in Biomechanics. Fractal Fract. 2024, 8, 742. [Google Scholar] [CrossRef]
  10. Hedrih, K.R. New Class of Complex Models of Materials with Piezoelectric Properties with Differential Constitutive Relations of Fractional Order: An Overview. Fractal Fract. 2025, 9, 170. [Google Scholar] [CrossRef]
  11. Rabotnov, Y.N. Creep Problems in Structural Members; Series in Applied Mathematics and Mechanics; North-Holland Publishing: Amsterdam, The Netherlands, 1969; p. 803. [Google Scholar]
  12. Machado, J.T.; Kiryakova, V.; Mainardi, F. Recent History of Fractional Calculus. Commun. Nonlinear Sci. Numer. Simul. 2011, 16, 1140–1153. [Google Scholar] [CrossRef]
  13. Kiryakova, V. Generalized Fractional Calculus and Applications; Pitman Research Notes in Mathematics Series, 301; Longman Scientific & Technical: Harlow, UK, 1994. [Google Scholar]
  14. Kiryakova, V. A Brief Story About the Operators of Generalized Fractional Calculus. Fract. Calc. Appl. Anal. 2008, 11, 203–220. [Google Scholar]
  15. Herrmann, R. Fractional Calculus—An Introduction for Physicists; World Scientific: Singapore, 2014. [Google Scholar] [CrossRef]
  16. Elmoghazy, Y.H.; Safaei, B.; Asmael, M.; Sahmani, S.; Zeeshan, Q.; Qin, Z. Computational Modelling and Analysis of Effect of Viscoelastic Materials on Damping and Vibrational Behaviors of Composite Structures—An Extensive Review. Arch. Comput. Methods Eng. 2024, 31, 2611–2662. [Google Scholar] [CrossRef]
  17. Lewandowski, R.; Litewka, P.; Łasecka-Plura, M.; Pawlak, Z.M. Dynamics of Structures, Frames, and Plates with Viscoelastic Dampers or Layers: A Literature Review. Buildings 2023, 13, 2223. [Google Scholar] [CrossRef]
  18. Wang, F.; Liao, J.; Huang, C.; Yu, H.; Yan, J.; Li, H. Study on the Damping Dynamics Characteristics of a Viscoelastic Damping Material. Processes 2022, 10, 635. [Google Scholar] [CrossRef]
  19. Alnujaie, A.; Ghazwani, M.H.; Assie, A.E.; Eltaher, M.A.; Van Vinh, P. Damped vibration characteristics of functionally graded sandwich beams resting on an advanced viscoelastic foundation model. Acta Mech. 2025, 236, 5353–5374. [Google Scholar] [CrossRef]
  20. Nešić, N.; Cajić, M.; Karličić, D.; Simonović, J.; Obradović, A. Nonlinear Vibration of a Nonlocal Functionally Graded Beam on Fractional Visco-Pasternak Foundation. Nonlinear Dyn. 2022, 107, 2003–2026. [Google Scholar] [CrossRef]
  21. Zarraga, O.; Sarría, I.; García-Barruetabeña, J.; Elejabarrieta, M.J.; Cortés, F. General Homogenised Formulation for Thick Viscoelastic Layered Structures for Finite Element Applications. Mathematics 2020, 8, 714. [Google Scholar] [CrossRef]
  22. Rouzegar, J.; Davoudi, M. Forced Vibration of Smart Laminated Viscoelastic Plates by Refined Plate Theory Finite Element Approach. Acta Mech. Sin. 2020, 36, 933–949. [Google Scholar] [CrossRef]
  23. Quiroga, J.E.; González-Estrada, O.A.; Díaz-Rodríguez, M. Evaluation of Numerical Methods for Dispersion Curve Estimation in Viscoelastic Plates. Eng 2025, 6, 240. [Google Scholar] [CrossRef]
  24. Hedrih, K.; Milovanović, G.V. Elements of Mathematical Phenomenology and Analogies of Electrical and Mechanical Oscillators of the Fractional Type with Finite Number of Degrees of Freedom of Oscillations: Linear and Nonlinear Modes. Commun. Anal. Mech. 2024, 16, 738–785. [Google Scholar] [CrossRef]
  25. Goroško, O.A.; Hedrih, K. Construction of the Lagrange’s Mechanics of the Hereditary Systems. In Proceedings of the International Summer School APM—Advanced Problems in Mechanics, Saint Petersburg, Russia, 20–28 June 2007; Minisymposium Opening Lecture. pp. 133–156. [Google Scholar]
  26. Goroško, O.A.; Hedrih, K. Analytical Dynamics (Mechanics) of Discrete Hereditary Systems; University of Niš: Niš, Serbia, 2001; p. 426, (Monograph in Serbian). [Google Scholar]
  27. Hedrih (Stevanović), K.R.; Simonović, J.D. Non-Linear Dynamics of the Sandwich Double Circular Plate System. Int. J. Non-Linear Mech. 2010, 45, 902–918. [Google Scholar] [CrossRef]
  28. Rašković, D. Teorija Oscilacija; Naučna Knjiga: Belgrade, Serbia, 1965; p. 503. Available online: http://elibrary.matf.bg.ac.rs/handle/123456789/4754 (accessed on 4 February 2019). (In Serbian)
Figure 1. System of ideally creeping circular plates connected by viscoelastic hereditary interlayers.
Figure 1. System of ideally creeping circular plates connected by viscoelastic hereditary interlayers.
Fractalfract 10 00072 g001
Figure 2. The surfaces of time component functions g 2 t , α ,   0 α 1 for different ratios ω α x / ω 0 x of the system’s kinetic parameters: (a) ω α x / ω 0 x = 1 ; (b) ω α x / ω 0 x =   1 / 4 and (c) ω α x / ω 0 x =   1 / 3 .
Figure 2. The surfaces of time component functions g 2 t , α ,   0 α 1 for different ratios ω α x / ω 0 x of the system’s kinetic parameters: (a) ω α x / ω 0 x = 1 ; (b) ω α x / ω 0 x =   1 / 4 and (c) ω α x / ω 0 x =   1 / 3 .
Fractalfract 10 00072 g002
Figure 3. The surfaces of time component functions g 2 t , α ,   0 α 1 for different ratios ω α x / ω 0 x of the system’s kinetic parameters: (a) ω α x / ω 0 x = 3 and (b) ω α x / ω 0 x =   4 .
Figure 3. The surfaces of time component functions g 2 t , α ,   0 α 1 for different ratios ω α x / ω 0 x of the system’s kinetic parameters: (a) ω α x / ω 0 x = 3 and (b) ω α x / ω 0 x =   4 .
Fractalfract 10 00072 g003
Figure 4. The surfaces of time component functions g 3 t , α ,   0 α 1 for multi-plate system with different kinetic parameters: (a) ω 0 2 = 2 , ω α 2 = 1 and (b) ω 0 2 = 1 , ω α 2 = 2 .
Figure 4. The surfaces of time component functions g 3 t , α ,   0 α 1 for multi-plate system with different kinetic parameters: (a) ω 0 2 = 2 , ω α 2 = 1 and (b) ω 0 2 = 1 , ω α 2 = 2 .
Fractalfract 10 00072 g004
Figure 5. The surfaces of time component function g 4 t , α for multi-plate system for different kinetic parameters: (a) ω 0 2 = 1 , ω α 2 = 2 and (b) ω 0 2 = 1 , ω α 2 = 4   a n d   f r a c t i o n a l   p a r a m e t e r   0 α 1 .
Figure 5. The surfaces of time component function g 4 t , α for multi-plate system for different kinetic parameters: (a) ω 0 2 = 1 , ω α 2 = 2 and (b) ω 0 2 = 1 , ω α 2 = 4   a n d   f r a c t i o n a l   p a r a m e t e r   0 α 1 .
Fractalfract 10 00072 g005
Figure 6. The surfaces of time component function g 5 t , α for multi-plate system for different kinetic parameters: (a) ω 0 2 = 1 , ω α 2 = 2 and (b) ω 0 2 = 1 , ω α 2 = 4   a n d   f r a c t i o n a l   p a r a m e t e r   0 α 1 .
Figure 6. The surfaces of time component function g 5 t , α for multi-plate system for different kinetic parameters: (a) ω 0 2 = 1 , ω α 2 = 2 and (b) ω 0 2 = 1 , ω α 2 = 4   a n d   f r a c t i o n a l   p a r a m e t e r   0 α 1 .
Fractalfract 10 00072 g006
Figure 7. Time-domain modal functions (a) g 4 t , α and (b) g 5 t , α for a system of coupled circular plates with hereditary interlayers, computed for two kinetic regimes: ω 0 2 = 1 , ω α 2 = 2 (top row) and ω 0 2 = 1 , ω α 2 = 4 (bottom row). The functions are shown for fractional parameters α = 0.2 ; 0.5   a n d   0.8 .
Figure 7. Time-domain modal functions (a) g 4 t , α and (b) g 5 t , α for a system of coupled circular plates with hereditary interlayers, computed for two kinetic regimes: ω 0 2 = 1 , ω α 2 = 2 (top row) and ω 0 2 = 1 , ω α 2 = 4 (bottom row). The functions are shown for fractional parameters α = 0.2 ; 0.5   a n d   0.8 .
Fractalfract 10 00072 g007
Table 1. Series expansions in the Laplace domain and corresponding time-domain functions obtained via inverse Laplace transformations for fractional-order oscillatory components.
Table 1. Series expansions in the Laplace domain and corresponding time-domain functions obtained via inverse Laplace transformations for fractional-order oscillatory components.
Series Expansions in Terms of the Complex Variable p Associated Time-Domain Functions via Inverse Laplace Transformations
L g 1 t = k = 0 1 k ω α n m 2 k p 2 k j = 0 k k j p α j ω 0 n m 2 j k ω α n m 2 j g 1 t = k = 0 1 k ω α 2 k t 2 k 1 j = 0 k k j ω 0 2 j t α j ω α 2 j Γ 2 k α j
L g 2 t = 1 p k = 0 1 k ω α n m 2 k p 2 k j = 0 k k j p α j ω 0 n m 2 j k ω α n m 2 j g 2 t = k = 0 1 k ω α 2 k t 2 k j = 0 k k j ω 0 2 j t α j ω α 2 j Γ 2 k + 1 α j
L g 3 t = 1 p 2 k = 0 1 k ω α n m 2 k p 2 k j = 0 k k j p α j ω 0 n m 2 j k ω α n m 2 j g 3 t = k = 0 1 k ω α 2 k t 2 k + 1 j = 0 k k j ω 0 2 j t α j ω α 2 j Γ 2 k + 2 α j
L g 4 t = 1 p 3 k = 0 1 k ω α n m 2 k p 2 k j = 0 k k j p α j ω 0 n m 2 j k ω α n m 2 j g 4 t = k = 0 1 k ω α 2 k t 2 k + 2 j = 0 k k j ω 0 2 j t α j ω α 2 j Γ 2 k + 3 α j
L g 5 t = 1 p 4 k = 0 1 k ω α n m 2 k p 2 k j = 0 k k j p α j ω 0 n m 2 j k ω α n m 2 j g 5 t = k = 0 1 k ω α 2 k t 2 k + 3 j = 0 k k j ω 0 2 j t α j ω α 2 j Γ 2 k + 4 α j
L g 6 t = 1 p 3 α k = 0 1 k ω α n m 2 k p 2 k j = 0 k k j p α j ω 0 n m 2 j k ω α n m 2 j g 6 t = 1 Γ 1 α k = 0 1 k ω α n m 2 k j = 0 k k j ω 0 n m 2 j ω α n m 2 j Γ 2 k + 3 α j d d t 0 t τ 2 k + 2 α j t τ α d τ
L g 7 t = 1 p 4 α k = 0 1 k ω α n m 2 k p 2 k j = 0 k k j p α j ω 0 n m 2 j k ω α o n m 2 j g 7 t = 1 Γ 1 α k = 0 1 k ω α n m 2 k j = 0 k k j ω 0 n m 2 j ω α n m 2 j Γ 2 k + 4 α j d d t 0 t τ 2 k + 3 α j t τ α d τ
L g 8 t = i = 0 1 i ω α n m 2 + 2 a α 2 i p 2 i l = 0 i i l p α l ω 0 n m 2 + 2 a 0 2 l i ω α n m 2 + 2 a α 2 l g 8 t = k = 0 1 k ω α n m 2 + 2 a α 2 k t 2 k 1 j = 0 k k j ω 0 n m 2 + 2 a 0 2 j t α j ω α n m 2 + 2 a α 2 j Γ 2 k α j
Disclaimer/Publisher’s Note: The statements, opinions and data contained in all publications are solely those of the individual author(s) and contributor(s) and not of MDPI and/or the editor(s). MDPI and/or the editor(s) disclaim responsibility for any injury to people or property resulting from any ideas, methods, instructions or products referred to in the content.

Share and Cite

MDPI and ACS Style

Simonović, J. Fractional Modelling of Hereditary Vibrations in Coupled Circular Plate System with Creep Layers. Fractal Fract. 2026, 10, 72. https://doi.org/10.3390/fractalfract10010072

AMA Style

Simonović J. Fractional Modelling of Hereditary Vibrations in Coupled Circular Plate System with Creep Layers. Fractal and Fractional. 2026; 10(1):72. https://doi.org/10.3390/fractalfract10010072

Chicago/Turabian Style

Simonović, Julijana. 2026. "Fractional Modelling of Hereditary Vibrations in Coupled Circular Plate System with Creep Layers" Fractal and Fractional 10, no. 1: 72. https://doi.org/10.3390/fractalfract10010072

APA Style

Simonović, J. (2026). Fractional Modelling of Hereditary Vibrations in Coupled Circular Plate System with Creep Layers. Fractal and Fractional, 10(1), 72. https://doi.org/10.3390/fractalfract10010072

Article Metrics

Back to TopTop