A Genetic Algorithm for Residential Virtual Power Plants with Electric Vehicle Management Providing Ancillary Services
Abstract
:1. Introduction
- A novel method based on GA has been designed, formulated, and tested for the EMS of a residential VPP that includes loads, renewable generation, ESS, and EVs. The proposed model is suitable for VPPs with limited resources.
- Although the reduction in the electricity bill is the main objective, technical support for the distribution grid is also considered. The literature has hardly examined AS provision from VPPs and energy communities to the distribution grid, even though this is an important challenge under the current energy transition circumstances.
- EVs are considered storage systems with a V2G strategy, respecting the time restriction and the availability of stored energy for mobility purposes. The previous literature has not examined the use of EVs as an EMS resource along with other ESSs to optimize energy costs and provide ASs at a residential level.
- Both single-objective and multi-objective methods are used and compared to combine economic and technical targets.
2. Case Study
3. Optimal Day-Ahead Schedule of Storage and Electric Vehicles
4. Results and Discussion of the Optimization
- PESSmax = 6 kW
- SoClo = 20%; SoChi = 100%
- SoCin = 50%
- ηch = ηdi = 0.95
- PEVmax = 7.4 kW
- nEV = 4
- nhEV = 8 (0–8 h)
- EEVtotal = 30 kWh
- Ppeak = 10 kW
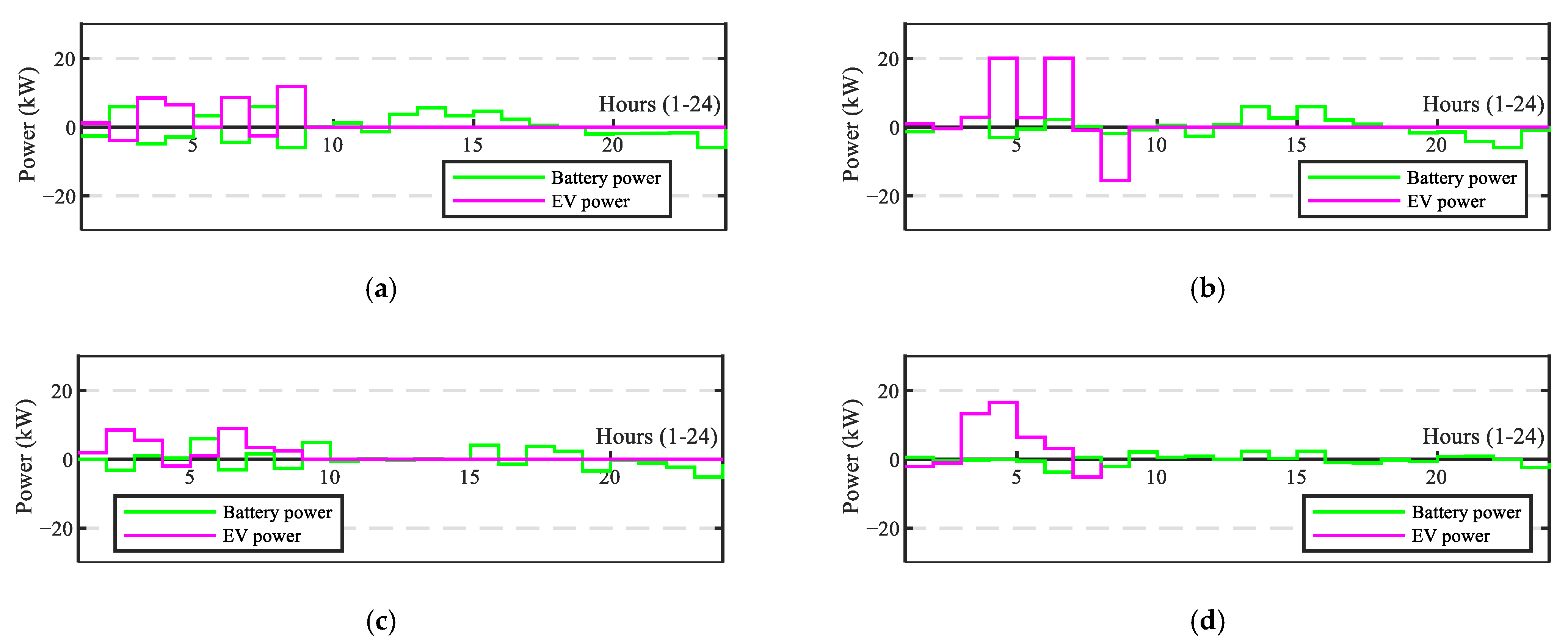
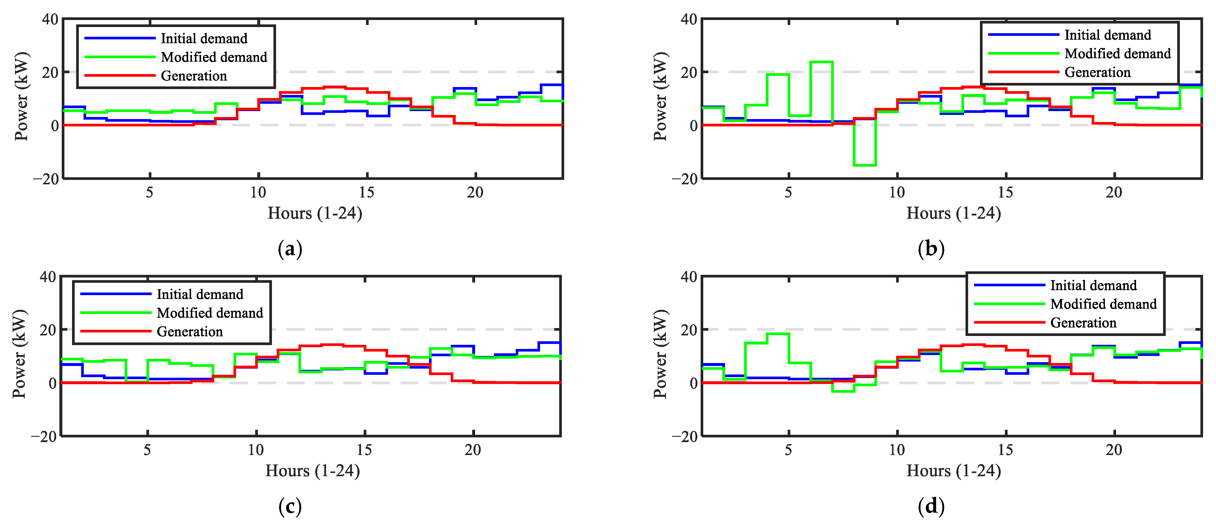
- Case 1: Minimization of Power Interchanged with the Grid
- Case 2: Minimization of the Electricity Bill
- Case 3: Minimization of the Electricity Bill Subjected to Grid Congestion Constraints
- Case 4: Multi-Objective Optimization
5. Conclusions
- Optimally sizing energy resources (PV power plants, ESSs, and EV clusters) to maximize economic advantages
- Considering uncertainties regarding PV generation and EV users’ habits within the optimization model
- Updating the energy scheduling during the day as far as information and estimations are better known
- Adapting constraints to the AS market at the distribution level, as far as they are developed in the regulations of different countries
- Designing a framework of peer-to-peer or aggregator-to-stakeholder contracts to optimally allocate economic benefits and savings
- Proposing similar management procedures for industrial/commercial VPPs, adapting assumptions and constraints
- Coordinating the daily energy scheduling of different VPPs to increase the capability of the aggregated resources to participate in electricity markets
- Exploring other heuristic and meta-heuristic optimization tools
Author Contributions
Funding
Data Availability Statement
Conflicts of Interest
Abbreviations
| ACRONYMS | |
| CVPP | Commercial virtual power plant |
| DSM | Demand side management |
| DSO | Distribution system operator |
| EMS | Energy management system |
| ESS | Energy storage system |
| EV | Electric vehicle |
| GA | Genetic algorithm |
| GSA | Gravitational search algorithm |
| GWO | Grey wolf optimization |
| IPS | Inclined planes system |
| MILP | Mixed integer linear programming |
| MOPSO | Multi-objective particle swarm optimization |
| MPC | Model predictive control |
| NLP | Non-linear programming |
| OPF | Optimal power flow |
| PSO | Particle swarm optimization |
| PV | Photovoltaic |
| SC | Self-consumption rate |
| SS | Self-sufficiency rate |
| TVPP | Technical virtual power plant |
| VPP | Virtual power plant |
| V2G | Vehicle-to-grid |
| VARIABLES | |
| Cnom | Nominal capacity of ESS, kWh |
| EEVtotal | Energy required for full EV charge, kWh |
| IESSch(h) | Binary index, 1 when PESS(h) > 0 |
| IESSdi(h) | Binary index, 1 when PESS(h) ≤ 0 |
| Ipur(h) | Binary index, 1 when Pgrid(h) ≤ 0 |
| Isel(h) | Binary index, 1 when Pgrid(h) > 0 |
| hEV | Hour at which any EV is grid-connected |
| nEV(h) | Number of EVs connected at hour h |
| nhEV | Number of hours with any EV connected |
| PESS(h) | ESS power at hour h (positive when charging), kW |
| PESSmax | Maximum ESS power, kW |
| PEV(h) | EV power at hour h (positive when charging), kW |
| PEVmax | Maximum power of an individual EV charger, kW |
| Pgrid(h) | Power interchanged with the grid at hour h (positive when injecting), kW |
| PLD(h) | Load demand power at hour h, kW |
| Ppeak | Peak value allowed for peak shaving, kW |
| PPV(h) | PV generation power at hour h, kW |
| ppur(h) | Price for purchased energy at hour h, EUR/kWh |
| psel(h) | Price for sold energy at hour h, EUR/kWh |
| SoC(h) | State of charge of ESS at hour h, % |
| SoCin | Initial value of SoC at hour h = 0, % |
| SoClo | Lower value of SoC recommended by manufacturer, % |
| SoCup | Upper value of SoC recommended by manufacturer, % |
| ηch | Charging efficiency of ESS, pu |
| ηdi | Discharging efficiency of ESS, pu |
References
- Nikonowicz, L.; Milewski, J. Virtual power plants-general review: Structure, application and optimization. J. Power Technol. 2012, 2, 135–149. [Google Scholar]
- Zhang, W.; He, C.; Qian, H.; Lin, Z.; Li, Y.; Zhao, X.; Shu, C. Virtual Power Plant Integration with Smart Grids: A Review. In Proceedings of the 2022 IEEE 5th International Electrical and Energy Conference (CIEEC), Nangjing, China, 27–29 May 2022; pp. 4755–4759. [Google Scholar]
- Bhuiyan, E.A.; Hossain, M.Z.; Muyeen, S.M.; Fahim, S.R.; Sarker, S.K.; Das, S.K. Towards next generation virtual power plant: Technology review and frameworks. Renew. Sustain. Energy Rev. 2021, 150, 111358. [Google Scholar] [CrossRef]
- Borisoot, K.; Liemthong, R.; Srithapon, C.; Chatthaworn, R. Optimal Energy Management for Virtual Power Plant Considering Operation and Degradation Costs of Energy Storage System and Generators. Energies 2023, 16, 2862. [Google Scholar] [CrossRef]
- Liu, J.; Hu, H.; Yu, S.S.; Trinh, H. Virtual Power Plant with Renewable Energy Sources and Energy Storage Systems for Sustainable Power Grid-Formation, Control Techniques and Demand Response. Energies 2023, 16, 3705. [Google Scholar] [CrossRef]
- Ahmadian, A.; Ponnambalam, K.; Almansoori, A.; Elkamel, A. Optimal Management of a Virtual Power Plant Consisting of Renewable Energy Resources and Electric Vehicles Using Mixed-Integer Linear Programming and Deep Learning. Energies 2023, 16, 1000. [Google Scholar] [CrossRef]
- Jo, H.-C.; Byeon, G.; Kim, J.-Y.; Kim, S.-K. Optimal scheduling for a zero net energy community microgrid with customer-owned energy storage systems. IEEE Trans. Power Syst. 2021, 36, 2273–2280. [Google Scholar] [CrossRef]
- Arkhangelski, J.; Abdou-Tankari, M.; Lefebvre, G. Day-Ahead optimal power flow for efficient energy management of urban microgrid. IEEE Trans. Ind. Applicat. 2021, 57, 1285–1293. [Google Scholar] [CrossRef]
- Bahloul, M.; Breathnach, L.; Cotter, J.; Daoud, M.; Saif, A.; Khadem, S. Role of aggregator in coordinating residential virtual power plant in “StoreNet”: A pilot project case study. IEEE Trans. Sustain. Energy 2022, 13, 2148–2158. [Google Scholar] [CrossRef]
- Rocha, R.; Silva, R.; Mello, J.; Faria, S.; Retorta, F.; Gouveia, C.; Villar, J. A three-stage model to manage energy communities, share benefits and provide local grid services. Energies 2023, 16, 1143. [Google Scholar] [CrossRef]
- Gough, M.; Santos, S.F.; Lotfi, M.; Javadi, M.S.; Osório, G.J.; Ashraf, P.; Castro, R.; Catalão, J.P. Operation of a technical virtual power plant considering diverse distributed energy resources. IEEE Trans. Ind. Applicat. 2022, 58, 2547–2558. [Google Scholar] [CrossRef]
- Rehman, A.U.; Wadud, Z.; Elavarasan, R.M.; Hafeez, G.; Khan, I.; Shafiq, Z.; Alhelou, H.H. An optimal power usage scheduling in smart grid integrated with renewable energy sources for energy management. IEEE Access 2021, 9, 84619–84638. [Google Scholar] [CrossRef]
- Iria, J.; Scott, P.; Attarha, A. Network-constrained bidding optimization strategy for aggregators of prosumers. Energy 2020, 207, 11826. [Google Scholar] [CrossRef]
- Dehghanniri, M.F.; Golkar, M.A.; Olanlari, F.G. Power exchanging of a VPP with its neighboring VPPs and participating in day-ahead and spinning reserve markets. In Proceedings of the 2022 30th International Conference on Electrical Engineering (ICEE), Tehran, Iran, 17–19 May 2022; pp. 336–340. [Google Scholar]
- Seal, S.; Boulet, B.; Dehkordi, V.R.; Bouffard, F.; Joos, G. Centralized MPC for Home Energy Management with EV as Mobile Energy Storage Unit. IEEE Trans. Sustain. Energy 2023, 14, 1425–1435. [Google Scholar] [CrossRef]
- Terada, L.Z.; López, J.C.; Guzmán, C.P.; Rider, M.J.; Da Silva, L.C.P. An IoT-based smart charging algorithm considering local distributed energy resources and V2G technology. In Proceedings of the 2022 International Conference on Smart Energy Systems and Technologies (SEST), Eindhoven, The Netherlands, 5–7 September 2022; pp. 1–6. [Google Scholar]
- Mohammad, A.; Zuhaib, M.; Ashraf, I. An optimal home energy management system with integration of renewable energy and energy storage with home to grid capability. Int. J. Energy Res. 2022, 46, 8352–8366. [Google Scholar] [CrossRef]
- Kryonidis, G.C.; Kontis, E.O.; Papadopoulos, T.A.; Pippi, K.D.; Nousdilis, A.I.; Barzegkar-Ntovom, G.A.; Boubaris, A.D.; Papanikolaou, N.P. Ancillary services in active distribution networks: A review of technological trends from operational and online analysis perspective. Renew. Sustain. Energy Rev. 2021, 147, 111198. [Google Scholar] [CrossRef]
- Vijay, A.; Afzal, W.; Tariq, M.; Mustafa, A.; Shahzad, A. Review of power generation optimization algorithms: Challenges and its applications. In Proceedings of the 2022 International Conference on Augmented Intelligence and Sustainable Systems (ICAISS), Trichy, India, 23–25 August 2022; pp. 1391–1397. [Google Scholar]
- Mataifa, H.; Krishnamurthy, S.; Kriger, C. Volt/VAR optimization: A survey of classical and heuristic optimization methods. IEEE Access 2022, 10, 13379–13399. [Google Scholar] [CrossRef]
- Mahdavi, M.; Alhelou, H.H.; Hatziargyriou, N.D.; Jurado, F. Reconfiguration of electric power distribution systems: Comprehensive review and classification. IEEE Access 2021, 9, 118502–118527. [Google Scholar] [CrossRef]
- Furse, C.M.; Kafal, M.; Razzaghi, R.; Shin, Y.-J. Fault diagnosis for electrical systems and power networks: A review. IEEE Sens. J. 2021, 21, 888–906. [Google Scholar] [CrossRef]
- Sharma, R.; Sharma, K.K. Review of economic load dispatch problems by intelligence based optimization. In Proceedings of the 2022 2nd International Conference on Advance Computing and Innovative Technologies in Engineering (ICACITE), Greater Noida, India, 28–29 April 2022; pp. 1646–1650. [Google Scholar]
- Rahman, Y.A.; Manjang, S.; Ilham, A.A. An empirical metaheuristic assessment for solving of multi-type distributed generation allocation problem. In Proceedings of the 2018 International Seminar on Research of Information Technology and Intelligent Systems (ISRITI), Yogyakarta, Indonesia, 21–22 November 2018; pp. 699–702. [Google Scholar]
- Latif, A.; Paul, M.; Das, D.C.; Hussain, S.M.S.; Ustun, T.S. Price Based Demand Response for Optimal Frequency Stabilization in ORC Solar Thermal Based Isolated Hybrid Microgrid under Salp Swarm Technique. Electronics 2020, 9, 2209. [Google Scholar] [CrossRef]
- Qayyum, N.; Amin, A.; Jamil, U.; Mahmood, A. Optimization techniques for home energy management: A review. In Proceedings of the 2019 2nd International Conference on Computing, Mathematics and Engineering Technologies (iCoMET), Sukkur, Pakistan, 30–31 January 2019; pp. 1–7. [Google Scholar]
- Tsioumas, E.; Jabbour, N.; Koseoglou, M.; Papagiannis, D.; Mademlis, C. Enhanced sizing methodology for the renewable energy sources and the battery storage system in a nearly zero energy building. IEEE Trans. Power Electron. 2021, 36, 10142–10156. [Google Scholar] [CrossRef]
- Celik, B.; Roche, R.; Bouquain, D.; Miraoui, A. Decentralized neighborhood energy management with coordinated smart home energy sharing. IEEE Trans. Smart Grid 2018, 9, 6387–6397. [Google Scholar] [CrossRef]
- Lin, C.-C.; Deng, D.-J.; Kuo, C.-C.; Liang, Y.-L. Optimal charging control of energy storage and electric vehicle of an individual in the internet of energy with energy trading. IEEE Trans. Ind. Inform. 2018, 14, 2570–2578. [Google Scholar] [CrossRef]
- Tabrizi, A.R. Energy management system optimization for grid connected microgrids in presence of energy storage. In Proceedings of the 2022 International Congress on Human-Computer Interaction, Optimization and Robotic Applications (HORA), Ankara, Turkey, 9–11 June 2022; pp. 1–7. [Google Scholar]
- Deng, Y.; Zhang, Y.; Luo, F.; Ranzi, G. Many-objective HEMS based on multi-scale occupant satisfaction modelling and second-life BESS utilization. IEEE Trans. Sustain. Energy 2022, 13, 934–947. [Google Scholar] [CrossRef]
- Abdullah-Al-Nahid, S.; Ahmed Khan, T.; Taseen, M.A.; Jamal, T.; Aziz, T. A novel consumer-friendly electric vehicle charging scheme with vehicle to grid provision supported by genetic algorithm based optimization. J. Energy Storage 2022, 50, 104655. [Google Scholar] [CrossRef]
- Ruiz-Cortes, M.; González-Romera, E.; Amaral-Lopes, R.; Romero-Cadaval, E.; Martins, J.; Milanes-Montero, M.I.; Barrero-Gonzalez, F. Optimal charge/discharge scheduling of batteries in microgrids of prosumers. IEEE Trans. Energy Convers. 2019, 34, 468–477. [Google Scholar] [CrossRef]
- González-Romera, E.; Ruiz-Cortés, M.; Milanés-Montero, M.I.; Barrero-González, F.; Romero-Cadaval, E.; Lopes, R.A.; Martins, J. Advantages of minimizing energy exchange instead of energy cost in prosumer microgrids. Energies 2019, 12, 719. [Google Scholar] [CrossRef]
- Taherkhani, M.; Safabakhsh, R. A novel stability-based adaptive inertia weight for particle swarm optimization. Appl. Soft Comput. 2016, 38, 281–295. [Google Scholar] [CrossRef]
- Li, G.; Wang, Y.; Yu, Y.; Zhu, D.; Chen, H. Ship Energy Management Strategy Based on Improved Gravitational Search Algorithm. In Proceedings of the 2022 5th International Conference on Intelligent Autonomous Systems (ICoIAS), Dalian, China, 23–25 September 2022; pp. 273–279. [Google Scholar]
- Marszal-Pomianowska, A.; Heiselberg, P.; Larsen, O.K. Household electricity demand profiles—A high-resolution load model to facilitate modelling of energy flexible buildings. Energy 2016, 103, 487–501. [Google Scholar] [CrossRef]
- Roldán Fernández, J.M.; Burgos Payán, M.; Riquelme Santos, J.M. Profitability of household photovoltaic self-consumption in Spain. J. Clean. Prod. 2021, 279, 123439. [Google Scholar] [CrossRef]
- Gallego-Castillo, C.; Heleno, M.; Victoria, M. Self-consumption for energy communities in Spain: A regional analysis under the new legal framework. Energy Policy 2021, 150, 112144. [Google Scholar] [CrossRef]
- BOE no. 306, 22 Dec. 2022. Resolución de 15 de Diciembre de 2022, de la Comisión Nacional de los Mercados y la Competencia, por la Que se Establecen los Valores de los Peajes de Acceso a las Redes de Transporte y Distribución de Electricidad de Aplicación a Partir del 1 de Enero de 2023 (Resolution of 15 Dec. 2022, of CNMC, that Approves Transmission and Distribution Tariffs, from 1 Jan. 2023). Available online: https://www.boe.es/diario_boe/txt.php?id=BOE-A-2022-21799 (accessed on 15 June 2023).
- REE-ESIOS, 1 February 2023. Market and Prices. Available online: https://www.esios.ree.es/en (accessed on 10 February 2023).










| Paper | ESS | EV | Role of EV within EMS | Optimization Method | AS or Network Support |
|---|---|---|---|---|---|
| [7] | ✓ | ✕ | - | MILP | ✕ |
| [8] | ✓ | ✕ | - | OPF | ✓ |
| [9] | ✓ | ✕ | - | MILP | ✓ |
| [10] | ✓ | ✕ | - | MILP/OPF | ✓ |
| [11] | ✕ | ✓ | EMS resource | MILP | ✓ |
| [12] | ✓ | ✓ | Backup storage | Several heuristic | ✓ |
| [13] | ✕ | ✓ | EMS resource | OPF | ✓ |
| [14] | ✓ | ✓ | EMS resource | MILP | ✕ |
| [15] | ✓ | ✓ | EMS resource | MPC | ✕ |
| [16] | ✓ | ✓ | Charging—V2G if possible | None | ✕ |
| [17] | ✓ | ✓ | States: charge/discharge/idle, no power modulation | GWO | ✕ |
| [28] | ✓ | ✕ | - | GA | ✕ |
| [29] | ✓ | ✓ | EMS resource | GA/MILP | ✕ |
| [30] | ✓ | ✕ | - | GA/MOPSO | ✕ |
| [31] | ✓ | ✕ | - | GA | ✕ |
| [32] | ✕ | ✓ | Charging—V2G only in overloaded hours | GA | ✓ |
| [33] | ✓ | ✕ | - | GA | ✕ |
| [34] | ✓ | ✕ | - | GA | ✕ |
| Current Paper | ✓ | ✓ | EMS resource | GA | ✓ |
| Case | Base | 1 | 2 | 3 | 4 |
|---|---|---|---|---|---|
| Description | Without ESS | Min. power interchange (2) | Min. cost (3) | Min. cost (3) + peak shaving (11) | Multi-objective (2) and (3) |
| SC (%) | 59.87 | 79.10 | 58.16 | 62.88 | 57.75 |
| SS (%) | 33.89 | 53.30 | 39.19 | 42.36 | 38.91 |
| Electricity bill (EUR/day) | 23.47 | 20.58 | 19.95 | 21.94 | 22.53 |
| Cost saving (%) | 0 | 12.3 | 15.0 | 6.5 | 4.0 |
| Extreme power peak (kW) | −36.44 | −11.09 | −23.67 | −10 | −18.32 |
Disclaimer/Publisher’s Note: The statements, opinions and data contained in all publications are solely those of the individual author(s) and contributor(s) and not of MDPI and/or the editor(s). MDPI and/or the editor(s) disclaim responsibility for any injury to people or property resulting from any ideas, methods, instructions or products referred to in the content. |
© 2023 by the authors. Licensee MDPI, Basel, Switzerland. This article is an open access article distributed under the terms and conditions of the Creative Commons Attribution (CC BY) license (https://creativecommons.org/licenses/by/4.0/).
Share and Cite
González-Romera, E.; Romero-Cadaval, E.; Roncero-Clemente, C.; Milanés-Montero, M.-I.; Barrero-González, F.; Alvi, A.-A. A Genetic Algorithm for Residential Virtual Power Plants with Electric Vehicle Management Providing Ancillary Services. Electronics 2023, 12, 3717. https://doi.org/10.3390/electronics12173717
González-Romera E, Romero-Cadaval E, Roncero-Clemente C, Milanés-Montero M-I, Barrero-González F, Alvi A-A. A Genetic Algorithm for Residential Virtual Power Plants with Electric Vehicle Management Providing Ancillary Services. Electronics. 2023; 12(17):3717. https://doi.org/10.3390/electronics12173717
Chicago/Turabian StyleGonzález-Romera, Eva, Enrique Romero-Cadaval, Carlos Roncero-Clemente, María-Isabel Milanés-Montero, Fermín Barrero-González, and Anas-Abdullah Alvi. 2023. "A Genetic Algorithm for Residential Virtual Power Plants with Electric Vehicle Management Providing Ancillary Services" Electronics 12, no. 17: 3717. https://doi.org/10.3390/electronics12173717
APA StyleGonzález-Romera, E., Romero-Cadaval, E., Roncero-Clemente, C., Milanés-Montero, M.-I., Barrero-González, F., & Alvi, A.-A. (2023). A Genetic Algorithm for Residential Virtual Power Plants with Electric Vehicle Management Providing Ancillary Services. Electronics, 12(17), 3717. https://doi.org/10.3390/electronics12173717

