Repurposing Insecticides for Mosquito Control: Evaluating Spiromesifen, a Lipid Synthesis Inhibitor against Aedes aegypti (L.)
Abstract
1. Introduction
2. Materials and Methods
2.1. Collection and Rearing of Biological Material
2.2. Assessing Temephos Resistance in Ae. aegypti Populations
2.3. Bioassays with Spiromesifen
2.4. Effects of Exposure to Spiromesifen
2.4.1. Exposure to LC50 of Spiromesifen
2.4.2. Morphometric Measurements
2.4.3. Body Biochemical Composition
2.4.4. Determination of Catalase (CAT) Activity and Malondialdehyde (MDA)
2.5. Evaluation of Sterilizing Properties
2.6. Statistical Analysis
3. Results
3.1. Susceptibility to Temephos
3.2. Susceptibility to Spiromesifen
3.3. Effects of LC50 of Spiromesifen in Larvae
3.3.1. Effects of Exposure to LC50 of Spiromesifen on Body Weight and Volume
3.3.2. Effect of Spiromesifen on the Biochemical Composition of Larvae
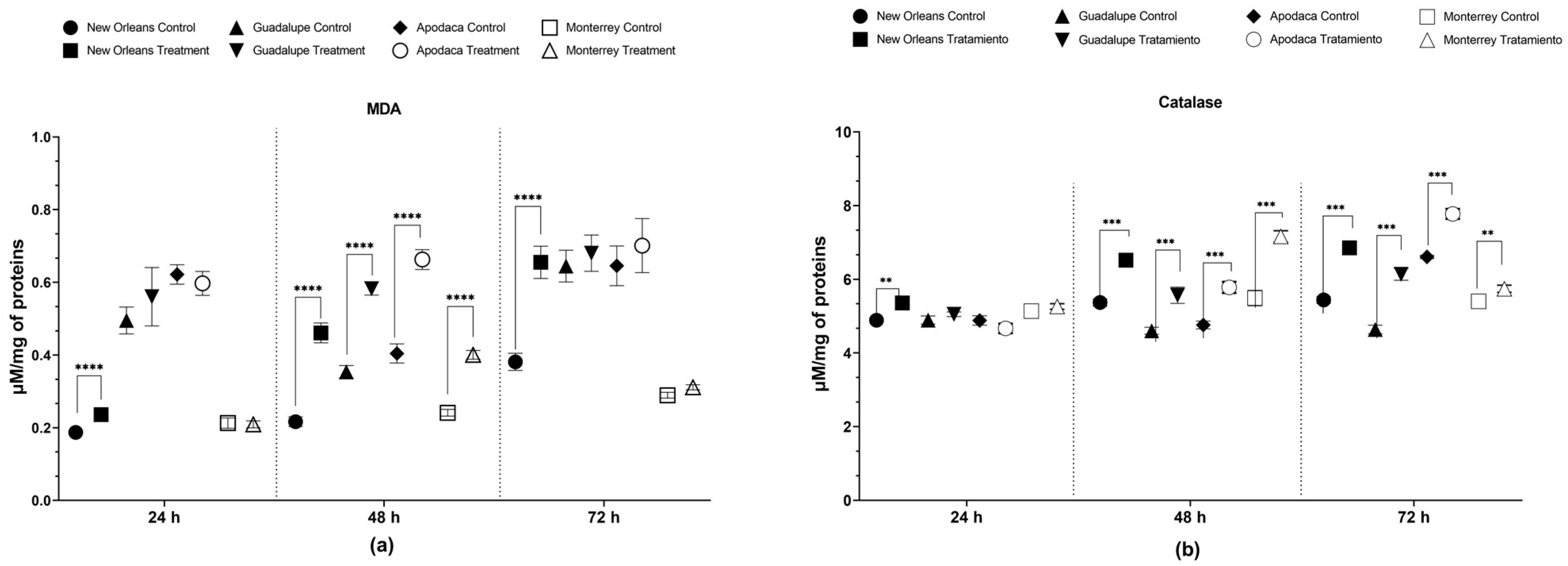
3.3.3. Effects of Spiromesifen on Oxidative Stress Biomarkers in Ae. aegypti Larvae
3.4. Effects of Spiromesifen in Ae. aegypti Adult Females
3.4.1. Sterilizing Effect of Spiromesifen
3.4.2. Carbohydrate and Lipid Contents in Females Exposed to LC50 and LC99 of Spiromesifen
4. Discussion
5. Conclusions
Supplementary Materials
Author Contributions
Funding
Institutional Review Board Statement
Informed Consent Statement
Data Availability Statement
Conflicts of Interest
References
- Powell, J.R. Mosquito-Borne Human Viral Diseases: Why Aedes aegypti? Am. J. Trop. Med. Hyg. 2018, 98, 1563–1565. [Google Scholar] [CrossRef] [PubMed]
- Moyes, C.L.; Vontas, J.; Martins, A.J.; Ng, L.C.; Koou, S.Y.; Dusfour, I.; Raghavendra, K.; Pinto, J.; Corbel, V.; David, J.P.; et al. Contemporary status of insecticide resistance in the major Aedes vectors of arboviruses infecting humans. PLoS Negl. Trop. Dis. 2017, 11, e0005625. [Google Scholar] [CrossRef] [PubMed]
- Wilson, A.L.; Courtenay, O.; Kelly-Hope, L.A.; Scott, T.W.; Takken, W.; Torr, S.J.; Lindsay, S.W. The importance of vector control for the control and elimination of vector-borne diseases. PLoS Negl. Trop. Dis. 2020, 14, e0007831. [Google Scholar] [CrossRef] [PubMed]
- Becker, N.; Petric, D.; Zgomba, M.; Boase, C.; Dahl, C.; Madon, M.; Kaiser, A. Book Mosquitoes and Their Control, 2nd ed.; Springer: Berlin/Heidelberg, Germany, 2010; p. 577. [Google Scholar]
- Van den Berg, H.; da Silva Bezerra, H.S.; Al-Eryani, S.; Chanda, E.; Nagpal, B.N.; Knox, T.B.; Velayudhan, R.; Yadav, R.S. Recent trends in global insecticide use for disease vector control and potential implications for resistance management. Sci. Rep. 2021, 11, 23867. [Google Scholar] [CrossRef] [PubMed]
- World Health Organization (WHO). Global Insecticide Use for Vector-Borne Disease Control. 2009. Available online: https://www.who.int/publications/i/item/9789241598781 (accessed on 3 March 2022).
- World Health Organization (WHO). Global Insecticide Use for Vector-Borne Disease Control: A 10-Year Assessment, 6th ed.; World Health Organization: Geneva, Switzerland, 2021; p. 64. Available online: https://iris.who.int/bitstream/handle/10665/345573/9789240032033-eng.pdf (accessed on 3 March 2022).
- DOF (Diario Oficial de la Federación). NOM-032-SSA-2-2002 Para la Vigilancia Epidemiológica, Prevención Y Control de Enfermedades Transmitidas Por Vectores. México, 2003. Available online: https://www.dof.gob.mx/nota_detalle.php?codigo=5389045&fecha=16/04/2015 (accessed on 12 January 2024).
- Centro Nacional de Programas Preventivos y Control de Enfermedades. Evaluación de la Eficacia Biológica de Los Larvicidas y Reguladores de Crecimiento Utilizados en el Programa de Enfermedades Transmitidas por Vectores 2021: CENAPRECE 2021. Available online: https://www.gob.mx/salud/cenaprece/documentos/evaluacion-de-la-eficacia-biologica-de-larvicidas-y-reguladores-de-crecimiento-utilizados-en-el-programa-de-enfermedades-transmitidas-por-ve (accessed on 12 January 2024).
- Davila-Barboza, J.A.; Gutierrez-Rodriguez, S.M.; Juache-Villagrana, A.E.; Lopez-Monroy, B.; Flores, A.E. Widespread resistance to temephos in Aedes aegypti (Diptera: Culicidae) from Mexico. Insects 2024, 15, 120. [Google Scholar] [CrossRef] [PubMed]
- Dusfour, I.; Vontas, J.; David, J.P.; Weetman, D.; Fonseca, D.M.; Corbel, V.; Raghavendra, K.; Coulibaly, M.B.; Martins, A.J.; Kasai, S.; et al. Management of insecticide resistance in the major Aedes vectors of arboviruses: Advances and challenges. PLoS Negl. Trop. Dis. 2019, 13, e0007615. [Google Scholar] [CrossRef]
- Flores, A.E.; Salomon-Grajales, J.; Fernandez-Salas, I.; Ponce-Garcia, G.; Loaiza-Becerra, M.H.; Lozano, S.; Brogdon, W.G.; Black, W.C., 4th; Beaty, B. Mechanisms of insecticide resistance in field populations of Aedes aegypti (L.) from Quintana Roo, Southern Mexico. J. Am. Mosq. Control. Assoc. 2006, 22, 672–677. [Google Scholar] [CrossRef]
- Flores, A.E.; Albeldaño-Vázquez, W.; Fernández-Salas, I.; Badii, M.H.; Loaiza-Becerra, H.; Ponce-Garcia, G.; Lozano-Fuentes, S.; Brogdon, W.G.; Black, W.C., 4th; Beaty, B. Elevated alfa-esterases levels associated with permethrin tolerance in Aedes aegypti (L.) from Baja California, Mexico. Pestic. Biochem. Physiol. 2005, 82, 66–78. [Google Scholar] [CrossRef]
- Flores, A.E.; Reyes-Solis, G.; Fernandez-Salas, I.; Sanchez-Ramos, F.J.; Ponce-García, G. Resistance to permethrin in Aedes aegypti (L.) in Northern Mexico. Southwest Entomol. 2009, 34, 167–177. [Google Scholar] [CrossRef]
- Aponte, H.A.; Penilla, R.P.; Dzul-Manzanilla, F.; Che-Mendoza, A.; López, A.D.; Solis, F.; Manrique-Saide, P.; Ranson, H.; Lenhart, A.; McCall, P.J.; et al. The pyrethroid resistance status and mechanisms in Aedes aegypti from the Guerrero state, Mexico. Pestic. Biochem. Physiol. 2013, 107, 226–234. [Google Scholar] [CrossRef]
- Flores, A.E.; Ponce, G.; Silva, B.G.; Gutierrez, S.M.; Bobadilla, C.; Lopez, B.; Mercado, R.; Black, W.C., 4th. Widespread cross resistance to pyrethroids in Aedes aegypti (Diptera: Culicidae) from Veracruz state Mexico. J. Econ. Entomol. 2013, 106, 959–969. [Google Scholar] [CrossRef]
- Vera-Maloof, F.Z.; Saavedra-Rodriguez, K.; Elizondo-Quiroga, A.E.; Lozano-Fuentes, S.; Black, W.C., 4th. Coevolution of the Ile 1,016 and Cys1,534 mutations in the voltage-gated sodium channel gene of Aedes aegypti in Mexico. PLoS Negl. Trop. Dis. 2015, 9, e0004263. [Google Scholar] [CrossRef] [PubMed]
- Flores, A.E.; Ponce-García, G.; Lopez-Monroy, B.; Villanueva-Segura, O.K.; Rodríguez-Sánchez, I.P.; Arredondo-Jímenez, J.I.; Manrique-Saide, P. Current status of the insecticide resistance in Aedes aegypti (Diptera: Culicidae) from Mexico. In Insecticides Resistance; Trdan, S., Ed.; IntechOpen: London, UK, 2016; pp. 99–109. [Google Scholar] [CrossRef]
- Saavedra-Rodriguez, K.; Maloof, F.V.; Campbell, C.L.; Garcia-Rejon, J.; Lenhart, A.; Penilla, P.; Rodriguez, A.; Sandoval, A.A.; Flores, A.E.; Ponce, G.; et al. Parallel evolution of vgsc mutations at domains IS6, IIS6 and IIIS6 in pyrethroid resistant Aedes aegypti from Mexico. Sci. Rep. 2018, 8, 6747. [Google Scholar] [CrossRef] [PubMed]
- Lopez-Monroy, B.; Gutierrez-Rodriguez, S.M.; Villanueva-Segura, O.K.; Ponce-Garcia, G.; Morales-Forcada, F.; Alvarez, L.C.; Flores, A.E. Frequency and intensity of pyrethroid resistance through the CDC bottle bioassay and their association with the frequency of kdr mutations in Aedes aegypti (Diptera: Culicidae) from Mexico. Pest Manag. Sci 2018, 74, 2176–2184. [Google Scholar] [CrossRef]
- Contreras-Perera, Y.; Ponce-Garcia, G.; Villanueva-Segura, K.; Lopez-Monroy, B.; Rodríguez-Sanchez, I.P.; Lenhart, A.; Manrique-Saide, P.; Flores, A.E. Impact of deltamethrin selection on kdr mutations and insecticide detoxifying enzymes in Aedes aegypti from Mexico. Parasite Vector 2020, 13, 224. [Google Scholar] [CrossRef]
- López-Solís, A.D.; Castillo-Vera, A.; Cisneros, J.; Solis-Santoyo, F.; Penilla-Navarro, R.P.; Black IV, W.C.; Torres-Estrada, J.L.; Rodriguez, A.D. Resistencia a insecticidas en Aedes aegypti y Aedes albopictus (Diptera: Culicidae) de Tapachula, Chiapas, México. Salud Pública México 2020, 62, 439–446. [Google Scholar] [CrossRef]
- Solís-Santoyo, F.; Rodríguez, A.D.; Black, W.; Saavedra-Rodríguez, K.; Sánchez-Guillén, D.; Castillo-Vera, A.; Gonzalez-Gomez, R.; Lopez-Solis, A.D.; Penilla-Navarro, R.P. Current enzyme-mediated insecticide resistance status of Aedes aegypti populations from a dengue-endemic city in Southern Mexico. Salud Pública México 2023, 65, 19–27. [Google Scholar] [CrossRef]
- WHO. The Technical Basis for Coordinated Action Against Insecticide Resistance: Preserving the Effectiveness of Modern Malaria Vector Control: WHO, Geneva, Meeting Report. 2011. Available online: https://iris.who.int/bitstream/handle/10665/44526/9789241501095_eng.pdf (accessed on 3 March 2023).
- Fortune Business Insights. Crop Protection Chemicals Market Size, Share & Industry Analysis, by Type (Herbicides, Insecticides, Fungicides, and Others), By Source (Synthetic Chemicals and Biologicals), By Mode of Application (Foliar Spray, Soil Treatment, Seed Treatment, and Others), By Crop Type, and Regional Forecast, 2024–2032. Available online: https://www.fortunebusinessinsights.com/industry-reports/crop-protection-chemicals-market-100080 (accessed on 28 June 2024).
- Mordor Intelligence. Crop Protection Chemicals Market Size—Industry Report on Share, Growth Trends & Forecasts Analysis Up to 2029. Available online: https://www.mordorintelligence.com/industry-reports/global-crop-protection-chemicals-pesticides-market-industry (accessed on 28 June 2024).
- Grand View Research. Agrochemicals Market Size, Share & Trends Analysis Report By Product (Fertilizers, Crop Protection Chemicals), By Application (Cereal & Grains, Oilseeds & Pulses, Fruits & Vegetables), By Region, and Segment Forecasts, 2024–2030. Available online: https://www.grandviewresearch.com/industry-analysis/agrochemicals-marke (accessed on 28 June 2024).
- Hoppé, M.; Hueter, O.F.; Bywater, A.; Wege, P.; Maienfisch, P. Evaluation of commercial agrochemicals as new tools for malaria vector control. Chimia 2016, 70, 721–729. [Google Scholar] [CrossRef] [PubMed]
- Lees, R.; Praulins, G.; Davies, R.; Brown, F.; Parsons, G.; White, A.; Ranson, H.; Small, G.; Malone, D. A testing cascade to identify repurposed insecticides for next-generation vector control tools: Screening a panel of chemistries with novel modes of action against a malaria vector. Gates Open Res. 2019, 3, 1464. [Google Scholar] [CrossRef]
- Sparks, T.C.; Nauen, R. IRAC: Mode of action classification and insecticide resistance management. Pestic. Biochem. Physiol. 2015, 121, 122–128. [Google Scholar] [CrossRef]
- Nauen, R.; Bretschneider, T.; Brueck, E.; Elbert, A.; Reckmann, U.; Wachendorff, U.; Tiemann, R. BSN 2060—A novel compound for whitefly and spider mite control. Proc. Brighton Crop Prot. Conf.—Pests Dis. 2002, 1, 39–44. [Google Scholar]
- Bretschneider, T.; Benet-Buchholz, J.; Fischer, R.; Nauen, R. Spirodiclofen and spiromesifen-novel acaricidal and insecticidal tetronic acid derivatives with a new mode of action. Chimia 2003, 57, 697–701. [Google Scholar] [CrossRef]
- Bielza, P.; Moreno, I.; Belando, A.; Grávalos, C.; Izquierdo, J.; Nauen, R. Spiromesifen and spirotetramat resistance in field populations of Bemisia tabaci Gennadius in Spain. Pest Manag. Sci. 2019, 75, 45–52. [Google Scholar] [CrossRef] [PubMed]
- Kissoum, N.; Soltani, N. Spiromesifen, an insecticide inhibitor of lipid synthesis, affects the amounts of carbohydrates, glycogen and the activity of lactate dehydrogenase in Drosophila melanogaster. J. Entomol. Zool. Stud. 2016, 4, 452–456. [Google Scholar]
- Kaczmarek, A.; Bogus, M. The metabolism and role of free fatty acids in key physiological processes in insects of medical, veterinary and forensic importance. PeerJ 2021, 9, e12563. [Google Scholar] [CrossRef] [PubMed]
- Hahn, D.A.; Denlinger, D.L. Meeting the energetic demands of insect diapause: Nutrient storage and utilization. J. Insect Physiol. 2007, 53, 760–773. [Google Scholar] [CrossRef] [PubMed]
- Reynolds, J.A.; Poelchau, M.F.; Rahman, Z.; Armbruster, P.A.; Denlinger, D.L. Transcript profiling reveals mechanisms for lipid conservation during diapause in the mosquito, Aedes albopictus. J. Insect Physiol. 2012, 58, 966–973. [Google Scholar] [CrossRef] [PubMed]
- Dunning, K.R.; Russell, D.L.; Robker, R.L. Lipids and oocyte developmental competence: The role of fatty acids and β-oxidation. Reproduction 2014, 148, 15–27. [Google Scholar] [CrossRef] [PubMed]
- Van Handel, E. Fuel metabolism of the mosquito (Culex quinquefasciatus) embryo. J. Insect Physiol. 1993, 39, 831–833. [Google Scholar] [CrossRef]
- Ziegler, R.; Ibrahim, M.M. Formation of lipid reserves in fat body and eggs of the yellow fever mosquito, Aedes aegypti. J. Insect Physiol. 2001, 47, 623–627. [Google Scholar] [CrossRef]
- Mikkelsen, R.B.; Kamber, M.; Lin, P.S.; Wadwa, K.S.; Schmidt-Ullrich, R. The role of lipids in Plasmodium falciparum invasion of erythrocytes: A coordinated biochemical and microscopic analysis. Proc. Natl. Acad. Sci. USA 1998, 85, 5956–5960. [Google Scholar] [CrossRef]
- Ressurreição, M.; van Ooij, C. Lipid transport proteins in malaria, from Plasmodium parasites to their hosts. Biochim. Biophys. Acta Mol. Cell Biol. Lipids 2021, 1866, e159047. [Google Scholar] [CrossRef]
- Heaton, N.S.; Perera, R.; Berger, K.L.; Khadka, S.; Lacount, D.J.; Kuhn, R.J.; Randall, G. Dengue virus nonstructural protein 3 redistributes fatty acid synthase to sites of viral replication and increases cellular fatty acid synthesis. Proc. Natl. Acad. Sci. USA 2010, 107, 17345–17350. [Google Scholar] [CrossRef]
- Martín-Acebes, M.A.; Blázquez, A.B.; Jimenez-de-Oya, N.; Escribano-Romero, E.; Saiz, J.C. West Nile virus replication requires fatty acid synthesis but is independent on phosphatidylinositol-4-phosphate lipids. PLoS ONE 2011, 6, e24970. [Google Scholar] [CrossRef]
- Perera, R.; Riley, C.; Isaac, G.; Hopf-Jannasch, A.S.; Moore, R.J.; Weitz, K.W.; Pasa-Tolic, L.; Metz, T.O.; Adamec, J.; Kuhn, R.J. Dengue virus infection perturbs lipid homeostasis in infected mosquito cells. PLoS Pathog. 2012, 8, e1002584. [Google Scholar] [CrossRef]
- Barletta-Ferreira, A.B.; Alves, L.R.; Nascimento-Silva, M.C.L.; Sim, S.; Dimopoulos, G.; Liechocki, S.; Maya-Monteiro, C.M.; Ferreira-Sorgine, M.H. Emerging role of lipid droplets in Aedes aegypti immune response against bacteria and dengue virus. Sci. Rep. 2016, 6, 19928. [Google Scholar] [CrossRef]
- Merino-Ramos, T.; Vázquez-Calvo, Á.; Casas, J.; Sobrino, F.; Saiz, J.C.; Martín-Acebes, M.A. Modification of the host cell lipid metabolism induced by hypolipidemic drugs targeting the acetyl coenzyme A carboxylase impairs West Nile virus replication. Antimicrob. Agents Chemother. 2015, 60, 307–315. [Google Scholar] [CrossRef]
- Chotiwan, N.; Andre, B.G.; Sanchez-Vargas, I.; Islam, M.N.; Grabowski, J.M.; Hopf-Jannasch, A.; Gough, E.; Nakayasu, E.; Blair, C.D.; Belisle, J.T.; et al. Dynamic remodeling of lipids coincides with dengue virus replication in the midgut of Aedes aegypti mosquitoes. PLoS Pathog. 2018, 14, e1006853. [Google Scholar] [CrossRef]
- Nauen, R.; Schnorbach, H.J.; Elbert, A. The biological profile of spiromesifen (Oberon®) a new tetronic acid insecticide/acaricide. Pflanzenschutz-Nachrichten Bayer 2005, 58, 417–440. [Google Scholar]
- Nauen, R.; Konanz, S. Spiromesifen as a new chemical option for resistance management in whiteflies and spider mites. Pflanzenschutz-Nachrichten Bayer. 2005, 58, 485–502. [Google Scholar]
- Bouabida, H.; Samir, T.; Tine-Djebbar, F.; Soltani, N. Activity of spiromesifen on growth and development of Culex pipiens (Diptera: Culicidae): Toxicological, biometrical and biochemical aspects. J. Entomol. Zool. Stud. 2017, 5, 572–577. [Google Scholar]
- Bouabida, H.; Tine-Djebbar, F.; Tine, S.; Soltani, N. Activity of a lipid synthesis inhibitor (spiromesifen) in Culiseta longiareolata (Diptera: Culicidae). Asian Pac. J. Trop. Biomed. 2017, 7, 1120–1124. [Google Scholar] [CrossRef]
- Kontsedalov, S.; Gottlieb, Y.; Ishaaya, I.; Nauen, R.; Horowitz, R.; Ghanim, M. Toxicity of spiromesifen to the developmental stages of Bemisia tabaci biotype B. Pest Manag. Sci. 2008, 65, 5–13. [Google Scholar] [CrossRef]
- Tucuch-Haas, J.I.; Silva-Aguayo, G.; Rodríguez-Maciel, J.C. Oviposition of Bactericera cockerelli (Sulc) (Hemiptera: Triozidae) on Capsicum chinense (Jacq) treated with spiromesifen or spirotetramat. Rev. Fitotec. Mex. 2020, 43, 317–323. [Google Scholar] [CrossRef]
- Çobanoglu, S.; Güldali-Kandiltas, B. Toxicity of spiromesifen on different developmental stages of two-spotted spider mite, Tetranychus urticae Koch (Acari: Tetranychidae). Persian J. Acarol. 2019, 8, 57–68. [Google Scholar] [CrossRef]
- Kissoum, N.; Bensafi-Gheraibia, H.; Hamida, Z.C.; Soltani, N. Evaluation of the pesticide Oberon on a model organism Drosophila melanogaster via topical toxicity test on biochemical and reproductive parameters. Comp. Biochem. Physiol. C Toxicol. Pharmacol. 2020, 228, 108666. [Google Scholar] [CrossRef]
- World Health Organization (WHO). Vector Resistance to Pesticides: Fifteenth Report of the WHO Expert Committee on Vector Biology and Control. 1992. Available online: https://www.who.int/publications/i/item/WHO-TRS-818 (accessed on 3 March 2022).
- Abbott, W.S. A method of computing the effectiveness of an insecticide. J. Econ. Entomol. 1925, 18, 265–267. [Google Scholar] [CrossRef]
- World Health Organization (WHO). Monitoring and Managing Insecticide Resistance in Aedes Mosquito Populations. Interim Guidance for Entomologists. 2016. Available online: https://www.who.int/publications/i/item/WHO-ZIKV-VC-16.1 (accessed on 3 March 2022).
- Timmermann, S.E.; Briegel, H. Larval growth and biosynthesis of reserves in mosquitoes. J. Insect Physiol. 1999, 45, 461–470. [Google Scholar] [CrossRef]
- Foray, V.; Pelisson, P.F.; Bel-Venner, M.C.; Desouhant, E.; Venner, S.; Menu, F.; Giron, D.; Rey, B. A handbook for uncovering the complete energetic budget in insects: The van Handel's method (1985) revisited. Physiol. Entomol. 2012, 37, 295–302. [Google Scholar] [CrossRef]
- Van Handel, E. Rapid determination of glycogen and sugars in mosquitoes. J. Am. Mosq. Control Assoc. 1985, 1, 299–301. [Google Scholar]
- Van Handel, E. Rapid determination of total lipids in mosquitoes. J. Am. Mosq. Control Assoc. 1985, 1, 302–304. [Google Scholar]
- Bradford, M.M. A rapid and sensitive method for the quantitation of microgram quantities of protein utilizing the principle of protein-dye binding. Anal. Biochem. 1976, 72, 248–254. [Google Scholar] [CrossRef]
- Van Handel, E. Microseparation of glycogen, sugars, and lipids. Anal. Biochem. 1976, 11, 266–271. [Google Scholar] [CrossRef]
- Van Handel, E.; Day, J.F. Assay of lipids, glycogen and sugars in individual mosquitoes: Correlations with wing lenght in field-collected Aedes vexans. J. Am. Mosq. Control Assoc. 1988, 4, 549–550. [Google Scholar]
- Claiborne, A. Catalase activity. In Handbook of Methods for Oxygen Radical Research, 1st ed.; CRC Press: Boca Raton, FI, USA, 1985; pp. 283–284. [Google Scholar]
- Draper, H.H.; Hadley, M. Malondialdehyde determination as index of lipid Peroxidation. Methods Enzymol. 1990, 186, 421–431. [Google Scholar] [CrossRef]
- World Health Organization (WHO). Standard Operating Procedure for Evaluating the Sterilizing Properties of Pyriproxyfen in Adult Female Mosquitoes in WHO Bottle Bioassays. 2022. Available online: https://www.who.int/publications/i/item/9789240043794 (accessed on 8 December 2022).
- Mazzari, M.B.; Georghiou, G.P. Characterization of resistance to organophosphate, carbamate, and pyrethroid insecticides in field populations of Aedes aegypti from Venezuela. J. Am. Mosq. Control Assoc. 1995, 11, 315–322. [Google Scholar]
- Sztankay, G.M.; Lang, F. Mosquito control with integrated method. Wiad. Parazytol. 1972, 18, 629–633. [Google Scholar]
- Guedes, R.N.C.; Beins, K.; Navarro-Costa, D.; Coelho, G.E.; Bezerra, H.S.S. Patterns of insecticide resistance in Aedes aegypti: Meta-analyses of surveys in Latin America and the Caribbean. Pest Manag. Sci. 2020, 76, 2144–2157. [Google Scholar] [CrossRef]
- Nagy, K.; Duca, R.C.; Lovas, S.; Creta, M.; Scheepers, P.T.J.; Godderis, L.; Adam, B. Systematic review of comparative studies assessing the toxicity of pesticide active ingredients and their product formulations. Environ Res. 2020, 181, 108926. [Google Scholar] [CrossRef]
- Marina, C.F.; Bond, J.G.; Muñoz, J.; Valle, J.; Quiroz-Martínez, H.; Torres-Monzón, J.A.; Williams, T. Efficacy of larvicides for the control of dengue, zika, and chikungunya vectors in an urban cemetery in southern Mexico. Parasitol. Res. 2018, 117, 1941–1952. [Google Scholar] [CrossRef]
- Arrese, E.L.; Soulages, J.L. Insect fat body: Energy, metabolism and regulation. Annu. Rev. Entomol. 2010, 55, 207–225. [Google Scholar] [CrossRef]
- Abdel-Aal, A.E. Effect of chlorfluazuron, nuclear polyhydrosis virus (SLNPV) and Bacillus thuringiensis on some biological and enzymes activity of cotton leafworm, Spodoptera littoralis (Boisd). Bull Entomol. Soc. Egypte 2006, 32, 171–185. [Google Scholar]
- Sak, O.; Uckan, F.; Ergin, E. Effects of cypermethrin on total body weight, glycogen, protein, and lipid contents of Pimpla turionellae (L.) (Hymenoptera: Ichneumonidae). Belg. J. Zool. 2006, 136, 53–58. [Google Scholar]
- Niki, E. Lipid peroxidation: Physiological levels and dual biological effects. Free Radic. Biol. Med. 2009, 47, 469–484. [Google Scholar] [CrossRef]
- Ranjith, H.V.; Sagar, D.; Kalia, V.K.; Dahuja, A.; Subramanian, S. Differential activities of antioxidant enzymes, superoxide dismutase, peroxidase, and catalase vis-à-vis phosphine resistance in field populations of lesser grain borer (Rhyzopertha dominica) from India. Antioxidants 2023, 12, 270. [Google Scholar] [CrossRef]
- Bailey, E. Biochemistry of insect flight. In Insect Biochemistry and Function; Candy, D.J., Kilby, B.A., Eds.; Springer: Boston, MA, USA, 1975; pp. 89–176. [Google Scholar]
- Canavoso, L.E.; Jouni, Z.E.; Karnas, K.J.; Pennington, J.E.; Wells, M.A. Fat metabolism in insects. Annu. Rev. Nut.. 2001, 21, 23–46. [Google Scholar] [CrossRef]
- Briegel, H. Metabolic relationship between female body size, reserves, and fecundity of Aedes aegypti. J. Insect. Physiol. 1990, 36, 165–172. [Google Scholar] [CrossRef]
- McCue, M.D.; Guzman, R.M.; Passement, C.A.; Davidowitz, G. How and when do insects rely on endogenous protein and lipid resources during lethal bouts of starvation? A new application for 13C-breath testing. PLoS ONE 2015, 10, e0140053. [Google Scholar] [CrossRef]
- Zhang, D.W.; Xiao, Z.J.; Zeng, B.P.; Li, K.; Tang, Y.L. Insect behavior and physiological adaptation mechanisms under starvation stress. Front. Physiol. 2019, 10, 163. [Google Scholar] [CrossRef]
- Alabaster, A.; Isoe, J.; Zhou, G.; Lee, A.; Murphy, A.; Day, W.A.; Miesfeld, R.L. Deficiencies in acetyl-CoA carboxylase and fatty acid synthase 1 differentially affect eggshell formation and blood meal digestion in Aedes aegypti. Insect Biochem. Mol. Biol. 2011, 41, 946–955. [Google Scholar] [CrossRef]
- Silva, E.R.M.N.; Santos, L.V.; Caiado, M.S.; Hastenreiter, L.S.N.; Fonseca, S.R.R.; Carbajal-de-la-Fuente, A.L.; Carvalho, M.G.; Pontes, E.G. The influence of larval density on triacylglycerol content in Aedes aegypti (Linnaeus) (Diptera: Culicidae). Arch. Insect Biochem. Physiol. 2021, 106, e21757. [Google Scholar] [CrossRef]
- Tose, L.V.; Weisbrod, C.R.; Michalkova, V.; Nouzova, M.; Noriega, F.G.; Fernandez, L.F. Following de novo triglyceride dynamics in ovaries of Aedes aegypti during the previtellogenic stage. Sci. Rep. 2021, 11, 9636. [Google Scholar] [CrossRef]
- Fu, Q.; Inankur, B.; Yin, J.; Striker, R.; Lan, Q. Sterol carrier protein 2, a critical host factor for dengue virus infection, alters the cholesterol distribution in mosquito Aag2 cells. J. Med. Entomol. 2015, 52, 1124–1134. [Google Scholar] [CrossRef] [PubMed]
- Lan, Q.; Massey, R.J. Subcellular localization of the mosquito sterol carrier protein-2 and sterol carrier protein-x. J. Lipid. Res. 2004, 45, 1468–1474. [Google Scholar] [CrossRef]
- Li, M.J.; Lan, C.J.; Gao, H.T.; Xing, D.; Gu, Z.Y.; Su, D.; Zhao, T.Y.; Yang, H.Y.; Li, C.X. Transcriptome analysis of Aedes aegypti Aag2 cells in response to dengue virus-2 infection. Parasite Vector 2020, 13, 421. [Google Scholar] [CrossRef]
- Conway, M.J.; Haslitt, D.P.; Swarts, B.M. Targeting Aedes aegypti metabolism with next-generation insecticides. Viruses 2023, 15, 469. [Google Scholar] [CrossRef] [PubMed]
- Yadav, K.; Dhiman, S.; Acharya, B.N.; Ghorpade, R.R.; Sukumaran, D. Pyriproxyfen treated surface exposure exhibits reproductive disruption in dengue vector Aedes aegypti. PLoS Negl. Trop. Dis. 2019, 13, e0007842. [Google Scholar] [CrossRef]
- Naksathit, A.T.; Edman, J.D.; Scott, T.W. Amounts of glycogen, lipid, and sugar in adult female Aedes aegypti (Diptera: Culicidae) fed sucrose. J. Med. Entomol. 1999, 36, 8–12. [Google Scholar] [CrossRef]
- Naksathit, A.T.; Edman, J.D.; Scott, T.W. Utilization of human blood and sugar as nutrients by female Aedes aegypti (Diptera: Culicidae). J. Med. Entomol. 1999, 36, 13–17. [Google Scholar] [CrossRef]
- Briegel, H.; Gut, T.; Lea, A.O. Sequential deposition of yolk components during oogenesis in an insect, Aedes aegypti (Diptera: Culicidae). J. Insect Physiol. 2003, 49, 249–260. [Google Scholar] [CrossRef]
- Troy, S.; Anderson, W.A.; Spielman, A. Lipid content of maturing ovaries of Aedes aegypti. Comp. Biochem. Physiol. B 1975, 50, 457–461. [Google Scholar] [CrossRef] [PubMed]



| Strain/Population | N | Mortality (%) | Status | Intensity of Resistance | ||
|---|---|---|---|---|---|---|
| DC | 5× DC | 10× DC | ||||
| New Orleans | 300 | 100 | 100 | 100 | Susceptible | Susceptible |
| Apodaca | 300 | 10 | 94 | 100 | Resistant | Moderate |
| Guadalupe | 300 | 68 | 94 | 100 | Resistant | Moderate |
| Monterrey | 300 | 36 | 92 | 100 | Resistant | Moderate |
| Strain/ Population | N 1 | LC50 (IC) 2 | LC90 (IC) 2 | LC99 (CI) 2 | Slope ± SE | X2 (df) | p Value | RR50 3 | RR90 3 |
|---|---|---|---|---|---|---|---|---|---|
| New Orleans | 1100 | 1.12 (0.42–2.75) ab | 48.60 (14.43–509.66) a | 1048.30 (151.36–61412.00) a | 0.783 (0.043) | 82.13 (9) | 0.00 | - | - |
| Guadalupe | 1300 | 1.81 (1.211–2.54) a | 17.59 (11.31–32.92) a | 112.47 (54.43–342.10) a | 1.297 (0.064) | 47.39 (11) | 0.00 | 1.49 | 0.36 |
| Apodaca | 1300 | 3.41 (1.89–5.62) ab | 63.65 (29.92–239.45) a | 691.69 (195.21–7404.40) a | 1.008 (0.057) | 71.01 (11) | 0.00 | 2.82 | 1.30 |
| Monterrey | 1500 | 4.02 (2.69–5.89) b | 39.53 (22.67–93.46) a | 254.96 (104.98–1092.69) a | 1.291 (0.061) | 83.56 (13) | 0.00 | 3.31 | 0.81 |
| Biochemical Content | New Orleans Control | New Orleans LC50 | Guadalupe Control | Guadalupe LC50 | Apodaca Control | Apodaca LC50 | Monterrey Control | Monterrey LC50 |
|---|---|---|---|---|---|---|---|---|
| Carbohydrate | ||||||||
| 24 h 1 | 27.23 ± 2.08 | 19.75 ± 1.22 2** | 34.66 ± 5.04 | 22.80 ± 2.26 | 48.37 ± 3.90 | 21.16 ± 3.17 **** | 23.20 ± 1.47 | 13.85 ± 1.74 ** |
| 48 h | 23.80 ± 1.18 | 16.93 ± 1.39 ** | 43.59 ± 2.13 | 45.51 ± 5.18 | 30.61 ± 2.13 | 30.58 ± 2.28 | 11.28 ± 0.81 | 12.29 ± 0.98 |
| 72 h | 28.54 ± 3.79 | 15.40 ± 1.11 ** | 61.24 ± 8.11 | 50.09 ± 6.98 | 27.08 ± 2.07 | 21.63 ± 1.60 | 15.11 ± 0.70 | 13.13 ± 0.55 * |
| Lipid | ||||||||
| 24 h | 29.11 ± 3.13 | 25.10 ± 2.40 | 44.01 ± 5.03 | 46.26 ± 3.36 | 47.39 ± 4.96 | 32.10 ± 3.42 * | 22.43 ± 1.36 | 24.26 ± 3.29 |
| 48 h | 29.01 ± 2.12 | 21.50 ± 0.93 *** | 71.46 ± 3.91 | 54.69 ± 4.73 * | 39.89 ± 2.57 | 14.10 ± 1.34 **** | 9.51 ± 0.87 | 6.26 ± 0.67 * |
| 72 h | 24.43 ± 3.16 | 14.90 ± 0.86 * | 53.58 ± 6.81 | 44.77 ± 5.08 | 15.84 ± 0.72 | 11.19 ± 0.78 *** | 12.80 ± 0.64 | 9.68 ± 0.56 ** |
| Protein | ||||||||
| 24 h | 69.20 ± 6.37 | 78.36 ± 5.23 | 137.10 ± 16.49 | 168.10 ± 13.00 | 162.10 ± 13.01 | 143.60 ± 15.62 | 85.99 ± 4.16 | 106.10 ± 14.00 |
| 48 h | 58.10 ± 2.70 | 73.36 ± 2.81 ** | 127.10 ± 3.09 | 147.00 ± 9.28 | 102.50 ± 5.40 | 99.08 ± 5.40 | 46.82 ± 3.48 | 52.01 ± 4.48 |
| 72 h | 58.28 ± 5.18 | 44.73 ± 1.77 | 136.90 ± 12.35 | 104.80 ± 3.12 ** | 66.09 ± 2.32 | 50.79 ± 1.66 **** | 61.71 ± 2.88 | 52.19 ± 2.31 * |
| Strain/Population | New Orleans | Guadalupe | Apodaca | Monterrey | ||||||||
|---|---|---|---|---|---|---|---|---|---|---|---|---|
| Treatment | Control | LC50 | LC99 | Control | LC50 | LC99 | Control | LC50 | LC99 | Control | LC50 | LC99 |
| Tested ♀ | 100 | 100 | 100 | 100 | 100 | 100 | 100 | 100 | 100 | 100 | 100 | 100 |
| Mean mortality | 4.5 ± 1.2 1 a | 11.3 ± 2 a | 15.5 ± 1.6 b | 4.0 ± 1.3 a | 9.0 ± 1.2 a | 17.3 ± 2.7 b | 3.0 ± 0.7 a | 10.5 ± 1.8 a | 18.3 ± 0.9 b | 3.5 ± 1.3 a | 15.8 ± 2.8 a | 19.5 ± 1.7 b |
| % Mortality | 18 | 45 | 62 | 16 | 36 | 69 | 12 | 42 | 73 | 14 | 63 | 78 |
| Alive | 82 | 55 | 38 | 84 | 64 | 31 | 88 | 58 | 27 | 86 | 37 | 22 |
| Proportion oviposited (%) | 91 | 58 | 32 | 82 | 64 | 39 | 98 | 62 | 48 | 93 | 59 | 32 |
| Oviposition inhibition (%) | NA | 36 | 65 | NA | 22 | 53 | NA | 36 | 51 | NA | 36 | 66 |
| Total eggs laid | 3959 | 1530 | 428 | 4561 | 1566 | 370 | 5335 | 1398 | 269 | 5986 | 1042 | 140 |
| Mean eggs laid (per ♀ that oviposited) | 52.8 ± 3.3 a | 47.8 ± 3.0 a | 35.7 ± 3.5 a | 66.1 ± 3.6 a | 38.2 ± 3.2 b | 30.8 ± 3.4 b | 62.0 ± 2.2 a | 37.8 ± 2.8 b | 22.4 ± 3.4 b | 74.8 ± 2.4 a | 47.4 ± 3.6 b | 20.0 ± 4.6 b |
| Fecundity (eggs/♀ alive) | 48.3 ± 3.4 a | 27.8 ± 3.7 b | 11.3 ± 2.9 c | 54.3 ± 4.1 a | 24.5 ± 3.1 b | 11.9 ± 3 b | 60.6 ± 2.4 a | 24.1 ± 3.0 b | 10.0 ± 2.6 b | 69.6 ± 3.1 a | 28.2 ± 4.4 b | 6.4 ± 2.5 b |
| Fecundity inhibition % | NA | 42 | 77 | NA | 55 | 78 | NA | 60 | 84 | NA | 60 | 91 |
| Total eggs hatched | 3668 | 593 | 83 | 3814 | 583 | 95 | 4657 | 475 | 76 | 5406 | 366 | 42 |
| Mean hatch rate % | 95.7 ± 1.2 a | 36.7 ± 4.7 b | 19.9 ± 4.6 b | 85.0 ± 1.5 a | 37.7 ± 4.1 b | 28.3 ± 7.4 b | 87.8 ± 1.3 a | 27.5 ± 3.7 b | 21.0 ± 6.2 b | 90.5 ± 1.0 a | 32.9 ± 5.0 b | 21.3 ± 7.8 b |
| Fertility inhibition (%) | NA | 61 | 79 | NA | 55 | 67 | NA | 68 | 76 | NA | 64 | 77 |
| Biochemical Content | New Orleans | Guadalupe | Apodaca | Monterrey |
|---|---|---|---|---|
| Carbohydrate | ||||
| Control | 61.10 ± 2.26 a 1 | 72.00 ± 2.35 a | 75.10 ± 3.26 a | 86.90 ± 2.84 a |
| LC50 | 48.10 ± 2.34 a | 54.60 ± 5.06 ab | 53.50 ± 5.05 b | 50.70 ± 3.98 b |
| LC99 | 28.20 ± 2.94 b | 50.50 ± 6.67 b | 40.90 ± 3.85 b | 43.50 ± 1.56 b |
| Lipid | ||||
| Control | 114.10 ± 5.49 a | 94.30 ± 9.97 a | 84.20 ± 3.47 a | 92.80 ± 5.02 a |
| LC50 | 81.60 ± 3.39 b | 54.10 ± 2.87 b | 65.60 ± 2.46 b | 55.50 ± 1.80 b |
| LC99 | 48.60 ± 3.98 b | 46.4 ± 4.86 b | 59.30 ± 3.18 b | 49.00 ± 7.63 b |
Disclaimer/Publisher’s Note: The statements, opinions and data contained in all publications are solely those of the individual author(s) and contributor(s) and not of MDPI and/or the editor(s). MDPI and/or the editor(s) disclaim responsibility for any injury to people or property resulting from any ideas, methods, instructions or products referred to in the content. |
© 2024 by the authors. Licensee MDPI, Basel, Switzerland. This article is an open access article distributed under the terms and conditions of the Creative Commons Attribution (CC BY) license (https://creativecommons.org/licenses/by/4.0/).
Share and Cite
Cerda-Apresa, D.; Gutierrez-Rodriguez, S.M.; Davila-Barboza, J.A.; Lopez-Monroy, B.; Rodriguez-Sanchez, I.P.; Saavedra-Rodriguez, K.L.; Flores, A.E. Repurposing Insecticides for Mosquito Control: Evaluating Spiromesifen, a Lipid Synthesis Inhibitor against Aedes aegypti (L.). Trop. Med. Infect. Dis. 2024, 9, 184. https://doi.org/10.3390/tropicalmed9080184
Cerda-Apresa D, Gutierrez-Rodriguez SM, Davila-Barboza JA, Lopez-Monroy B, Rodriguez-Sanchez IP, Saavedra-Rodriguez KL, Flores AE. Repurposing Insecticides for Mosquito Control: Evaluating Spiromesifen, a Lipid Synthesis Inhibitor against Aedes aegypti (L.). Tropical Medicine and Infectious Disease. 2024; 9(8):184. https://doi.org/10.3390/tropicalmed9080184
Chicago/Turabian StyleCerda-Apresa, Daniela, Selene M. Gutierrez-Rodriguez, Jesus A. Davila-Barboza, Beatriz Lopez-Monroy, Iram P. Rodriguez-Sanchez, Karla L. Saavedra-Rodriguez, and Adriana E. Flores. 2024. "Repurposing Insecticides for Mosquito Control: Evaluating Spiromesifen, a Lipid Synthesis Inhibitor against Aedes aegypti (L.)" Tropical Medicine and Infectious Disease 9, no. 8: 184. https://doi.org/10.3390/tropicalmed9080184
APA StyleCerda-Apresa, D., Gutierrez-Rodriguez, S. M., Davila-Barboza, J. A., Lopez-Monroy, B., Rodriguez-Sanchez, I. P., Saavedra-Rodriguez, K. L., & Flores, A. E. (2024). Repurposing Insecticides for Mosquito Control: Evaluating Spiromesifen, a Lipid Synthesis Inhibitor against Aedes aegypti (L.). Tropical Medicine and Infectious Disease, 9(8), 184. https://doi.org/10.3390/tropicalmed9080184

