Perceptions of Parents and Children About Videogame Use
Abstract
1. Introduction
2. Materials and Methods
2.1. Questionnaire
2.2. Participants
2.3. Data Analysis
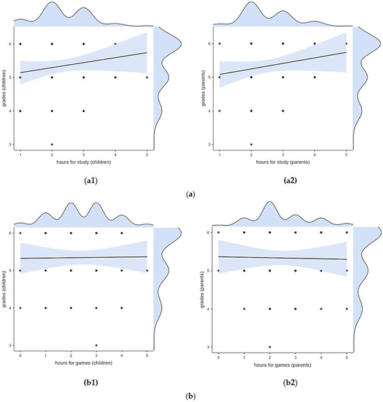
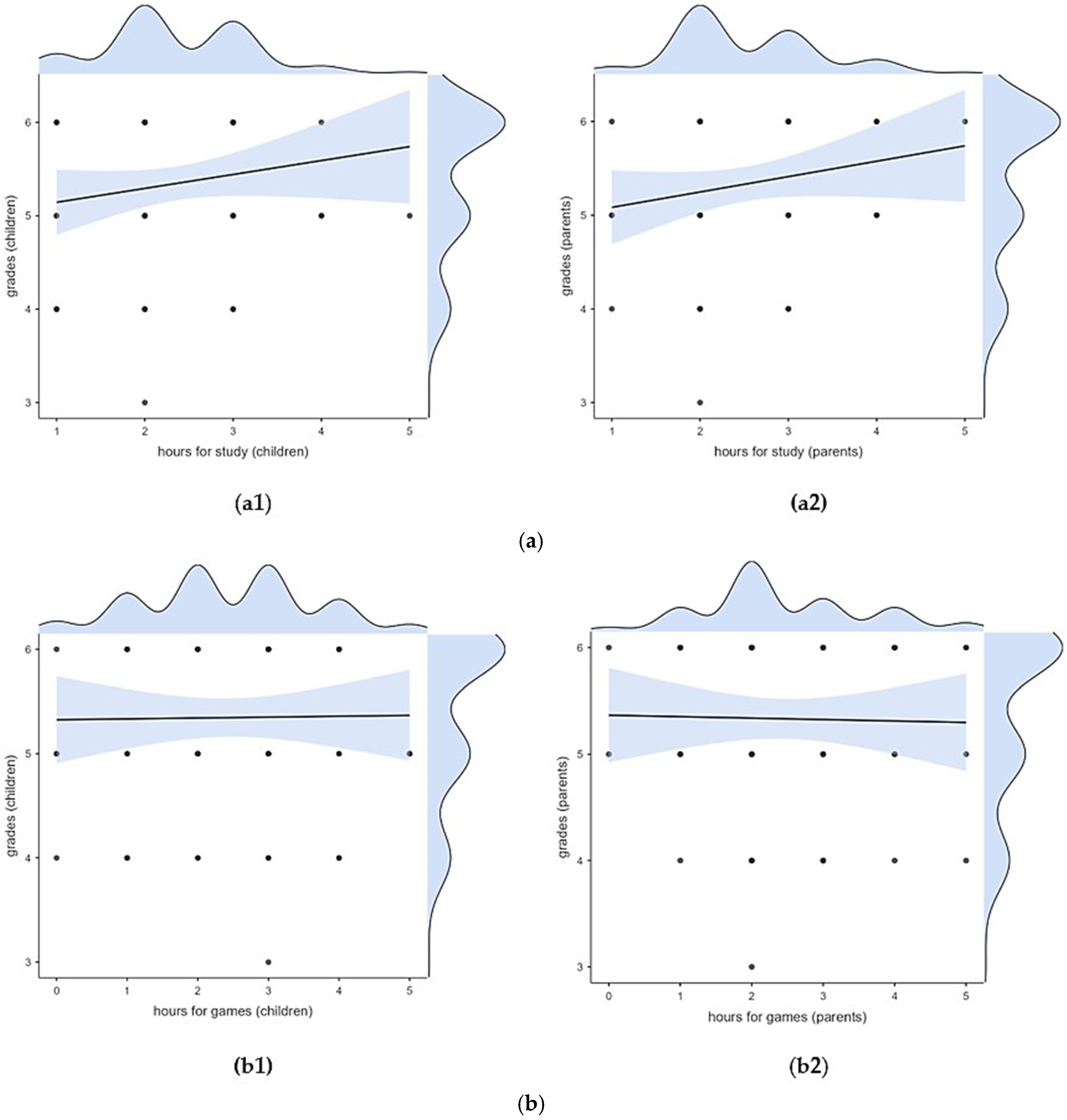
3. Results
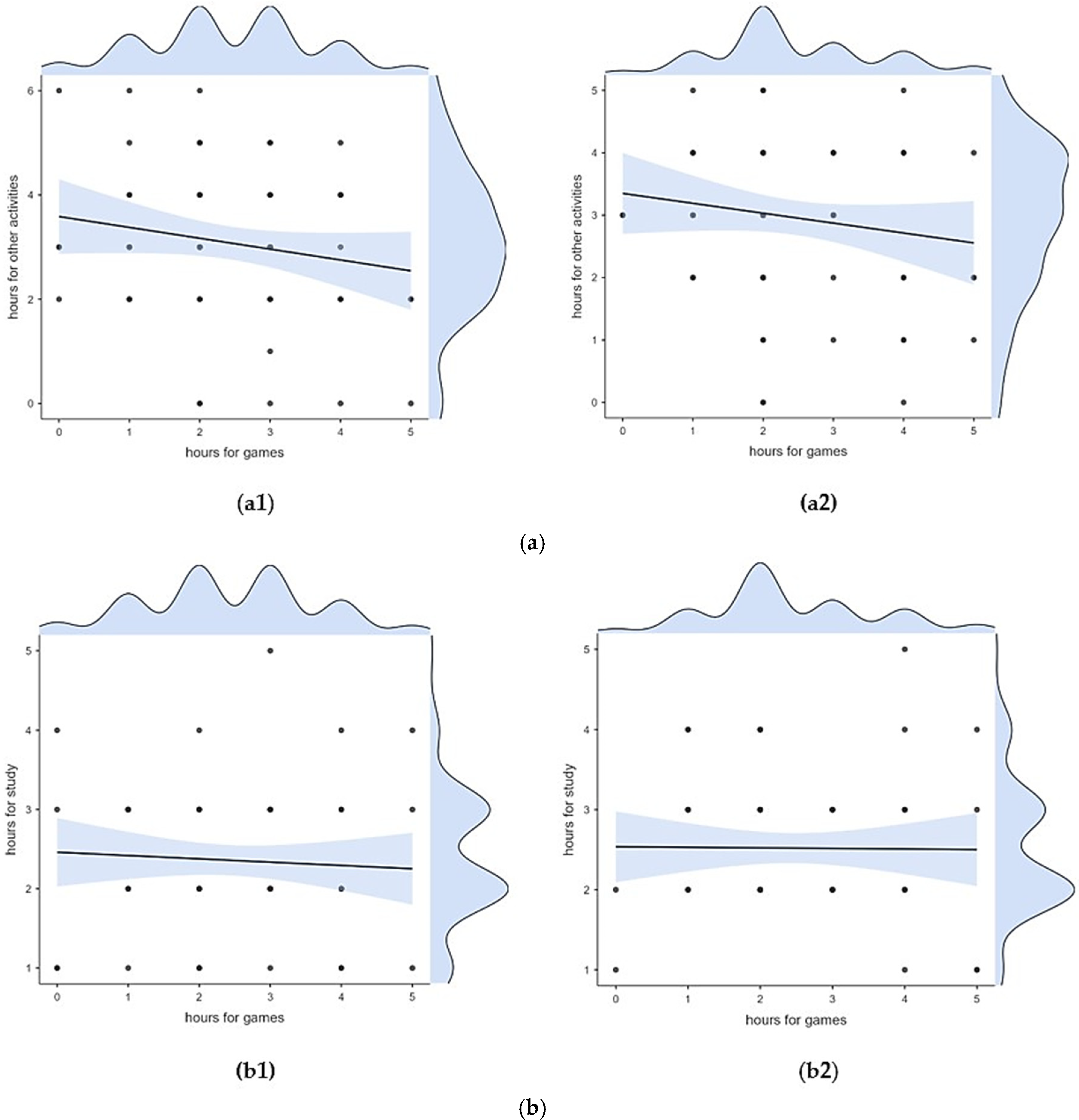
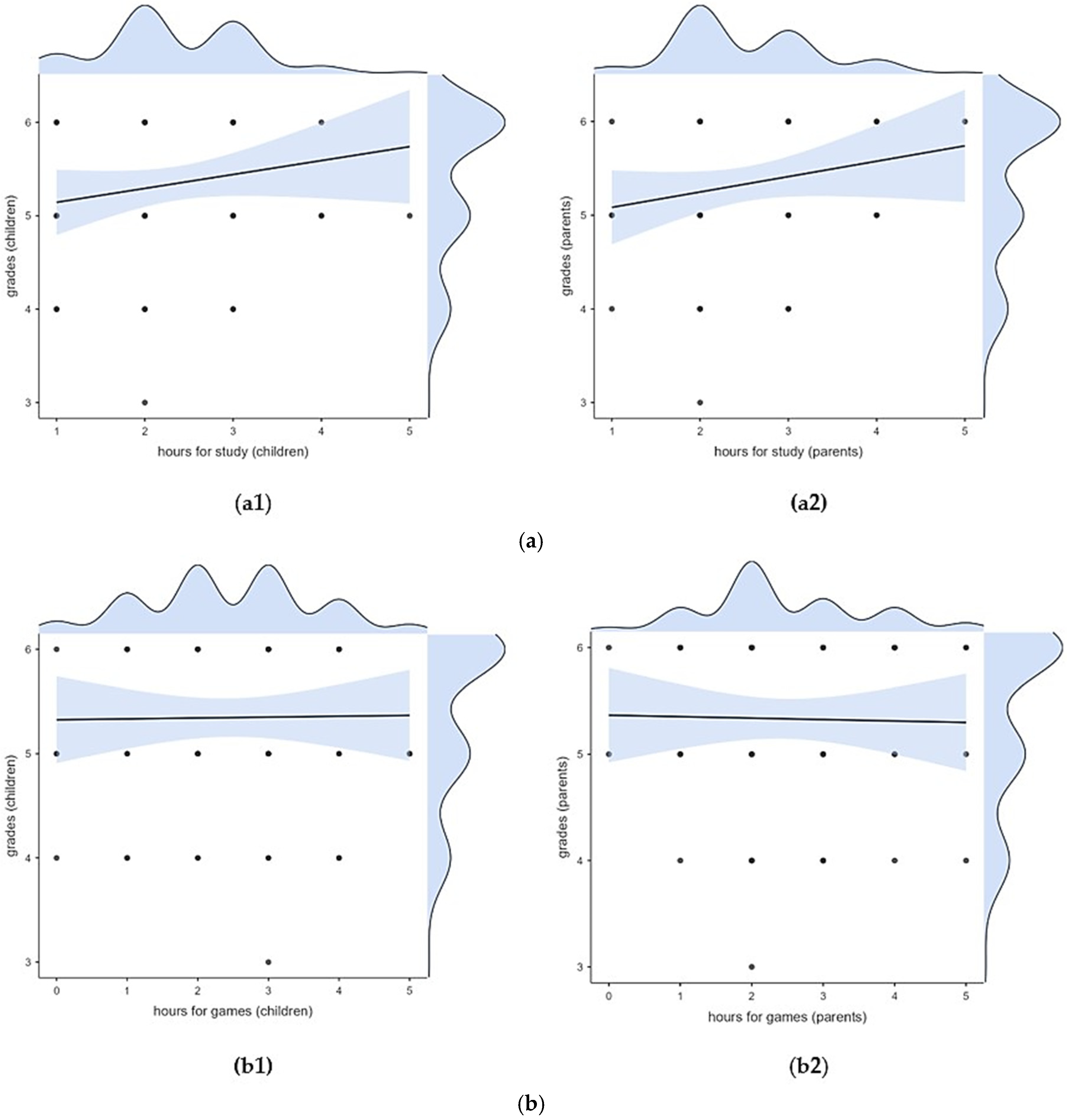
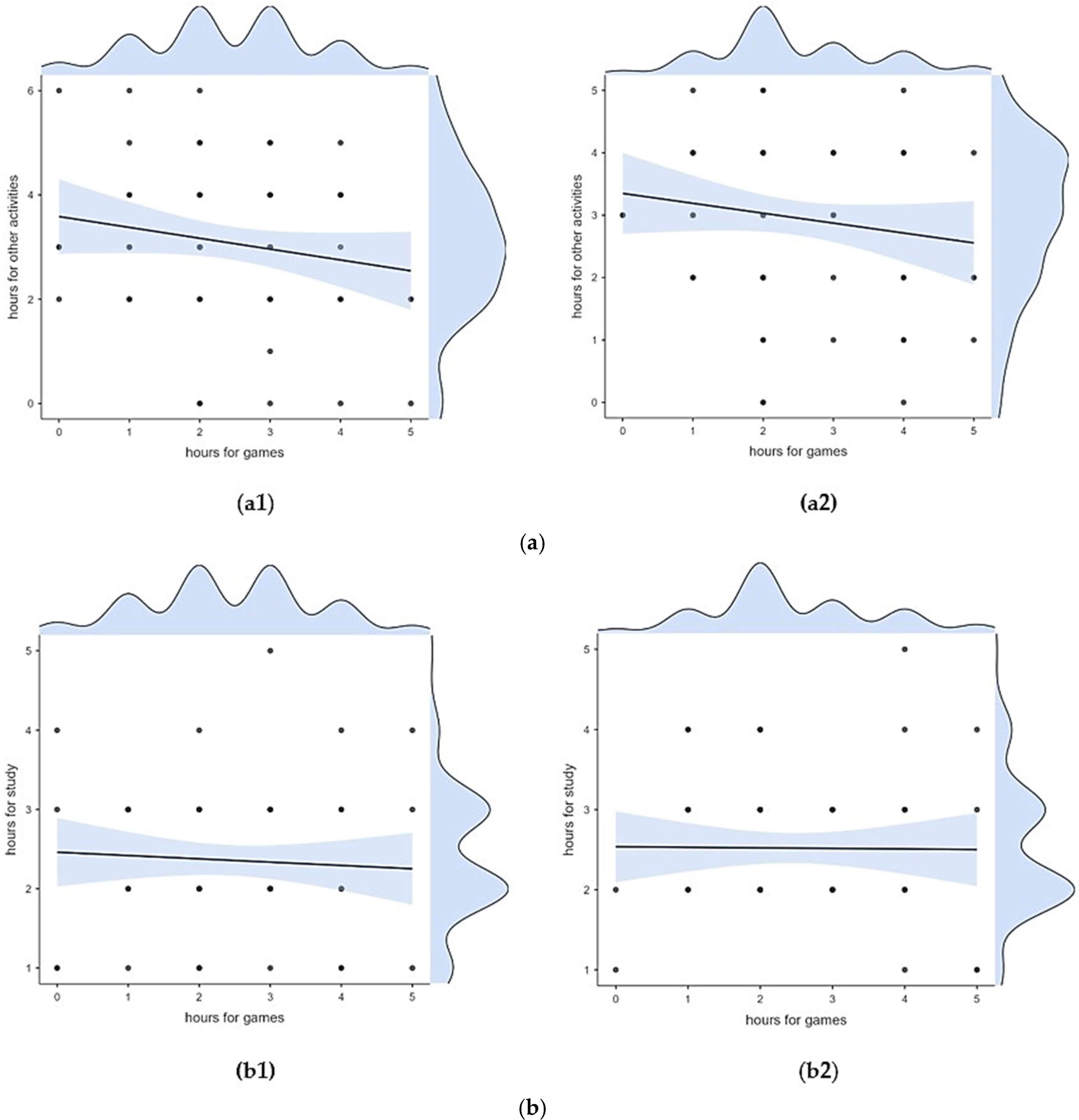
3.1. Distribution of Hours of Gameplay and Videogames and Impact on Mood and Emotions
3.2. Parent–Child Relationship
3.3. Selection of Videogames to Play
3.4. Videogames as an Educative Tool
4. Discussion
5. Conclusions
Supplementary Materials
Author Contributions
Funding
Institutional Review Board Statement
Informed Consent Statement
Data Availability Statement
Conflicts of Interest
References
- Children’s Commissioner for England. Digital Playgrounds Children’s Views on Video Gaming; Children’s Commissioner for England: London, UK, 2024. [Google Scholar]
- Ferguson, C.J.; Olson, C.K. Video Game Violence Use Among “Vulnerable” Populations: The Impact of Violent Games on Delinquency and Bullying Among Children with Clinically Elevated Depression or Attention Deficit Symptoms. J. Youth Adolesc. 2014, 43, 127–136. [Google Scholar] [CrossRef] [PubMed]
- Mullan, K.; Hofferth, S.L. A Comparative Time-Diary Analysis of UK and US Children’s Screen Time and Device Use. Child Indic. Res. 2022, 15, 795–818. [Google Scholar] [CrossRef]
- Triantoro, P.A.S.; Laily, N.; Sholicha, I.F. The Effect of Perceptions of Parents’ Democratic Parenting on Online Game Addiction. J. Univ. Muhammadiyah Gresik Eng. Soc. Sci. Health Int. Conf. 2023, 2, 229. [Google Scholar] [CrossRef]
- Werner, M.; Kapetanovic, S.; Nielsen, M.; Gurdal, S.; Andersson, M.J.; Panican, A.; Claesdotter-Knutsson, E. When the Relationship Is at Stake: Parents’ Perception of the Relationship with a Child with Problematic Gaming and Their Perceived Need for Support. Healthcare 2024, 12, 851. [Google Scholar] [CrossRef] [PubMed]
- Nakamuro, M.; Inui, T.; Senoh, W.; Hiromatsu, T. Are Television and Video Games Really Harmful for Kids? Contemp. Econ. Policy 2015, 33, 29–43. [Google Scholar] [CrossRef]
- Dixon, R.; Maddison, R.; Ni Mhurchu, C.; Jull, A.; Meagher-Lundberg, P.; Widdowson, D. Parents’ and Children’s Perceptions of Active Video Games: A Focus Group Study. J. Child Health Care 2010, 14, 189–199. [Google Scholar] [CrossRef]
- Prot, S.; McDonald, K.A.; Anderson, C.A.; Gentile, D.A. Video Games: Good, Bad, or Other? Pediatr. Clin. N. Am. 2012, 59, 647–658. [Google Scholar] [CrossRef]
- Beale, I.L.; Kato, P.M.; Marin-Bowling, V.M.; Guthrie, N.; Cole, S.W. Improvement in Cancer-Related Knowledge Following Use of a Psychoeducational Video Game for Adolescents and Young Adults with Cancer. J. Adolesc. Health 2007, 41, 263–270. [Google Scholar] [CrossRef]
- Gentile, D.A. The Multiple Dimensions of Video Game Effects. Child Dev. Perspect. 2011, 5, 75–81. [Google Scholar] [CrossRef]
- Gentile, D.A.; Nathanson, A.I.; Rasmussen, E.E.; Reimer, R.A.; Walsh, D.A. Do You See What I See? Parent and Child Reports of Parental Monitoring of Media. Fam. Relat. 2012, 61, 470–487. [Google Scholar] [CrossRef]
- Lim, J.S. Parents ’ Perception of Children ’ s Digital Game Use. Int. J. Educ. Media Technol. 2019, 13, 75–83. [Google Scholar]
- Stockdale, L.; Coyne, S.M. Parenting Paused: Pathological Video Game Use and Parenting Outcomes. Addict. Behav. Rep. 2020, 11, 100244. [Google Scholar] [CrossRef] [PubMed]
- Kutner, L.A.; Olson, C.K.; Warner, D.E.; Hertzog, S.M. Parents’ and Sons’ Perspectives on Video Game Play. J. Adolesc. Res. 2008, 23, 76–96. [Google Scholar] [CrossRef]
- Aierbe, A.; Oregui, E.; Bartau, I. Video Games, Parental Mediation and Gender Socialization. Digit. Educ. Rev. 2019, 36, 100–116. [Google Scholar] [CrossRef]
- Sanchez, D.R. Videogame-Based Learning: A Comparison of Direct and Indirect Effects across Outcomes. Multimodal Technol. Interact. 2022, 6, 26. [Google Scholar] [CrossRef]
- Musick, G.; Freeman, G.; McNeese, N.J. Gaming as Family Time. Proc. ACM Hum.-Comput. Interact. 2021, 5, 1–25. [Google Scholar] [CrossRef]
- Hamlen, K.R. Children’s Choices and Strategies in Video Games. Comput. Hum. Behav. 2011, 27, 532–539. [Google Scholar] [CrossRef]
- Paschke, K.; Austermann, M.I.; Thomasius, R. Assessing ICD-11 Gaming Disorder in Adolescent Gamers by Parental Ratings: Development and Validation of the Gaming Disorder Scale for Parents (GADIS-P). J. Behav. Addict. 2021, 10, 159–168. [Google Scholar] [CrossRef] [PubMed]
- Olsen, M.; André, F.; Delfin, C.; Håkansson, A.; Claesdotter-Knutsson, E. Children and Adolescent’s Self-Reported Gaming Habits—An Exploratory, Cross-Sectional Study of Gaming among 9–15-Year-Old School Children. Emerg. Trends Drugs Addict. Health 2024, 4, 100058. [Google Scholar] [CrossRef]
- Iosa, M.; Verrelli, C.M.; Gentile, A.E.; Ruggieri, M.; Polizzi, A. Gaming Technology for Pediatric Neurorehabilitation: A Systematic Review. Front. Pediatr. 2022, 10, 775356. [Google Scholar] [CrossRef]
- Polizzi, A.; Rinella, S.; Ruggieri, M.; Gentile, A.E.; Verrelli, C.M.; Iosa, M. Efficacy of Videogames and Exergames in Pediatric Neurorehabilitation: A Systematic Review. Minerva Pediatr. 2024, 76, 690–702. [Google Scholar] [CrossRef] [PubMed]
- Marougkas, A.; Troussas, C.; Krouska, A.; Sgouropoulou, C. How Personalized and Effective Is Immersive Virtual Reality in Education? A Systematic Literature Review for the Last Decade. Multimed. Tools Appl. 2023, 83, 18185–18233. [Google Scholar] [CrossRef]
- Ryan, G.V.; Callaghan, S.; Rafferty, A.; Higgins, M.F.; Mangina, E.; McAuliffe, F. Learning Outcomes of Immersive Technologies in Health Care Student Education: Systematic Review of the Literature. J. Med. Internet Res. 2022, 24, e30082. [Google Scholar] [CrossRef] [PubMed]
- Mendoza López, M.; Alcaraz Artero, P.M.; Truque Díaz, C.; Pardo Ríos, M.; Hernández Morante, J.J.; Melendreras Ruiz, R. Kids Save Lives by Learning through a Serious Game. Multimodal Technol. Interact. 2023, 7, 112. [Google Scholar] [CrossRef]
- Connor, A. In Real Life: Gaming Community Engagement in Museums. Curator Mus. J. 2024, 00, 1–14. [Google Scholar] [CrossRef]
- Marston, H.R.; Kowert, R. What Role Can Videogames Play in the COVID-19 Pandemic? Emerald Open Res. 2020, 2, 34. [Google Scholar] [CrossRef]
- Tavormina, M.G.M.; Tavormina, R. Video games and COVID-19: How do lockdown and addiction interact? Psychiatr. Danub. 2021, 33, 152–157. [Google Scholar]
- Brissette-Gendron, R.; Léger, P.M.; Courtemanche, F.; Chen, S.L.; Ouhnana, M.; Sénécal, S. The Response to Impactful Interactivity on Spectators’ Engagement in a Digital Game. Multimodal Technol. Interact. 2020, 4, 89. [Google Scholar] [CrossRef]








| Theme | Parents’ View | Children’s View |
|---|---|---|
| Time Management (Risk of Addiction) [5,7] | Concerns about addiction are common, with parents fearing that excessive game play may lead to dependency, disrupt routines, and reduce motivation for other activities, and that the time spent on VGs may be underestimated by children. | Feeling they can balance their time between gaming and other responsibilities. |
| Social Interaction and Connectivity [11,15,16] | Worried that VGs might reduce face-to-face interactions or expose children to inappropriate online content. They may fear that gaming could lead to isolation from family or friends. | Multiplayer VGs connect children with other family members and friends and make new ones. Multiplayer VGs are social spaces that many children value for its sense of community and teamwork. |
| Safety and Content Concerns [7,14] | Content of VGs may present violence, mature themes, or online interactions with strangers. Many prefer to regulate or limit access to games based on content. | VG contents are a part of the gaming experience, often perceiving violence or intense themes as just part of the game rather than something that will impact them personally. |
| Educational Value and Skill Development (vs. Entertainment) [8,9] | VGs have limited educational value. Concerns that VGs lack the productive or developmental benefits they believe traditional educational activities or outdoor play provide. | VGs are not only a form of entertainment but also a space for learning and social interaction. Many VGs require problem solving, teamwork, and critical thinking, which children may value as learning experiences and digital skills that will be helpful for their careers. |
| Wellbeing Concerns [6] | Concerns about health and wellbeing are prominent among parents, who may worry about the impact of prolonged gaming time on their children’s mental health. | Children often focus on the excitement and engagement VGs offer, and they reduce inactive time. |
| Theme | Questions | Type | Prefixed Answers |
|---|---|---|---|
| Time Management | How many hours do you spend on videogames per day? | open-ended | Never; <30 min; 30 min–2 h; 2–3 h; 3–4 h; >4 h |
| Do you engage in other activities during the week? How much time? | open-ended | No; <2 h; 2–4 h; 4–7 h; 7–14 h; 14–21 h; >21 h | |
| How much time do you devote to studying per week? | open-ended | None; <4 h; 4–14 h; 14–21 h; 21–28 h; >28 h | |
| What is your grade point average at school? | numeric rating | From 1 to 10 | |
| Social Interaction and Connectivity | How much of this time do you play videogames with friends and/or siblings? | open-ended | Never; <30 min; 30 min–2 h; 2–3 h; 3–4 h; >4 h |
| Do you play videogames with one or both of your parents? How much in a week? | closed-ended | Never; <4 h; 4–14 h | |
| If you play videogames with one or both of your parents, how much do you think playing together affects your relationship? | multiple choice | Not applicable; no effect; closer relationship; quarrel | |
| Safety and Content Concerns | What types of videogames do you play? | multiple choice | Horror; shooter; combat; action; PvP; adventure; fantasy; strategic; simulation; guide simulator; sport; cooperative |
| What factors influence your choice of video games? | multiple choice | Description; genre; graphic; advertisement; advice from friends; age rating; etiquettes; parent’s opinion; parental permission; price | |
| Wellbeing Concerns | Does your attitude change after playing? How? | multiple choice | Aggressive; irritable; exalted; swinging; anxious; sad; listless; apathetic; no changes; calm; sociable; cheerful; active; lively |
| Educational Value | How educational do you think videogames can be? | Likert scale | 1 (not at all) to 5 (extremely educational) |
| How much useful information do you think you have learnt through videogames? | Likert scale | 1 (not at all) to 5 (extremely useful) | |
| Would you like videogames to be used in school as teaching tools for certain subjects? | closed-ended | No; indifferent; Yes |
| Children | |||||
|---|---|---|---|---|---|
| Never | <4 h | 4–14 h | Total | ||
| Parents | Never | 43 | 7 | 1 | 51 |
| <4 h | 8 | 16 | 0 | 24 | |
| 4–14 h | 0 | 0 | 0 | 0 | |
| Total | 51 | 23 | 1 | 75 | |
| Children | ||||||
|---|---|---|---|---|---|---|
| No Parent–Child Playtime | No Effect | Closer Relationship | Quarrel | Total | ||
| Parents | No parent–child playtime | 41 | 5 | 3 | 0 | 49 |
| No effect | 2 | 2 | 1 | 0 | 5 | |
| Closer relationship | 6 | 2 | 10 | 1 | 19 | |
| Quarrel | 1 | 0 | 0 | 1 | 2 | |
| Total | 50 | 9 | 14 | 2 | 75 | |
| Children | |||||
|---|---|---|---|---|---|
| No | Indifferent | Yes | Total | ||
| Parents | No | 4 | 6 | 14 | 24 |
| Indifferent | 0 | 1 | 5 | 6 | |
| Yes | 4 | 5 | 36 | 45 | |
| Total | 8 | 12 | 55 | 75 |
Disclaimer/Publisher’s Note: The statements, opinions and data contained in all publications are solely those of the individual author(s) and contributor(s) and not of MDPI and/or the editor(s). MDPI and/or the editor(s) disclaim responsibility for any injury to people or property resulting from any ideas, methods, instructions or products referred to in the content. |
© 2025 by the authors. Licensee MDPI, Basel, Switzerland. This article is an open access article distributed under the terms and conditions of the Creative Commons Attribution (CC BY) license (https://creativecommons.org/licenses/by/4.0/).
Share and Cite
Franzò, M.; Olivieri, G.M.; Salerni, A.; Iosa, M. Perceptions of Parents and Children About Videogame Use. Multimodal Technol. Interact. 2025, 9, 21. https://doi.org/10.3390/mti9030021
Franzò M, Olivieri GM, Salerni A, Iosa M. Perceptions of Parents and Children About Videogame Use. Multimodal Technologies and Interaction. 2025; 9(3):21. https://doi.org/10.3390/mti9030021
Chicago/Turabian StyleFranzò, Michela, Gaia Maria Olivieri, Anna Salerni, and Marco Iosa. 2025. "Perceptions of Parents and Children About Videogame Use" Multimodal Technologies and Interaction 9, no. 3: 21. https://doi.org/10.3390/mti9030021
APA StyleFranzò, M., Olivieri, G. M., Salerni, A., & Iosa, M. (2025). Perceptions of Parents and Children About Videogame Use. Multimodal Technologies and Interaction, 9(3), 21. https://doi.org/10.3390/mti9030021

