Abstract
In recent decades, extensive evidence has indicated that green spaces and physical activity (PA) are associated with mental health, while limited research has explored the combined effects of supervised PA in urban green spaces. To address the research gap, this study examines whether supervised PA within green spaces improves mental health among middle-aged adults (45–65 years) through a quasi-experimental longitudinal study developed as part of the “Moving Parks” project in Bologna, Italy. Using the Italian version of the Warwick–Edinburgh Mental Well-being Scale (WEMWBS), mental health was measured at pre- and post-assessment. A total of 340 participants (258 intervention, 82 control) were included in the study. The effects of intervention, group assignment, and their interaction on mental health scores were analysed using a two-way repeated measures ANOVA. No significant differences in mental health improvements were observed between the intervention group and control group. The results indicated significant main effects of time on total WEMWBS scores and several subscales such as optimism, usefulness, energy, and cheerfulness, but these changes were not significantly influenced by group assignment. The only significant group-by-time interaction was found in perceived usefulness. These findings do not provide conclusive support for the hypothesised benefits of the supervised PA intervention. Possible explanations include seasonal variation, baseline or ceiling effects, and the potential limitations of the WEMWBS in detecting short-term psychological changes. Future research should consider extending intervention duration, improving group comparability, and employing more sensitive assessment tools to better evaluate the mental health impact of green space–based PA programmes.
1. Introduction
The COVID-19 pandemic caused multifaceted societal problems, with lockdown measures particularly affecting the mental health of middle-aged adults due to the prolonged isolation and movement restrictions [1,2,3]. As highlighted by the World Health Organisation, mental health is not only a condition without mental disease, but a state that incorporates emotional, psychological and social well-being [4,5,6]. Existing evidence indicates that social and environmental factors influence 45%–60% of variations in general health status [7].
Green spaces, defined as natural or semi-natural areas within urban environments, have independently demonstrated positive associations with mental health [8,9,10]. The natural environment may improve health by providing clean air, spaces for physical activities (PA), opportunities and occasions for social interactions, and stress reduction through contact with nature [11]. These effects can be explained by psychological theories such as Self-Determination Theory and Attention Restoration Theory. Self-Determination Theory suggests that green spaces fulfil three fundamental psychological needs: autonomy, competence, and relatedness [12]. The green spaces provide the opportunities for residents to engage in PA, connect with nature, and increase social life with others, thereby enhancing mental health through multiple pathways [13,14]. Meanwhile, Attention Restoration Theory believes that natural environments provide unique restorative qualities that help restore attention by reducing mental fatigue, ultimately enhancing cognitive function and mental health. [15,16]. Hence, although the therapeutic benefits of PA are widely reported [17,18,19], developing evidence demonstrates that the environmental context in which these PA occur may significantly modulate the mental health outcomes [20,21]. For example, Wood et al. (2017) examined park attributes and showed that parks emphasising nature and providing opportunities for PA were associated with positive mental health outcomes [22]. This may be attributed to the comfortable environment provided by green spaces, which encourages individuals to engage in more PA and contributes to synergistic effects, such as better life satisfaction and more relaxation [23,24]. In addition, green spaces may foster an emotional attachment to nature and attract people to interact with nature, thereby increasing their physical activity levels [17].
Meanwhile, supervised PA has been proved to increase participation rates and consistency, leading to enhanced health outcomes compared to unsupervised engagements [25,26]. Specifically, supervised PA usually provides guidance and support, ensuring proper techniques and reducing the risk of injury [27]. Additionally, the group setting improves social interaction and provides a sense of community, which increases motivation and persistence in PA engagements [28], which leads to better long-term health outcomes.
However, the evidence regarding the potential amplification of mental health benefits when supervised PA are conducted in green spaces remains limited, especially for long-term effects on middle-aged persons [29,30]. Meanwhile, among the limited number of longitudinal studies which examine the effects of green space on mental health, the inclusion of a control group remains uncommon, limiting the strength of causal interpretations [31,32]. Hence, utilising the “Moving Park” project carried out in Bologna, Italy, this study employed a quasi-experimental cohort design to investigate whether participants’ mental health improved after engaging in supervised PA carried out in green spaces. A control group was included to assess the comparative analysis and confirm the effectiveness of the intervention. By understanding the effectiveness of supervised PA within green spaces, activities such as the “Moving Park” project could be further promoted, providing reliable evidence for policy makers in urban park planning and public health policies, thereby contributing to nature-based solutions and sustainable development.
2. Methods
2.1. The “Moving Parks” Project
The “Moving Parks” project is an annual proposal which has been carried out by the Municipality of Bologna, Italy, in collaboration with the Department of Public Health of the Bologna Local Health Authority since 2010 with the aim of promoting outdoor PA and improving the quality of life of citizens through the interaction between PA and nature. Bologna is a city rich in public green spaces, which comprise 7% of the municipal territory, including 250 parks and gardens. The “Moving Parks” project 2023 operates across 12 public parks in the city (Appendix A.1 and A.2), where multiple sport associations offer free organised PA such as stretching, functional training, tabata, yoga, Pilates, and capoeira (Appendix B). These activities are conducted twice a week from May to September under the supervision of qualified trainers. Each activity lasts about one hour, including both a warm-up (10 min) and a cool-down (10 min) period. All the activities are planned to achieve a moderate intensity (5–6 of the 10 points Borg’s rate perceived exertion scale).
The study followed a quasi-experimental longitudinal design, with a pre-assessment in May 2023 and a post-assessment in October 2023, over a period of five months. The questionnaires were distributed to the participants directly by research teams both in person (with paper forms) and online (with Google Forms). The trained instructors taught participants how to fill out the questionnaire, and each participant could opt to complete it on paper or online. The study included an intervention group and a control group. The intervention group included the participants who engaged the “Moving Parks” project. While the control group was recruited through communities using a random sampling approach within urban areas similar to those of the intervention group, the control group participants were not enrolled in any structured or supervised outdoor PA during the study period. Full equivalence between groups was not feasible due to the real-world setting of the project, but pre-assessment data were used to account for initial differences in mental health conditions.
To encourage participation from “Moving Parks”, the project employed some outreach strategies, including distributing fliers at local businesses, such as pharmacies, clinics, and markets, advertising through posters on buses and in public spaces, and by newsletters, social media, and a dedicated webpage on the municipal website.
All participants were selected according to two criteria:
- Aged 45 to 65 years old;
- Able to write and read in Italian.
The University of Bologna Bioethics Committee granted approval for the study (Prot. No. N 169182).
2.2. The Questionnaire
The study involved the administration of specific questionnaires before and after the participation of the “Moving Parks” project. The questionnaires were created ad hoc to examine the participants’ demographic, habits and mental health status before and after the three months of the participation in the project. In particular, the questionnaires were composed of three parts: the first part on general demographic information about the participants, such as sex, age, and educational level; the second part regarding information about the behavioural variables, such as smoking status, working status, and pathological status; and the third part about subjective mental health, assessed by the validated Italian version of the Warwick–Edinburgh Mental Well-Being Scale (WEMWBS) [33]. The Italian version of the WEMWBS is a self-reported questionnaire using a 12-item Likert scale of 1 (not at all) to 5 (as always) to measure the positive attitude to life over the past two weeks. The reliability of the Italian version was valued by Gremigni and Stewart-Brown (2011) on two groups: the Cronbach alpha value was 0.86 for group 1 (n = 345) and 0.83 for group 2 (n = 52) [33]. Compared with the original English version, question No. 4 and No. 12 were excluded due to weak item–total correlations and a negative impact on the overall factor structure [34], so the total scores of the 12 items ranged from 12 to 60, with a higher score representing a more positive mental health result.
2.3. Data Analysis
We used Stata for Windows, version 19 (Stata Corp LLC, College Station, TX, USA), to perform all the data analysis. Descriptive statistics were developed to summarise WEMWBS scores across the group, sex, and assessment phase by reporting means and standard deviations (SD). Aside from the total scores, item-level means were also examined to explore the response distribution and variability across different dimensions of mental health.
The two-way repeated measures ANOVA analysis was conducted to examine the effects of supervised PA on mental health in order to further investigate the effects of the intervention on mental health, including the main effect of time (assessment phase), the main effect of group, and the interaction effect between group and time. The analysis included two independent factors: group (control and intervention, between-subject factor) and assessment phase (pre vs. post, within-subjects factor). The main effect of time examined whether the WEMWBS scores changed between assessments across all participants. The main effect of group evaluated overall differences between control and intervention groups. Notably, the interaction effect (group × time) was also determined to understand whether the intervention group showed a different pattern of change compared to controls, indicating any potential effectiveness of the supervised PA intervention. The longitudinal plots were used to visualise the interaction between group and time, demonstrating estimated means of total score and each item over time with 95% confidence intervals. For interpretation, partial eta squared values of 0.01, 0.06 were considered to represent small, moderate, and large effects, respectively (η2 < 0.01 considered small, 0.01 ≤ η2 < 0.06 moderate, and η2 ≥ 0.06 large) [35].
3. Results
A total of 340 participants were included in this study, with 258 participants in the intervention group and 82 participants in the control group. Regarding the age distribution, the mean age in the intervention group was 58.01 years old (SD = 5.690), ranging from 45.09 to 65.87 years old. In the control group, the mean age was 56.36 years old (SD = 5.370), with a range of 45.13 to 65.08 years old.
3.1. Descriptive Analysis
Table 1 presents the descriptive statistics for the WEMWBS scores, categorised by group (control and intervention), sex (female and male), and assessment phase (pre and post). In the control group, the mean total score of the female participants was 41.68 ± 6.68 in the pre-assessment and 43.44 ± 6.65 in the post-assessment. The item-level means ranged from 3.00 to 4.00 in the pre-assessment and from 2.96 to 4.20 in the second. The highest mean score was observed in Q11 (decisiveness), with scores of 4.00 ± 0.65 (pre) and 4.20 ± 0.58 (post). The lowest mean score was found in Q3 (relaxed) during the pre-assessment (3.08 ± 0.64) and Q5 (energetic) in the post (3.32 ± 0.95). The highest variability, as indicated by the standard deviation, was observed for Q5 (energetic) in the pre-assessment (SD = 1.16) and Q13 (explorative) in the post (SD = 0.99). Male participants in the control group showed a higher mean total score of 43.06 ± 4.99 in the pre-assessment and 45.75 ± 5.27 in the post. The item means ranged from 3.06 to 4.06 in the pre and from 3.44 to 4.19 in the post-assessment. Similarly to female participants, Q11 (decisiveness) had the highest mean scores in both assessments (4.06 ± 0.57 and 4.19 ± 0.54), while Q3 (relaxed) exhibited the lowest mean scores (3.06 ± 0.77 and 3.44 ± 0.51). The greatest variability was found in Q5 (energetic) in the pre-assessment (SD = 1.11) and Q13 (explorative) in the post (SD = 0.98).
Table 1.
Descriptive statistics of WEMWBS scores by group, sex, and assessment phase.
In the intervention group, females exhibited total scores of 44.13 ± 7.93 (pre) and 44.67 ± 6.82 (post), respectively, with individual item means ranging from 3.13 to 3.99 in the pre-assessment and 3.29 to 4.10 in the post-assessment. Q11 (decisiveness) consistently showed the highest scores in both assessments (3.99 ± 0.78 and 4.10 ± 0.85), while Q5 (energetic) showed the lowest (3.13 ± 1.09 and 3.29 ± 0.95). The highest variability was observed in Q5 (energetic) in the pre-assessment (SD = 1.09) and Q10 (confident) in the post (SD = 0.88). Males in the intervention group had a mean total score of 44.94 ± 7.15 in the pre-assessment and 45.06 ± 6.10 in the post, with item means ranging from 3.47 to 3.94 in the pre and 3.53 to 4.12 in the post-assessment. Consistent with other subgroups, Q11 (decisiveness) had the highest mean scores (3.94 ± 0.75 and 4.12 ± 0.78), while Q5 (energetic) reported the lowest scores (3.47 ± 0.72 and 3.53 ± 0.51). The highest variability was observed in Q3 (relaxed) and Q8 (self-satisfied) in the first assessment (both SD = 0.90) and Q11 (decisiveness) in the second (SD = 0.78).
Across all groups and assessments, Q11 (decisiveness) consistently had the highest mean scores, ranging from 3.94 to 4.20, while Q5 (energetic) had the lowest scores, ranging from 3.00 to 3.53. Standard deviations varied between 0.44 and 1.16, reflecting differences in item-level response variability. Total scores ranged from 41.68 ± 6.68 to 45.75 ± 5.27, with intervention group participants generally tending to score higher than those in the control group.
3.2. Two-Way Repeated Measures ANOVA Analysis
Two-way repeated measures ANOVA were employed to examine the effects of group (intervention vs. control) and time (pre- and post-assessment) on mental health (subscales and total score of the WEMWBS).
3.2.1. Main Effect of Group
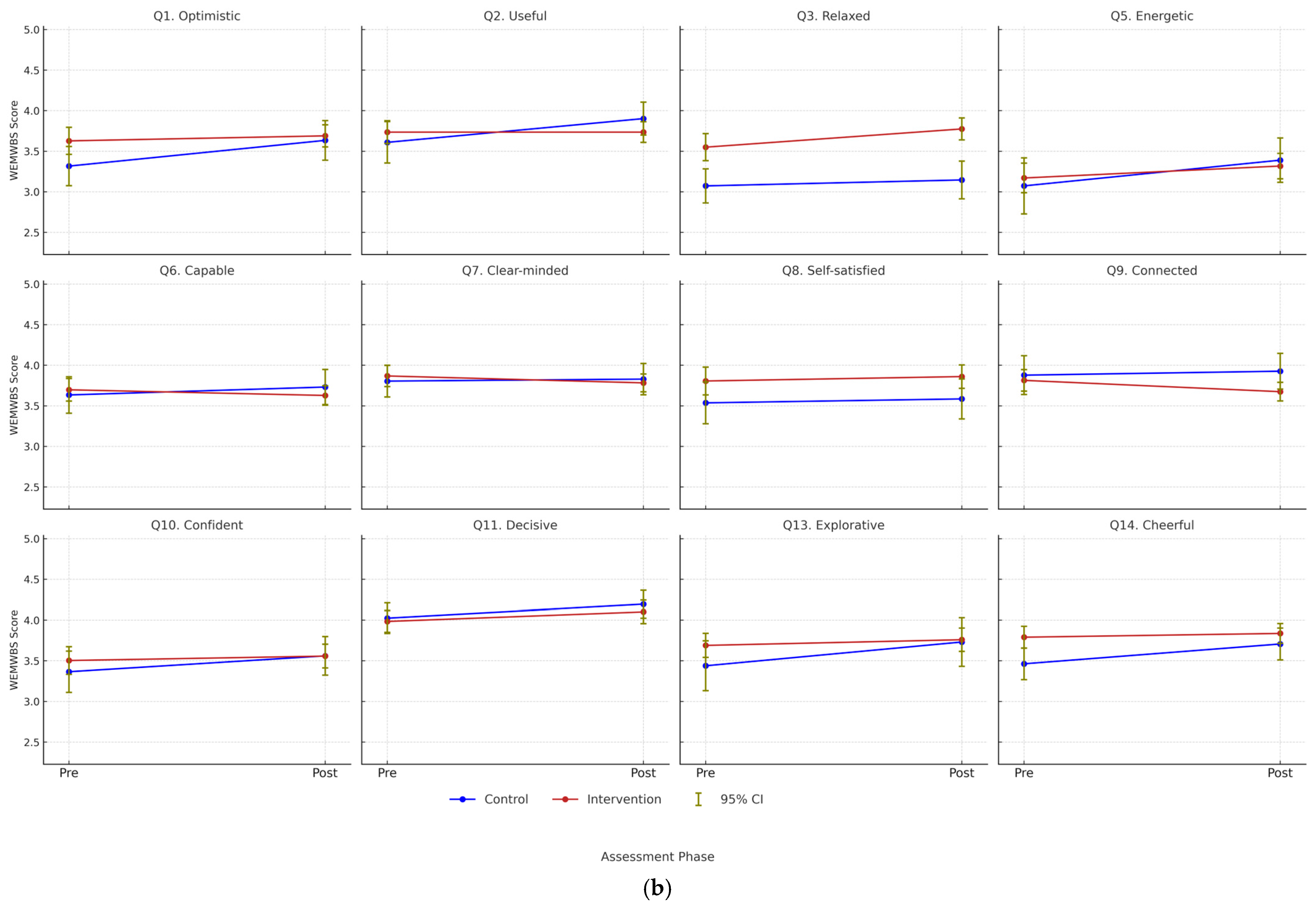
The statistical analysis revealed mixed findings regarding the impact of the intervention. Most variables showed no significant group effects except Q3 (relaxed: F = 22.70, p < 0.001, η2 = 0.120) and Q9 (connected: F = 4.50, p = 0.034, η2 = 0.027) (Table 2). The visualisation analysis of Q3 demonstrated that participants in the intervention group reported a higher relaxation score compared to the control group (Figure 1a,b). However, the result of Q9 (Connected) showed a different pattern. The intervention group reported higher scores in the pre-assessment, but the scores decreased in the post. Instead, the control group maintained relatively stable scores. The unexpected trend challenges the initial hypothesis about the intervention’s impact on social connectedness.
Table 2.
Repeated measures ANOVA results for WEMWBS scores.

Figure 1.
(a) Total WEMWBS score over time. (b) WEMWBS dimension scores over time.
3.2.2. Main Effect of Time
The statistical analysis indicated significant time effects across several mental health dimensions, including total score (F = 6.82, p = 0.010, η2 = 0.039), Q1 (optimistic: F = 5.13, p = 0.025, η2 = 0.030), Q2 (useful: F = 4.05, p = 0.046, η2 = 0.024), Q5 (energetic: F = 8.11, p = 0.005, η2 = 0.046), and Q14 (cheerful: F = 6.50, p = 0.012, η2 = 0.038) (Table 2). The visualisation analysis showed a detailed pattern of different dimensions (Figure 1a,b). The control group exhibited increased means between the two assessments in dimensions such as total score, Q1 (optimistic), Q5 (energetic), and Q14 (cheerful). Surprisingly, the intervention group showed relatively stable scores over time. In Q7 (connected) and Q9 (clear-minded), the scores even showed the tendency to decrease, suggesting that the mental health may be influenced by external factors such as seasonal variations, rather than being affected by the PA intervention.
On the contrary, several dimensions did not show significant time effects. For example, Q3 (relaxed: F = 2.59, p = 0.110, η2 = 0.015), Q10 (confident: F = 2.37, p = 0.125, η2 = 0.014), and Q13 (explorative: F = 3.88, p = 0.050, η2 = 0.023) reported relatively stable scores across both groups. Despite the intervention group having higher scores in pre-assessment in some of these dimensions, the lack of significant time effects suggests that the PA intervention’s impact may be more complex than the initial hypothesis.
3.2.3. Main Effect of Sex
The influence of sex on mental health showed no significant main effects across any of the WEMWBS subscales or the Total Score (p > 0.05). The effect sizes measured by partial eta squared were consistently small (η2 < 0.01), indicating that there were no significant differences between males and females (Table 2).
3.2.4. Interaction Effect Between Group and Time
The analysis of the interaction effect between group and time showed a statistically significant result for Q2 (useful: F = 4.05, p = 0.046, η2 = 0.024), while total score (F = 3.32, p = 0.070, η2 = 0.020) and Q14 (cheerful) (F = 3.48, p = 0.064, η2 = 0.020) approached statistical significance (Table 2). The visualisation analysis also revealed interaction patterns (Figure 1a,b). For the total score, the control group showed a marked increase after the post-assessment, while the intervention group showed minor change. Similarly, Q2 (useful) and Q14 (cheerful) also showed significant improvement in the control group, while the scores of the intervention group remained stable, further supporting the potential role of environmental factors during the study period. Hence, the PA intervention did not provide additional mental health benefits for usefulness and cheerfulness in the intervention group, possibly due to higher baseline levels or ceiling effects.
4. Discussion
This study examined whether the supervised PA intervention carried out in urban green spaces could improve mental health, as measured by the WEMWBS. Contrary to the original hypothesis, the control group unexpectedly showed greater improvements over time than the intervention group on several dimensions, indicating that the intervention did not provide significant improvements to mental health. However, the prevailing studies have reported the positive mental health effects of PA interventions conducted in green spaces [36]. For example, Rogerson et al. (2020) reported the significant contribution of medium-term green exercise interventions to participants’ well-being, with particularly strong effects among those with low baseline well-being [37]. Similarly, Zuo et al. (2024) found that urban green space contributes to improved mental health in older adults, through mediating pathways involving PA and perceived social inequality. [38]. Therefore, our counterintuitive results challenge general assumptions about PA interventions on mental health and suggest that multiple interacting factors aside from the intervention, such as seasonal variations, baseline effects, ceiling effects, instrument sensitivity, or intervention duration, may have contributed to the results. In the following paragraphs, we explore the possible explanations of the unusual findings in greater detail.
4.1. Potential Influence of Seasonal Variations
A rational explanation of the results is the influence of seasonal variations. The PA intervention was conducted from May to October 2023. During this period, there were changes in weather, temperature, and other environmental conditions which may have affected participants’ perception, behaviours, and mental health status [39]. Previous studies have indicated seasonal influence on mental health. For example, the high temperatures in summer are associated with increased mental health problems including depression, stress, anxiety, and suicide rate [40,41,42,43]. Notably, Garriga et al. (2021) found that PA engagement typically increases during summer, particularly among more active populations [44]. This suggests that seasonal temperature or humidity variations may have naturally affected the PA patterns of the participants, especially for the control group, potentially diminishing the observable effect of the supervised intervention. Therefore, considering seasonal variation may be essential for nature-based PA programmes aiming to improve mental health, as it can affect both participation patterns and psychological outcomes.
4.2. Baseline Effect and Ceiling Effect
Another potential explanation for the lack of significant intervention effects is the presence of baseline and ceiling effects in the intervention group. When participants begin with relatively high levels of mental health at pre-assessment, the potential for further improvement can be limited, both statistically and psychologically. This reflects the baseline effect, where dimensions with lower pre-assessment scores tended to show greater improvements [45]. In our sample, several dimensions with relatively high pre-assessment scores in the intervention group might limit the extent of measurable improvements. Specifically, the Q3 scores (relaxed) of the intervention group were already initially higher than the control group, with unobvious changes in the post-assessment. For Q1 (optimistic), Q5 (energetic), and Q14 (cheerful), the variables showed significant main effects of time, but the intervention group also showed little change. Meanwhile, a few other dimensions such as Q10 (confident), Q11 (decisive), Q14 (cheerful), and especially Q11 (decisive) had mean scores approaching the maximum score of 5 on the scale. This pattern suggests a potential ceiling effect, where the 5-point Likert scale may lack the sensitivity to capture further improvements once scores approach the upper limit. As a result, even if participants experienced greater psychological benefits, these changes may not have been captured in the measurement [46].
4.3. Sensitivity of the WEMWBS
In addition, the findings also raise the question of the sensitivity of the WEMWBS in capturing mental health improvements induced by supervised PA interventions. In our previous longitudinal studies of the “Moving Park” project, simpler Likert scales reported significant effects of PA on well-being [47,48]. Therefore, the WEMWBS may have relatively low sensitivity to the effects of PA on mental health. Similar results in sensitivity have also been observed in other existing studies. For example, Bell et al. (2019) found no association between PA and mental health when measured by WEMWBS, but did report significant associations with emotional symptoms using a Strengths and Difficulties Questionnaire (SDQ), highlighting that the WEMWBS may underestimate specific psychological changes related to PA interventions. [49]. A possible explanation for this limitation is the design of the scale, as WEMWBS measures subjective general mental well-being over two weeks rather than the stress reduction and mood diversion induced by PA [50,51]. Considering that overall well-being is affected by various domains, including social interactions, environmental factors, and life events, the impact of PA may be diluted within this more comprehensive framework [52,53,54]. In future studies, alternative psychological assessment scales which focus on mood fluctuations, stress reduction, or cognitive function should be used to improve the sensitivity. Additionally, portable assessment devices are also a reasonable approach [55,56].
4.4. Duration and Dosage of the PA Intervention
The limited duration and dosage of the PA intervention may have also caused the unexpected results. Existing research has shown that the psychological benefits of PA require long-term engagement, and it is possible that the few months of intervention in this study were not enough to provide substantial and lasting improvements in mental health [57,58]. Evidence suggests that the psychological benefits of physical activity often require sustained engagement over several months or longer, particularly when aiming to influence general well-being rather than immediate mood states [59,60,61]. Meanwhile, one of our cross-sectional studies of the “Moving Parks” project revealed a dose–response relationship between the duration and intensity of PA and the MWBS score [62], which also highlights the critical role of PA dosage. Future research should consider extending the PA intervention duration and monitoring participants over a longer follow-up period to determine whether long-term engagement in supervised PA provides better mental health effects. At the same time, the intensity of the PA should also be taken into the consideration as a parameter.
4.5. Limitations
This study has several limitations. Firstly, the intervention and control groups differed in terms of sample size and certain baseline characteristics. Although this reflects the constraints of the participant recruitment, this difference may have affected the statistical power and introduced bias. Future experiments should improve the matching of participant characteristics between groups. Secondly, the study did not collect detailed information on participants’ PA patterns beyond project attendance, particularly in the control group. This limits the ability to isolate the effects of the supervised PA from general lifestyle factors. Meanwhile, due to practical limitations, details about participants’ attendance and engagement with specific PA types were not collected. This limited our ability to analyse dose–response relationships. Future studies should consider monitoring attendance to better understand how participation level influences outcomes. Thirdly, although seasonal variation was discussed as a possible influencing factor, the study design did not control for environmental variables such as temperature or daylight hours. However, these factors are inherent to green space settings and are a part of the ecological context of the intervention. Rather than viewing them only as confounding variables, they reflect the complexity and value of natural green spaces outside of laboratory conditions. Nevertheless, future research may consider seasonal adjustments or conduct interventions across different months to better understand its potential influence. Fourth, although the WEMWBS is a widely used assessment tool, it may not be the most sensitive instrument for detecting short-term or activity-specific psychological benefits. Future studies could consider alternative measures, such as portable devices, for more objective results. Lastly, the relatively short intervention duration or the low intensity of the PA may not have been sufficient to produce measurable improvements in mental health. Future studies should consider extending the intervention period and incorporating follow-up assessments to capture longer-term effects.
5. Conclusions
This study examined the effects of supervised PA in green spaces on the mental health of middle-aged adults (45–65 years) through a quasi-experimental longitudinal study. Contrary to expectations, the intervention group did not show significant improvements compared to the control group. Several factors may have contributed to these findings, including seasonal variation, high baseline well-being, and potential ceiling effects.
Moreover, the potential limitations of the WEMWBS in capturing the short-term psychological effects of PA indicate the need for more sensitive assessment tools.
Considering that the WEMWBS primarily measures general well-being over a two-week period rather than short-term emotional fluctuations or stress reduction, future studies should explore alternative assessment tools to better capture both the short-term and long-term mental health benefits of PA interventions. Additionally, extending intervention durations and considering the complexities of real-world settings may improve the validity and effectiveness of the project. Despite the null results, this study contributes to the growing body of literature on nature-based mental health interventions and highlights the importance of methodological improvement in their evaluation.
Author Contributions
Conceptualization, S.T. and P.M.L.; methodology, S.T., S.M., L.B. and L.D.; software, M.M.; validation, M.M., S.M. and Z.X.; formal analysis, Z.X., F.M. and N.B.; investigation, E.P., R.Z., G.A. and G.P.; resources, G.A. and G.P.; data curation, Z.X., F.M. and N.B.; writing—original draft preparation, Z.X. and F.M.; writing—review and editing, Z.X. and S.T.; visualisation, Z.X. and N.B.; supervision, S.T.; project administration, S.T. All authors have read and agreed to the published version of the manuscript.
Funding
This research received no external funding.
Data Availability Statement
The data supporting the findings of this study are not publicly available but can be obtained from the corresponding author upon reasonable request.
Conflicts of Interest
The authors declare no conflicts of interest.
Abbreviations
The following abbreviations are used in this manuscript:
| PA | Physical Activities |
| WEMWBS | Warwick–Edinburgh Mental Well-being Scale |
Appendix A
Appendix A.1
Figure A1.
Map of Bologna, with the parks included in the project.
Figure A1.
Map of Bologna, with the parks included in the project.

Appendix A.2
- Parco dei Cedri (District Savena)Covering approximately 11 hectares, this park is one of Bologna’s main green areas, located in the Savena district along the Savena River and inaugurated between the 1970s and 1980s. The park boasts a rich variety of plant species such as cedars, pines, and firs, and includes visitor amenities such as a children’s playground, benches, and water fountains.
- Parco Vittime della Uno bianca (District Savena)This park is a significant memorial park, located in Bologna, with a solemn monument dedicated to the 24 victims who tragically lost their lives due to the criminal activities of the “Banda della Uno Bianca” between 1987 and 1994. Beyond its role as a memorial, the park functions as a community space for public events and activities.
- Parco della Montagnola (District Santo Stefano)Covering an area of 6 hectares, this park is the oldest public park in the city, inaugurated in 1662. Over the centuries, the park has undergone various transformations, including the adoption of a French-style garden design in the 19th century. Today, the park features wide avenues, a central fountain, and a monumental staircase that offers a panoramic view of the city.
- Parco Lunetta Gamberini (District Santo Stefano)Covering approximately 14.5 hectares, the Giardino Lunetta Gamberini is a large public park that hosts several facilities for all ages, including four school complexes, a sports centre, and children’s playgrounds. The park is surrounded by a dense mixed hedge made up of Judas trees, forsythia, blood plums, spiny brooms, and other ornamental shrubs, which shield it from surrounding traffic noise. Easily accessible, this green area is a reference point for both residents and visitors for relaxing, sports, and socialising.
- Parco San Donnino (District San Donato-San Vitale)Inaugurated in 2013, the Parco San Donnino is a large green space created through collaboration between residents, associations, and institutions to provide a place for gathering and well-being. With its 14.5 hectares, the park offers expansive green spaces for outdoor activities, including an outdoor gym dedicated to callisthenics and street workout.
- Giardino Parker Lennon (District San Donato-San Vitale)Covering approximately 4.8 hectares, the Giardino Parker Lennon, known also as the Giardino Charlie Parker—John Lennon, offers green spaces, sport facilities, and cultural activities for residents and visitors. In recent years, the park has undergone revitalization efforts thanks to collaboration between citizens, associations, and local institutions. Improvements have been made to lighting, security, and park maintenance, with the goal of making the space more liveable and welcoming to the community.
- Parco di Villa Angeletti (District Navile)Situated along the right bank of the Navile Canal, this 8.5-hectare park features wide open meadows, wooded areas with native broadleaf trees, and a tinwork of cycling paths. The park preserves the natural morphology of the area, with fruit trees and native vegetation along the canal.
- Parco dei Giardini (District Navile)Covering approximately 9 hectares, this park is a large green space located bewteen Via dell’Arcoveggio and Via dei Giardini, near the historic centre of Corticella. Created in 1990s, the park is an important green lung for the city with many trees, a central pond, children’s play areas and fitness trails.
- Parco 11 Settembre 2001 (District Porto—Saragozza)Located in the heart of Bologna, this park covers an area of about 2 hectares, offering children’s play area and dogs area. The park is a peaceful and social green space, ideal for families, students and anyone looking to enjoy a moment of relaxation outdoors.
- Giardino Giacomo Bulgarelli (District Porto—Saragozza)Covering approximately an area of 3.3 hectares, this urban park is inaugurated in 2015 and named in honour of the legendary captain of Bologna F.C. The park provides wide grassy spaces with a variety of vegetation and sports areas for outdoor activities.
- Parco Nicholas Green (District Borgo Panigale—Reno)With its 8 hectares, the Parco Nicholas Green is a recreational park equipped with various sports facilities, including a basketball court, a skating ring, a football field, and a bocce court. Furthermore, multiple playgrounds are available, making it an ideal spot for families with children. For relaxing and social gatherings, the park offers benches and fountains.
- Parco dei Pini (District Borgo Panigale—Reno)Covering approximately 4 hectares, the park is located on an area that originally belonged to the municipal aqueduct. The park is characterised by a dense and constant tree cover: the name of the park comes from the large number of domestic and maritime pine trees. Furthermore, this green area offers playgrounds for children, benches, drinking fountains, and tree-lined paths.
Appendix B
Table A1.
Overview of physical activities offered in 12 parks included in the project.
Table A1.
Overview of physical activities offered in 12 parks included in the project.
| Parks and Activities | Parco Nicholas Green | Parco di Villa Angeletti | Parco Della Montagnola | Parco San Donnino | Parco dei Cedri | Giardino Lunetta Gamberini | Parco Vittime Della Uno Bianca | Giardino Parker Lennon | Parco dei Giardini | Giardino Giacomo Bulgarelli | Parco 11 Settembre 2001 | Parco dei Pini |
|---|---|---|---|---|---|---|---|---|---|---|---|---|
| Aikido | - | ✔ | ✔ | - | - | - | - | - | - | - | - | - |
| Aerial Silks | - | ✔ | - | - | - | - | - | - | - | - | - | - |
| Argentine Tango | - | - | - | - | - | ✔ | - | ✔ | - | - | - | - |
| Badminton | - | - | ✔ | - | - | - | - | - | - | - | - | - |
| Belly Dancing | ✔ | - | - | - | - | - | - | - | - | - | - | - |
| Body Weight Training | - | - | - | - | - | - | ✔ | - | - | - | - | - |
| Body–Mind Energy Balance | ✔ | - | - | - | - | - | - | - | - | - | - | - |
| Capoeira | - | ✔ | ✔ | - | - | ✔ | ✔ | ✔ | ✔ | ✔ | ✔ | - |
| Contemporary Dance | - | - | - | - | - | - | ✔ | - | - | - | - | - |
| Contemporary Dance Kids | - | - | - | - | - | - | ✔ | - | - | - | - | - |
| Creative and Movement Workshops | - | - | - | ✔ | - | - | - | - | - | - | - | - |
| Cxworx | - | - | - | ✔ | - | - | - | - | - | - | - | - |
| Dance | - | - | - | ✔ | ✔ | ✔ | ✔ | - | ✔ | - | ✔ | - |
| Feldenkrais | - | - | ✔ | - | - | ✔ | - | - | - | ✔ | ✔ | - |
| Functional Training | ✔ | ✔ | - | - | - | - | - | - | - | - | ✔ | - |
| Gentle Gymnastics | - | ✔ | - | ✔ | ✔ | ✔ | ✔ | - | - | ✔ | - | - |
| Gymnastics | - | - | - | - | ✔ | ✔ | - | - | - | - | - | ✔ |
| Gyrokinesis | - | ✔ | - | ✔ | - | - | - | ✔ | - | - | - | - |
| Handstand Training | - | - | - | - | - | - | - | - | - | ✔ | ✔ | - |
| Judo Games | - | ✔ | - | - | - | - | - | - | - | - | - | - |
| Juggling | - | - | ✔ | - | - | - | - | - | - | ✔ | ✔ | - |
| Karate | - | ✔ | - | - | - | - | - | - | - | - | - | - |
| Kinesis | - | ✔ | - | - | - | - | - | ✔ | - | - | - | - |
| Krav Maga | ✔ | - | - | - | - | - | - | - | - | - | - | - |
| Kung Fu | - | - | ✔ | - | - | ✔ | - | ✔ | - | - | - | - |
| Low-Intensity Movement | - | - | - | - | ✔ | - | ✔ | - | - | - | - | - |
| Meditation | - | - | - | - | - | - | - | - | ✔ | - | - | - |
| Morning Stretching | ✔ | - | - | - | - | - | ✔ | - | - | - | - | - |
| Multisport Activities | ✔ | ✔ | ✔ | - | - | ✔ | - | - | - | - | - | - |
| Muscle Strengthening | - | - | - | ✔ | - | - | ✔ | - | - | - | - | - |
| Nordic Walking | - | ✔ | - | - | ✔ | - | - | - | ✔ | - | - | ✔ |
| Orienteering | ✔ | - | - | - | - | - | - | - | - | - | - | - |
| Pilates | - | - | - | ✔ | ✔ | ✔ | ✔ | ✔ | - | ✔ | ✔ | ✔ |
| Popular Fitness | - | ✔ | - | - | - | - | - | - | - | - | - | - |
| Postural Gymnastics | ✔ | ✔ | ✔ | - | - | - | - | - | - | ✔ | - | - |
| Pre-boxing Training | - | ✔ | - | - | - | - | - | - | ✔ | - | - | - |
| Power Hit | - | ✔ | - | - | - | - | - | - | - | - | - | |
| Qi Gong | - | ✔ | ✔ | - | ✔ | ✔ | - | - | ✔ | - | - | - |
| Rugby | ✔ | - | - | - | - | - | - | - | - | - | - | - |
| Run Game | - | - | ✔ | - | - | - | - | - | - | - | - | - |
| Self Defence | - | ✔ | ✔ | - | - | - | - | - | - | - | - | - |
| Stretching | ✔ | - | - | ✔ | ✔ | - | - | - | - | - | - | - |
| Tabata | ✔ | - | - | - | - | - | - | - | - | - | - | - |
| Tai Chi | ✔ | - | - | - | - | - | ✔ | ✔ | - | - | - | - |
| Tone Up | - | - | - | - | ✔ | - | - | - | - | - | - | - |
| Total Body | ✔ | - | - | ✔ | - | ✔ | - | - | - | ✔ | ✔ | - |
| Ultimate Frisbee | - | - | - | - | - | - | - | - | - | - | - | ✔ |
| Walking | ✔ | ✔ | - | ✔ | ✔ | - | - | - | ✔ | - | - | - |
| Walking and English talking | - | - | - | - | ✔ | - | - | - | - | - | - | - |
| Wing Tsun | - | - | ✔ | - | - | - | - | - | - | - | - | - |
| Yoga | ✔ | ✔ | - | ✔ | ✔ | ✔ | ✔ | - | - | ✔ | - | - |
Note. “✔” means offered; “-” means not offered.
References
- Karageorghis, C.I.; Bird, J.M.; Hutchinson, J.C.; Hamer, M.; Delevoye-Turrell, Y.N.; Guérin, S.M.; Mullin, E.M.; Mellano, K.T.; Parsons-Smith, R.L.; Terry, V.R. Physical activity and mental well-being under COVID-19 lockdown: A cross-sectional multination study. BMC Public Health 2021, 21, 988. [Google Scholar] [CrossRef] [PubMed]
- Meyer, J.; McDowell, C.; Lansing, J.; Brower, C.; Smith, L.; Tully, M.; Herring, M. Changes in physical activity and sedentary behavior in response to COVID-19 and their associations with mental health in 3052 US adults. Int. J. Environ. Res. Public Health 2020, 17, 6469. [Google Scholar] [CrossRef]
- Gonçalves, A.P.; Zuanazzi, A.C.; Salvador, A.P.; Jaloto, A.; Pianowski, G.; Carvalho, L.d.F. Preliminary findings on the associations between mental health indicators and social isolation during the COVID-19 pandemic. Arch. Psychiatry Psychother. 2020, 22, 10–19. [Google Scholar] [CrossRef]
- World Health Organization. Promoting Mental Health: Concepts, Emerging, Evidence, Practice; Summary Report; WHO: Geneva, Switzerland, 2004. [Google Scholar]
- Dore, I.; Caron, J. Mental health: Concepts, measures, determinants. Sante Ment. Au Que. 2017, 42, 125–145. [Google Scholar] [CrossRef]
- Morrison, L.; Frank, C.J. Social Determinants of Mental and Behavioral Health. Prim. Care Clin. Off. Pract. 2023, 50, 679–688. [Google Scholar] [CrossRef]
- Donkin, A.; Goldblatt, P.; Allen, J.; Nathanson, V.; Marmot, M. Global action on the social determinants of health. BMJ Glob. Health 2018, 3, e000603. [Google Scholar] [CrossRef]
- Zhang, Y.; Mavoa, S.; Zhao, J.; Raphael, D.; Smith, M. The association between green space and adolescents’ mental well-being: A systematic review. Int. J. Environ. Res. Public Health 2020, 17, 6640. [Google Scholar] [CrossRef]
- McCormick, R. Does access to green space impact the mental well-being of children: A systematic review. J. Pediatr. Nurs. 2017, 37, 3–7. [Google Scholar] [CrossRef]
- Houlden, V.; Weich, S.; Porto de Albuquerque, J.; Jarvis, S.; Rees, K. The relationship between greenspace and the mental wellbeing of adults: A systematic review. PLoS ONE 2018, 13, e0203000. [Google Scholar] [CrossRef]
- Hartig, T.; Mitchell, R.; De Vries, S.; Frumkin, H. Nature and health. Annu. Rev. Public Health 2014, 35, 207–228. [Google Scholar] [CrossRef]
- Deci, E.L.; Ryan, R.M. Self-determination theory. Handb. Theor. Soc. Psychol. 2012, 1, 416–436. [Google Scholar]
- Lee, E.S.; Maillet, M.A.; Grouzet, F.M. Why do individuals engage with the natural world? A self-determination theory perspective on the effect of nature engagement and well-being. Appl. Res. Qual. Life 2022, 17, 1501–1532. [Google Scholar] [CrossRef]
- Olanipekun, A.O.; Chan, A.P.; Xia, B.; Adedokun, O.A. Applying the self-determination theory (SDT) to explain the levels of motivation for adopting green building. Int. J. Constr. Manag. 2018, 18, 120–131. [Google Scholar] [CrossRef]
- Ohly, H.; White, M.P.; Wheeler, B.W.; Bethel, A.; Ukoumunne, O.C.; Nikolaou, V.; Garside, R. Attention Restoration Theory: A systematic review of the attention restoration potential of exposure to natural environments. J. Toxicol. Environ. Health Part B 2016, 19, 305–343. [Google Scholar] [CrossRef]
- Stevenson, M.P.; Schilhab, T.; Bentsen, P. Attention Restoration Theory II: A systematic review to clarify attention processes affected by exposure to natural environments. J. Toxicol. Environ. Health Part B 2018, 21, 227–268. [Google Scholar] [CrossRef]
- Li, H.; Browning, M.H.; Rigolon, A.; Larson, L.R.; Taff, D.; Labib, S.; Benfield, J.; Yuan, S.; McAnirlin, O.; Hatami, N. Beyond “bluespace” and “greenspace”: A narrative review of possible health benefits from exposure to other natural landscapes. Sci. Total Environ. 2023, 856, 159292. [Google Scholar] [CrossRef]
- McPhee, J.S.; French, D.P.; Jackson, D.; Nazroo, J.; Pendleton, N.; Degens, H. Physical activity in older age: Perspectives for healthy ageing and frailty. Biogerontology 2016, 17, 567–580. [Google Scholar] [CrossRef]
- Mahindru, A.; Patil, P.; Agrawal, V. Role of physical activity on mental health and well-being: A review. Cureus 2023, 15, e33475. [Google Scholar] [CrossRef]
- Lahart, I.; Darcy, P.; Gidlow, C.; Calogiuri, G. The effects of green exercise on physical and mental wellbeing: A systematic review. Int. J. Environ. Res. Public Health 2019, 16, 1352. [Google Scholar] [CrossRef]
- Rogerson, M.; Brown, D.K.; Sandercock, G.; Wooller, J.-J.; Barton, J. A comparison of four typical green exercise environments and prediction of psychological health outcomes. Perspect. Public Health 2016, 136, 171–180. [Google Scholar] [CrossRef]
- Wood, L.; Hooper, P.; Foster, S.; Bull, F. Public green spaces and positive mental health—Investigating the relationship between access, quantity and types of parks and mental wellbeing. Health Place 2017, 48, 63–71. [Google Scholar] [CrossRef]
- Niu, J.; Xiong, J.; Qin, H.; Hu, J.; Deng, J.; Han, G.; Yan, J. Influence of thermal comfort of green spaces on physical activity: Empirical study in an urban park in Chongqing, China. Build. Environ. 2022, 219, 109168. [Google Scholar] [CrossRef]
- Guarda-Saavedra, P.; Munoz-Quezada, M.T.; Cortinez-O’Ryan, A.; Aguilar-Farias, N.; Vargas-Gaete, R. Benefits of green spaces and physical activity for the well-being and health of people. Rev. Medica De Chile 2022, 150, 1095–1107. [Google Scholar] [CrossRef]
- Creasy, S.A.; Rogers, R.J.; Davis, K.K.; Gibbs, B.B.; Kershaw, E.E.; Jakicic, J.M. Effects of supervised and unsupervised physical activity programmes for weight loss. Obes. Sci. Pract. 2017, 3, 143–152. [Google Scholar] [CrossRef]
- Fennell, C.; Peroutky, K.; Glickman, E. Effects of supervised training compared to unsupervised training on physical activity, muscular endurance, and cardiovascular parameters. MOJ Orthop. Rheumatol. 2016, 5, 00184. [Google Scholar] [CrossRef]
- Gómez-Redondo, P.; Valenzuela, P.L.; Morales, J.S.; Ara, I.; Mañas, A. Supervised Versus Unsupervised Exercise for the Improvement of Physical Function and Well-Being Outcomes in Older Adults: A Systematic Review and Meta-analysis of Randomized Controlled Trials. Sports Med. 2024, 54, 1877–1906. [Google Scholar] [CrossRef]
- Júnior, J.L.A.D.S.; Biduski, D.; Bellei, E.A.; Becker, O.H.C.; Daroit, L.; Pasqualotti, A.; Tourinho Filho, H.; De Marchi, A.C.B. A bowling exergame to improve functional capacity in older adults: Co-design, development, and testing to compare the progress of playing alone versus playing with peers. JMIR Serious Games 2021, 9, e23423. [Google Scholar] [CrossRef]
- Müller-Riemenschneider, F.; Petrunoff, N.; Yao, J.; Ng, A.; Sia, A.; Ramiah, A.; Wong, M.; Han, J.; Tai, B.C.; Uijtdewilligen, L. Effectiveness of prescribing physical activity in parks to improve health and wellbeing-the park prescription randomized controlled trial. Int. J. Behav. Nutr. Phys. Act. 2020, 17, 42. [Google Scholar] [CrossRef]
- Hunter, R.F.; Christian, H.; Veitch, J.; Astell-Burt, T.; Hipp, J.A.; Schipperijn, J. The impact of interventions to promote physical activity in urban green space: A systematic review and recommendations for future research. Soc. Sci. Med. 2015, 124, 246–256. [Google Scholar] [CrossRef]
- Wendelboe-Nelson, C.; Kelly, S.; Kennedy, M.; Cherrie, J.W. A scoping review mapping research on green space and associated mental health benefits. Int. J. Environ. Res. Public Health 2019, 16, 2081. [Google Scholar] [CrossRef]
- Xu, Z.; Marini, S.; Mauro, M.; Maietta Latessa, P.; Grigoletto, A.; Toselli, S. Associations Between Urban Green Space Quality and Mental Wellbeing: Systematic Review. Land 2025, 14, 381. [Google Scholar] [CrossRef]
- Gremigni, P.; Stewart-Brown, S.L. Measuring mental well-being: Italian validation of the Warwick-Edinburgh Mental Well-being Scale (WEMWBS). G. Ital. Psicol. 2011, 38, 485–508. [Google Scholar]
- Tennant, R.; Hiller, L.; Fishwick, R.; Platt, S.; Joseph, S.; Weich, S.; Parkinson, J.; Secker, J.; Stewart-Brown, S. The Warwick-Edinburgh Mental Well-being Scale (WEMWBS): Development and UK validation. Health Qual. Life Outcomes 2007, 5, 63. [Google Scholar] [CrossRef]
- Cohen, J. Statistical Power Analysis for the Behavioral Sciences; Routledge: London, UK, 2013. [Google Scholar]
- Coventry, P.A.; Brown, J.E.; Pervin, J.; Brabyn, S.; Pateman, R.; Breedvelt, J.; Gilbody, S.; Stancliffe, R.; McEachan, R.; White, P.L. Nature-based outdoor activities for mental and physical health: Systematic review and meta-analysis. SSM Popul. Health 2021, 16, 100934. [Google Scholar] [CrossRef]
- Rogerson, M.; Wood, C.; Pretty, J.; Schoenmakers, P.; Bloomfield, D.; Barton, J. Regular doses of nature: The efficacy of green exercise interventions for mental wellbeing. Int. J. Environ. Res. Public Health 2020, 17, 1526. [Google Scholar] [CrossRef]
- Zuo, W.; Cheng, B.; Feng, X.; Zhuang, X. Relationship between urban green space and mental health in older adults: Mediating role of relative deprivation, physical activity, and social trust. Front. Public Health 2024, 12, 1442560. [Google Scholar] [CrossRef]
- Zhang, R.; Volkow, N.D. Seasonality of brain function: Role in psychiatric disorders. Transl. Psychiatry 2023, 13, 65. [Google Scholar] [CrossRef]
- Thompson, R.; Lawrance, E.L.; Roberts, L.F.; Grailey, K.; Ashrafian, H.; Maheswaran, H.; Toledano, M.B.; Darzi, A. Ambient temperature and mental health: A systematic review and meta-analysis. Lancet Planet. Health 2023, 7, e580–e589. [Google Scholar] [CrossRef]
- Hua, Y.; Qiu, Y.; Tan, X. The effects of temperature on mental health: Evidence from China. J. Popul. Econ. 2023, 36, 1293–1332. [Google Scholar] [CrossRef]
- Obradovich, N.; Migliorini, R.; Paulus, M.P.; Rahwan, I. Empirical evidence of mental health risks posed by climate change. Proc. Natl. Acad. Sci. USA 2018, 115, 10953–10958. [Google Scholar] [CrossRef]
- Rony, M.K.K.; Alamgir, H.M. High temperatures on mental health: Recognizing the association and the need for proactive strategies—A perspective. Health Sci. Rep. 2023, 6, e1729. [Google Scholar] [CrossRef] [PubMed]
- Garriga, A.; Sempere-Rubio, N.; Molina-Prados, M.J.; Faubel, R. Impact of seasonality on physical activity: A systematic review. Int. J. Environ. Res. Public Health 2021, 19, 2. [Google Scholar] [CrossRef] [PubMed]
- Chen, L.-T.; Wu, P.-J.; Peng, C.-Y.J. Accounting for baseline trends in intervention studies: Methods, effect sizes, and software. Cogent Psychol. 2019, 6, 1679941. [Google Scholar] [CrossRef]
- Melin, J.; Lundin, A.; Johansson, M. An off-target scale limits the utility of Short Warwick-Edinburgh Mental Well-Being Scale (SWEMWBS) as a measure of well-being in public health surveys. Public Health 2022, 202, 43–48. [Google Scholar] [CrossRef]
- Toselli, S.; Bragonzoni, L.; Grigoletto, A.; Masini, A.; Marini, S.; Barone, G.; Pinelli, E.; Zinno, R.; Mauro, M.; Pilone, P.L.; et al. Effect of a Park-Based Physical Activity Intervention on Psychological Wellbeing at the Time of COVID-19. Int. J. Environ. Res. Public Health 2022, 19, 6028. [Google Scholar] [CrossRef] [PubMed]
- Toselli, S.; Bragonzoni, L.; Dallolio, L.; Alessia, G.; Masini, A.; Marini, S.; Barone, G.; Pinelli, E.; Zinno, R.; Mauro, M.; et al. The Effects of Park Based Interventions on Health: The Italian Project “Moving Parks”. Int. J. Environ. Res. Public Health 2022, 19, 2130. [Google Scholar] [CrossRef]
- Bell, S.L.; Audrey, S.; Gunnell, D.; Cooper, A.; Campbell, R. The relationship between physical activity, mental wellbeing and symptoms of mental health disorder in adolescents: A cohort study. Int. J. Behav. Nutr. Phys. Act. 2019, 16, 138. [Google Scholar] [CrossRef]
- Van Der Zwan, J.E.; De Vente, W.; Huizink, A.C.; Bögels, S.M.; De Bruin, E.I. Physical activity, mindfulness meditation, or heart rate variability biofeedback for stress reduction: A randomized controlled trial. Appl. Psychophysiol. Biofeedback 2015, 40, 257–268. [Google Scholar] [CrossRef]
- Legey, S.; Aquino, F.; Lamego, M.K.; Paes, F.; Nardi, A.E.; Neto, G.M.; Mura, G.; Sancassiani, F.; Rocha, N.; Murillo-Rodriguez, E. Relationship among physical activity level, mood and anxiety states and quality of life in physical education students. Clin. Pract. Epidemiol. Ment. Health CP EMH 2017, 13, 82. [Google Scholar] [CrossRef]
- Magyar, J.L.; Keyes, C.L. Defining, measuring, and applying subjective well-being. In Positive Psychological Assessment: A Handbook of Models and Measures, 2nd ed.; Gallagher, M.W., Lopez, S.J., Eds.; American Psychological Association: Washington, DC, USA, 2019. [Google Scholar]
- Liu, Y.; Zhang, F.; Wu, F.; Liu, Y.; Li, Z. The subjective wellbeing of migrants in Guangzhou, China: The impacts of the social and physical environment. Cities 2017, 60, 333–342. [Google Scholar] [CrossRef]
- Das, K.V.; Jones-Harrell, C.; Fan, Y.; Ramaswami, A.; Orlove, B.; Botchwey, N. Understanding subjective well-being: Perspectives from psychology and public health. Public Health Rev. 2020, 41, 25. [Google Scholar] [CrossRef] [PubMed]
- Herman, K.; Ciechanowski, L.; Przegalińska, A. Emotional well-being in urban wilderness: Assessing states of calmness and alertness in informal green spaces (igss) with muse—Portable eeg headband. Sustainability 2021, 13, 2212. [Google Scholar] [CrossRef]
- Sheikh, M.; Qassem, M.; Kyriacou, P.A. Wearable, environmental, and smartphone-based passive sensing for mental health monitoring. Front. Digit. Health 2021, 3, 662811. [Google Scholar] [CrossRef]
- Gronwald, T.; Velasques, B.; Ribeiro, P.; Machado, S.; Murillo-Rodríguez, E.; Ludyga, S.; Yamamoto, T.; Budde, H. Increasing exercise’s effect on mental health: Exercise intensity does matter. Proc. Natl. Acad. Sci. USA 2018, 115, E11890–E11891. [Google Scholar] [CrossRef]
- Chekroud, S.R.; Gueorguieva, R.; Zheutlin, A.B.; Paulus, M.; Krumholz, H.M.; Krystal, J.H.; Chekroud, A.M. Association between physical exercise and mental health in 1·2 million individuals in the USA between 2011 and 2015: A cross-sectional study. Lancet Psychiatry 2018, 5, 739–746. [Google Scholar] [CrossRef]
- Sansano-Nadal, O.; Giné-Garriga, M.; Brach, J.S.; Wert, D.M.; Jerez-Roig, J.; Guerra-Balic, M.; Oviedo, G.; Fortuño, J.; Gómara-Toldrà, N.; Soto-Bagaria, L. Exercise-based interventions to enhance long-term sustainability of physical activity in older adults: A systematic review and meta-analysis of randomized clinical trials. Int. J. Environ. Res. Public Health 2019, 16, 2527. [Google Scholar] [CrossRef]
- Ekkekakis, P.; Parfitt, G.; Petruzzello, S.J. The pleasure and displeasure people feel when they exercise at different intensities: Decennial update and progress towards a tripartite rationale for exercise intensity prescription. Sports Med. 2011, 41, 641–671. [Google Scholar] [CrossRef]
- Biddle, S.J.; Asare, M. Physical activity and mental health in children and adolescents: A review of reviews. Br. J. Sports Med. 2011, 45, 886–895. [Google Scholar] [CrossRef]
- Xu, Z.; Marini, S.; Bragonzoni, L.; Dallolio, L.; Pinelli, E.; Zinno, R.; Astorino, G.; Prosperi, G.; Latessa, P.M.; Mauro, M. Exploring the impact of physical activities on subjective well-being: A cross-sectional study in Bologna, Italy. J. Public Health 2025, 1–10. [Google Scholar] [CrossRef]
Disclaimer/Publisher’s Note: The statements, opinions and data contained in all publications are solely those of the individual author(s) and contributor(s) and not of MDPI and/or the editor(s). MDPI and/or the editor(s) disclaim responsibility for any injury to people or property resulting from any ideas, methods, instructions or products referred to in the content. |
© 2025 by the authors. Licensee MDPI, Basel, Switzerland. This article is an open access article distributed under the terms and conditions of the Creative Commons Attribution (CC BY) license (https://creativecommons.org/licenses/by/4.0/).

