Evaluation of Phragmites australis for Environmental Sustainability in Bahrain: Photosynthesis Pigments, Cd, Pb, Cu, and Zn Content Grown in Urban Wastes
Abstract
1. Introduction
2. Material and Methods
2.1. Plant Samples
2.2. Percent Water Content
2.3. Toxic Metal Analyses
2.4. Total Chlorophyll Content
- The chlorophyll content was measured by acetone extraction, and the calculation of the concentration was determined according to the equations proposed by Lichtenthaler [18]. The percent water content was estimated by the formula mentioned in Section 2.2. The data obtained were statistically analyzed by Statistical Package (IBM Corp, Armonk, NY, USA) for the Social Sciences (SPSS) version 21.
- The fresh weight of sets A and B (0.05 g) was measured using an analytical balance and transferred to a pestle; then, 2 mL of acetone was added with the addition of 0.01 g of sea sand acid and (0.01 g) MgCO3. The mixture was ground using a mortar until it was dry (powder), and then the ground powder was transferred to a plastic centrifuge test tube. Using a micropipette, 1 mL of 80% acetone was added to the pestle, homogenized, and then transferred to a centrifuge tube, and the process was repeated until the pestle was clear; then, the volume was adjusted to 3 mL by adding 80% acetone. The sample was centrifuged at a speed of 5000 rpm for 15 min at 4 °C; after that, the supernatant was collected in a UV–Vis tube, and absorbance was determined by a UV–Vis spectrophotometer at 470, 646.8, 663.2, and 750 nm.
- The calculation of the chlorophyll concentration was performed according to the equations proposed by Lichtenthaler [18]:
2.5. Statistical Analysis
3. Results
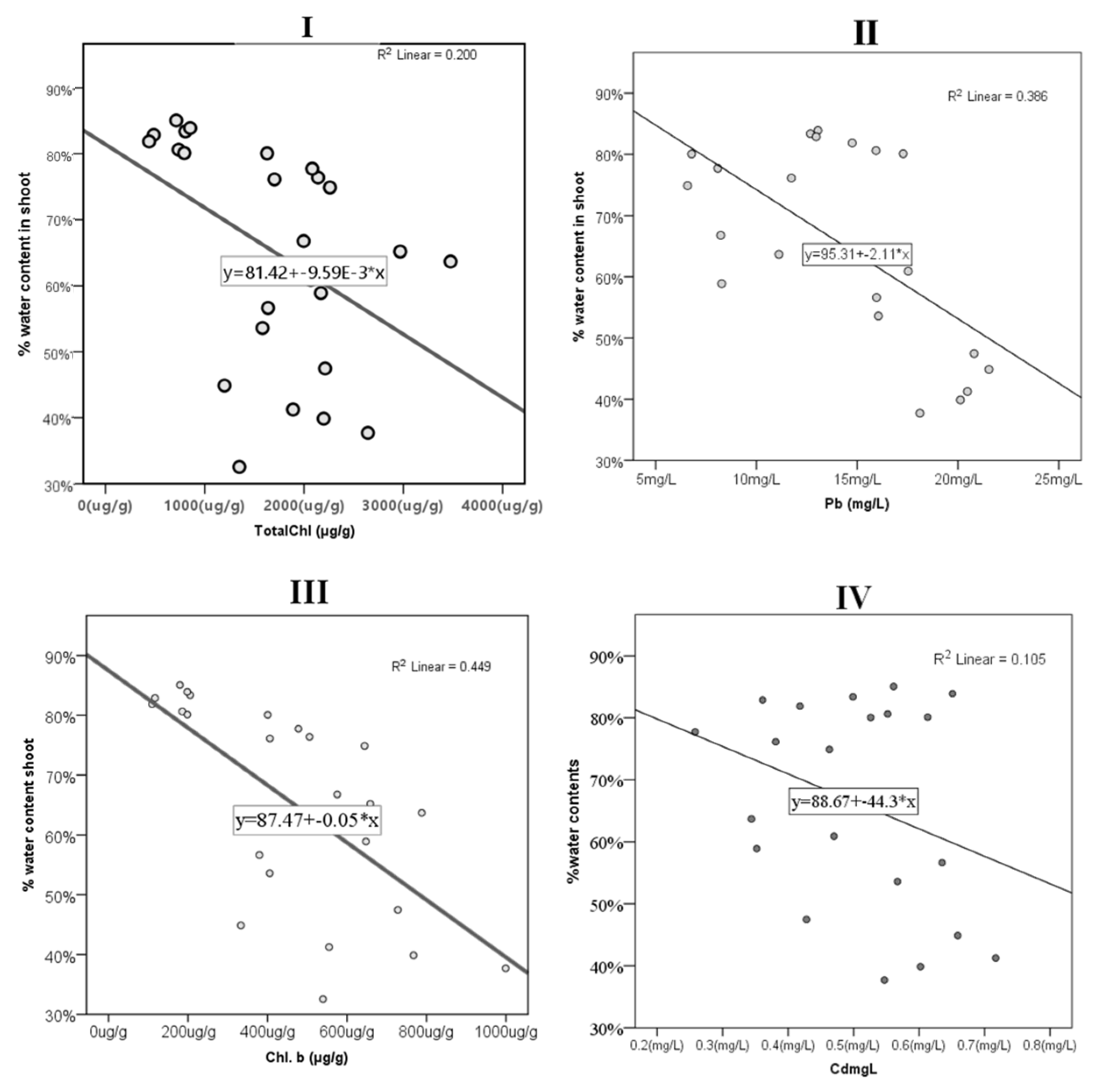
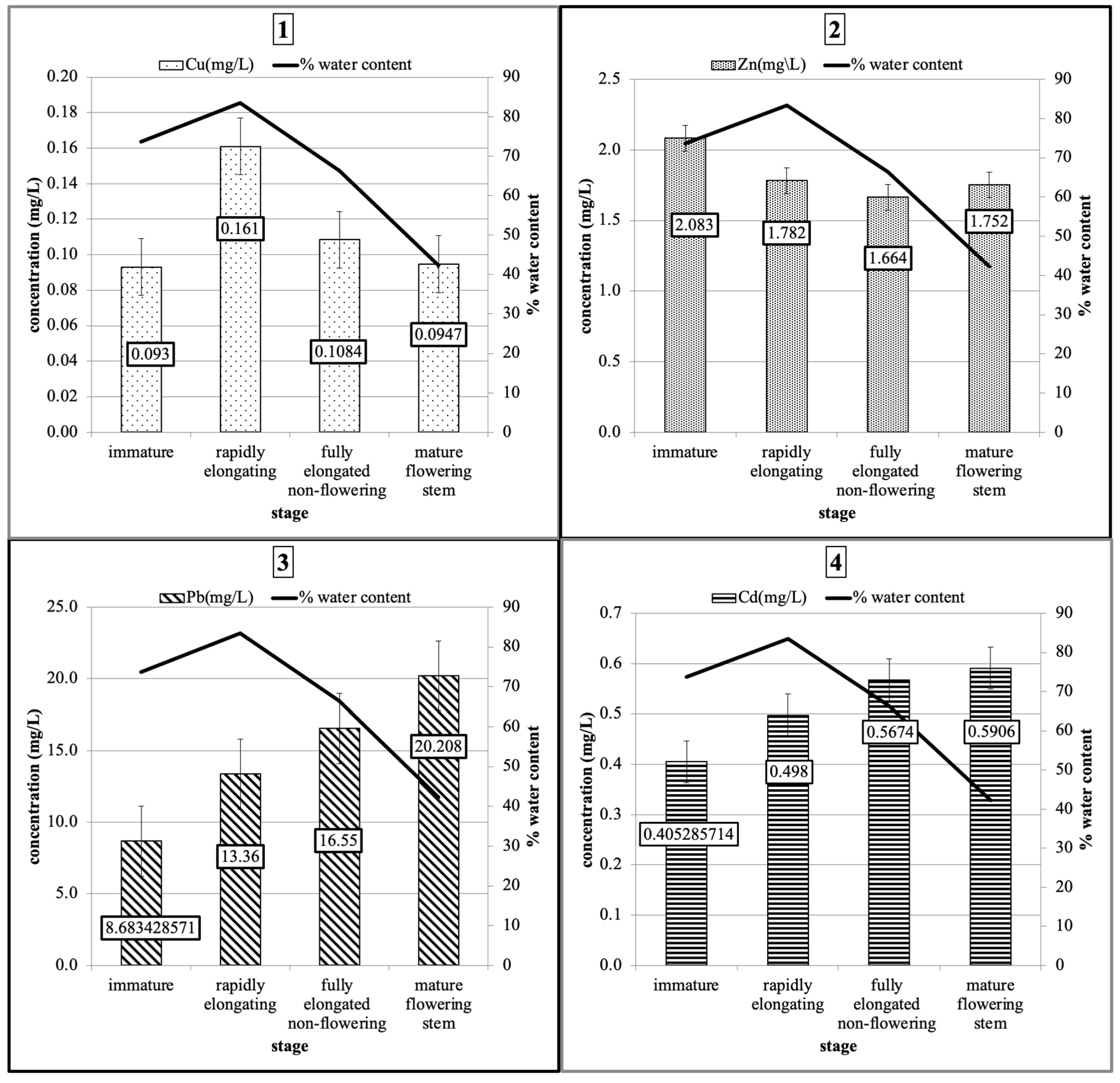
3.1. Water and Chlorophyll Content
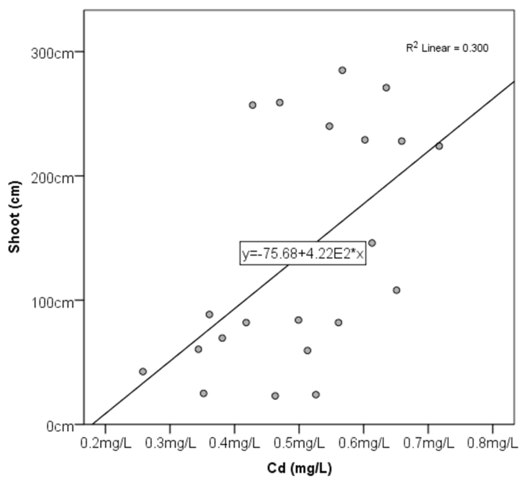
3.2. Toxic Metal Contents
3.3. Statistical Analysis
4. Discussion
5. Conclusions
- The present investigation of the effect of selected toxic metal concentrations on the chlorophyll contents of the common reed generated some useful information. The common reed was found to accumulate significant amounts of toxic metals in its biomass. The photosynthetic machinery and plant growth were not affected by metal accumulation. Thus, the common reed (Phragmites australis) can be considered a potential source of phytonutrients, including chlorophyll a and b and carotenoids. Higher concentrations of total chloroplast pigments are mostly available in the immature and mature flowering stages.
- The immature stage of the stems of the plant can be favored as a source of phytonutrients. However, chloroplast pigment extraction from the common reed for human and animal consumption should be treated with caution to avoid any harmful side effects resulting from contamination with other hazardous compounds that accumulate in the plant tissues, as it can be a water filtering tool for toxic metals.
- The use of such marginal wetlands plants may be very useful in reducing the pollution burden of urban built environments. These plants offer a green, sustainable solution for the disposal of waste from urban areas.
Author Contributions
Funding
Institutional Review Board Statement
Informed Consent Statement
Data Availability Statement
Conflicts of Interest
Appendix A



References
- Antonielli, M.; Pasqualini, S.; Batini, P.; Ederli, L.; Massacci, A.; Loreto, F. Physiological and anatomical characterisation of Phragmites australis leaves. Aquat. Bot. 2002, 72, 55–66. [Google Scholar] [CrossRef]
- Menéndez, M. Decomposition of the common reed Phragmites australis in a Mediterranean stream pond. Arch. Hydrobiol. 2005, 163, 101–115. [Google Scholar] [CrossRef]
- Parker, C. Phragmites australis (common reed). CABI Compend. 2022. [Google Scholar] [CrossRef]
- Srivastava, J.; Kalra, J.; Naraian, R. Environmental perspectives of Phragmites australis (Cav.) Trin. Ex. Steudel. Appl. Water Sci. 2014, 4, 193–202. [Google Scholar] [CrossRef]
- Wichmann, S.; Köbbing, J.F. Common reed for thatching—A first review of the European market. Ind. Crops Prod. 2015, 77, 1063–1073. [Google Scholar] [CrossRef]
- Sarafraz, S.; Mohammad, T.A.; Norr, M.J.; Laight, A. Wastewater treatment using horizontal subsurface flow constructed wetland. Am. J. Environ. Sci. 2009, 5, 99–105. Available online: http://www.scipub.org/fulltext/ajes/ajes5199-105.pdf (accessed on 22 November 2022).
- Milke, J.; Gałczyńska, M.; Wróbel, J. The Importance of Biological and Ecological Properties of Phragmites australis (Cav.) Trin. Ex Steud., in Phytoremendiation of Aquatic Ecosystems—The Review. Water 2020, 12, 1770. [Google Scholar] [CrossRef]
- Kronbergs, E.; Kaktis, A.; Smits, M.; Nulle, I. Biomass condition for solid biofuel compositions. In Use of Bioenergy in the Baltic Sea Region, Proceedings of the 2nd International Baltic Bioenergy Conference, 2–4 November 2006; Barz, M., Ahlhaus, M., Eds.; Fachhochschule: Stralsund, Germany, 2006; pp. 83–92. [Google Scholar]
- Hedelin, B. The Effect of Reed Harvesting on the Phosphorus Budget of Lake Wuliangsuhai, P.R. of China. Master’s Thesis, Royal Institute of Technology (KTH), Stockholm, Sweden, 2001. [Google Scholar]
- Huhta, A. Decorative or Outrageous—The significance of the Common Reed (Phragmites australis) on water quality. Comments Turku Univ. Appl. Sci. 2009, 48, 1–33. [Google Scholar]
- Kumar, S.; Kumar, R.; Pal, A.; Chopra, D.S. Enzymes. In Postharvest Physiology and Biochemistry of Fruits and Vegetables; Elsevier: Amsterdam, The Netherlands, 2019; pp. 335–358. [Google Scholar] [CrossRef]
- Xu, C.; Zhang, J.; Mihai, D.M.; Washington, I. Light-harvesting chlorophyll pigments enable mammalian mitochondria to capture photonic energy and produce ATP. J. Cell Sci. 2014, 127, 388–399. [Google Scholar] [CrossRef]
- And, H.; Jones, T. Haems and chlorophylls: Comparison of function and formation. J. Med. Genet. 1980, 17, 1–14. Available online: https://www.ncbi.nlm.nih.gov/pmc/articles/PMC1048480/pdf/jmedgene00123-0008.pdf (accessed on 5 March 2023).
- Suvorov, N.; Pogorilyy, V.; Diachkova, E.; Vasil’ev, Y.; Mironov, A.; Grin, M. Derivatives of Natural Chlorophylls as Agents for Antimicrobial Photodynamic Therapy. Int. J. Mol. Sci. 2021, 22, 6392. [Google Scholar] [CrossRef] [PubMed]
- Franceschi, V.R.; Nakata, P.A. CALCIUM OXALATE IN PLANTS: Formation and Function. Annu. Rev. Plant Biol. 2005, 56, 41–71. [Google Scholar] [CrossRef] [PubMed]
- Singh, S.; Parihar, P.; Singh, R.; Singh, V.P.; Prasad, S.M. Heavy Metal Tolerance in Plants: Role of Transcriptomics, Proteomics, Metabolomics, and Ionomics. Front. Plant Sci. 2016, 6, 1143. [Google Scholar] [CrossRef] [PubMed]
- Hoagland, D.R.; Arnon, D.I. The Water-Culture Method of Growing Plants without Soil. Calif. Agric. Exp. Stn. Circ. 1950, 347, 32. [Google Scholar]
- Lichtenthaler, H.K. Chlorophylls and Carotenoids: Pigments of Photosynthetic Biomembranes. Methods Enzymol. 1987, 148, 350–382. [Google Scholar]
- Pérez-Gálvez, A.; Viera, I.; Roca, M. Carotenoids and Chlorophylls as Antioxidants. Antioxidants 2020, 9, 505. [Google Scholar] [CrossRef]
- Staszewski, T.; Łukasik, W.; Kubiesa, P. Contamination of Polish national parks with heavy metals. Environ. Monit. Assess. 2011, 184, 4597–4608. Available online: https://www.researchgate.net/publication/51571985_Contamination_of_Polish_national_parks_with_heavy_metals (accessed on 25 May 2021). [CrossRef]
- Fahey, J.W.; Stephenson, K.K.; Dinkova-Kostova, A.T.; Egner, P.A.; Kensler, T.W.; Talalay, P. Chlorophyll, chlorophyllin and related tetrapyrroles are significant inducers of mammalian phase 2 cytoprotective genes. Carcinogenesis 2005, 26, 1247–1255. [Google Scholar] [CrossRef]
- Jubert, C.; Mata, J.; Bench, G.; Dashwood, R.; Pereira, C.; Tracewell, W.; Turteltaub, K.; Williams, D.; Bailey, G. Effects of chlorophyll and chlorophyllin on low-dose aflatoxin B(1) pharmacokinetics in human volunteers. Cancer Prev. Res. 2009, 2, 1015–1022. [Google Scholar] [CrossRef]
- Bragato, C.; Brix, H.; Malagoli, M. Accumulation of nutrients and heavy metals in Phragmites australis (Cav.) Trin. ex Steudel and Bolboschoenus maritimus (L.) Palla in a constructed wetland of the Venice lagoon watershed. Environ. Pollut. 2006, 144, 967–975. [Google Scholar] [CrossRef]
- Köbbing, J.F.; Thevs, N.; Zerbe, S. The utilisation of reed (Phragmites australis): A review. Mires Peat 2013, 13, 1–14. [Google Scholar]
- Kaszás, L.; Kovács, Z.; Nagy, E.; Elhawat, N.; Abdalla, N.; Domokos-Szabolcsy, E. Jerusalem artichoke (Helianthus tuberosus L.) as a potential chlorophyll source for humans and animals nutrition. Environ. Biodivers. Soil Secur. 2018, 2, 1–9. [Google Scholar] [CrossRef]
- Lippert, I.; Rolletschek, H.; Kohl, J.G. Photosynthetic pigments and efficiencies of two Phragmites australis stands in different nitrogen availabilities. Aquat. Bot. 2001, 69, 359–365. [Google Scholar] [CrossRef]
- Su, F.; Dong, L.; Li, H.; Wang, T. Influence of Paper Mill Wastewater on Reed Chlorophyll Content and Biomass. Phys. Chem. Earth 2018, 108, 13–18. [Google Scholar] [CrossRef]
- Vaičekonytė, R.; Kiviat, E.; Nsenga, F.; Ostfeld, A. An exploration of common reed (Phragmites australis) bioenergy potential in North America. Mires Peat 2014, 13, 1–9. [Google Scholar]
- Gjorgieva Ackova, D. Heavy metals and their general toxicity for plants. Plant Sci. Today 2018, 5, 14–18. [Google Scholar] [CrossRef]
- Nedjimi, B. Phytoremediation: A sustainable environmental technology for heavy metals decontamination. SN Appl. Sci. 2021, 3, 286. [Google Scholar] [CrossRef]



| Stages | Chl. a (µg/g) | Chl. b (µg/g) | Carotenoids (µg/g) | Total Chl. (µg/g) | % Water Content |
|---|---|---|---|---|---|
| immature | 1641.5 | 542.43 | 359.75 | 2183.93 | 73.66 |
| rapidly elongating | 497.88 | 161.82 | 187.22 | 659.71 | 83.41 |
| fully elongated non-flowering | 1017.4 | 346.23 | 308.35 | 1363.64 | 66.37 |
| mature flowering stem | 1351.95 | 676.45 | 357.01 | 2028.41 | 42.23 |
| Stages | Cu (mg/L) | Zn (mg/L) | Pb (mg/L) | Cd (mg/L) |
|---|---|---|---|---|
| immature | 0.093 | 2.083 | 8.683 | 0.405 |
| rapidly elongating | 0.161 | 1.781 | 13.36 | 0.498 |
| fully elongated non-flowering | 0.108 | 1.664 | 16.55 | 0.567 |
| mature flowering stem | 0.095 | 1.752 | 20.208 | 0.591 |
Disclaimer/Publisher’s Note: The statements, opinions and data contained in all publications are solely those of the individual author(s) and contributor(s) and not of MDPI and/or the editor(s). MDPI and/or the editor(s) disclaim responsibility for any injury to people or property resulting from any ideas, methods, instructions or products referred to in the content. |
© 2023 by the authors. Licensee MDPI, Basel, Switzerland. This article is an open access article distributed under the terms and conditions of the Creative Commons Attribution (CC BY) license (https://creativecommons.org/licenses/by/4.0/).
Share and Cite
Perna, S.; AL-Qallaf, Z.A.; Mahmood, Q. Evaluation of Phragmites australis for Environmental Sustainability in Bahrain: Photosynthesis Pigments, Cd, Pb, Cu, and Zn Content Grown in Urban Wastes. Urban Sci. 2023, 7, 53. https://doi.org/10.3390/urbansci7020053
Perna S, AL-Qallaf ZA, Mahmood Q. Evaluation of Phragmites australis for Environmental Sustainability in Bahrain: Photosynthesis Pigments, Cd, Pb, Cu, and Zn Content Grown in Urban Wastes. Urban Science. 2023; 7(2):53. https://doi.org/10.3390/urbansci7020053
Chicago/Turabian StylePerna, Simone, Zainab Ali AL-Qallaf, and Qaisar Mahmood. 2023. "Evaluation of Phragmites australis for Environmental Sustainability in Bahrain: Photosynthesis Pigments, Cd, Pb, Cu, and Zn Content Grown in Urban Wastes" Urban Science 7, no. 2: 53. https://doi.org/10.3390/urbansci7020053
APA StylePerna, S., AL-Qallaf, Z. A., & Mahmood, Q. (2023). Evaluation of Phragmites australis for Environmental Sustainability in Bahrain: Photosynthesis Pigments, Cd, Pb, Cu, and Zn Content Grown in Urban Wastes. Urban Science, 7(2), 53. https://doi.org/10.3390/urbansci7020053

