Ecomindsponge: A Novel Perspective on Human Psychology and Behavior in the Ecosystem
Abstract
1. Introduction
1.1. A Demand for a Conceptual Framework Connecting Humans and Nature
1.2. Human Thinking and Reality
1.3. A New Information Processing-Based Approach
2. Ecomindsponge Conceptual Framework
- The objective sphere of influence;
- The subjective sphere of influence.
2.1. Subjective Sphere of Influence
- Information;
- Connection between information;
- The intensity of the connection.
- Perceived impact of A on B (AB);
- Perceived impact of B on A (BA);
- Perceived mutual impacts between A and B (AB).
- Perceived sphere of being influenced, representing the perceived impact of other information on the self;
- Perceived sphere of influencing, representing the perceived impact of the self on other information.
- Scenario A (cyan bubbles): The information perceived to be mutually influential with the self;
- Scenario B (light red bubbles): The information perceived to be influenced by the self;
- Scenario C (purple bubbles): The information perceived to influence the self;
- Scenario D (purple bubbles): The information perceived to have no interaction with the self.
2.2. Range of Perception
2.3. Feedback-Induced Updating Mechanism
- The sphere of being influenced shows the passive reaction of humans to nature. The reaction does not have clear long-term strategies and is more dependent on immediate contexts. Passive mindsets tend to have higher degrees of variance in intentions.
- The sphere of influence shows the active action of humans toward nature. Such action has relatively clearer strategies and driving core values (desires). Proactive mindsets tend to have stronger and more consistent intentions.
- Stupidity: the state in which the individual does not understand sufficiently how the ecosphere operates around him/her.
- Delusion: the state in which the individual obtains wrong perceptions about the ecosphere operating around him/her.
- Direct absorption (sensory perceptions) and feedback from behaviors;
- Indirect absorption through other information transmitters.
2.4. Subjective Sphere Optimization
3. Empirical Validation
3.1. Study Overview
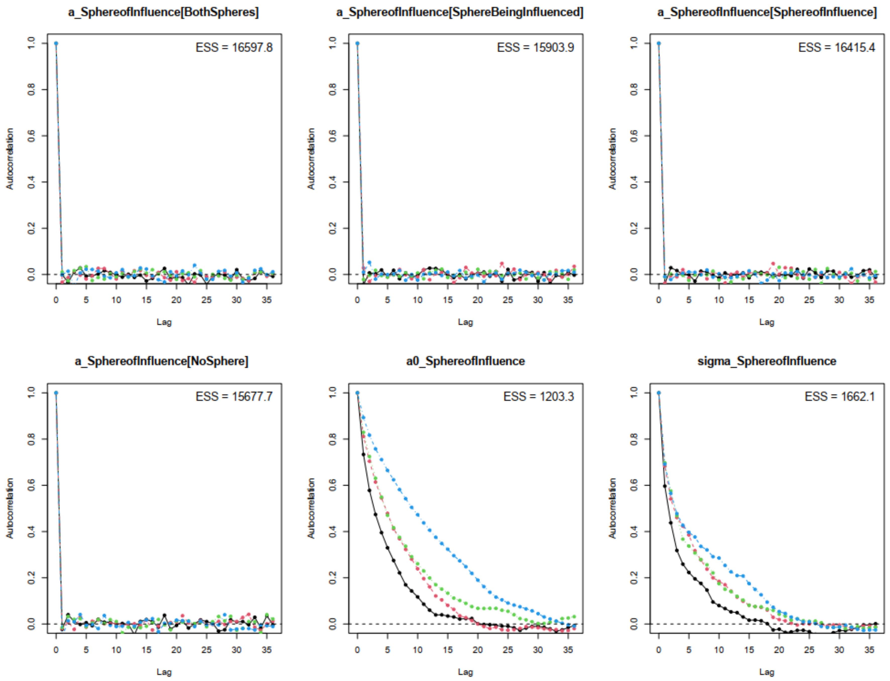
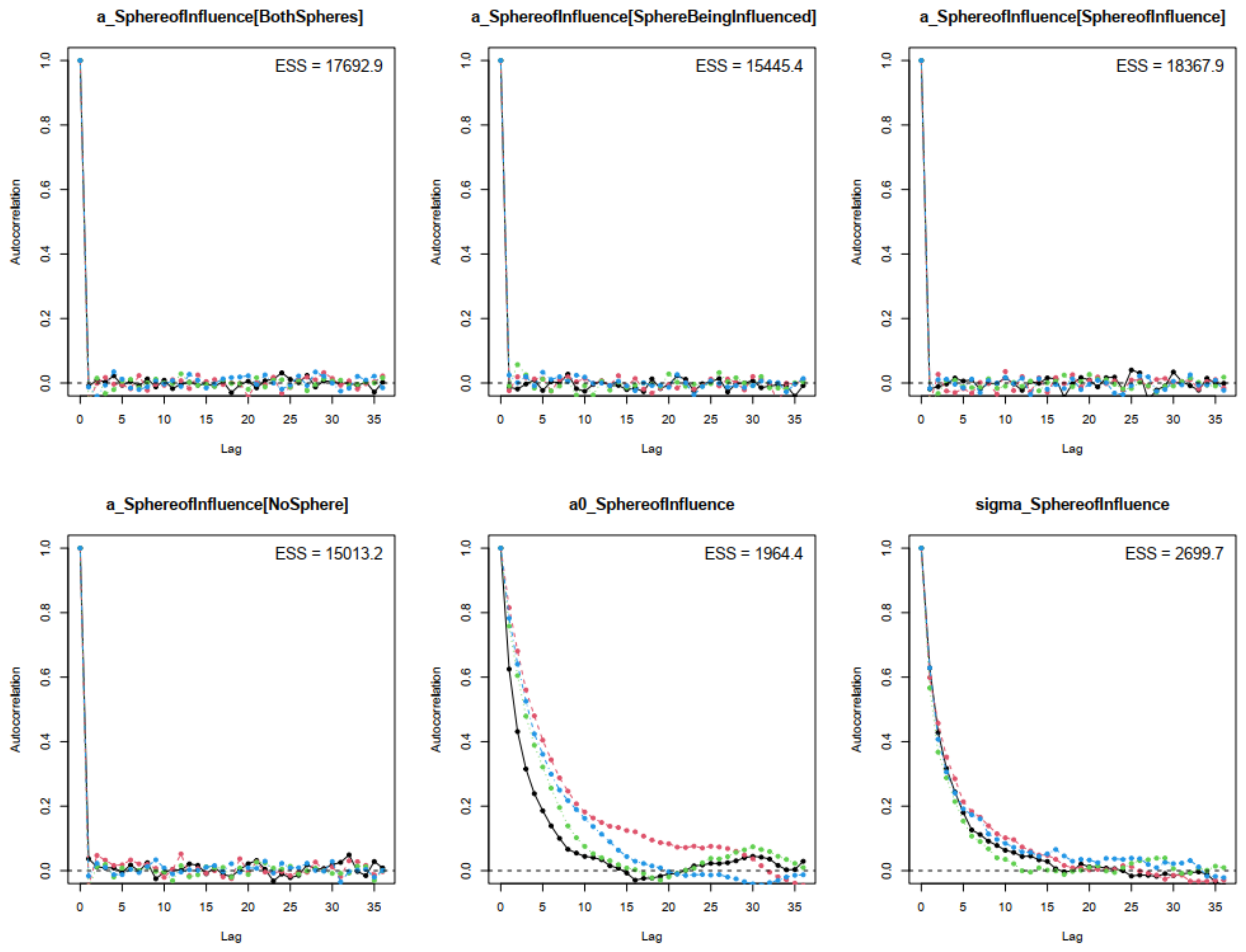
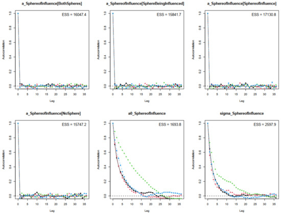
3.2. Materials and Methods
3.3. Results
3.4. Discussion
4. Conclusions and Further Development Directions for Ecomindsponge
Author Contributions
Funding
Institutional Review Board Statement
Informed Consent Statement
Data Availability Statement
Conflicts of Interest
Ethical Statement
Appendix A















References
- Kolbert, E. The Sixth Extinction: An Unnatural History, 5th ed.; Henry Holt and Company: New York, NY, USA, 2014; p. 319. [Google Scholar]
- Cowie, R.H.; Bouchet, P.; Fontaine, B. The Sixth Mass Extinction: Fact, fiction or speculation? Biol. Rev. 2022, 97, 640–663. [Google Scholar] [CrossRef] [PubMed]
- Vuong, Q.-H. The semiconducting principle of monetary and environmental values exchange. Econ. Bus. Lett. 2021, 10, 284–290. [Google Scholar] [CrossRef]
- Nguyen, M.-H.; Jones, T.E. Building eco-surplus culture among urban residents as a novel strategy to improve finance for conservation in protected areas. Humanit. Soc. Sci. Commun. 2022, 9, 426. [Google Scholar] [CrossRef] [PubMed]
- Sweller, J. Cognitive Load Theory. In Psychology of Learning and Motivation; Mestre, J.P., Ross, B.H., Eds.; Academic Press: Cambridge, MA, USA, 2011; Volume 55, pp. 37–76. [Google Scholar]
- Ajzen, I. The Theory of Planned Behavior. Organ. Behav. Hum. Decis. Process. 1991, 50, 179–211. [Google Scholar] [CrossRef]
- Helson, H. Adaptation-Level Theory: An Experimental and Systematic Approach to Behavior; Harper and Row: New York, NY, USA, 1964. [Google Scholar]
- Maslow, A.H. A theory of human motivation. Psychol. Rev. 1943, 50, 370–396. [Google Scholar] [CrossRef]
- Simon, H.A. Bounded Rationality. In Utility and Probability; Eatwell, J., Milgate, M., Newman, P., Eds.; The New Palgrave; Palgrave Macmillan UK: London, UK, 1990; pp. 15–18. [Google Scholar]
- Vuong, Q.-H.; La, V.-P.; Nguyen, M.-H. The Mindsponge and BMF Analytics for Innovative Thinking in Social Sciences and Humanities; De Gruyter: Berlin, Germany, 2022. [Google Scholar]
- Bostrom, N. Are We Living in a Computer Simulation? Philos. Q. 2003, 53, 243–255. [Google Scholar] [CrossRef]
- Tye, M. Qualia. In The Stanford Encyclopedia of Philosophy; Zalta, E.N., Ed.; Metaphysics Research Lab, Stanford University: Stanford, CA, USA, 2021. [Google Scholar]
- Lahav, N.; Neemeh, Z.A. A Relativistic Theory of Consciousness. Front. Psychol. 2022, 12, 704270. [Google Scholar] [CrossRef]
- Carr, B.J.; Rees, M.J. The anthropic principle and the structure of the physical world. Nature 1979, 278, 605–612. [Google Scholar] [CrossRef]
- Wilson, E.O. Biophilia: The Human Bond with Other Species; Harvard University Press: Cambridge, MA, USA, 1994; p. 157. [Google Scholar]
- Gaekwad, J.S.; Moslehian, A.S.; Roös, P.B.; Walker, A. A Meta-Analysis of Emotional Evidence for the Biophilia Hypothesis and Implications for Biophilic Design. Front. Psychol. 2022, 13. [Google Scholar] [CrossRef]
- Yin, J.; Zhu, S.; MacNaughton, P.; Allen, J.G.; Spengler, J.D. Physiological and cognitive performance of exposure to biophilic indoor environment. Build. Environ. 2018, 132, 255–262. [Google Scholar] [CrossRef]
- Bratman, G.N.; Hamilton, J.P.; Hahn, K.S.; Daily, G.C.; Gross, J.J. Nature experience reduces rumination and subgenual prefrontal cortex activation. Proc. Natl. Acad. Sci. USA 2015, 112, 8567–8572. [Google Scholar] [CrossRef]
- Kühn, S.; Düzel, S.; Eibich, P.; Krekel, C.; Wüstemann, H.; Kolbe, J.; Martensson, J.; Goebel, J.; Gallinat, J.; Wagner, G.G.; et al. In search of features that constitute an “enriched environment” in humans: Associations between geographical properties and brain structure. Sci. Rep. 2017, 7, 11920. [Google Scholar] [CrossRef]
- Sudimac, S.; Sale, V.; Kühn, S. How nature nurtures: Amygdala activity decreases as the result of a one-hour walk in nature. Mol. Psychiatry 2022, 27, 4446–4452. [Google Scholar] [CrossRef]
- Meert, K.; Pandelaere, M.; Patrick, V.M. Taking a shine to it: How the preference for glossy stems from an innate need for water. J. Consum. Psychol. 2014, 24, 195–206. [Google Scholar] [CrossRef]
- Rook, G.A. Regulation of the immune system by biodiversity from the natural environment: An ecosystem service essential to health. Proc. Natl. Acad. Sci. USA 2013, 110, 18360–18367. [Google Scholar] [CrossRef]
- Valles-Colomer, M.; Falony, G.; Darzi, Y.; Tigchelaar, E.F.; Wang, J.; Tito, R.Y.; Schiweck, C.; Kurilshikov, A.; Joossens, M.; Wijmenga, C.; et al. The neuroactive potential of the human gut microbiota in quality of life and depression. Nat. Microbiol. 2019, 4, 623–632. [Google Scholar] [CrossRef]
- Strandwitz, P. Neurotransmitter modulation by the gut microbiota. Brain Res. 2018, 1693, 128–133. [Google Scholar] [CrossRef]
- Eagleman, D. The Brain: The Story of You; Canongate Books: Edinburgh, UK, 2015; p. 273. [Google Scholar]
- Balcetis, E.; Dunning, D. Cognitive Dissonance and the Perception of Natural Environments. Psychol. Sci. 2007, 18, 917–921. [Google Scholar] [CrossRef]
- Vuong, Q.-H. Mindsponge Theory; De Gruyter: Berlin, Germany, 2023. [Google Scholar]
- Vuong, Q.H.; Napier, N.K. Acculturation and global mindsponge: An emerging market perspective. Int. J. Intercult. Relations 2015, 49, 354–367. [Google Scholar] [CrossRef]
- Dyson, F. Origins of Life; Cambridge University Press: Cambridge, UK, 1999. [Google Scholar]
- Davies, P.; Gregersen, N.H. Information and the Nature of Reality: From Physics to Metaphysics; Cambridge University Press: Cambridge, UK, 2014. [Google Scholar]
- Adriaans, P. Information. In The Stanford Encyclopedia of Philosophy; Zalta, E.N., Ed.; Metaphysics Research Lab, Stanford University: Stanford, CA, USA, 2020. [Google Scholar]
- Thornton, S.T.; Marion, J.B. Classical Dynamics of Particles and Systems, 5th ed.; Brooks/Cole: Belmont, CA, USA, 2004; p. 656. [Google Scholar]
- Lombard, M.; Gärdenfors, P. Causal Cognition and Theory of Mind in Evolutionary Cognitive Archaeology. Biol. Theory 2021, 1–19. [Google Scholar] [CrossRef]
- Lorentz, H.A.; Einstein, A. The Principle of Relativity: A Collection of Original Memoirs on the Special and General Theory of Relativity; Dover: New York, NY, USA, 1970; p. 216. [Google Scholar]
- Koch, C. Consciousness: Confessions of a Romantic Reductionist; MIT Press: Cambridge, MA, USA, 2012; p. 195. [Google Scholar]
- Crick, F.; Koch, C. A framework for consciousness. Nat. Neurosci. 2003, 6, 119–126. [Google Scholar] [CrossRef] [PubMed]
- Brigandt, I.; Love, A. Reductionism in Biology. In The Stanford Encyclopedia of Philosophy; Zalta, E.N., Ed.; Metaphysics Research Lab, Stanford University: Stanford, CA, USA, 2022. [Google Scholar]
- Graziano, M.S.A.; Webb, T.W. The attention schema theory: A mechanistic account of subjective awareness. Front. Psychol. 2015, 6, 500. [Google Scholar] [CrossRef] [PubMed]
- Cai, X. Unicellular Ca2+ Signaling ‘Toolkit’ at the Origin of Metazoa. Mol. Biol. Evol. 2008, 25, 1357–1361. [Google Scholar] [CrossRef] [PubMed]
- Burkhardt, P.; Stegmann, C.M.; Cooper, B.; Kloepper, T.H.; Imig, C.; Varoqueaux, F.; Wahl, M.C.; Fasshauer, D. Primordial neurosecretory apparatus identified in the choanoflagellate Monosiga brevicollis. Proc. Natl. Acad. Sci. USA 2011, 108, 15264–15269. [Google Scholar] [CrossRef]
- MacLeod, C.E.; Zilles, K.; Schleicher, A.; Rilling, J.K.; Gibson, K.R. Expansion of the neocerebellum in Hominoidea. J. Hum. Evol. 2003, 44, 401–429. [Google Scholar] [CrossRef]
- Rakic, P. Evolution of the neocortex: A perspective from developmental biology. Nat. Rev. Neurosci. 2009, 10, 724–735. [Google Scholar] [CrossRef]
- Fernández, V.; Llinares-Benadero, C.; Borrell, V. Cerebral cortex expansion and folding: What have we learned? EMBO J. 2016, 35, 1021–1044. [Google Scholar] [CrossRef]
- Procès, A.; Luciano, M.; Kalukula, Y.; Ris, L.; Gabriele, S. Multiscale Mechanobiology in Brain Physiology and Diseases. Front. Cell Dev. Biol. 2022, 10, 823857. [Google Scholar] [CrossRef]
- Maliske, L.; Kanske, P. The Social Connectome–Moving Toward Complexity in the Study of Brain Networks and Their Interactions in Social Cognitive and Affective Neuroscience. Front. Psychiatry 2022, 13, 845492. [Google Scholar] [CrossRef]
- Coll, M.-P.; Slimani, H.; Woo, C.-W.; Wager, T.D.; Rainville, P.; Vachon-Presseau, E.; Roy, M. The neural signature of the decision value of future pain. Proc. Natl. Acad. Sci. USA 2022, 119, e2119931119. [Google Scholar] [CrossRef]
- Helion, C.; Krueger, S.M.; Ochsner, K.N. Emotion regulation across the life span. Handb. Clin. Neurol. 2019, 163, 257–280. [Google Scholar] [CrossRef]
- Barandouzi, Z.A.; Lee, J.; Rosas, M.D.C.; Chen, J.; Henderson, W.A.; Starkweather, A.R.; Cong, X.S. Associations of neurotransmitters and the gut microbiome with emotional distress in mixed type of irritable bowel syndrome. Sci. Rep. 2022, 12, 1648. [Google Scholar] [CrossRef]
- Schrödinger, E. What is Life? With Mind and Matter and Autobiographical Sketches; Cambridge University Press: Cambridge, UK, 1992. [Google Scholar]
- Raichle, M.E.; Gusnard, D.A. Appraising the Brain’s Energy Budget. Proc. Natl. Acad. Sci. USA 2002, 99, 10237–10239. [Google Scholar] [CrossRef]
- Kuzawa, C.W.; Chugani, H.T.; Grossman, L.I.; Lipovich, L.; Muzik, O.; Hof, P.R.; Wildman, D.E.; Sherwood, C.C.; Leonard, W.R.; Lange, N. Metabolic costs and evolutionary implications of human brain development. Proc. Natl. Acad. Sci. USA 2014, 111, 13010–13015. [Google Scholar] [CrossRef]
- Hofman, M.A. Evolution of the human brain: When bigger is better. Front. Neuroanat. 2014, 8, 15. [Google Scholar] [CrossRef]
- Goldstone, A.P.; de Hernandez, C.G.P.; Beaver, J.D.; Muhammed, K.; Croese, C.; Bell, G.; Durighel, G.; Hughes, E.; Waldman, A.D.; Frost, G.; et al. Fasting biases brain reward systems towards high-calorie foods. Eur. J. Neurosci. 2009, 30, 1625–1635. [Google Scholar] [CrossRef]
- Holliday, G.L.; Fischer, J.D.; Mitchell, J.; Thornton, J. Characterizing the complexity of enzymes on the basis of their mechanisms and structures with a bio-computational analysis. FEBS J. 2011, 278, 3835–3845. [Google Scholar] [CrossRef]
- Le, T.-T.; Nguyen, M.-H.; Vuong, Q.-H. Chapter 4: Trust in mindsponge: A new perspective on information reliability. In The Mindsponge and BMF Analytics for Innovative Thinking in Social Sciences and Humanities; De Gruyter: Berlin, Germany, 2022; pp. 67–86. [Google Scholar]
- Alberini, C.M.; Kandel, E.R. The Regulation of Transcription in Memory Consolidation. Cold Spring Harb. Perspect. Biol. 2015, 7, a021741. [Google Scholar] [CrossRef]
- Bernstein, C. DNA Methylation and Establishing Memory. Epigenetics Insights 2022, 15, 1–15. [Google Scholar] [CrossRef]
- Solomon, E.A.; Lega, B.C.; Sperling, M.R.; Kahana, M.J. Hippocampal theta codes for distances in semantic and temporal spaces. Proc. Natl. Acad. Sci. USA 2019, 116, 24343–24352. [Google Scholar] [CrossRef]
- Behrens, T.E.; Muller, T.H.; Whittington, J.C.; Mark, S.; Baram, A.B.; Stachenfeld, K.L.; Kurth-Nelson, Z. What Is a Cognitive Map? Organizing Knowledge for Flexible Behavior. Neuron 2018, 100, 490–509. [Google Scholar] [CrossRef] [PubMed]
- Tonegawa, S.; Morrissey, M.D.; Kitamura, T. The role of engram cells in the systems consolidation of memory. Nat. Rev. Neurosci. 2018, 19, 485–498. [Google Scholar] [CrossRef]
- Kitamura, T.; Ogawa, S.K.; Roy, D.S.; Okuyama, T.; Morrissey, M.D.; Smith, L.M.; Redondo, R.L.; Tonegawa, S. Engrams and circuits crucial for systems consolidation of a memory. Science 2017, 356, 73–78. [Google Scholar] [CrossRef] [PubMed]
- Bliss, T.V.P.; Collingridge, G.L. A synaptic model of memory: Long-term potentiation in the hippocampus. Nature 1993, 361, 31–39. [Google Scholar] [CrossRef]
- Abbas, G.; Mahmood, W.; Khan, F. Can memory exist outside of brain and be transferred? Historical review, issues & ways forward. Med. Hypotheses 2017, 109, 106–110. [Google Scholar] [CrossRef] [PubMed]
- Baluška, F.; Levin, M. On Having No Head: Cognition throughout Biological Systems. Front. Psychol. 2016, 7, 902. [Google Scholar] [CrossRef]
- Nandan, A.; Das, A.; Lott, R.; Koseska, A. Cells use molecular working memory to navigate in changing chemoattractant fields. Elife 2022, 11, e76825. [Google Scholar] [CrossRef]
- Darwin, C. On the Origin of Species; Reprint Edition; Knight, D., Ed.; Routledge: London, UK, 2003; p. 502. [Google Scholar]
- Le, T.-T. Chapter 5: Natural and social survival: The drivers of serendipity. In A New Theory of Serendipity: Nature, Emergence and Mechanism; Vuong, Q.-H., Ed.; De Gruyter: Berlin, Germany, 2022; pp. 75–90. [Google Scholar]
- Correll, J.; Spencer, S.J.; Zanna, M.P. An affirmed self and an open mind: Self-affirmation and sensitivity to argument strength. J. Exp. Soc. Psychol. 2004, 40, 350–356. [Google Scholar] [CrossRef]
- Stein, W. Transport and Diffusion across Cell Membranes; Elsevier: Amsterdam, The Netherlands, 2012; p. 704. [Google Scholar]
- Kulbacka, J.; Choromańska, A.; Rossowska, J.; Weżgowiec, J.; Saczko, J.; Rols, M.-P. Cell Membrane Transport Mechanisms: Ion Channels and Electrical Properties of Cell Membranes. Adv. Anat. Embryol. Cell Biol. 2017, 227, 39–58. [Google Scholar] [CrossRef]
- Adler, J. Chemotaxis in Bacteria. Annu. Rev. Biochem. 1975, 44, 341–356. [Google Scholar] [CrossRef]
- Appel, H.M.; Cocroft, R.B. Plants respond to leaf vibrations caused by insect herbivore chewing. Oecologia 2014, 175, 1257–1266. [Google Scholar] [CrossRef]
- Bompas, A.; Kendall, G.; Sumner, P. Spotting Fruit versus Picking Fruit as the Selective Advantage of Human Colour Vision. I-Perception 2013, 4, 84–94. [Google Scholar] [CrossRef]
- Melin, A.D.; Hiramatsu, C.; Parr, N.A.; Matsushita, Y.; Kawamura, S.; Fedigan, L.M. The Behavioral Ecology of Color Vision: Considering Fruit Conspicuity, Detection Distance and Dietary Importance. Int. J. Primatol. 2014, 35, 258–287. [Google Scholar] [CrossRef]
- Veilleux, C.C.; Scarry, C.J.; Di Fiore, A.; Kirk, E.C.; Bolnick, D.A.; Lewis, R.J. Group benefit associated with polymorphic trichromacy in a Malagasy primate (Propithecus verreauxi). Sci. Rep. 2016, 6, 38418. [Google Scholar] [CrossRef]
- Senior, K.R. The Eye: The Physiology of Human Perception; Rosen Publishing: New York, NY, USA, 2010. [Google Scholar]
- Hussey, K.A.; Hadyniak, S.E.; Johnston, R.J., Jr. Patterning and development of photoreceptors in the human retina. Front. Cell Dev. Biol. 2022, 10, 878350. [Google Scholar] [CrossRef]
- Ebert, J.; Westhoff, G. Behavioural examination of the infrared sensitivity of rattlesnakes (Crotalus atrox). J. Comp. Physiol. A 2006, 192, 941–947. [Google Scholar] [CrossRef]
- Krochmal, A.R.; Bakken, G.S.; LaDuc, T.J. Heat in evolution’s kitchen: Evolutionary perspectives on the functions and origin of the facial pit of pitvipers (Viperidae: Crotalinae). J. Exp. Biol. 2004, 207, 4231–4238. [Google Scholar] [CrossRef]
- Thoen, H.H.; How, M.J.; Chiou, T.-H.; Marshall, J. A Different Form of Color Vision in Mantis Shrimp. Science 2014, 343, 411–413. [Google Scholar] [CrossRef] [PubMed]
- Bagaria, J. Set Theory. In The Stanford Encyclopedia of Philosophy; Zalta, E.N., Ed.; Metaphysics Research Lab, Stanford University: Stanford, CA, USA, 2021. [Google Scholar]
- Nguyen, M.-H.; Le, T.-T. Information Particle; Social Science Research Network: Rochester, NY, USA, 2021. [Google Scholar]
- Durgin, F.H.; Tripathy, S.; Levi, D.M. On the Filling in of the Visual Blind Spot: Some Rules of Thumb. Perception 1995, 24, 827–840. [Google Scholar] [CrossRef] [PubMed]
- Vuong, Q.-H.; Le, T.-T.; La, V.-P.; Nguyen, M.-H. The psychological mechanism of internet information processing for post-treatment evaluation. Heliyon 2022, 8, E09351. [Google Scholar] [CrossRef] [PubMed]
- Gravitz, L. The forgotten part of memory. Nature 2019, 571, S12–S14. [Google Scholar] [CrossRef]
- Adolph, K.E.; Cole, W.G.; Komati, M.; Garciaguirre, J.S.; Badaly, D.; Lingeman, J.M.; Chan, G.L.Y.; Sotsky, R.B. How Do You Learn to Walk? Thousands of Steps and Dozens of Falls per Day. Psychol. Sci. 2012, 23, 1387–1394. [Google Scholar] [CrossRef]
- Wulf, G.; Shea, C.H.; Matschiner, S. Frequent Feedback Enhances Complex Motor Skill Learning. J. Mot. Behav. 1998, 30, 180–192. [Google Scholar] [CrossRef]
- Corlett, P.R.; Frith, C.D.; Fletcher, P.C. From drugs to deprivation: A Bayesian framework for understanding models of psychosis. Psychopharmacology 2009, 206, 515–530. [Google Scholar] [CrossRef]
- Baillargeon, R.; Spelke, E.S.; Wasserman, S. Object permanence in five-month-old infants. Cognition 1985, 20, 191–208. [Google Scholar] [CrossRef]
- Cohen, L.B.; Cashon, C.H. Infant Cognition. In Handbook of Child Psychology; Damon, W., Lerner, R.M., Eds.; John Wiley & Sons, Inc.: Hoboken, NJ, USA, 2007; p. chpsy0205. [Google Scholar]
- Buckner, R.L.; Carroll, D.C. Self-projection and the brain. Trends Cogn. Sci. 2007, 11, 49–57. [Google Scholar] [CrossRef]
- Schacter, D.L.; Addis, D.R. On the constructive episodic simulation of past and future events. Behav. Brain Sci. 2007, 30, 331–332. [Google Scholar] [CrossRef]
- Taylor, S.E.; Pham, L.B.; Rivkin, I.D.; Armor, D.A. Harnessing the imagination: Mental simulation, self-regulation, and coping. Am. Psychol. 1998, 53, 429–439. [Google Scholar] [CrossRef]
- Schacter, D.L.; Addis, D.R.; Buckner, R.L. Remembering the past to imagine the future: The prospective brain. Nat. Rev. Neurosci. 2007, 8, 657–661. [Google Scholar] [CrossRef]
- Schacter, D.L. Adaptive constructive processes and the future of memory. Am. Psychol. 2012, 67, 603–613. [Google Scholar] [CrossRef]
- Badets, A.; Osiurak, F. A goal-based mechanism for delayed motor intention: Considerations from motor skills, tool use and action memory. Psychol. Res. 2015, 79, 345–360. [Google Scholar] [CrossRef] [PubMed]
- Sireteanu, R.; Oertel, V.; Mohr, H.; Linden, D.; Singer, W. Graphical Illustration and Functional Neuroimaging of Visual Hallucinations during Prolonged Blindfolding: A Comparison to Visual Imagery. Perception 2008, 37, 1805–1821. [Google Scholar] [CrossRef] [PubMed]
- Carse, T.B.; Langdon, R.B. Delusion Proneness in Nonclinical Individuals and Cognitive Insight: The Contributions of Rumination and Reflection. J. Nerv. Ment. Dis. 2013, 201, 659. [Google Scholar] [CrossRef]
- Hartley, S.; Haddock, G.; E Sa, D.V.; Emsley, R.; Barrowclough, C. An experience sampling study of worry and rumination in psychosis. Psychol. Med. 2014, 44, 1605–1614. [Google Scholar] [CrossRef] [PubMed]
- Ludwig, L.; Mehl, S.; Schlier, B.; Krkovic, K.; Lincoln, T.M. Awareness and rumination moderate the affective pathway to paranoia in daily life. Schizophr. Res. 2020, 216, 161–167. [Google Scholar] [CrossRef]
- Vuong, Q.-H.; Nguyen, M.-H.; Le, T.-T. A Mindsponge-Based Investigation into the Psycho-Religious Mechanism Behind Suicide Attacks; De Gruyter: Berlin, Germany, 2021. [Google Scholar]
- Vuong, Q.-H. The (ir)rational consideration of the cost of science in transition economies. Nat. Hum. Behav. 2018, 2, 5. [Google Scholar] [CrossRef]
- Suchow, J.W.; Bourgin, D.D.; Griffiths, T.L. Evolution in Mind: Evolutionary Dynamics, Cognitive Processes, and Bayesian Inference. Trends Cogn. Sci. 2017, 21, 522–530. [Google Scholar] [CrossRef]
- Jacobs, R.A.; Kruschke, J.K. Bayesian learning theory applied to human cognition. WIREs Cogn. Sci. 2011, 2, 8–21. [Google Scholar] [CrossRef]
- Chater, N.; Oaksford, M.; Hahn, U.; Heit, E. Bayesian models of cognition. WIREs Cogn. Sci. 2010, 1, 811–823. [Google Scholar] [CrossRef]
- Nguyen, M.-H.; La, V.-P.; Le, T.-T.; Vuong, Q.-H. Bayesian Mindsponge Framework analytics: A novel methodological approach for social sciences and humanities. In The Mindsponge and BMF Analytics for Innovative Thinking in Social Sciences and Humanities; Vuong, Q.-H., Nguyen, M.-H., La, V.-P., Eds.; De Gruyter: Berlin, Germany, 2022; pp. 87–116. [Google Scholar]
- Nguyen, M.-H.; La, V.-P.; Le, T.-T.; Vuong, Q.-H. Introduction to Bayesian Mindsponge Framework analytics: An innovative method for social and psychological research. Methodsx 2022, 9, 101808. [Google Scholar] [CrossRef]
- Rockström, J.; Steffen, W.; Noone, K.; Persson, Å.; Chapin, F.S., III; Lambin, E.; Lenton, T.M.; Scheffer, M.; Folke, C.; Schellnhuber, H.J.; et al. Planetary Boundaries: Exploring the Safe Operating Space for Humanity. Ecol. Soc. 2009, 14, 32. [Google Scholar] [CrossRef]
- Nguyen, M.; Jones, T.E. Predictors of support for biodiversity loss countermeasure and bushmeat consumption among Vietnamese urban residents. Conserv. Sci. Pract. 2022, 4, e12822. [Google Scholar] [CrossRef]
- Hughes, A.C. Understanding the drivers of Southeast Asian biodiversity loss. Ecosphere 2017, 8, e01624. [Google Scholar] [CrossRef]
- Davis, E.O.; Willemsen, M.; Dang, V.; O’Connor, D.; Glikman, J.A. An updated analysis of the consumption of tiger products in urban Vietnam. Glob. Ecol. Conserv. 2020, 22, e00960. [Google Scholar] [CrossRef]
- Alves, R.R.N.; Rosa, I.L.; Albuquerque, U.P.; Cunningham, A.B. Medicine from the Wild: An Overview of the Use and Trade of Animal Products in Traditional Medicines. In Animals in Traditional Folk Medicine: Implications for Conservation; Alves, R.R.N., Rosa, I.L., Eds.; Springer: Berlin/Heidelberg, Germany, 2013; pp. 25–42. [Google Scholar] [CrossRef]
- Ingram, D.J.; Coad, L.; Milner-Gulland, E.; Parry, L.; Wilkie, D.; Bakarr, M.I.; Benítez-López, A.; Bennett, E.L.; Bodmer, R.; Cowlishaw, G.; et al. Wild Meat Is Still on the Menu: Progress in Wild Meat Research, Policy, and Practice from 2002 to 2020. Annu. Rev. Environ. Resour. 2021, 46, 221–254. [Google Scholar] [CrossRef]
- Frost, W.; Laing, J.; Beeton, S. The Future of Nature-Based Tourism in the Asia-Pacific Region. J. Travel Res. 2014, 53, 721–732. [Google Scholar] [CrossRef]
- Balsa-Barreiro, J.; Li, Y.; Morales, A.; Pentland, A. Globalization and the shifting centers of gravity of world’s human dynamics: Implications for sustainability. J. Clean. Prod. 2019, 239, 117923. [Google Scholar] [CrossRef]
- Nguyen, M.-H. Multifaceted interactions between urban humans and biodiversity-related concepts: A developing-country dataset. Data Intell. 2021, 3, 578–605. [Google Scholar] [CrossRef]
- Gill, J. Bayesian Methods: A Social and Behavioral Sciences Approach, 3rd ed.; CRC Press: Boca Raton, FL, USA, 2015; p. 680. [Google Scholar]
- McElreath, R. Statistical Rethinking: A Bayesian Course with Examples in R and Stan, 2nd ed.; Taylor and Francis: Abingdon, UK; CRC Press: Boca Raton, FL, USA, 2020. [Google Scholar]
- Gelman, A.; Hill, J. Data Analysis Using Regression and Multilevel/Hierarchical Models; Cambridge University Press: Cambridge, UK, 2007; p. 625. [Google Scholar]
- La, V.-P.; Vuong, Q.-H. Package ‘bayesvl’: Visually Learning the Graphical Structure of Bayesian Networks and Performing MCMC with ‘Stan’; The Comprehensive R Archive Network (CRAN): 2019. Available online: https://cran.r-project.org/web/packages/bayesvl/index.html (accessed on 23 January 2022).
- Vuong, Q.-H.; La, V.-P.; Nguyen, M.-H.; Ho, M.-T.; Tran, T. Bayesian analysis for social data: A step-by-step protocol and interpretation. Methodsx 2020, 7, 100924. [Google Scholar] [CrossRef]
- Diaconis, P.; Ylvisaker, D. Quantifying prior opinion. In Bayesian Statistics; Bernardo, J.M., DeGroot, M.H., Lindley, D.V., Smith, A.F.M., Eds.; North Holland Press: Amsterdam, The Netherlands, 1985; Volume 2, pp. 133–156. [Google Scholar]
- Gelman, A.; Rubin, D.B. Inference from Iterative Simulation Using Multiple Sequences. Stat. Sci. 1992, 7, 457–472. [Google Scholar] [CrossRef]
- Khuc, Q.V.; Nguyen, M.-H.; Le, T.-T.; Nguyen, T.-L.; Nguyen, T.; Lich, H.K.; Vuong, Q.-H. Brain drain out of the blue: Pollution-induced migration in Vietnam. IJERPH 2022, 19, 3645. [Google Scholar] [CrossRef] [PubMed]
- Nguyen, M.-H.; Le, T.-T.; Nguyen, H.-K.; Ho, M.-T.; Nguyen, H.; Vuong, Q.-H. Alice in Suicideland: Exploring the Suicidal Ideation Mechanism through the Sense of Connectedness and Help-Seeking Behaviors. Int. J. Environ. Res. Public Health 2021, 18, 3681. [Google Scholar] [CrossRef] [PubMed]
- Vuong, Q.-H.; Le, T.-T.; La, V.-P.; Nguyen, H.T.T.; Ho, M.-T.; Van Khuc, Q.; Nguyen, M.-H. Covid-19 vaccines production and societal immunization under the serendipity-mindsponge-3D knowledge management theory and conceptual framework. Humanit. Soc. Sci. Commun. 2022, 9, 22. [Google Scholar] [CrossRef]
- Jin, R.; Wang, X. “Somewhere I belong?” A study on transnational identity shifts caused by “double stigmatization” among Chinese international student returnees during COVID-19 through the lens of mindsponge mechanism. Front. Psychol. 2022, 13. [Google Scholar] [CrossRef] [PubMed]
- Vuong, Q.-H. From children’s literature to sustainability science, and young scientists for a more sustainable Earth. J. Sustain. Educ. 2020, 24. [Google Scholar] [CrossRef]
- Van Khuc, Q.; Tran, M.; Nguyen, T.; Thinh, N.A.; Dang, T.; Tuyen, D.T.; Pham, P.; Dat, L.Q. Improving Energy Literacy to Facilitate Energy Transition and Nurture Environmental Culture in Vietnam. Urban Sci. 2023, 7, 13. [Google Scholar] [CrossRef]
- Van Khuc, Q.; Dang, T.; Tran, M.; Nguyen, D.T.; Nguyen, T.; Pham, P.; Tran, T. Household-Level Strategies to Tackle Plastic Waste Pollution in a Transitional Country. Urban Sci. 2023, 7, 20. [Google Scholar] [CrossRef]
- Vuong, Q.-H. Reform retractions to make them more transparent. Nature 2020, 582, 149. [Google Scholar] [CrossRef]
- Vuong, Q.-H.; Bui, Q.-K.; La, V.-P.; Vuong, T.-T.; Nguyen, V.-H.T.; Ho, M.-T.; Nguyen, H.-K.T.; Ho, M.-T. Cultural additivity: Behavioural insights from the interaction of Confucianism, Buddhism and Taoism in folktales. Palgrave Commun. 2018, 4, 143. [Google Scholar] [CrossRef]
- Takács-Sánta, A. The major transitions in the history of human transformation of the biosphere. Hum. Ecol. Rev. 2004, 11, 51–66. [Google Scholar]
- Waring, T.M.; Wood, Z.T. Long-term gene–culture coevolution and the human evolutionary transition. Proc. R. Soc. B Boil. Sci. 2021, 288, 20210538. [Google Scholar] [CrossRef]
- Vuong, Q.-H. A New Theory of Serendipity: Nature, Emergence and Mechanism; De Gruyter: Berlin, Germany, 2022. [Google Scholar]
- Vuong, Q.-H.; Ho, M.-T.; Nguyen, H.-K.T.; Vuong, T.-T.; Tran, T.; Hoang, K.-L.; Vu, T.-H.; Hoang, P.-H.; Nguyen, M.-H.; La, V.-P. On how religions could accidentally incite lies and violence: Folktales as a cultural transmitter. Palgrave Commun. 2020, 6, 82. [Google Scholar] [CrossRef]
- Nguyen, M.-H. Chapter 7: Conditions for improving serendipity encounter and attainment probability. In A New Theory of Serendipity: Nature, Emergence and Mechanism; Vuong, Q.-H., Ed.; De Gruyter: Berlin, Germany, 2022; pp. 109–130. [Google Scholar]




| SphereofInfluence | |||
|---|---|---|---|
| Not Exist | Exist | ||
| Sphere of being influenced | Not exist | Out of perception range | Proactive mindset |
| Exist | Passive mindset | Complete perception | |
| Variable | Original Variable | Meaning | Type of Variable | Value |
|---|---|---|---|---|
| Conservation | B4_1 | Whether the respondent supports species conservation as a preventive measure against biodiversity loss | Numerical | Ranging from 1 (strongly disagree) to 4 (strongly agree) |
| EnvironmentalLaw | B4_3 | Whether the respondent supports environmental law enactment as a preventive measure against biodiversity loss | Numerical | Ranging from 1 (strongly disagree) to 4 (strongly agree) |
| EnvironmentalTax | B4_8 | Whether the respondent supports environmental tax as a preventive measure against biodiversity loss | Numerical | Ranging from 1 (strongly disagree) to 4 (strongly agree) |
| Donation | B4_9 | Whether the respondent supports donation for biodiversity conservation as a preventive measure against biodiversity loss | Numerical | Ranging from 1 (strongly disagree) to 4 (strongly agree) |
| WildConsProhi | B4_7 | Whether the respondent supports the prohibition of illegal wildlife consumption as a preventive measure against biodiversity loss | Numerical | Ranging from 1 (strongly disagree) to 4 (strongly agree) |
| SphereofInfluence | N/A | Generated from variables B5_1 and B6_1 | Categorical | Both spheres = 1 Sphere of being influenced = 2 Sphere of influence = 3 No sphere = 4 |
| N/A | B5_1 | Agreement with that the following object is affected by biodiversity loss (My life) | Binary | Agree = 1 Disagree = 0 |
| N/A | B6_1 | Agreement with that the following subject can contribute to biodiversity loss prevention (Myself) | Binary | Agree = 1 Disagree = 0 |
| B5_1: Agreement with That the Following Object Is Affected by Biodiversity Loss (My Life) | |||
|---|---|---|---|
| “Agree” | “Disagree” | ||
| B6_1: Agreement with that the following subject can contribute to biodiversity loss prevention (Myself) | “Agree” | A person with both spheres | A person with only the sphere of influence |
| “Disagree” | A person with only the sphere of being influenced | A person with no sphere at all | |
| Parameters | Mean | SD | n_eff | Rhat |
|---|---|---|---|---|
| a_SphereofInfluence[BothSphere] | 3.46 | 0.03 | 16,421 | 1 |
| a_SphereofInfluence[SphereBeingInfluenced] | 2.76 | 0.31 | 15,156 | 1 |
| a_SphereofInfluence[SphereInfluence] | 3.18 | 0.08 | 17,324 | 1 |
| a_SphereofInfluence[NoSphere] | 1.89 | 0.13 | 16,157 | 1 |
| a0_SphereofInfluence | 2.83 | 0.86 | 1254 | 1 |
| sigma_SphereofInfluence | 1.34 | 1.10 | 1754 | 1 |
| Model 2: | ||||
| Parameters | Mean | SD | n_eff | Rhat |
| a_SphereofInfluence[BothSphere] | 3.62 | 0.03 | 15,552 | 1 |
| a_SphereofInfluence[SphereBeingInfluenced] | 3.24 | 0.28 | 15,998 | 1 |
| a_SphereofInfluence[SphereInfluence] | 3.55 | 0.07 | 17,214 | 1 |
| a_SphereofInfluence[NoSphere] | 2.11 | 0.12 | 15,637 | 1 |
| a0_SphereofInfluence | 3.09 | 0.85 | 1237 | 1 |
| sigma_SphereofInfluence | 1.36 | 1.16 | 2135 | 1 |
| Model 3: | ||||
| Parameters | Mean | SD | n_eff | Rhat |
| a_SphereofInfluence[BothSphere] | 3.33 | 0.03 | 16,851 | 1 |
| a_SphereofInfluence[SphereBeingInfluenced] | 2.76 | 0.33 | 16,711 | 1 |
| a_SphereofInfluence[SphereInfluence] | 3.09 | 0.09 | 16,975 | 1 |
| a_SphereofInfluence[NoSphere] | 2.04 | 0.15 | 16,247 | 1 |
| a0_SphereofInfluence | 2.76 | 0.89 | 1003 | 1 |
| sigma_SphereofInfluence | 1.20 | 1.17 | 1510 | 1 |
| Model 4: | ||||
| Parameters | Mean | SD | n_eff | Rhat |
| a_SphereofInfluence[BothSphere] | 3.35 | 0.03 | 15,841 | 1 |
| a_SphereofInfluence[SphereBeingInfluenced] | 2.76 | 0.31 | 15,636 | 1 |
| a_SphereofInfluence[SphereInfluence] | 3.00 | 0.09 | 15,875 | 1 |
| a_SphereofInfluence[NoSphere] | 2.16 | 0.15 | 15,204 | 1 |
| a0_SphereofInfluence | 2.80 | 0.62 | 1666 | 1 |
| sigma_SphereofInfluence | 1.02 | 0.90 | 2384 | 1 |
| Model 5: | ||||
| Parameters | Mean | SD | n_eff | Rhat |
| a_SphereofInfluence[BothSphere] | 3.35 | 0.03 | 15,485 | 1 |
| a_SphereofInfluence[SphereBeingInfluenced] | 2.77 | 0.32 | 15,134 | 1 |
| a_SphereofInfluence[SphereInfluence] | 3.00 | 0.09 | 15,574 | 1 |
| a_SphereofInfluence[NoSphere] | 2.16 | 0.15 | 15,187 | 1 |
| a0_SphereofInfluence | 2.81 | 0.61 | 1037 | 1 |
| sigma_SphereofInfluence | 1.02 | 0.90 | 2340 | 1 |
Disclaimer/Publisher’s Note: The statements, opinions and data contained in all publications are solely those of the individual author(s) and contributor(s) and not of MDPI and/or the editor(s). MDPI and/or the editor(s) disclaim responsibility for any injury to people or property resulting from any ideas, methods, instructions or products referred to in the content. |
© 2023 by the authors. Licensee MDPI, Basel, Switzerland. This article is an open access article distributed under the terms and conditions of the Creative Commons Attribution (CC BY) license (https://creativecommons.org/licenses/by/4.0/).
Share and Cite
Nguyen, M.-H.; Le, T.-T.; Vuong, Q.-H. Ecomindsponge: A Novel Perspective on Human Psychology and Behavior in the Ecosystem. Urban Sci. 2023, 7, 31. https://doi.org/10.3390/urbansci7010031
Nguyen M-H, Le T-T, Vuong Q-H. Ecomindsponge: A Novel Perspective on Human Psychology and Behavior in the Ecosystem. Urban Science. 2023; 7(1):31. https://doi.org/10.3390/urbansci7010031
Chicago/Turabian StyleNguyen, Minh-Hoang, Tam-Tri Le, and Quan-Hoang Vuong. 2023. "Ecomindsponge: A Novel Perspective on Human Psychology and Behavior in the Ecosystem" Urban Science 7, no. 1: 31. https://doi.org/10.3390/urbansci7010031
APA StyleNguyen, M.-H., Le, T.-T., & Vuong, Q.-H. (2023). Ecomindsponge: A Novel Perspective on Human Psychology and Behavior in the Ecosystem. Urban Science, 7(1), 31. https://doi.org/10.3390/urbansci7010031

