Next Article in Journal
Experimental Evaluation of Temperature and Screw Speed Effects on the Extrusion of Recycled PP, HDPE, and PET for Sustainable Construction Applications
Previous Article in Journal
Unveiling the HIV Landscape in Oman: A Retrospective Study of Prevalence, Risk Factors, Treatment Efficacy and Clinical Outcomes
 
 
Font Type:
Arial Georgia Verdana
Font Size:
Aa Aa Aa
Line Spacing:
Column Width:
Background:
Article

A New Method of Evaluating Multi-Color Ellipsometric Mapping on Big-Area Samples

1
Institute of Technical Physics and Materials Science, Centre for Energy Research, Konkoly-Thege Rd. 29-33, 1121 Budapest, Hungary
2
Institute of Microelectronics and Technology, Obuda University, Tavaszmezo Str. 17, 1084 Budapest, Hungary
3
Eritrea Institute of Technology, Mai Nefhi College of Science, Asmara 12676, Eritrea
4
Department of Electrical Engineering, Institute of Physics, Faculty of Science and Technology, University of Debrecen, 4032 Debrecen, Hungary
*
Author to whom correspondence should be addressed.
Submission received: 2 November 2025 / Revised: 23 December 2025 / Accepted: 7 January 2026 / Published: 13 January 2026

Abstract

Ellipsometric mapping measurements and Bayesian evaluation were performed with a non-collimated, imaging ellipsometer using an LCD monitor as a light source. In such a configuration, the polarization state of the illumination and the local angle of incidence vary spatially and spectrally, rendering conventional spectroscopic ellipsometry inversion methods hardly applicable. To address these limitations, a multilayer optical forward model is augmented with instrument-specific correction parameters describing the polarization state of the monitor and the angle-of-incidence map. These parameters are determined through a Bayesian calibration procedure using well-characterized Si-SiO2 reference wafers. The resulting posterior distribution is explored by global optimization based on simulated annealing, yielding a maximum a posteriori estimate, followed by marginalization to quantify uncertainties and parameter correlations. The calibrated correction parameters are subsequently incorporated as informative priors in the Bayesian analysis of unknown samples, including polycrystalline–silicon layers deposited on Si-SiO2 substrates and additional Si-SiO2 wafers outside the calibration set. The approach allows consistent propagation of calibration uncertainties into the inferred layer parameters and provides credible intervals and correlation information that cannot be obtained from conventional least-squares methods. The results demonstrate that, despite the broadband nature of the RGB measurement and the limited number of analyzer orientations, reliable layer thicknesses can be obtained with quantified uncertainties for a wide range of technologically relevant samples. The proposed Bayesian framework enables a transparent interpretation of the measurement accuracy and limitations, providing a robust basis for large-area ellipsometric mapping of multilayer structures.

1. Introduction

Non-destructive characterization techniques play a fundamental role in thin-film technology. Spectroscopic ellipsometry (SE) is one of the most widely used methods, providing information on layer thicknesses and optical constants by analyzing the change in polarization state of a reflected or transmitted beam. The measured quantities are the real and imaginary part of the complex reflectance ratio (ρ), the amplitude ratio tan ψ and the phase difference Δ between the parallel (p) and normal (s) polarization components [1,2,3,4].
For simple sample structures, SE data can be inverted analytically; however, for general multilayer systems, a numerical model is required. The model predicts ψ(λ) and Δ(λ) spectra, and the parameters of the layer stack are obtained by minimizing the discrepancy between measured and simulated spectra. Conventional SE works extremely well when the instrument provides many wavelength points, a well-defined angle of incidence, and stable optics; under such conditions, the merit function is sharply peaked and yields a unique optimum.
However, standard numerical optimization tends to become trapped in local minima when the available spectral information is limited or when the forward model contains uncertainties. Global-search techniques such as simulated annealing (SA) can mitigate this problem by exploring the parameter space more broadly.
Simulated annealing is a global optimization algorithm designed to find the global minimum or maximum of any given function [5,6,7]. It is completely general in that it entails, in principle, no restrictions on the function to be minimized. In the case of ellipsometry data analysis, no assumptions need to be made about the sample’s physical properties. However, this technique supplies only the most probable parameters without any information about the uncertainties of the layer parameters. See Appendix A for details!
The optical-mapping ellipsometer used in this work differs fundamentally from classical spectroscopic ellipsometry [8]. Instead of recording hundreds of narrowband wavelength points, our system acquires only three broad spectral channels (R, G, B) at four analyzer orientations. Each measured intensity is an integral over a wide wavelength band, and the resulting inverse problem becomes inherently underdetermined. As a consequence, the conventional SE inversion chain IS1, S2ψ, Δ → ρ (intensities, Stokes parameters, amplitude ratio, phase shift, complex reflectance, physical parameters of sample) cannot be applied, because wavelength-resolved Stokes parameters can hardly be determined for our instrument. Multiple parameter combinations can reproduce the same RGB intensities, giving rise to ambiguity, strong correlations, and non-unique solutions.
The inverse problem arising from RGB optical-mapping ellipsometry is therefore inherently Bayesian in nature. The limited amount of spectral information implies that the measured data alone are insufficient to uniquely determine all unknown parameters. Bayesian Probability Theory (BPT) [9,10,11,12] provides a natural and consistent framework to address this situation by treating all unknown quantities probabilistically and by explicitly incorporating prior physical knowledge, such as realistic parameter ranges, smoothness constraints, and independent calibration information. Within this framework, the likelihood function describes the statistical properties of the measured intensities, while the posterior distribution quantifies parameter correlations, degeneracies, and uncertainty intervals in a statistically meaningful way.
An additional challenge of the present problem is that the data evaluation itself is inherently multi-stage. The calibration of the optical-mapping ellipsometer is not a simple preprocessing step, but a probabilistic inference problem in its own right. Instrument-specific correction parameters and angle-of-incidence map must first be inferred from dedicated calibration samples, together with their associated uncertainties. These inferred calibration parameters and uncertainties are then used as prior information in the subsequent analysis of unknown samples, such as polycrystalline–silicon layers. This sequential propagation of uncertainty—from calibration to sample analysis—cannot be handled consistently within conventional deterministic inversion schemes and constitutes a central motivation for the Bayesian approach adopted in this work.
In this work, Bayesian inference is not used as an optional refinement, but as the core methodological framework for calibration, evaluation, and uncertainty quantification in RGB optical-mapping ellipsometry. Within this Bayesian framework, the numerical task of determining the most probable parameter values corresponds to locating the maximum of the posterior distribution. Due to the complex and often multimodal structure of the resulting objective function, a simulated-annealing global-search algorithm is employed as a robust numerical optimizer to reduce the risk of convergence to local minima.
We provide a critical assessment of conventional spectroscopic–ellipsometry data processing in the context of broadband RGB measurements. Through controlled numerical experiments, we show that applying the classical inversion scheme to RGB data leads to significant and systematic errors in the recovered layer parameters, and we identify the physical reasons why this approach fails. Building on this insight, we develop a complete Bayesian data-analysis framework that consistently accounts for statistical and systematic uncertainties and treats instrument-specific correction factors and unknown sample parameters within a single probabilistic model.
The methodology is validated through extensive numerical experiments on synthetic data sets, which quantify the achievable accuracy and reveal the intrinsic limitations arising from broadband spectral information and non-collimated illumination. Finally, we demonstrate the practical applicability of the method on real SiO2-Si and polycrystalline– silicon samples, showing that the Bayesian framework enables the reliable extraction of spatially resolved layer parameters over large areas together with meaningful uncertainty estimates.
This integrated methodology forms the foundation of the calibration, evaluation, and uncertainty-quantification procedures presented in the remainder of this paper.

2. Materials and Methods

2.1. Experimental Setup

We know two industrial systems which are capable of measuring big (square-meter size) samples: the Semilab FPT system [13] and the Woollam AccuMap [14] system. These devices use a traditional SE system (with 100 kUSD price) in a large moving or scanning arrangement, measuring the samples point-by-point. The measurement time is several tens of minutes. In contrast, our system is capable of performing the measurement within seconds in a single shot [8].
The non-collimated beam ellipsometer setup is shown in Figure 1 and Figure 2. The system uses an LED–LCD monitor as a polarized, RGB-colored light source (the built-in polarizer sheet is marked as (4) in Figure 2), and a polarization-sensitive camera behind a pinhole (see number 7 and 8) together. The LCD monitor (Dell UltraSharp™ U2412M, GB-LED, Made in China, February 2019) is used in a 45-degree rotated position. (The angle-position is measured by a digital angle gauge with 0.1 deg precision (see the top of the monitor on Figure 1).) In a straight-through position, we can detect the extinction of the polarization-sensitive camera better than 10−2.
Figure 2 shows the LCD monitor as a light source (1–4), the sample holder (6), and the polarization-sensitive camera (8). The camera is the DYK 33UX250 USB 3.0 Polarsens model (The Imaging Source), equipped with a Sony CMOS Pregius Polarsens IMX250MZR sensor. This sensor includes a built-in, 4-direction wire-grid polarizer array. Figure 3 shows its schematic design.
Our optical-mapping ellipsometer uses a non-collimated beam from the monitor screen, unlike conventional ellipsometers that use collimated beams with a well-defined angle of incidence. The concept is based on a patent developed at our institute [15].
The polarization-sensitive sensor provides the intensity values corresponding to 0 , 45 , 90 , and 135 analyzer positions (each for 3 RGB colors). This is fully equivalent to a static rotating-analyzer ellipsometer. The pinhole camera geometry connects each sample point directly to individual pixels, creating an effectively background-free detection system.
The measured area and lateral resolution depend on the distances between monitor–pinhole–sample, and on the pinhole diameter. Currently, a 0.2 mm pinhole is used, which is a compromise between detected intensity (1–4 s integration time) and lateral resolution. The lateral resolution is better than 4 mm.
The sample is illuminated by non-collimated light through a fixed polarizer at 45 . The reflected light passes through a virtual rotating analyzer. Because each camera pixel observes the sample from a different position, and the light arriving at that pixel originates from a different region of the monitor and along a different direction, the illumination exhibits pixel-dependent polarization states. Therefore, these effects must be taken into account during the data evaluation. We describe their combined influence by a multiplicative monitor correction factor, which, for a given measurement configuration, depends only on the camera-pixel position, i.e., on the corresponding position on the sample surface.
Three SiO2 samples with different thicknesses (nominally 60 nm, 80 nm, and 100 nm) on silicon substrates were used for the calibration process.
In our previous article, we used the following calibration procedure [8]: From intensity data of the four polarization states, the ellipsometric angles ψ and Δ can be determined. With three colors available, the camera provides 3 values of ψ and 3 values of Δ. The monitor correction is calculated using the following relationship:
ρopt = ρmeas⋅ρcorrection
where ρopt is the ideal value with a perfect light source, ρmeas is the measured value, and ρcorrection is the correction factor. We measured three SiO2-Si samples with different thicknesses and determined 3⋅N⋅2 values of ψ and Δ (where N = 3 wavelengths at present). A full calibration requires the determination of
  • N real parts of ρcorrection;
  • N imaginary parts;
  • 3 sample thicknesses;
  • 1 actual angle of incidence for each point.
Thus, calibration involves 2⋅N + 3 + 1 unknowns. The angle of incidence and the thicknesses depend only on the spatial position, whereas ρcorrection depends on both position and wavelength. This makes the correction highly informative about the actual device and optical configuration. The main advantage of the assembly is that there are no moving parts in the system! Here, we perform the calibration procedure according to the BPT (see Section 3.1).
For validation, we used a Woollam M-2000DI Rotating Compensator SE system. The M2000 SE system with the CompleteEASE software version 5.15 [16] is used to serve the optical properties, layer thicknesses and other related parameters of the sample.

2.2. Theory of Ellipsometry

Ellipsometric measurement uses an incident well-defined polarization state (polarization state generator, PSG) and, after reflection, a detection system which determines the new polarization state (polarization state analyzer, PSA) (see Figure 4). To keep the notation compact, we define the multilayer–optical–model (MLOM) ratio:
ρMLOM(Σ, Λ, λ) = rp(Σ, Λ, λ)/rs(Σ, Λ, λ),
where rp and rs are the Fresnel reflection coefficients of the multilayer optical model (MLOM). The parameter sets are
Σ = {d1,…, dM, n1,…, nM}, Λ = {θ, P},
where Σ contains the M layer thicknesses and optical constants, and Λ contains the instrument-related quantities (angle of incidence θ and polarizer orientation P). The wavelength λ is not included in Λ, since it enters ρMLOM explicitly.
Usually, the complex quantity ρ is expressed as
ρ = rp/rs = tan(ψ)exp(iΔ)
from which the ellipsometric angles follow as
ψ(, Λ, λ) = tan−1(|ρMLOM(Σ, Λ, λ)|) and Δ(Σ, Λ, λ) = arg(ρMLOM(Σ, Λ, λ))
In a rotating-analyzer arrangement (see Figure 3c), the intensity detected after the analyzer is fully determined by the wavelength-dependent Stokes parameters S1(λ) and S2(λ):
I(Σ, Λ, α, λ) = I0(λ) [1 + S1(λ)cos(2α) + S2(λ)sin(2α)],
where I0(λ) is the source spectrum and α is the analyzer orientation.
Because the detector acquires intensity in three broad spectral channels (j = R, G, B), the effective wavelength response is
SRj(λ) = (monitor spectrum) × (camera sensitivity of channel j).
In the following, the index i labels the analyzer orientation, j denotes the spectral channel (R, G, B), and k indexes different sample points (or pixel groups used in the calibration). The noise-free detector signal is the spectrally integrated model intensity
I i , j , k r a w ( Σ k , Λ ) = I ( Σ k , Λ , α i , λ ) S R j ( λ ) d λ .
Both measured and modeled signals are processed in normalized form. To formalize this, we introduce the normalization operator:
N [ X i , j , k ] = X i , j , k X ¯ j , k ,   X ¯ j , k = 1 N α i = 1 N X i , j , k ,
where Nα = 4 is the number of analyzer positions.
The normalized model intensities entering the likelihood and calibration pipeline are therefore
I i , j , k m o d e l ( Σ k , Λ ) = N [ I i , j , k r a w ( Σ k , Λ ) ] .
This compact formulation contains exactly the theoretical elements required for Bayesian inference, calibration of the instrument, and the subsequent determination of the layer parameters. All later sections (Section 2.4, Section 2.5 and Section 2.6 and Section 3.1) build directly upon this forward model.
In the case of spectroscopic ellipsometry, the light intensity is measured at several wavelengths. Usually, the evaluation means a process where the Σ unknown parameters are changed; in that way, the absolute difference between the measured and calculated tan (ψ) and cos (Δ) will be minimized.

2.3. Conventional Analysis in Spectroscopic Ellipsometry

In conventional spectroscopic ellipsometry, the analyzer-dependent intensity measurements are first converted into the Stokes parameters and then, following the relation in Equation (4), the experimental ellipsometric quantities ρexp(λi), tan ψexp(λi) and cos Δexp(λi) are obtained.
Conventional spectroscopic ellipsometry works exceptionally well in high-precision commercial instruments because the mechanical stability, angular accuracy and optical quality of the system are extremely high. As a consequence, the experimental configuration (angle of incidence, polarizer and analyzer orientations, beam collimation, spectral response) is very well defined, and the corresponding uncertainties in the model parameters are negligibly small. Under these conditions, the ellipsometric model produces a sharp and well-localized minimum of the merit function, allowing the layer parameters to be determined accurately and uniquely.
The quality of the fit in conventional SE is typically quantified by a Root Mean Square Error (RMSE) function based on the complex ellipsometric ratio:
R M S E = 1 M i = 1 M | ρ e x p ( λ i ) ρ m o d e l ( Σ , λ i ) | 2
Alternative formulations are also used that minimize the separate residuals tan ψ(λi) and cos Δ(λi) or include an experimental error estimate as weights for the measurands [17].
This approach is highly successful in high-precision ellipsometers, where the optical geometry and spectral response are well controlled and the model parameters are tightly constrained. However, its applicability is limited when only broadband, channel-integrated intensities are available (as in our RGB system), because the quantities ψ and Δ cannot be reconstructed in a physically meaningful way.

2.4. Our Analysis of the Ellipsometric Data

2.4.1. Why Bayesian Probability Theory Is Needed in Our Case?

The RGB optical-mapping ellipsometer differs fundamentally from a conventional spectroscopic ellipsometer. Instead of measuring well-defined monochromatic intensities from which ψ(λ) and (λ) can be reconstructed, our instrument records only broadband, wavelength-integrated signals I i , j , k in three wide spectral channels and at four analyzer angles. As a consequence, the Stokes parameters S1(λ) and S2(λ) cannot be recovered, and the conventional mapping IS1, S2ψ, Δ → ρ breaks down. The quantities reconstructed from such broadband data do not satisfy the multilayer optical model, and numerical tests show that they lead to systematic errors in the inferred layer parameters.
Moreover, the compressed RGB data set provides only limited information: several different combinations of layer thicknesses, effective medium approximated (EMA) compositions, instrument offsets and angle-of-incidence values can reproduce the measured intensities within the noise. This produces strong parameter correlations and a merit function that is broad or multimodal; as such, a least-squares estimate is not guaranteed to correspond to the physically most probable solution.
Bayesian Probability Theory (BPT) is therefore essential. The posterior (where D is the data set, L is the likelihood and π is the prior)
P ( Σ , Λ | D ) L ( D | Σ , Λ ) π ( Σ , Λ )
allows us to incorporate well-motivated priors (realistic thickness ranges, composition constraints, analyzer-angle limits, smoothness of instrumental corrections) and provides a statistically consistent treatment of uncertainty. Marginalization over nuisance parameters yields credible intervals and parameter correlations that cannot be obtained reliably with classical methods.
Finally, our complete evaluation pipeline is inherently Bayesian: instrument-specific correction parameters are inferred first and reused as priors when analyzing additional samples. Such sequential learning is a natural feature of BPT and cannot be reproduced by conventional ellipsometric inversion. For these reasons, Bayesian inference is not merely advantageous, but necessary for the reliable evaluation of broadband RGB optical-mapping ellipsometry.

2.4.2. Bayesian Probability Theory for Parameter Estimation

This section summarizes the key concepts of Bayesian Probability Theory (BPT) relevant to parameter estimation and uncertainty quantification in inverse problems.
BPT is commonly applied to two distinct classes of inference problems: hypothesis testing (or model selection) and parameter estimation. In hypothesis testing, the goal is to compare different competing models and to assign posterior probabilities to them given the data. In contrast, parameter estimation assumes a fixed forward model and focuses on inferring the numerical values of its unknown parameters together with their uncertainties and correlations.
In the present work, the physical structure of the sample and the optical forward model are assumed to be known a priori. The main objective is therefore not to discriminate between alternative models, but to determine continuous parameters such as layer thicknesses, effective optical constants, and instrumental parameters from noisy RGB intensity measurements. Consequently, the Bayesian framework is employed here in the form of parameter estimation rather than model selection.
The unknown parameters are collected into a parameter vector Θ (Σ and Λ), D is the measured data set, and the solution of the inverse problem is given by the posterior probability distribution
P ( Θ | D ) L ( D | Θ ) π ( Θ )
where L is the likelihood function linking the measured RGB intensities to the forward model and π is the prior denotes the prior distribution encoding independent physical constraints.
The posterior P(Θ|D) is defined over all optical and instrumental parameters. For a single parameter of interest θk, Bayesian marginalization gives
P ( θ k | D ) = P ( Θ | D ) d θ 1 d θ k 1 d θ k + 1 d θ p
For Θ = ( Σ , Λ ) , this yields credible intervals and parameter correlations even when the inverse problem is underdetermined.
The prior π ( Θ ) introduces physically motivated parameter constraints. Realistic layer-thickness ranges, admissible compositions, analyzer-angle limits, and bounds implied by RGB spectral integration are all encoded in π ( Σ , Λ ) , preventing unphysical solutions and stabilizing the inference.
The light source of our system (the LCD monitor) is not an ideal polarization-state generator: its emitted polarization depends on both the spatial position on the screen and the wavelength. As a consequence, the polarization state incident on the sample varies across the field of view and cannot be described by a single, global set of instrumental parameters.
For this reason, the data-analysis strategy must explicitly account for instrument-specific distortions. In particular, the calibration procedure has to determine a polarization-state correction map ρ m o n i t o r ( x , y , λ ) over the entire field of view. In parallel, an angle-of-incidence (AOI) calibration must be performed, which assigns each CMOS pixel (or pixel group) to its corresponding local angle of incidence. If these effects are not known, the physical layer parameters of the sample cannot be determined in a meaningful or reliable way.
The first step of the analysis strategy is therefore the explicit incorporation and determination of these disturbing instrumental effects within the forward model. This step is referred to as the calibration of the measurement system. The calibration is carried out using measurements performed on a set of well-characterized reference samples.
The outcome of this first step is a set of calibration parameters, together with their associated uncertainties, which characterize the actual optical behavior of the measurement system. In the second step, these calibration parameters are used as fixed or probabilistically constrained inputs for the evaluation of unknown samples. In this way, the physical layer parameters of real samples are determined while consistently accounting for the previously inferred instrumental corrections.
Before applying this two-step strategy to experimental data, numerical experiments are performed on synthetic data sets. These simulations make it possible to validate the analysis workflow, to study parameter correlations and degeneracies, and to assess the interpretability and expected accuracy of the results obtained from real measurements.

2.5. Bayesian Determination of Instrumental and Layer Parameters

The objective of the Bayesian evaluation is to determine the instrumental correction parameters Λ and the physical layer parameters Σ from the measured RGB intensity data. The complete parameter vector is denoted by Θ (Σ, Λ), and the predicted normalized intensities are denoted as I i , j , k m o d e l ( Θ ) , where the indices i , j , and k refer to analyzer position, spectral channel, and number of sample, respectively.
Assuming independent Gaussian noise with variance σ2 for the normalized intensity signals, the likelihood function is given by
L ( D | θ ) e [ 1 2 σ 2 i , j , k ( I i , j , k m e a s u r e d I i , j , k m o d e l ( θ ) ) 2 ]
Within the Bayesian framework, the solution of the inverse problem is expressed by the posterior probability distribution
P ( θ | D ) L ( D | θ ) π ( θ )
where π(θ) denotes the prior distribution encoding independent physical and instrumental constraints. Maximizing it is equivalent to minimizing
χ 2 ( θ ) = i , j , k ( I i , j , k m e a s u r e d I i , j , k m o d e l ( θ ) ) 2
The most probable parameter vector (MAP) is defined as the maximum a posteriori estimate
θ M A P = a r g m a x   P ( θ | D )
If uniform (flat) priors are assumed over the relevant parameter ranges, maximizing the posterior is equivalent to minimizing the corresponding χ 2 objective function:
θ M A P = a r g m i n   χ 2 ( θ )
In the general case, however, the MAP estimate explicitly reflects both the likelihood and the prior information.
The determination of parameter uncertainties and correlations is based on the local and marginalized structure of the posterior distribution around θ M A P . This allows credible intervals and parameter correlations to be obtained in a statistically consistent manner.
In the practical evaluation workflow, the same likelihood formulation is used for both the calibration and the analysis of unknown samples, while the parameter sets and prior distributions differ. During the calibration step, the instrumental parameters Λ are treated as unknowns and inferred from measurements on well-characterized reference samples, whereas the corresponding layer parameters are constrained by narrow priors. In contrast, during the evaluation of polycrystalline silicon samples, the previously inferred calibration parameters are incorporated as informative priors for Λ, and the physical layer parameters Σ become the primary quantities of interest.
In the subsequent sections, the general Bayesian framework introduced here is applied to the two main stages of the evaluation workflow. In the calibration stage, described in Section 3.1, the explicit likelihood functions and prior distributions are specified for the determination of the instrumental correction parameters using well-characterized SiO2-Si reference samples. In a separate, subsequent section, the Bayesian determination of the layer structure of polycrystalline–silicon samples is addressed, where the previously inferred calibration parameters enter the analysis as informative priors.
For both stages, the definition of the likelihood, the choice of prior distributions, and the post-processing of the resulting posterior distributions are discussed in detail. This includes the extraction of MAP estimates, the determination of parameter uncertainties and correlations, and the interpretation of the results in terms of the physical layer structure of the samples

2.5.1. Overview of the Analysis Workflow

The main stages of the data-analysis procedure implemented in this work are summarized as follows:
Forward modeling: calculation of normalized RGB intensities from the multilayer optical model, where the ideal ellipsometric response is augmented by instrumental correction factors. Specifically, the monitor-correction function ρ m o n i t o r ( x , y , λ ) and the local angle-of-incidence parameters are incorporated directly into the forward model, followed by spectral integration over the R, G, and B channels.
Bayesian formulation of the inverse problem: explicit construction of the likelihood function linking the measured RGB intensities to the forward model, and definition of prior distributions reflecting physical constraints and prior knowledge of the model and instrumental parameters.
Noise estimation: determination of a global intensity uncertainty parameter σ from a sinusoidal fit to the measured intensities, used exclusively to define the width of the likelihood function.
Bayesian calibration: joint inference of the monitor-correction function ρmonitor(x,y,λ) and the local angle-of-incidence map using well-characterized SiO2-Si reference wafers. The maximum of the resulting posterior distribution is first located by a most probable parameter vector (MAP) estimate obtained using simulated annealing, after which the calibration parameters are marginalized and reformulated as informative priors for the subsequent sample analysis.
MAP estimation: localization of the maximum of the posterior distribution by computing the maximum a posteriori (MAP) estimate of the calibration parameters using a simulated annealing (SA) algorithm.
Sample analysis: Bayesian evaluation of samples not used in the calibration stage, including both polycrystalline–silicon (poly–Si) on SiO2-Si structures and additional SiO2-Si wafers with oxide thicknesses outside the calibration set. The calibrated instrumental parameters are incorporated as informative priors, while the physical layer parameters of the samples are inferred from the measured RGB intensities.
Posterior analysis: extraction of credible intervals and parameter correlations, propagation of calibration uncertainties, and assessment of the robustness and limitations of the measurement.

2.5.2. Determination of Uncertainty

The calibration step determines several instrumental and sample-related quantities simultaneously, including the wavelength-dependent monitor-correction parameters, the angle-of-incidence map, and the oxide thicknesses of the reference wafers. These parameters jointly influence the measured broadband RGB intensities and therefore exhibit strong correlations in the posterior distribution. Since the calibration parameters are subsequently used as priors in the evaluation of all other samples, their uncertainties and covariance propagate through the entire data-analysis pipeline.
Within the Bayesian framework, the accurate determination of the measurement uncertainty of the raw detector signals is therefore a central element of the inference problem. The noise level directly sets the width of the likelihood function and thereby controls the shape of the posterior distribution. As a consequence, it determines not only the uncertainties of the calibration parameters themselves, but also their mutual correlations and, through prior propagation, the uncertainties of the layer parameters extracted for all unknown samples. An underestimation or overestimation of the noise level would lead to unrealistically narrow or artificially broad posterior distributions, respectively, and would bias the entire Bayesian inference chain.
To estimate the statistical uncertainty, a sinusoidal model—derived from classical rotating-analyzer ellipsometry—is fitted to the measured intensities at each wavelength position. This model is used only for noise estimation and is not employed in the RGB intensity-based inversion. The purpose of this fit is not to provide a physical forward model, but to obtain a realistic estimate of the measurement uncertainty. In addition to describing the statistical fluctuations of the detected signals, the deviation of the measured data from the fitted sinusoidal model also reflects systematic mismatches between the experimental intensities and an idealized model response. Consequently, the estimated uncertainty incorporates not only pure detector and photon noise, but also the stochastic component of model imperfections that cannot be described explicitly in the RGB intensity-based inversion. For each wavelength λi and analyzer angle αj, the fitted model is
I f i t t e d ( λ i , α j ) = I 0 ( λ i ) [ 1 + α ( λ i ) s i n ( 2 α j ) + β ( λ i ) c o s ( 2 α j ) ] ,
where I f i t t e d ( λ i , α j ) is the fitted, I m e a s u r e d ( λ i , α j ) is the measured intensity, and I 0 ( λ i ) , α ( λ i ) , β ( λ i ) are the three fitted parameters.
The residual measurement error is defined as
δ i , j = I m e a s u r e d ( λ i , α j ) I f i t t e d ( λ i , α j ) ,
and a relative (normalized) deviation is computed as
δ i , j I / I 0 = I m e a s u r e d ( λ i , α j ) I f i t t e d ( λ i , α j ) I 0 ( λ i ) .
Since the distribution of δ i , j I / I 0 is approximately normal with zero mean, its standard deviation is estimated as
σ I / I 0 = 1 N D F i , j ( δ i , j I / I 0 ) 2 ,
where NDF = M − 3 is the number of degrees of freedom (three fitted parameters at each λ i ), corresponding to the three fitted parameters at each wavelength. In practice, this wavelength-dependent variance is averaged over the entire sample area, and a single global noise parameter σ I / I 0 is used in the likelihood evaluation.
In our measurements, the resulting uncertainty of the normalized RGB intensities is typically on the order of ∼2%, and this value enters the likelihood function directly as σ. Finally, we note that the uncertainty determined in this way contains not only statistical fluctuations of the detected light but also additional stochastic contributions such as surface-scattering effects, microscopic thickness or composition variations, and other instrument-dependent noise sources. These effects propagate through the Bayesian calibration and ultimately influence both the uncertainties and the correlations of the inferred layer parameters for all measured samples.

2.6. One Example of Fitting Procedure

In this section, a representative example is shown to illustrate the parameter-estimation procedure applied to a single measurement point on a polycrystalline–silicon layer on a silicon dioxide (poly-Si-SiO2) sample. For this type of sample, only the thicknesses of the poly–Si and SiO2 layers need to be determined, while the instrumental correction parameters are provided by the preceding calibration step.
Due to the broadband RGB nature of the measurement and the nonlinear dependence of the measured intensities on the model parameters, the objective function exhibits a complex structure with multiple local minima. This behavior is visualized in Figure 5, which shows the objective-function values (Equation (14)) evaluated on a two-dimensional grid spanned by the poly–Si and SiO2 layer thicknesses.
The presence of several local minima demonstrates that deterministic gradient-based optimization alone is insufficient, as it would generally converge to a local minimum depending on the initial guess. Within the Bayesian framework, this problem is addressed by locating the maximum of the posterior distribution using a global optimization strategy based on simulated annealing (SA)
In Figure 5, the range of thickness (in micron) values was chosen to be large. It can be seen that the objective function contains many local minima. It can also be observed that some local minima, as well as one global minimum, do not correspond to physically meaningful layer parameters for the sample. In the left part of Figure 5, the ranges bounded by red lines indicate the domains where the sample’s layer thickness values can lie. During the Bayesian evaluation, we will use values along the green lines as the prior for the layer thickness.
Figure 6 illustrates the course of the SA [18] optimization for this example. During the annealing process, the algorithm explores the parameter space broadly at high temperatures and gradually focuses on the region of the global minimum as the temperature is reduced. The final solution corresponds to the maximum a posteriori (MAP) estimate of the parameter vector.
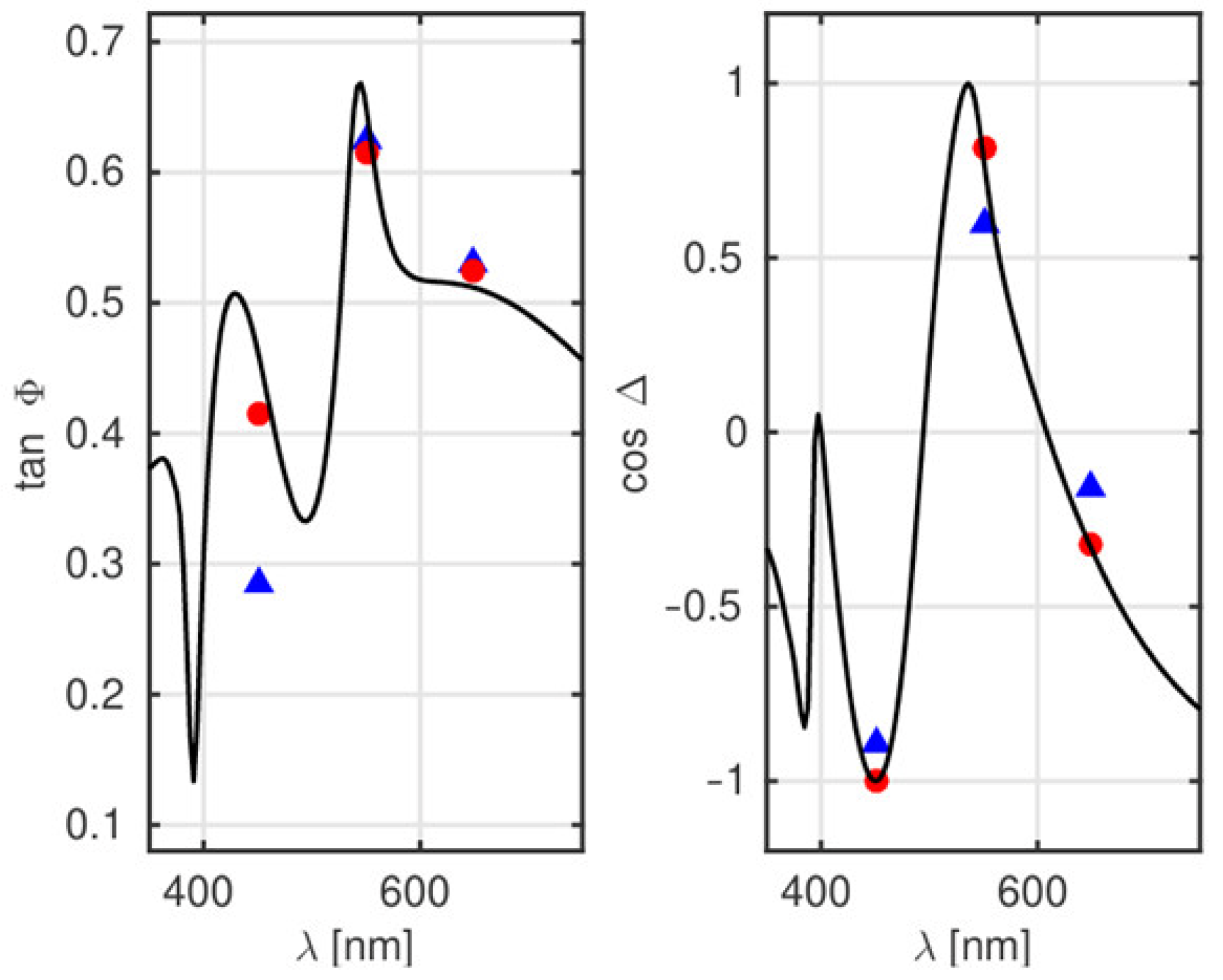
After the MAP estimate has been obtained, the corresponding forward model is evaluated and compared directly with the measured camera signals. Figure 7 shows the measured and fitted intensity values in the three RGB wavelength ranges. The agreement confirms that the inversion is performed directly on the measured intensity signals rather than on derived ellipsometric quantities.
For comparison only, the corresponding tan ψ and cos Δ values derived from the camera signals are shown in Figure 8. These quantities are not used in the inversion procedure and are displayed solely to illustrate the relation between the intensity-based approach and conventional spectroscopic ellipsometry.
Finally, Figure 9 shows the combined spectral response of the monitor and the camera, which defines the effective wavelength weighting of the RGB channels in the forward model. This function is used both for the calculation of the predicted intensities and for the estimation of the measurement noise.
This example demonstrates that the inverse problem associated with broadband RGB ellipsometric mapping is intrinsically non-convex and cannot be solved reliably using local optimization alone. The combination of Bayesian inference with simulated annealing enables robust identification of the global optimum and provides a consistent framework for subsequent uncertainty quantification.

3. Results

3.1. Calibration of the Instrument

The light source (the monitor) in the system is not an ideal polarization-state generator: its emitted polarization depends on both the spatial position on the screen and the wavelength in a nonlinear manner [8]. For this reason, the calibration procedure must determine a polarization-state correction map ρ m o n i t o r ( x , y , λ ) over the entire field of view. In parallel, an angle-of-incidence (AOI) calibration must be performed, which assigns each CMOS pixel (or pixel group) to its corresponding local angle of incidence. Calibration is carried out using well-characterized optical reference samples.
The calibration samples are 20 cm diameter crystalline silicon (c-Si) wafers with different thicknesses of thermal oxide (SiO2), nominally 60, 80, and 100 nm thick SiO2 layers. These samples provide reliable and sufficiently distinct ellipsometric responses to constrain the device-specific instrumental correction terms.
The monitor-correction factor enters the optical model multiplicatively through the complex reflection ratio:
ρ m o d e l ( Σ , Λ , λ ) = ρ M L O M ( Σ , Λ , λ ) ρ m o n i t o r ( x , y , λ ) ,
where x and y denote the position on the sample surface.
A smooth parameterization of ρ m o n i t o r is required to ensure numerical stability and physical consistency. For each pixel (or pixel group), the real and imaginary parts of the correction factor are represented by second-order polynomials in wavelength,
R ( ρ m o n i t o r ) = a 0 + a 1 λ + a 2 λ 2 , I ( ρ m o n i t o r ) = b 0 + b 1 λ + b 2 λ 2 .
For clarity of presentation, the polynomial coefficients are quoted in later sections at the average wavelengths of the R, G, and B channels. This allows a compact and physically intuitive representation of the calibration parameters without altering their role in the forward optical model.
The calibration is not performed on individual pixels, but on pixel groups whose size is chosen to match the nominal lateral resolution of the system.
In Section 2.2, Theory of Ellipsometry, the theoretical ellipsometric ratio ρ M L O M ( Σ k , Λ , λ ) was introduced based on the multilayer optical model (MLOM). During the calibration procedure, this quantity is extended to include the instrumental correction of the light source, yielding the effective optical response
ρ o p t ( λ ) = ρ M L O M ( Σ k , Λ , λ ) ρ m o n i t o r ( λ ) ,
where ρ m o n i t o r ( λ ) is understood for a given pixel or pixel group.
The corrected optical response ρ o p t ( λ ) determines the Stokes vector components S 1 ( λ ) and S 2 ( λ ) appearing in the rotating-analyzer intensity formulation. By inserting ρ o p t ( λ ) into the expressions for S 1 ( λ ) and S 2 ( λ ) given in Section 2.2, and subsequently into the spectral integration
I i , j , k r a w ( Σ k , Λ ) = I ( Σ k , Λ , α i , λ ) S R j ( λ ) d λ ,
the complete intensity-based forward model used during the calibration is obtained.
Within this framework, the calibration procedure simultaneously determines the following through a unified Bayesian optimization:
  • The physical layer parameters of the calibration wafers ( Σ k );
  • The angle-of-incidence related instrumental parameters ( Λ );
  • The wavelength-dependent monitor-correction factor ρ m o n i t o r ( λ ) .
For all three calibration samples, the predicted normalized intensities I i , j , k m o d e l ( Σ k , Λ , ρ m o n i t o r ) are used to construct the likelihood function in the Bayesian analysis. The oxide thickness values obtained from a high-precision commercial spectroscopic ellipsometer (Woollam M–2000DI) serve as informative priors for the oxide layer thicknesses. Since the same monitor-correction function is assumed to apply over the entire sample surface, uninformative (flat) priors are adopted for the corresponding instrumental correction parameters, allowing for spatial variations in the oxide thickness across the wafer.
By combining the forward model and the prior information, the posterior distribution
P ( Σ k , Λ , ρ m o n i t o r | D ) L ( D | Σ k , Λ , ρ m o n i t o r ) π ( Σ k , Λ , ρ m o n i t o r )
is evaluated, and the most probable values of the calibration parameters are determined.
The prior distributions reflect the different levels of prior knowledge available for the calibration parameters. For the SiO2 reference wafers, the oxide thicknesses are assigned narrow, approximately flat priors centered on the nominal values, consistent with the independent thickness measurements obtained by commercial spectroscopic ellipsometry. These priors allow for small thickness variations across the wafer while preventing unphysical solutions.
In contrast, for the instrumental parameters, including the angle-of-incidence and the parameters of the monitor-correction function ρ m o n i t o r ( λ ) , flat (non-informative) priors are employed over physically meaningful parameter ranges. This choice reflects the absence of detailed a priori knowledge of the instrumental distortions while ensuring that the inferred parameters remain within realistic bounds.
The Bayesian formulation of the calibration problem has an important consequence: there is no fundamental restriction on the number of calibration samples used in the procedure. Any number of well-characterized reference wafers may be included in the joint inference
P ( Σ k , Λ , ρ m o n i t o r | D ) L ( D | Σ k , Λ , ρ m o n i t o r ) π ( Σ k , Λ , ρ m o n i t o r ) ,
because each additional calibration sample contributes an additional likelihood factor, thereby refining the inferred parameter distributions.
Consequently, the accuracy of the inferred calibration parameters (the six polynomial coefficients describing ρ m o n i t o r ( λ ) , the angle-of-incidence map, and the oxide thicknesses of the reference wafers) systematically improves as the number of calibration samples increases. With more samples, the likelihood becomes more constrained and the parameter uncertainties are reduced, while the priors ensure physical consistency.

3.2. Results of Calibration

3.2.1. Full Area Calibration

As a first step, the calibration procedure was applied to the entire camera field of view. The full frame is 30 × 30 cm, X-direction: 1–50 columns; Y-direction: 1–30 rows.
The results can be seen in Figure 10, Figure 11 and Figure 12: the χ 2 map, the angle-of-incidence map, the ρmonitor maps, and the thickness maps of SiO2/Si samples with nominal thicknesses of 60 nm, 80 nm, and 100 nm.
The wavelength-dependent monitor-correction factor maps obtained from the calibration procedure are shown in Figure 11. Both the absolute value and the phase of ρ m o n i t o r are displayed. For clarity, the result is shown explicitly for the blue channel (approximately 450 nm); the corresponding maps for the green (550 nm) and red (650 nm) channels exhibit similar behavior. The inferred angle-of-incidence map (Figure 10, right) follows the behavior expected from the experimental geometry. The monitor-correction factors (Figure 11) are smooth and exhibit relatively small deviations (with absolute values close to unity and phases close to zero), indicating that the calibration compensates moderate but systematic deviations of the optical response.
The same calibration process resulted in the thickness maps of our calibration oxide samples (nominal thicknesses of 60, 80, and 100 nm), which are shown in Figure 12.
The calibration results obtained over the full camera field of view clearly demonstrate that the validity of the measurement and evaluation model is not uniform across the image. While the Bayesian calibration framework is capable of inferring instrument- and sample-related parameters simultaneously, its physical and statistical reliability depends on the quality and consistency of the measured data. One can see from the χ 2 map (Figure 10) that the region with the calibration is valid only at the central part, where the measuring conditions are good (Calibration sample is smaller than the camera-view area and the intensity is not enough everywhere). The χ 2 values are too high, and the angle-of-incidence map is not smooth at the edges. So, a narrower (valid) area can be used for the other measurements (see Figure 13 and Figure 14). This valid area is the central 20 × 15 cm, X-direction: 5–40 columns; Y-direction: 8–24 rows. We show the robustness of the calibration procedure in Appendix B.

3.2.2. Valid Area Calibration

Not only are the values of the calibration parameters important, but also their uncertainties, since these uncertainties propagate directly into the subsequent analysis of the polycrystalline silicon samples. The uncertainties of the inferred calibration parameters originate from both systematic and statistical error sources. These contributions are explicitly taken into account in the subsequent analysis and define the limits of the achievable accuracy of the method. Systematic errors are primarily related to the measurement system and the calibration procedure. They include uncertainties in the effective polarization states of the illumination, as well as imperfect knowledge of the analyzer and polarizer angles.
An additional source of systematic uncertainty originates from the spectral response functions SRj(λ) of the RGB channels. These functions are not known exactly and are therefore approximated by Gaussian functions. The associated uncertainties enter the forward model through the parameters describing the center wavelength and the spectral width of the Gaussian profiles, and they propagate into the inferred calibration parameters via the model evaluation.
Statistical errors arise mainly from sample-related effects. These include spatial variations in the SiO2 layer thickness across the surface of the calibration wafers, as well as local variations in surface properties such as surface roughness. Such effects introduce spatially varying deviations in the measured intensities and contribute to the statistical spread of the inferred parameters.
Taking the considerations of the previous paragraphs into account, a quadratic surface was fitted to the calibration parameters within the valid area. This fitted surface acts as a spatial smoothing of the calibration parameter maps. When using the values obtained from this smooth quadratic surface for the analysis of the polycrystalline silicon samples, the contribution of the statistical uncertainty of the calibration parameters becomes negligible compared to other sources of uncertainty. Within the Bayesian framework, this is reflected by omitting the statistical variance term associated with these calibration parameters from the prior distribution used in the subsequent analysis.
The resulting calibration maps together with the fitted quadratic surfaces are shown in Figure 13 and Figure 14. The parameter correlations obtained from the inverse analysis reveal a strongly coupled parameter space. Several pairs of parameters exhibit correlation coefficients with magnitudes exceeding 0.6, indicating that different combinations of layer parameters, instrumental quantities, and correction factors can reproduce the measured RGB intensities with comparable accuracy.
We estimated the scattering of the instrument calibration parameters, which we obtained by taking the difference between the calibrated parameters and the smoothed calibrated parameters. From these distributions, the statistical error of the calibration parameters can be determined, which we used later to determine the error of the layer parameters of the other samples (see later).
The standard deviation of abs (ρmonitor) and phase shift-correction values are around ±0.01, and 0.11 degrees in the case of angle of incidence (see Figure 15).

3.3. Validation Measurements

The purpose of this section is not to validate the measurement itself. Within the valid area, we assume the measured RGB intensities to be reliable. Instead, we validate the complete evaluation pipeline, i.e., the sequence calibration data P ( Λ , ρ m o n i t o r | D c a l ) informative prior for subsequent samples P ( Σ | D s a m p l e ) , and we test whether the inferred calibration parameters can be reused consistently in the analysis of independent samples.
To validate the calibration procedure and its use in subsequent sample analysis, independent measurements were performed on two SiO2/Si wafers that were not involved in the calibration step. Both samples had a diameter of 20 cm and nominal oxide thicknesses of 20 nm and 120 nm, respectively. The calibrated monitor-correction function ρmonitor(x,y,λ) and the angle-of-incidence map obtained from the Bayesian calibration were applied to the measured RGB intensity data. Using these corrected intensities, oxide-thickness maps were determined with the Bayesian inversion procedure described in the previous sections. In this way, the calibration posterior is reused as an informative prior for the analysis of independent samples.
For reference, the same wafers were measured using a commercial Woollam M–2000 spectroscopic ellipsometer. Due to the geometrical constraints of the M–2000 system, only the central 14 cm diameter region of the 20 cm wafers could be mapped. Therefore, a strict point-by-point comparison over the full wafer area is not possible.
The thickness maps of the oxide samples in Figure 16b and Figure 17b appear to be smooth enough. Note that one color in Figure 16 and Figure 17 is only 0.5 nm or 1 nm, which corresponds to one or two atomic layers.
Within the overlapping measurement area, the agreement between the oxide-thickness values obtained with the present RGB ellipsometric mapping system and those measured by the Woollam M–2000 ellipsometer is typically better than 1 nm for both samples. Considering the broadband RGB integration, the non-collimated illumination geometry, and the different lateral resolutions of the two systems, this level of agreement demonstrates that the calibration posterior can be reused consistently in the Bayesian analysis of independent samples.

Validation Using Poly-Si on SiO2 on Si Samples

As a further independent test of the proposed calibration-to-analysis workflow, two polycrystalline–silicon on silicon-dioxide (poly-Si-on-SiO2) samples were investigated. The films were deposited by standard chemical vapor deposition (CVD) on 6-inch-diameter crystalline silicon wafers.
As in the previous validation on SiO2 samples, the purpose of this experiment is not to validate the measurement itself, but to assess whether the calibration posterior obtained from reference samples can be reused consistently as an informative prior in the Bayesian analysis of more complex, multilayer structures.
The calibrated monitor-correction function ρmonitor(x,y,λ) and the angle-of-incidence map were applied to the measured RGB intensity data. Thickness maps of both the poly Si and the underlying SiO2 layers were determined using the Bayesian inversion procedure described in the previous sections.
Independent reference measurements were performed on the same samples using a Wool lam M–2000 spectroscopic ellipsometer evaluated with the CompleteEASE software package. For both measurement systems, the same optical layer model was used, consisting of a poly–Si layer on a SiO2 layer on a crystalline silicon substrate.
The effective dielectric function of the poly–Si layer was described by an effective medium approximation (EMA) consisting of crystalline silicon (c–Si) and amorphous silicon (a–Si). The dielectric functions of c–Si and a–Si were taken from Ref. [17]. The amorphous-silicon fraction was determined from the spectroscopic ellipsometry (M–2000) measurements and subsequently fixed to 11% during the evaluation of the RGB ellipsometric mapping data. This choice reflects the limited information content of three broadband RGB channels and avoids introducing poorly constrained additional free parameters into the inversion.
Figure 17 and Figure 18 show the results. We must note that perspective causes the map to “shrink”. In both figures, the left panels correspond to the Woollam M–2000 measurements, while the right panels show the results obtained with the present RGB ellipsometric mapping system using the calibrated correction parameters. We compare the results of the point-by-point measurements and evaluation using the same optical model by the M2000 device and CompleteEASE software [16] by Woollam Co.
The two measurement systems differ fundamentally in both spectral and spatial resolution. The M–2000 measures full spectra at each point with a spot size of approximately 1 mm, whereas the present RGB system operates with three broad spectral bands and averages over pixel groups corresponding to lateral dimensions of approximately a few mm by a few mm. As a consequence, a perfect point-by-point agreement is not expected for samples exhibiting lateral thickness variations.
Nevertheless, within the overlapping measurement area, the agreement between the poly–Si thickness values obtained with the two systems is typically within approximately 1 nm. Considering the reduced spectral information content, the non-collimated illumination geometry, and the spatial averaging inherent to the RGB system, this level of agreement confirms that the calibration parameters and their associated uncertainties can be propagated consistently into the Bayesian analysis of multilayer samples.
We used the same optical model to evaluate both measurements (M2000 and our multi-color device): poly-Si(mixture of c-Si and a-Si)–SiO2–c-Si substrate. The poly-Si effective dielectric function was modeled by an effective medium approximated (EMA) mixture of c-Si and a-Si, where c-Si (crystalline silicon) and a-Si dielectric functions were used from Ref. [19]. We determined the amorphous-silicon (a-Si) percentage from the M2000 measurement and we fixed this percentage (11%) when we evaluated the imaging measurements by our multi-color device. This choice reflects the limited information content of three broadband RGB channels and avoids introducing poorly constrained additional free parameters into the inversion.
We must note that this parameter (amorphous-silicon percentage) showed a relatively high cross-correlation with the thickness parameter and the uncertainty was ±3% (absolute error) even in the case of the evaluation of M2000 measurements by CompleteEASE software in the same 450–650 nm wavelength range. So, our three-color band cannot serve enough measured data to use a more sophisticated optical model. Therefore, in the present work, we treat the a–Si fraction as a calibration/auxiliary input and focus the RGB evaluation on reliable thickness mapping of the multilayer structure.
To test whether three-color data can constrain the EMA composition, we performed an additional inversion in which the a–Si fraction was treated as an unknown parameter with a narrow prior centered at the M–2000 value. The resulting posterior shows strong correlation between composition and thickness parameters, indicating that RGB data provide only limited independent information on the a–Si fraction in the present configuration. However, the thickness posteriors remain stable within the valid area.
This is considered an independent checking measurement of the same samples by the Woollam M2000 ellipsometer, as shown in Figure 18 and Figure 19. We must note that M2000 measures full spectra at each point, while our device measures at three color bands. We must note that M2000 measures on 1 mm size spots, while our device averages (pixel groups) approximately 5 × 5 mm spots. So, in the case of laterally changing thicknesses we cannot wait for full agreement between the two measurements. The agreement between the thickness measurements made between our non-collimated ellipsometer after correction and the conventional Wollam M2000 spectroscopic ellipsometer is only within 1 nm, which is a good agreement. Note that our M2000 device can map only a 14 cm diameter area, so there is not a one-to-one correspondence between the two areas.
To further quantify the agreement, a comparative error analysis was performed for the second poly–Si/SiO2/Si sample, using the device with smaller pixel groups. Figure 20 and Figure 21 show the smoothed thickness maps of fitted values of poly-Si and SiO2 layers (left maps), the differences between the smoothed and M2000 thickness values (middle maps), and the distribution of the thickness differences.

4. Discussion

The results presented in this work demonstrate that rapid ellipsometric mapping measurements can be performed using a multi-color ellipsometric mapping instrument constructed from inexpensive, non-moving optical components. The experimental arrangement, based on a commercially available LCD monitor as a broadband polarized light source and a polarization-sensitive camera, enables large-area measurements within short acquisition times.
An important practical advantage of the proposed setup is its scalability. By employing large-format LCD panels, the measurement area can be extended to meter-scale dimensions, making the concept suitable for in-line or near-line monitoring of laterally extended samples in industrial production environments. The absence of moving optical components further supports robust and stable operation under such conditions.
The use of non-ideal and imperfect optical components, however, requires a departure from conventional ellipsometric evaluation strategies. Instead of relying on directly reconstructed tan ψ and cos Δ values, the present work employs an intensity-based forward model and a Bayesian evaluation framework. This approach allows the measured RGB intensity signals to be analyzed directly, while consistently accounting for instrumental correction parameters, measurement noise, and prior information on the sample structure.
Within this framework, Bayesian Probability Theory provides a natural and transparent way to quantify uncertainties and parameter correlations. The use of simulated annealing for global optimization ensures reliable location of the maximum a posteriori solution in a strongly non-linear and correlated parameter space. The subsequent analysis of the posterior distribution reveals not only the most probable parameter values, but also the intrinsic limitations of the measurement configuration.
A central limitation of the present approach arises from the use of only three broadband spectral channels. While this configuration is sufficient for robust thickness mapping of well-defined layer structures, it restricts the amount of independent spectral information available for simultaneously determining multiple optical parameters. This limitation manifests itself in strong posterior correlations and, in some cases, in partial parameter degeneracies. Rather than obscuring these effects, the Bayesian analysis makes them explicit and allows their impact on the inferred parameters to be assessed quantitatively.
Despite these limitations, the results show that the calibrated RGB ellipsometric mapping system, combined with a Bayesian evaluation strategy, provides reliable and quantitatively interpretable thickness maps for technologically relevant SiO2/Si and poly-Si/SiO2/Si structures. The method is therefore well suited for applications where fast, large-area mapping and transparent uncertainty quantification are more critical than full spectroscopic parameter reconstruction.

Author Contributions

Conceptualization, S.K., G.J., C.M. and M.F.; methodology, G.J., Z.G.H. and C.M.; software, S.K., B.N.Z. and G.J.; validation, P.P., G.J. and M.F.; formal analysis, S.K.; investigation, B.N.Z.; resources, P.P.; data curation, M.F.; writing—original draft preparation, S.K. and M.F.; writing—review and editing, P.P. and M.F.; visualization, S.K. and B.N.Z.; supervision, M.F.; project administration, M.F.; funding acquisition, M.F. and P.P. All authors have read and agreed to the published version of the manuscript.

Funding

This research was funded by the National Development Agency grant OTKA K 143216 and 146181 projects. The TKP2021-EGA-04 project has been implemented with support from the Ministry of Innovation and Technology of Hungary from the National Research, Development and Innovation Fund, financed under the TKP2021 funding scheme.

Institutional Review Board Statement

Not applicable for studies not involving humans or animals.

Informed Consent Statement

Not applicable.

Data Availability Statement

Data set available on request from the authors.

Acknowledgments

The authors are grateful for the support from the National Development Agency grant OTKA K 143216 and 146181 projects, and the TKP2021-EGA-04 project from the Ministry of Innovation and Technology of Hungary from the National Research, Development and Innovation Fund.

Conflicts of Interest

The authors declare no conflicts of interest.

Abbreviations

The following abbreviations are used in this manuscript:
BPTBayesian Probability Theory
SESpectroscopic Ellipsometry
SASimulated Annealing
EMAEffective Medium Approximation

Appendix A. Global Optimization via Simulated Annealing

The global optimization of the nonlinear inverse ellipsometry problem is performed using simulated annealing (SA) [6,20] in combination with local gradient-based refinement. Starting from an initial parameter vector x, a trial state y is generated by a random perturbation in parameter space and accepted according to the Metropolis criterion
P ( x y ) = m i n [ e ( Δ f T ) , 1 ] ,
where Δ f = f ( y ) f ( x ) denotes the change in the objective function and T is the control (temperature) parameter. At high values of T, transitions are accepted with high probability, enabling a broad exploration of the parameter space, while decreasing T progressively favors moves that reduce the objective function.
In the present Bayesian framework, the objective function f corresponds to the negative logarithm of the posterior probability (up to an additive constant). Consequently, the simulated annealing procedure performs a global search for the maximum of the posterior distribution, yielding a maximum a posteriori (MAP) estimate of the model parameters.
Although it can be shown that simulated annealing converges to the global optimum for sufficiently slow cooling schedules, such schedules are computationally impractical for high-dimensional parameter spaces. To improve efficiency, the SA search is therefore combined with a local gradient-based optimization using the Levenberg–Marquardt (LM) algorithm. Once the SA procedure identifies a promising region in parameter space, LM refinement is applied to rapidly converge to the nearest local minimum of the objective function.
To further enhance robustness against trapping in suboptimal local minima, a reannealing strategy is employed. If convergence stagnates, the temperature is temporarily increased and the SA search is restarted, allowing the algorithm to escape local minima and resume global exploration. This hybrid SA + LM approach provides a reliable compromise between global optimality and computational efficiency.
The described optimization strategy is applied consistently to both the calibration stage and the analysis of unknown multilayer samples, ensuring robust parameter estimation in the presence of strong nonlinearities and complex parameter correlations.

Appendix B. Robustness of the Bayesian Calibration

The simulated calibration data were generated using reference SiO2/Si samples with oxide thicknesses of 60 nm, 80 nm, 100 nm, and 120 nm. For two calibration samples, the 60 nm and 80 nm wafers were used; for three samples, the 60 nm, 80 nm, and 100 nm wafers were included; and for four samples, all four thicknesses were employed.
Table A1 summarizes the resulting posterior standard deviations of the calibration parameters as a function of the number of calibration samples (NoS). The rows correspond to the number of samples, while the columns list the absolute uncertainties of the angle-of-incidence parameter and of the monitor-correction parameters.
Table A1. Posterior standard deviations of the calibration parameters as a function of the number of calibration samples (NoS). The table lists the absolute uncertainties of the angle-of-incidence parameter θ and of the monitor-correction parameters ρ (magnitude and phase) for the blue (B), green (G), and red (R) channels. The systematic reduction in posterior uncertainties with increasing NoS demonstrates the robustness of the Bayesian calibration procedure.
Table A1. Posterior standard deviations of the calibration parameters as a function of the number of calibration samples (NoS). The table lists the absolute uncertainties of the angle-of-incidence parameter θ and of the monitor-correction parameters ρ (magnitude and phase) for the blue (B), green (G), and red (R) channels. The systematic reduction in posterior uncertainties with increasing NoS demonstrates the robustness of the Bayesian calibration procedure.
NoSσθσ|ρ|Bσ|ρ|Gσ|ρ|Rσ arg(ρ)Bσ arg(ρ)Gσ arg(ρ)R
22.29760.03520.03030.03410.16490.16370.1772
30.24690.03010.02290.01780.02090.02290.0226
40.12660.01850.01830.01240.01130.01620.0143

References

  1. Azzam, R.M.A.; Bashara, N.M. Ellipsometry and Polarized Light; Elsevier: Amsterdam, The Netherlands, 1977. [Google Scholar]
  2. Fujiwara, H. Spectroscopic Ellipsometry: Principles and Applications; Wiley: Tokyo, Japan, 2007. [Google Scholar]
  3. Tomkins, H.G.; Irene, E.A. Handbook of Ellipsometry; Springer: Berlin/Heidelberg, Germany, 2004. [Google Scholar]
  4. Losurdo, M.; Hingerl, K. (Eds.) Ellipsometry at the Nanoscale; Springer: Berlin/Heidelberg, Germany, 2013. [Google Scholar]
  5. Pincus, M. Letter to the Editor—A Monte Carlo Method for the Approximate Solution of Certain Types of Constrained Optimization Problems. Oper. Res. 1970, 18, 1225–1228. [Google Scholar] [CrossRef]
  6. Kirkpatrick, S.; Gelatt, C.D., Jr.; Vecchi, M.P. Optimization by Simulated Annealing. Science 1983, 220, 671–680. [Google Scholar] [CrossRef] [PubMed]
  7. Polgar, O.; Fried, M.; Lohner, T.; Barsony, I. Comparison of algorithms used for evaluation of ellipsometric measurements: Random search, genetic algorithms, simulated annealing and hill climbing graph-searches. Surf. Sci. 2000, 457, 157–177. [Google Scholar] [CrossRef]
  8. Zereay, B.N.; Kálvin, S.; Juhász, G.; Major, C.; Petrik, P.; Horváth, Z.G.; Fried, M. Optical Calibration of a Multi-Color Ellipsometric Mapping Tool Fabricated Using Cheap Parts. Photonics 2024, 11, 1036. [Google Scholar] [CrossRef]
  9. Sivia, D.S. Data Analysis: A Bayesian Tutorial, online ed.; Oxford University Press: Oxford, UK, 2006. [Google Scholar] [CrossRef]
  10. Gregory, P. Bayesian Logical Data Analysis for the Physical Sciences: A Comparative Approach with Mathematica® Support; Cambridge University Press: Cambridge, UK, 2012; ISBN 9780511791277. [Google Scholar] [CrossRef]
  11. Barradas, N.P.; Keddie, J.L.; Sackin, R. Bayesian inference analysis of ellipsometry data. Phys. Rev. E 1999, 59, 6138–6151. [Google Scholar] [CrossRef] [PubMed]
  12. Toussaint, U.V.; Dose, V. Bayesian Inference in Surface Physics. Appl. Phys. A 2006, 82, 403–413. [Google Scholar] [CrossRef][Green Version]
  13. Available online: https://semilab.com/hu/product/799/fpt (accessed on 28 October 2025).
  14. Available online: https://www.jawoollam.com/download/pdfs/accumap-se-brochure.pdf (accessed on 28 October 2025).
  15. Horváth, Z.G.; Juhász, G.; Fried, M.; Major, C.; Petrik, P. Imaging Optical Inspection Device with a Pinhole Camera. EP2160591B1, 4 November 2020. [Google Scholar]
  16. Available online: https://www.jawoollam.com/ellipsometry-software/completeease (accessed on 28 October 2025).
  17. Jellison, G.E. Use of the biased estimator in the interpretation of spectroscopic ellipsometry data. Appl. Opt. 1991, 30, 3354–3360. [Google Scholar] [CrossRef] [PubMed]
  18. Ingber, L. Adaptive simulated annealing (ASA): Lessons learned. Control Cybern. 1996, 25, 33–54. [Google Scholar] [CrossRef]
  19. Palik, E.D. (Ed.) Handbook of Optical Constants of Solids; Academic Press: Orlando, FL, USA, 1985. [Google Scholar]
  20. Aarts, E.; Korst, J. Simulated Annealing and Boltzmann Machines: A Stochastic Approach to Combinatorial Optimization and Neural Computing; Wiley: Chichester, UK, 1989. [Google Scholar]
Figure 1. Experimental setup: polarization-sensitive camera (8) with pinhole (7) (Right); sample (5, oxide film on a 20 cm diameter Si-wafer) + sample holder (6) (middle); LCD monitor (1–4) rotated into a 45° position with digital angle gauge (Left).
Figure 1. Experimental setup: polarization-sensitive camera (8) with pinhole (7) (Right); sample (5, oxide film on a 20 cm diameter Si-wafer) + sample holder (6) (middle); LCD monitor (1–4) rotated into a 45° position with digital angle gauge (Left).
Sci 08 00017 g001
Figure 2. Schematics of the non-collimated beam ellipsometer (optical-mapping tool made from cheap parts). (1) Light source. (2) Vertical polarizer. (3) Liquid crystal cell. (4) Horizontal polarizer. (5) Sample. (6) Sample holder. (7) Pinhole (sub-mm size). (8) Camera sensor.
Figure 2. Schematics of the non-collimated beam ellipsometer (optical-mapping tool made from cheap parts). (1) Light source. (2) Vertical polarizer. (3) Liquid crystal cell. (4) Horizontal polarizer. (5) Sample. (6) Sample holder. (7) Pinhole (sub-mm size). (8) Camera sensor.
Sci 08 00017 g002
Figure 3. Schematic structure of a 2/3 inch Sony CMOS Pregius Polarsens sensor (IMX250MZR). (a) Camera sensor. (b) Polarizer array matched to detector pixels. (c) Unit cell (super pixel).
Figure 3. Schematic structure of a 2/3 inch Sony CMOS Pregius Polarsens sensor (IMX250MZR). (a) Camera sensor. (b) Polarizer array matched to detector pixels. (c) Unit cell (super pixel).
Sci 08 00017 g003
Figure 4. Working principle of spectroscopic ellipsometry (source: https://www.jawoollam.com/resources/ellipsometry-tutorial/what-is-ellipsometry, accessed on 7 January 2026).
Figure 4. Working principle of spectroscopic ellipsometry (source: https://www.jawoollam.com/resources/ellipsometry-tutorial/what-is-ellipsometry, accessed on 7 January 2026).
Sci 08 00017 g004
Figure 5. The “objective function” map (left) shows the χ 2 (Equation (14)) values in the parameter space (Parameter 1 is the thickness (in microns) of the poly-Si layer, Parameter 2 is the thickness (in microns) of SiO2 layer). The real global minimum is at the cross-point of the green lines (red spot). Red lines show the ranges designated by the priors. The objective function values along the green lines are shown in the right part of the figure.
Figure 5. The “objective function” map (left) shows the χ 2 (Equation (14)) values in the parameter space (Parameter 1 is the thickness (in microns) of the poly-Si layer, Parameter 2 is the thickness (in microns) of SiO2 layer). The real global minimum is at the cross-point of the green lines (red spot). Red lines show the ranges designated by the priors. The objective function values along the green lines are shown in the right part of the figure.
Sci 08 00017 g005
Figure 6. The course of the simulated annealing fitting process (left) (control parameter is the temperature). The real global minimum is at the cross-point of the green lines (red spot). Red lines show the ranges designated by the priors. The yellow spots are the tried thickness-pairs.
Figure 6. The course of the simulated annealing fitting process (left) (control parameter is the temperature). The real global minimum is at the cross-point of the green lines (red spot). Red lines show the ranges designated by the priors. The yellow spots are the tried thickness-pairs.
Sci 08 00017 g006
Figure 7. Camera signals in the three wavelength ranges. Blue triangles: the measurement data. Red circles: the best fit.
Figure 7. Camera signals in the three wavelength ranges. Blue triangles: the measurement data. Red circles: the best fit.
Sci 08 00017 g007
Figure 8. The values of tan ψ and cos Δ calculated from the camera signals, in three wavelength ranges and from the four polarization angles, are shown as blue triangles at the center of the wavelength ranges. The same values calculated from the fitted data are shown as red circles. The black curve represents these values across the entire wavelength range. Note that the fitted values do not need to fall on the continuous curve, as during the evaluation we do not use the tan ψ and cos Δ values, but rather the camera signals (see Figure 7).
Figure 8. The values of tan ψ and cos Δ calculated from the camera signals, in three wavelength ranges and from the four polarization angles, are shown as blue triangles at the center of the wavelength ranges. The same values calculated from the fitted data are shown as red circles. The black curve represents these values across the entire wavelength range. Note that the fitted values do not need to fall on the continuous curve, as during the evaluation we do not use the tan ψ and cos Δ values, but rather the camera signals (see Figure 7).
Sci 08 00017 g008
Figure 9. The spectrum of the monitor combined with the sensitivity of the camera. This function serves to determine the camera signal in the three (RGB) wavelength ranges in the applied model function.
Figure 9. The spectrum of the monitor combined with the sensitivity of the camera. This function serves to determine the camera signal in the three (RGB) wavelength ranges in the applied model function.
Sci 08 00017 g009
Figure 10. Full χ 2 map (left) and calibrated angle-of-incidence map (right). The full frame is 30 × 30 cm, X-direction: 1–50 columns; Y-direction: 1–30 rows.
Figure 10. Full χ 2 map (left) and calibrated angle-of-incidence map (right). The full frame is 30 × 30 cm, X-direction: 1–50 columns; Y-direction: 1–30 rows.
Sci 08 00017 g010
Figure 11. Maps of calibrated ρmonitor values. Left columns: absolute value of ρmonitor; right columns: phase shift-correction maps. Upper row: blue (450 nm) color band; middle row: green (550 nm) color band; lower row: red (650 nm) color band. The full frame is 30 × 30 cm, X-direction: 1–50 columns; Y-direction: 1–30 rows.
Figure 11. Maps of calibrated ρmonitor values. Left columns: absolute value of ρmonitor; right columns: phase shift-correction maps. Upper row: blue (450 nm) color band; middle row: green (550 nm) color band; lower row: red (650 nm) color band. The full frame is 30 × 30 cm, X-direction: 1–50 columns; Y-direction: 1–30 rows.
Sci 08 00017 g011
Figure 12. Thickness maps of SiO2/Si samples with nominal thickness of 60 nm, 80 nm, and 100 nm. The central 20 × 15 cm part is valid.
Figure 12. Thickness maps of SiO2/Si samples with nominal thickness of 60 nm, 80 nm, and 100 nm. The central 20 × 15 cm part is valid.
Sci 08 00017 g012
Figure 13. χ 2 map (left) and angle-of-incidence map (right) on the valid area. The full frame is 30 × 30 cm, X-direction: 1–50 columns; Y-direction: 1–30 rows. (Angle is in degree).
Figure 13. χ 2 map (left) and angle-of-incidence map (right) on the valid area. The full frame is 30 × 30 cm, X-direction: 1–50 columns; Y-direction: 1–30 rows. (Angle is in degree).
Sci 08 00017 g013
Figure 14. Maps of calibrated ρmonitor values on the valid area. Left columns: absolute value of ρmonitor; right columns: phase shift-correction maps (in radian). Upper row: blue (450 nm) color band. Middle row: green (550 nm) color band. Lower row: red (650 nm) color band. The full frame is 30 × 30 cm, X-direction: 1–50 columns; Y-direction: 1–30 rows.
Figure 14. Maps of calibrated ρmonitor values on the valid area. Left columns: absolute value of ρmonitor; right columns: phase shift-correction maps (in radian). Upper row: blue (450 nm) color band. Middle row: green (550 nm) color band. Lower row: red (650 nm) color band. The full frame is 30 × 30 cm, X-direction: 1–50 columns; Y-direction: 1–30 rows.
Sci 08 00017 g014
Figure 15. Frequency of difference in the calibrated angle-of-incidence (see Figure 13) values from the fitted smoothed value in degree. The standard deviation is 0.11 degree.
Figure 15. Frequency of difference in the calibrated angle-of-incidence (see Figure 13) values from the fitted smoothed value in degree. The standard deviation is 0.11 degree.
Sci 08 00017 g015
Figure 16. Thickness maps from a nominally 20 nm thick oxide film on a 20 cm diameter Si-wafer. (a) Woollam M-2000 ellipsometer. (b) Our device from cheap parts (note that our M-2000 can map only the central 14 cm diameter area of the 20 cm diameter sample).
Figure 16. Thickness maps from a nominally 20 nm thick oxide film on a 20 cm diameter Si-wafer. (a) Woollam M-2000 ellipsometer. (b) Our device from cheap parts (note that our M-2000 can map only the central 14 cm diameter area of the 20 cm diameter sample).
Sci 08 00017 g016
Figure 17. Thickness maps from a nominally 120 nm thick oxide film on a 20 cm diameter Si-wafer by (a) Woollam M-2000 ellipsometer. (b) Our device from cheap parts (note that our M2000 can map only the central 14 cm diameter area of the 20 cm diameter sample).
Figure 17. Thickness maps from a nominally 120 nm thick oxide film on a 20 cm diameter Si-wafer by (a) Woollam M-2000 ellipsometer. (b) Our device from cheap parts (note that our M2000 can map only the central 14 cm diameter area of the 20 cm diameter sample).
Sci 08 00017 g017
Figure 18. Thickness maps from the first poly-Si–silicon-dioxide film structure on a 6-inch-diameter Si-wafer by a Woollam M2000 ellipsometer (left) or by our device from cheap parts (right) (note that our M2000 can map only the central 14 cm diameter area of the 6-inch-diameter sample). One color is 5 nm. The full frame is 30 × 30 cm, X-direction: 1–50 columns; Y-direction: 1–30 rows.
Figure 18. Thickness maps from the first poly-Si–silicon-dioxide film structure on a 6-inch-diameter Si-wafer by a Woollam M2000 ellipsometer (left) or by our device from cheap parts (right) (note that our M2000 can map only the central 14 cm diameter area of the 6-inch-diameter sample). One color is 5 nm. The full frame is 30 × 30 cm, X-direction: 1–50 columns; Y-direction: 1–30 rows.
Sci 08 00017 g018aSci 08 00017 g018b
Figure 19. Thickness maps from the second poly-Si–silicon-dioxide film structure on a 6-inch-diameter Si-wafer by a Woollam M-2000 ellipsometer (left) or by our device from cheap parts (right) (note that our M2000 can map only the central 14 cm diameter area of the 6-inch-diameter sample). One color is 5 nm. The full frame is 30 × 30 cm, X-direction: 1–50 columns; Y-direction: 1–30 rows.
Figure 19. Thickness maps from the second poly-Si–silicon-dioxide film structure on a 6-inch-diameter Si-wafer by a Woollam M-2000 ellipsometer (left) or by our device from cheap parts (right) (note that our M2000 can map only the central 14 cm diameter area of the 6-inch-diameter sample). One color is 5 nm. The full frame is 30 × 30 cm, X-direction: 1–50 columns; Y-direction: 1–30 rows.
Sci 08 00017 g019aSci 08 00017 g019b
Figure 20. Smoothed thickness map of poly-Si layer (from Figure 19). Difference in the smoothed and M2000 thickness values. Histogram of the thickness differences. One color is 0.5 nm. Here, the valid area is shown with smaller pixel groups.
Figure 20. Smoothed thickness map of poly-Si layer (from Figure 19). Difference in the smoothed and M2000 thickness values. Histogram of the thickness differences. One color is 0.5 nm. Here, the valid area is shown with smaller pixel groups.
Sci 08 00017 g020
Figure 21. Smoothed thickness map of SiO2 layer (from Figure 19). Difference in the smoothed and M2000 thickness values. Histogram of the thickness differences. One color is 0.5 nm. Here, the valid area is shown with smaller pixel groups.
Figure 21. Smoothed thickness map of SiO2 layer (from Figure 19). Difference in the smoothed and M2000 thickness values. Histogram of the thickness differences. One color is 0.5 nm. Here, the valid area is shown with smaller pixel groups.
Sci 08 00017 g021
Disclaimer/Publisher’s Note: The statements, opinions and data contained in all publications are solely those of the individual author(s) and contributor(s) and not of MDPI and/or the editor(s). MDPI and/or the editor(s) disclaim responsibility for any injury to people or property resulting from any ideas, methods, instructions or products referred to in the content.

Share and Cite

MDPI and ACS Style

Kálvin, S.; Zereay, B.N.; Juhász, G.; Major, C.; Petrik, P.; Horváth, Z.G.; Fried, M. A New Method of Evaluating Multi-Color Ellipsometric Mapping on Big-Area Samples. Sci 2026, 8, 17. https://doi.org/10.3390/sci8010017

AMA Style

Kálvin S, Zereay BN, Juhász G, Major C, Petrik P, Horváth ZG, Fried M. A New Method of Evaluating Multi-Color Ellipsometric Mapping on Big-Area Samples. Sci. 2026; 8(1):17. https://doi.org/10.3390/sci8010017

Chicago/Turabian Style

Kálvin, Sándor, Berhane Nugusse Zereay, György Juhász, Csaba Major, Péter Petrik, Zoltán György Horváth, and Miklós Fried. 2026. "A New Method of Evaluating Multi-Color Ellipsometric Mapping on Big-Area Samples" Sci 8, no. 1: 17. https://doi.org/10.3390/sci8010017

APA Style

Kálvin, S., Zereay, B. N., Juhász, G., Major, C., Petrik, P., Horváth, Z. G., & Fried, M. (2026). A New Method of Evaluating Multi-Color Ellipsometric Mapping on Big-Area Samples. Sci, 8(1), 17. https://doi.org/10.3390/sci8010017

Article Metrics

Back to TopTop