Scanning Three-Dimensional X-ray Diffraction Microscopy for Carbon Steels
Abstract
1. Introduction
2. Materials and Methods
2.1. Materials
2.2. Data Acquisition
2.3. Concept of Modified Completeness
2.4. Data Analysis
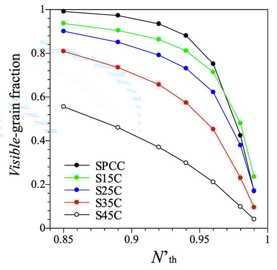
3. Results
4. Discussion
5. Conclusions
Author Contributions
Funding
Data Availability Statement
Acknowledgments
Conflicts of Interest
References
- MacSleyne, J.; Uchic, M.D.; Simmons, J.P.; De Graef, M. Three-dimensional analysis of secondary γ′γ′ precipitates in René-88 DT and UMF-20 superalloys. Acta Mater. 2009, 57, 6251–6267. [Google Scholar] [CrossRef]
- Rowenhorst, D.J.; Lewis, A.C.; Spanos, G. Three-dimensional analysis of grain topology and interface curvature in a β-titanium alloy. Acta Mater. 2010, 58, 5511–5519. [Google Scholar] [CrossRef]
- Adams, B.L. Orientation imaging microscopy: Emerging and future applications. Ultramicroscopy 1997, 67, 11–17. [Google Scholar] [CrossRef]
- Vermeij, T.; De Graef, M.; Hoefnagels, J. Demonstrating the potential of accurate absolute cross-grain stress and orientation correlation using electron backscatter diffraction. Scr. Mater. 2019, 162, 266–271. [Google Scholar] [CrossRef]
- Larson, B.C.; Yang, W.; Ice, G.E.; Budai, J.D.; Tischler, J.Z. Three-dimensional X-ray structural microscopy with submicrometre resolution. Nature 2002, 415, 887–890. [Google Scholar] [CrossRef] [PubMed]
- Ice, G.E.; Larson, B.C.; Yang, W.; Budai, J.D.; Tischler, J.Z.; Pang, J.W.L.; Barabash, R.I.; Liu, W. Polychromatic X-ray microdiffraction studies of mesoscale structure and dynamics. J. Synchrotron Rad. 2005, 12, 155–162. [Google Scholar] [CrossRef]
- Levine, L.E.; Larson, B.C.; Yang, W.; Kassner, M.E.; Tischler, J.Z.; Delos-Reyes, M.A.; Fields, R.J.; Liu, W. X-ray microbeam measurements of individual dislocation cell elastic strains in deformed single-crystal copper. Nat. Mater. 2006, 5, 619–622. [Google Scholar] [CrossRef]
- Barabash, R.I.; Ice, G.E.; Liu, W.; Barabash, O.M. Polychromatic microdiffraction characterization of defect gradients in severely deformed materials. Micron 2009, 40, 28–36. [Google Scholar] [CrossRef]
- Larson, B.C.; Levine, L.E. Submicrometre-resolution polychromatic three-dimensional X-ray microscopy. J. Appl. Crystallogr. 2013, 46, 153–164. [Google Scholar] [CrossRef]
- Guo, Y.; Collins, D.M.; Tarleton, E.; Hofmann, F.; Tischler, J.; Liu, W.; Xu, R.; Wilkinson, A.J.; Britton, T.B. Measurements of stress fields near a grain boundary: Exploring blocked arrays of dislocations in 3D. Acta Mater. 2015, 96, 229–236. [Google Scholar] [CrossRef]
- Zhang, C.; Li, H.; Eisenlohr, P.; Liu, W.; Boehlert, C.J.; Crimp, M.A.; Bieler, T.R. Effect of realistic 3D microstructure in crystal plasticity finite element analysis of polycrystalline Ti-5Al-2.5Sn. Int. J. Plast. 2015, 69, 21–35. [Google Scholar] [CrossRef]
- Yu, T.; Du, Y.; Fan, G.; Barabash, R.; Juul Jensen, D.; Zhang, Y. In Situ synchrotron X-ray micro-diffraction investigation of elastic strains in laminated Ti-Al composites. Metals 2021, 11, 668. [Google Scholar] [CrossRef]
- Zhang, Y.; Yu, T.; Xu, R.; Thorborg, J.; Liu, W.; Tischler, J.; Godfrey, A.; Juul Jensen, D. Local residual stresses and microstructure within recrystallizing grains in iron. Mater. Charact. 2022, 191, 112113. [Google Scholar] [CrossRef]
- King, A.; Johnson, G.; Engelberg, D.; Ludwig, W.; Marrow, J. Observations of intergranular stress corrosion cracking in a grain-mapped polycrystal. Science 2008, 321, 382–385. [Google Scholar] [CrossRef]
- Ludwig, W.; Schmidt, S.; Lauridsen, E.M.; Poulsen, H.F. X-ray diffraction contrast tomography: A novel technique for three-dimensional grain mapping of polycrystals. I. Direct beam case. J. Appl. Crystallogr. 2008, 41, 302–309. [Google Scholar] [CrossRef]
- Johnson, G.; King, A.; Honnicke, M.G.; Marrow, J.; Ludwig, W. X-ray diffraction contrast tomography: A novel technique for three-dimensional grain mapping of polycrystals. II. The combined case. J. Appl. Crystallogr. 2008, 41, 310–318. [Google Scholar] [CrossRef]
- Ludwig, W.; Reischig, P.; King, A.; Herbig, M.; Lauridsen, E.M.; Johnson, G.; Marrow, T.J.; Buffiere, J.Y. Three-dimensional grain mapping by x-ray diffraction contrast tomography and the use of Friedel pairs in diffraction data analysis. Rev. Sci. Instrum. 2009, 80, 033905. [Google Scholar] [CrossRef]
- Reischig, P.; King, A.; Nervo, L.; Viganó, N.; Guilhem, Y.; Palenstijn, W.J.; Batenburg, K.J.; Preuss, M.; Ludwig, W. Advances in X-ray diffraction contrast tomography: Flexibility in the setup geometry and application to multiphase materials. J. Appl. Crystallogr. 2013, 46, 297–311. [Google Scholar] [CrossRef]
- Nervo, L.; King, A.; Fitzner, A.; Ludwig, W.; Preuss, M. A study of deformation twinning in a titanium alloy by X-ray diffraction contrast tomography. Acta Mater. 2016, 105, 417–428. [Google Scholar] [CrossRef]
- Reischig, P.; Ludwig, W. Three-dimensional reconstruction of intragranular strain and orientation in polycrystals by near-field X-ray diffraction. Curr. Opin. Solid State Mater. Sci. 2020, 24, 100851. [Google Scholar] [CrossRef]
- Margulies, L.; Winther, G.; Poulsen, H.F. In-situ measurement of grain rotation during deformation of polycrystals. Science 2001, 291, 2392–2394. [Google Scholar] [CrossRef] [PubMed]
- Poulsen, H.F.; Nielsen, S.F.; Lauridsen, E.M.; Schmidt, S.; Suter, R.M.; Lienert, U.; Margulies, L.; Lorentzen, T.; Juul Jensen, D. Three-dimensional maps of grain boundaries and the stress state of individual grains in polycrystals and powders. J. Appl. Crystallogr. 2001, 34, 751–756. [Google Scholar] [CrossRef]
- Lauridsen, E.M.; Schmidt, S.; Suter, R.M.; Poulsen, H.F. Tracking: A method for structural characterization of grains in powders or polycrystals. J. Appl. Crystallogr. 2001, 34, 744–750. [Google Scholar] [CrossRef]
- Nielsen, S.F.; Lauridsen, E.M.; Juul Jensen, D.; Poulsen, H.F. A three-dimensional X-ray diffraction microscope for deformation studies of polycrystals. Mater. Sci. Eng. A 2001, 319–321, 179–181. [Google Scholar] [CrossRef]
- Offerman, S.E.; van Dijk, N.H.; Sietsma, J.; Grigull, S.; Lauridsen, E.M.; Margulies, L.; Poulsen, H.F.; Rekveldt, M.T.; van der Zwaag, S. Grain nucleation and growth during phase transformations. Science 2002, 298, 1003–1005. [Google Scholar] [CrossRef] [PubMed]
- Margulies, L.; Lorentzen, T.; Poulsen, H.F.; Leffers, T. Strain tensor development in a single grain in the bulk of a polycrystal under loading. Acta Mater. 2002, 50, 1771–1779. [Google Scholar] [CrossRef]
- Poulsen, H.F.; Fu, X. Generation of grain maps by an algebraic reconstruction technique. J. Appl. Crystallogr. 2003, 36, 1062–1068. [Google Scholar] [CrossRef]
- Poulsen, H.F.; Margulies, L.; Schmidt, S.; Winther, G. Lattice rotations of individual bulk grains: Part I: 3D X-ray characterization. Acta Mater. 2003, 51, 3821–3830. [Google Scholar] [CrossRef]
- Fu, X.; Poulsen, H.F.; Schmidt, S.; Nielsen, S.F.; Lauridsen, E.M.; Juul Jensen, D. Non-destructive mapping of grains in three dimensions. Scr. Mater. 2003, 49, 1093–1096. [Google Scholar] [CrossRef]
- Schmidt, S.; Nielsen, S.F.; Gundlach, C.; Margulies, L.; Huang, X.; Juul Jensen, D. Watching the growth of bulk grains during recrystallization of deformed metals. Science 2004, 305, 229–232. [Google Scholar] [CrossRef]
- Lauridsen, E.M.; Schmidt, S.; Nielsen, S.F.; Margulies, L.; Poulsen, H.F.; Juul Jensen, D. Non-destructive characterization of recrystallization kinetics using three-dimensional X-ray diffraction microscopy. Scr. Mater. 2006, 55, 51–56. [Google Scholar] [CrossRef]
- Fu, X.; Knudsen, E.; Poulsen, H.F.; Herman, G.T.; Carvalho, B.M.; Liao, H.Y. Optimized algebraic reconstruction technique for generation of grain maps based on three-dimensional x-ray diffraction (3DXRD). Opt. Eng. 2006, 45, 1–9. [Google Scholar] [CrossRef]
- Alpers, A.; Poulsen, H.F.; Knudsen, E.; Herman, G.T. A discrete tomography algorithm for improving the quality of three-dimensional X-ray diffraction grain maps. J. Appl. Crystallogr. 2006, 39, 582–588. [Google Scholar] [CrossRef]
- Offerman, S.E.; van Dijk, N.H.; Sietsma, J.; Lauridsen, E.M.; Margulies, L.; Grigull, S.; Poulsen, H.F.; van der Zwaag, S. Phase transformations in steel studied by 3DXRD microscopy. Nucl. Instrum. Methods Phys. Res. Sect. B 2006, 246, 194–200. [Google Scholar] [CrossRef]
- Rodek, L.; Poulsen, H.F.; Knudsen, E.; Herman, G.T. A stochastic algorithm for reconstruction of grain maps of moderately deformed specimens based on X-ray diffraction. J. Appl. Crystallogr. 2007, 40, 313–321. [Google Scholar] [CrossRef]
- Jimenez-Melero, E.; van Dijk, N.H.; Zhao, L.; Sietsma, J.; Offerman, S.E.; Wright, J.P.; van der Zwaag, S. Characterization of individual retained austenite grains and their stability in low-alloyed TRIP steels. Acta Mater. 2007, 55, 6713–6723. [Google Scholar] [CrossRef]
- Schmidt, S.; Olsen, U.L.; Poulsen, H.F.; Sørensen, H.O.; Lauridsen, E.M.; Margulies, L.; Maurice, C.; Juul Jensen, D. Direct observation of 3-D grain growth in Al–0.1% Mn. Scr. Mater. 2008, 59, 491–494. [Google Scholar] [CrossRef]
- Oddershede, J.; Schmidt, S.; Poulsen, H.F.; Sørensen, H.O.; Wright, J.; Reimers, W. Determining grain resolved stresses in polycrystalline materials using three-dimensional X-ray diffraction. J. Appl. Crystallogr. 2010, 43, 539–549. [Google Scholar] [CrossRef]
- Juul, N.Y.; Winther, G.; Dale, D.; Koker, M.K.A.; Shade, P.; Oddershede, J. Elastic interaction between twins during tensile deformation of austenitic stainless steel. Scr. Mater. 2016, 120, 1–4. [Google Scholar] [CrossRef]
- Renversade, L.; Borbély, A. Evaluation of grain-average stress tensor in a tensile-deformed Al–Mn polycrystal by high-energy X-ray diffraction. J. Appl. Crystallogr. 2017, 50, 1144–1157. [Google Scholar] [CrossRef]
- Abdolvand, H.; Wright, J.; Wilkinson, A.J. Strong grain neighbour effects in polycrystals. Nat. Commun. 2018, 9, 171. [Google Scholar] [CrossRef] [PubMed]
- Oddershede, J.; Camin, B.; Schmidt, S.; Mikkelsen, L.P.; Sørensen, H.O.; Lienert, U.; Poulsen, H.F.; Reimers, W. Measuring the stress field around an evolving crack in tensile deformed Mg AZ31 using three-dimensional X-ray diffraction. Acta Mater. 2012, 60, 3570–3580. [Google Scholar] [CrossRef]
- Sedmák, P.; Pilch, J.; Heller, L.; Kopeček, J.; Wright, J.; Sedlák, P.; Frost, M.; Šittner, P. Grain-resolved analysis of localized deformation in nickel-titanium wire under tensile load. Science 2016, 353, 559–562. [Google Scholar] [CrossRef]
- Suter, R.M.; Hennessy, D.; Xiao, C.; Lienert, U. Forward modeling method for microstructure reconstruction using X-ray diffraction microscopy: Single-crystal verification. Rev. Sci. Instrum. 2006, 77, 123905. [Google Scholar] [CrossRef]
- Hefferan, C.; Li, S.F.; Lind, J.; Lienert, U.; Rollett, A.D.; Wynblatt, P.; Suter, R. Statistics of high purity nickel microstructure from high energy X-ray diffraction microscopy. Comput. Mater. Contin. 2009, 14, 209–219. [Google Scholar]
- Aydıner, C.C.; Bernier, J.V.; Clausen, B.; Lienert, U.; Tomé, C.N.; Brown, D.W. Evolution of stress in individual grains and twins in a magnesium alloy aggregate. Phys. Rev. B 2009, 80, 024113. [Google Scholar] [CrossRef]
- Bernier, J.V.; Barton, N.R.; Lienert, U.; Miller, M.P. Far-field high-energy diffraction microscopy: A tool for intergranular orientation and strain analysis. J. Strain Anal. Eng. Des. 2011, 46, 527–547. [Google Scholar] [CrossRef]
- Lienert, U.; Li, S.F.; Hefferan, C.M.; Lind, J.; Suter, R.M.; Bernier, J.V.; Barton, N.R.; Brandes, M.C.; Mills, M.J.; Miller, M.P.; et al. High-energy diffraction microscopy at the advanced photon source. JOM 2011, 46, 527–547. [Google Scholar] [CrossRef]
- Li, S.F.; Lind, J.; Hefferan, C.M.; Pokharel, R.; Lienert, U.; Rollett, A.D.; Suter, R.M. Three-dimensional plastic response in polycrystalline copper Via Near-Field High-Energy X-ray Diffr. Microscopy. J. Appl. Crystallogr. 2012, 45, 1098–1108. [Google Scholar] [CrossRef]
- Hefferan, C.M.; Lind, J.; Li, S.F.; Lienert, U.; Rollett, A.D.; Suter, R.M. Observation of recovery and recrystallization in high-purity aluminum measured with forward modeling analysis of high-energy diffraction microscopy. Acta Mater. 2012, 60, 4311–4318. [Google Scholar] [CrossRef]
- Li, S.F.; Suter, R.M. Adaptive reconstruction method for three-dimensional orientation imaging. J. Appl. Crystallogr. 2013, 46, 512–524. [Google Scholar] [CrossRef]
- Pokharel, R.; Lind, J.; Kanjarla, A.K.; Lebensohn, R.A.; Li, S.F.; Kenesei, P.; Suter, R.M.; Rollett, A.D. Polycrystal plasticity: Comparison between grain-scale observations of deformation and simulations. Annu. Rev. Condens. Matter Phys. 2014, 5, 317–346. [Google Scholar] [CrossRef]
- Wang, L.; Lind, J.; Phukan, H.; Kenesei, P.; Park, J.-S.; Suter, R.M.; Beaudoin, A.J.; Bieler, T.R. Mechanical twinning and detwinning in pure Ti during loading and unloading—An in situ high-energy X-ray diffraction microscopy study. Scr. Mater. 2014, 92, 35–38. [Google Scholar] [CrossRef]
- Lind, J.; Li, S.F.; Pokharel, R.; Lienert, U.; Rollett, A.D.; Suter, R.M. Tensile twin nucleation events coupled to neighboring slip observed in three dimensions. Acta Mater. 2014, 76, 213–220. [Google Scholar] [CrossRef]
- Spear, A.D.; Li, S.F.; Lind, J.f.; Suter, R.M.; Ingraffea, A.R. Three-dimensional characterization of microstructurally small fatigue-crack evolution using quantitative fractography combined with post-mortem X-ray tomography and high-energy X-ray diffraction microscopy. Acta Mater. 2014, 76, 413–424. [Google Scholar] [CrossRef]
- Miller, M.P.; Dawson, P.R. Understanding local deformation in metallic polycrystals using high energy X-rays and finite elements. Curr. Opin. Solid State Mater. Sci. 2014, 18, 286–299. [Google Scholar] [CrossRef]
- Shade, P.A.; Blank, B.; Schuren, J.C.; Turner, T.J.; Kenesei, P.; Goetze, K.; Suter, R.M.; Bernier, J.V.; Li, S.F.; Lind, J.; et al. A rotational and axial motion system load frame insert for in situ high energy X-ray studies. Rev. Sci. Instrum. 2015, 86, 093902. [Google Scholar] [CrossRef]
- Schuren, J.C.; Shade, P.A.; Bernier, J.V.; Li, S.F.; Blank, B.; Lind, J.; Kenesei, P.; Lienert, U.; Suter, R.M.; Turner, T.J.; et al. New opportunities for quantitative tracking of polycrystal responses in three dimensions. Curr. Opin. Solid State Mater. Sci. 2015, 19, 235–244. [Google Scholar] [CrossRef]
- Wong, S.L.; Obstalecki, M.; Miller, M.P.; Dawson, P.R. Stress and deformation heterogeneity in individual grains within polycrystals subjected to fully reversed cyclic loading. J. Mech. Phys. Solids. 2015, 79, 157–185. [Google Scholar] [CrossRef]
- Turner, T.; Shade, P.; Bernier, J.; Li, S.F.; Schuren, J.; Kenesei, P.; Suter, R.; Almer, J. Crystal plasticity model validation using combined high-energy diffraction microscopy data for a Ti-7Al specimen. Metall. Mater. Trans. A Phys. Metall. Mater. Sci. 2016, 48, 627–647. [Google Scholar] [CrossRef]
- Pagan, D.C.; Shade, P.A.; Barton, N.R.; Park, J.-S.; Kenesei, P.; Menasche, D.B.; Bernier, J.V. Modeling slip system strength evolution in Ti-7Al informed by in-situ grain stress measurements. Acta Mater. 2017, 128, 406–417. [Google Scholar] [CrossRef]
- Guillen, D.P.; Pagan, D.C.; Getto, E.M.; Wharry, J.P. In situ tensile study of PM-HIP and wrought 316L stainless steel and Inconel 625 alloys with high energy diffraction microscopy. Mater. Sci. Eng. A 2018, 738, 380–388. [Google Scholar] [CrossRef]
- Naragani, D.; Sangid, M.D.; Shade, P.A.; Schuren, J.C.; Sharma, H.; Park, J.-S.; Kenesei, P.; Bernier, J.V.; Turner, T.J.; Parr, I. Investigation of fatigue crack initiation from a non-metallic inclusion via high energy X-ray diffraction microscopy. Acta Mater. 2017, 137, 71–84. [Google Scholar] [CrossRef]
- Pagan, D.C.; Beaudoin, A.J. Utilizing a novel lattice orientation based stress characterization method to study stress fields of shear bands. J. Mech. Phys. Solids. 2019, 128, 105–116. [Google Scholar] [CrossRef]
- Shen, Y.-F.; Liu, H.; Suter, R.M. Voxel-based strain tensors from near-field high energy diffraction microscopy. Curr. Opin. Solid State Mater. Sci. 2020, 24, 100852. [Google Scholar] [CrossRef]
- Naragani, D.; Shade, P.; Musinski, W.; Boyce, D.; Obstalecki, M.; Pagan, D.; Bernier, J.; Beaudoin, A. Interpretation of intragranular strain fields in high-energy synchrotron X-ray experiments via finite element simulations and analysis of incompatible deformation. Mater. Des. 2021, 210, 110053. [Google Scholar] [CrossRef]
- Hayashi, Y.; Hirose, Y.; Setoyama, D. In situ three-dimensional orientation mapping in plastically-deformed polycrystalline iron by three-dimensional X-ray diffraction. Mater. Sci. Forum 2014, 777, 118–123. [Google Scholar] [CrossRef]
- Bonnin, A.; Wright, J.P.; Tucoulou, R.; Palancher, H. Impurity precipitation in atomized particles evidenced by nano X-ray diffraction computed tomography. Appl. Phys. Lett. 2014, 105, 084103. [Google Scholar] [CrossRef]
- Hayashi, Y.; Hirose, Y.; Seno, Y. Polycrystal orientation mapping using scanning three-dimensional X-ray diffraction microscopy. J. Appl. Crystallogr. 2015, 48, 1094–1101. [Google Scholar] [CrossRef]
- Hayashi, Y.; Hirose, Y.; Seno, Y. Scanning three-dimensional X-ray diffraction microscopy using a high-energy microbeam. AIP Conf. Proc. 2016, 1741, 050024. [Google Scholar]
- Hayashi, Y.; Setoyama, D.; Seno, Y. Scanning three-dimensional X-ray diffraction microscopy with a high-energy microbeam at SPring-8. Mater. Sci. Forum 2017, 905, 157–164. [Google Scholar] [CrossRef]
- Hektor, J.; Hall, S.; Henningsson, N.; Engqvist, J.; Ristinmaa, M.; Lenrick, F.; Wright, J. Scanning 3DXRD measurement of grain growth, stress, and formation of Cu6Sn5 around a tin whisker during heat treatment. Materials 2019, 12, 446. [Google Scholar] [CrossRef] [PubMed]
- Hayashi, Y.; Setoyama, D.; Hirose, Y.; Yoshida, T.; Kimura, H. Intragranular three-dimensional stress tensor fields in plastically deformed polycrystals. Science 2019, 366, 1492–1496. [Google Scholar] [CrossRef] [PubMed]
- Henningsson, N.A.; Hall, S.A.; Wright, J.P.; Hektor, J. Reconstructing intragranular strain fields in polycrystalline materials from scanning 3DXRD data. J. Appl. Crystallogr. 2020, 53, 314–325. [Google Scholar] [CrossRef] [PubMed]
- Wright, J.P.; Giacobbe, C.; Majkut, M. New opportunities at the materials science beamline at ESRF to exploit high energy nano-focus X-ray beams. Curr. Opin. Solid State Mater. Sci. 2020, 24, 100818. [Google Scholar] [CrossRef]
- Henningsson, A.; Hendriks, J. Intragranular strain estimation in far-field scanning X-ray diffraction using a Gaussian process. J. Appl. Crystallogr. 2021, 54, 1057–1070. [Google Scholar] [CrossRef]
- Li, W.; Sharma, H.; Peter, K.; Ravi, S.; Sehitoglu, H.; Bucsek, A. Resolving intragranular stress fields in plastically deformed titanium using point-focused high-energy diffraction microscopy. J. Mater. Res. 2023, 38, 165–178. [Google Scholar] [CrossRef]
- Nielsen, S.F.; Wolf, A.; Poulsen, H.F.; Ohler, M.; Lienert, U.; Owen, R.A. A conical slit for three-dimensional XRD mapping. J. Synchrotron Rad. 2000, 7, 103–109. [Google Scholar] [CrossRef]
- Wright, J. ImageD11. 2021. Available online: https://github.com/FABLE-3DXRD/ImageD11/ (accessed on 7 July 2023).
- Wright, J. PolyXSim. 2019. Available online: https://github.com/FABLE-3DXRD/PolyXSim (accessed on 7 July 2023).










Disclaimer/Publisher’s Note: The statements, opinions and data contained in all publications are solely those of the individual author(s) and contributor(s) and not of MDPI and/or the editor(s). MDPI and/or the editor(s) disclaim responsibility for any injury to people or property resulting from any ideas, methods, instructions or products referred to in the content. |
© 2023 by the authors. Licensee MDPI, Basel, Switzerland. This article is an open access article distributed under the terms and conditions of the Creative Commons Attribution (CC BY) license (https://creativecommons.org/licenses/by/4.0/).
Share and Cite
Hayashi, Y.; Kimura, H. Scanning Three-Dimensional X-ray Diffraction Microscopy for Carbon Steels. Quantum Beam Sci. 2023, 7, 23. https://doi.org/10.3390/qubs7030023
Hayashi Y, Kimura H. Scanning Three-Dimensional X-ray Diffraction Microscopy for Carbon Steels. Quantum Beam Science. 2023; 7(3):23. https://doi.org/10.3390/qubs7030023
Chicago/Turabian StyleHayashi, Yujiro, and Hidehiko Kimura. 2023. "Scanning Three-Dimensional X-ray Diffraction Microscopy for Carbon Steels" Quantum Beam Science 7, no. 3: 23. https://doi.org/10.3390/qubs7030023
APA StyleHayashi, Y., & Kimura, H. (2023). Scanning Three-Dimensional X-ray Diffraction Microscopy for Carbon Steels. Quantum Beam Science, 7(3), 23. https://doi.org/10.3390/qubs7030023

