Abstract
Raising the critical current density Jc in magnetic fields is crucial to applications such as rotation machines, generators for wind turbines and magnet use in medical imaging machines. The increase in Jc has been achieved by introducing structural defects including precipitates and vacancies. Recently, a low-energy ion irradiation has been revisited as a practically feasible approach to create nanoscale defects, resulting in an increase in Jc in magnetic fields. In this paper, we report the effect of proton irradiation with 1.5 MeV on superconducting properties of iron–chalcogenide FeSe0.5Te0.5 films through the transport and magnetization measurements. The 1.5 MeV proton irradiation with 1 × 1016 p/cm2 yields the highest Jc increase, approximately 30% at 5–10 K and below 1 T without any reduction in Tc. These results indicate that 1.5 MeV proton irradiations could be a practical tool to enhance the performance of iron-based superconducting tapes under magnetic fields.
1. Introduction
Iron-based superconductors have a reasonably high superconducting transition temperature Tc, very high upper critical magnetic fields Hc2, quite a small anisotropy γ and larger critical grain boundary angle than cuprate superconductors, which make them promising for high-field applications such as superconducting magnet and generators [1,2,3,4,5]. The use of superconducting materials for high field applications is limited by the critical current density Jc in magnetic fields, which can be sustained by pinning the vortices (flux pinning) at structural defects with nano-meter sizes such as cracks, voids, grain boundaries and secondary phases [6,7]. The ion irradiation is a useful tool to generate the desired defect structure. Depending on the ion species, ion energy and the properties of the target materials, ion irradiation enables the creation of defects with well-controlled morphology and density, such as point [8], cluster [9,10,11,12] and columnar [13,14,15] defects. Early works on the ion irradiation of cuprate (Cu–O based) high-Tc superconductors (HTS) for improving Jc in the magnetic field have mostly focused on the high-energy, over hundreds of MeV, heavy ion irradiation [13,14,15]. At this energy range, the irradiation of superconducting materials by the swift heavy ion mainly causes electronic excitation and ionization of the target atoms. As a result, continuous amorphous tracks are formed in a process that can be described as the rapid melting and solidification of nm-sized columns in the path of an ion. Even though the heavy ion tracks proved to be very effective pinning defects, this approach has been limited to fundamental studies of the vortex matter.
Recently, ion irradiation of HTS with a low energy has received a renewed interest as a practical method for increasing Jc in magnetic fields, due to the compact accelerator, lower radioactivity and less costly operation [9,10,11,12]. Low-energy ion irradiation utilizes a different mechanism for the creation of vortex pinning defects. The electronic excitation and ionization are low enough so the heat can dissipate without damaging the materials. The low-energy ion irradiation leads to the collision of the ion with the target atom nuclei, resulting in cascade, point and cluster defects. Matsui et al. demonstrated that 3 MeV Au2+ ion irradiation to 700 nm thick YBCO films yielded an enhancement in the in-field Jc at 77 K of up to a factor of 4 [9]. Equally impressive results in YBCO commercial tape have been reported by Jia et al. using 4 MeV proton [10]. Recently, we reported a route to raise both Tc and Jc in iron-based superconducting FeSe0.5Te0.5 (FST) thin films by low-energy (190 keV) proton irradiation [16,17]. The 190 keV proton irradiation yields the increase in Tc due to the nanoscale compressive strain induced by cascade defects. The irradiation also induced a near doubling of Jc at 4.2 K from the self-field to 35 T through strong vortex pinning by the cascade defects and surrounding nanoscale strain.
In this paper, we report the effect of 1.5 MeV proton irradiation on iron–chalcogenide FST superconducting films. We report the performance of irradiated samples at different temperatures in a magnetic field up to 9 T. We show that 1.5 MeV protons clearly enhance Jc in magnetic fields <1 T with no subsequent reduction in Tc. However, we did not observe a reproducible positive effect in the magnetic fields >1 T. The results are discussed in terms of the spatial distribution of defects produced by fast protons.
2. Materials and Methods
All films in this study were deposited by the pulsed laser deposition (PLD) method using a Nd:YAG laser (λ = 266 nm). We first grew a CeO2 layer with a thickness of about 80–100 nm on SrTiO3 single-crystal substrate at a substrate temperature of 600–650 °C and oxygen partial pressure of ~115 mTorr. Then, 100–130 nm thick FST films were grown on CeO2 buffer layers. During the deposition of FST films, the substrate temperature and oxygen partial pressure were kept at 300–360 °C and ~1 × 10–6 Torr, respectively.
Superconducting transport properties were measured using the conventional four-probe method in a physical property measurement system (PPMS, Quantum Design). Tc,10 and Jc were determined from the ρT and I–V curves using 0.1 ρn and 1 μV/cm criteria, respectively. Here, ρn means the normal state resistivity above the transition temperature. The current was applied perpendicularly to the magnetic field. The magnetization was measured using a superconducting quantum interference device (SQUID, Quantum Design) magnetometer. Two FST films (sample A and B) were fabricated under the same deposition condition for different irradiation conditions. Each FST film was cut into 3 pieces: one for magnetization measurement before and after irradiation with same film, another for transport measurement before irradiation (pristine) and the other for transport measurement after irradiation (irradiated).
The FST films were irradiated with 1.5 MeV proton doses of 1 × 1015 and 1 × 1016 p/cm2 in vacuum at room temperature using the 5 MV tandem accelerator of the Wakasa Wan Energy Research Center (WERC). The samples were mounted on a copper plate with a double-faced carbon tape. The incident angle of ions was set as normal to the film surface. The flux was kept around 3.2 × 1012 p/cm2·s, corresponding to a beam current density of ~500 nA/cm2. The surface temperature was monitored by a thermocouple. The surface temperature during the irradiation remained below 40 °C.
Prior to the ion irradiation experiment, we ran Stopping and Range of Ions in Matter (SRIM) [18] to estimate ion range and damage profile in our experiment. Based on the simulation results, 1 × 1015 and 1 × 1016 p/cm2 are estimated to be ~3.2 × 10–5 and ~3.2 × 10–4 dpa (displacement per atm), respectively.
3. Results and Discussion
3.1. Magnetic Measurements
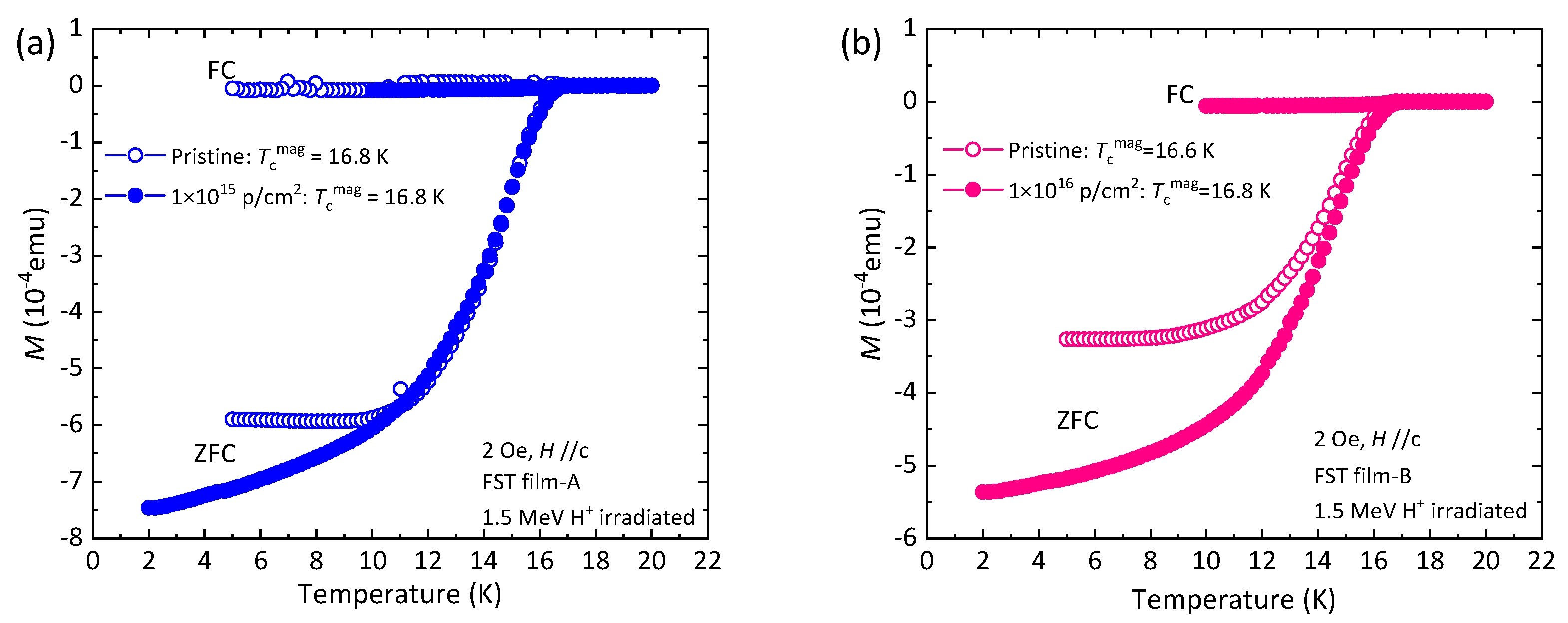
Figure 1a,b compare the temperature dependence of magnetic moment M with H//c for two FST films (film-A and film-B) before and after irradiation with 1 × 1015 and 1 × 1016 p/cm2 dose, respectively. Both the zero-field-cooled (ZFC) and field-cooled (FC) magnetizations in 2 Oe magnetic field parallel to the c-axis indicate the appearance of superconductivity (obtained by the bifurcation of ZFC and FC) in pristine FST films at 16.8 K for film-A and 16.6 K for film-B. After the irradiation, the superconducting transitions occurred at 16.8 K for film-A and 16.8 K for film-B, indicating that 1.5 MeV proton irradiations with 1 × 1015 and 1 × 1016 p/cm2 dose have little impact on Tcmag. However, the diamagnetic signal was enhanced with a sharper superconducting transition in the FST film-B irradiated with 1 × 1016 p/cm2 dose. A degradation of Tc after the ion irradiation is commonly reported in iron-based superconductors [19], although there have been a few reports on an increased Tc in iron-based superconductors irradiated with proton and electron [16,20,21]. In previous work, the Fe(Se,Te) films were covered by Al foil with 80 μm thickness and irradiated with 3.5 MeV protons at doses of 2.68 × 1016 and 5.35 × 1016 p/cm2, corresponding to 2.30 × 10–3 and 4.59 × 10–3 dpa, respectively [22,23,24]. The average bombarding energy of the protons on the Fe(Se,Te) film was calculated to be 1.43 ± 0.07 MeV. As a result, the irradiations to doses of 2.68 × 1016 and 5.35 × 1016 p/cm2 slightly suppressed Tc from 17.7 K for pristine film to 17.3 K and 17.1 K, respectively. Given these results, the primary reason of the almost same Tcs before and after the irradiation in our study would be a lower fluence than that in the previous works.
Figure 1.
Temperature dependences of magnetic moment M for both zero-field-cooled (ZFC) and field-cooled (FC) process at a magnetic field of H = 2 Oe applied along the c-axis for FST films before and after 1.5 MeV proton irradiation with (a) 1 × 1015 and (b) 1 × 1016 p/cm2 dose, respectively.
Figure 2 shows the magnetic field dependence of Jc for the FST film-B at 5, 8, 10 K before and after 1.5 MeV proton irradiation at a dose of 1 × 1016 p/cm2. The Jc was estimated from the magnetization hysteresis (M–H) loops using the critical-state Bean model [25,26]. For a rectangular prism-shaped crystal of dimensions a < b, we obtained the in-plane critical current density Jcab in the magnetic field parallel to the c-axis as Jcab = 20ΔM/(a(1 − a/3b)), where ΔM is the difference in magnetization M(emu/cm3) between the top and bottom branches of the M-H loop. In the inset of Figure 2, the M–H loop in FST film-B at 5 K before and after the irradiation of a dose of 1 × 1016 p/cm2 is plotted. A large irreversibility is noticeable up to around 4 T at 5 K. We attained a 30% increase in Jc in the magnetic field below 1 T, which indicates that the irradiation defects contribute to vortex pinning. In contrast, we observed almost no change in the in-field Jc above 1 T. Irradiation with MeV protons could produce mostly random point defects and nanocluster [27] due to ion–nucleus collisions. Sylva et al. reported that 3.5 MeV proton irradiation with 6.40 × 1016 p/cm2 dose (corresponding to 2.27 × 10–3 dpa) yields Jc improvement of about 40% at 4.2 K and 7 T with respect to the pristine film almost without a decrease in Tc [22]. On the contrary, Jc of 3.5 MeV proton irradiated Fe(Se,Te) films covered with 80 μm thick Al foil decreased by up to 80% after irradiation at 4.2 K. The in-field Jc performance in the irradiated FST films in our study could be attributed to the small number of vortex pinning defects created by the irradiation at low fluence.
Figure 2.
Magnetic field dependence of critical current density Jcab(H) at 5, 8 and 10 K calculated using the critical-state Bean model for FST film-B pre- and post- 1.5 MeV proton irradiation with 1 × 1016 p/cm2 dose. The inset shows magnetic hysteresis loop under H//c at 5 K.
3.2. Transport Measurement
In transport measurements, the current is forced to flow through the sample in a particular direction, enabling the direct characterization of superconductivity as a function of temperature, applied magnetic field and field angle. However, we observed an obvious degradation of superconducting properties in the transport measurement of the FST film-B. This could be due to sample degradation, sample handling during mounting and unmounting in a measurement system and possible damage by the laser cutting for patterning the bridge on FST films. In this section, we refer to the FST film-A. Figure 3 presents the temperature dependence of the electrical resistivity before and after irradiation for FST film-A with 1 × 1015 p/cm2 dose of 1.5 MeV proton. The FST films before and after the irradiation showed metallic behavior below 200 K. Additionally, 1.5 MeV proton irradiation with 1 × 1015 p/cm2 dose has little effect on normal-state resistivity due to the low dpa. On the contrary, the normal-state resistivity shows nearly upwards parallel-shift upon 6 MeV Au-ion irradiation with a dose of 1 × 1012 Au/cm2, corresponding to 6.42 × 10–3 dpa [11]. We observed no change in Tc,10 (=17.5 K) before and after the 1.5 MeV protons irradiation with 1 × 1015 p/cm2 dose. This could be due to the low fluence, i.e., low dpa.
Figure 3.
Temperature dependences of electrical resistivity at 0 T for the FST film-A before and after 1.5 MeV proton irradiation with 1 × 1015 p/cm2 dose. Inset shows a magnified temperature region near Tc.
Figure 4 presents the magnetic field dependence of transport critical current density Jc with H//c for the FST film-A before and after irradiation with 1.5 MeV protons to a dose of 1 × 1015 p/cm2 at 4.2 K. Comparing Jcs obtained from magnetization and transport measurements, the values of Jc obtained from transport measurement are larger than those of Jc calculated from magnetization measurement. This would come from the difference of criterion to determine the Jc values. The positive effect of the proton irradiation on Jc at 4.2 K is unambiguous in the magnetic field below 1 T. As the magnetic field increased, the difference between pristine and the irradiated FST film became smaller. Similar behavior was observed in Jc(H) (calculated from magnetization measurement in Figure 2) for FST film-B irradiated with 1 × 1016 p/cm2 dose.
Figure 4.
Magnetic field dependence of critical current density Jc obtained from transport measurement at 4.2 K for FST film-A pre- and post-1.5 MeV proton irradiation with 1 × 1015 p/cm2 dose.
A more detailed representation of the pinning efficiency can be obtained from the angular dependence of Jc. We show Jc(θ) for the FST film-A irradiated with 1 × 1015 p/cm2 dose of 1.5 MeV proton beam under 1 and 3 T at 4.2K in Figure 5. The pristine film has a less-anisotropic Jc angular dependence at 1 and 3 T without a prominent Jc peak at H//c, which is often observed in YBa2Cu3Oy films [28]. A small Jc-anisotropy, γJc (JcH//ab/JcH//c), of 1.7 is observed at 1 T. This value is smaller than the value of Fe(Se,Te) films grown on Fe-buffered MgO substrates (γJc = 2.6) [29] while it is larger than the value of Fe(Se,Te) films grown on CaF2 substrates [30,31]. These differences might arise from the difference of the substrate and buffer layer. Upon irradiation with 1.5 MeV proton, the Jc increases for most of the field orientations, retaining a small γJc of 1.7 at 1 T, indicating that the vortex pinning defects would be less anisotropic and randomly distributed. At 3 T, there is a significant decrease in Jc in the angular range ±30° from H//ab. Iron-based and cuprate high-temperature superconductors commonly possess inherent layered structures, consisting of alternating conducting and insulating atomic planes. In general, the strong Jc peak for H//ab could be ascribed to the vortex pinning by the intrinsic pinning and planar defects such as intergrowths and stacking faults, parallel to the ab plane [32,33,34,35]. In the iron–chalcogenide Fe(Se,Te) compound, which is composed of only the Fe–Se(Te) layer, Jc(θ) has a maximum at H//ab due to intrinsic pinning from the Fe–Se(Te) intralayer and Van der Waals interlayer couplings [29,34,35]. Hence, the Jc suppression at around H//ab would occur because of the reduction in the density of intrinsic pinning upon the irradiation.
Figure 5.
Angular field dependence of the critical current density Jc obtained from transport measurement for FST film-A before and after 1.5 MeV proton irradiation with 1 × 1015 p/cm2 dose measured at 4.2 K under 1 and 3 T.
4. Conclusions
We conclude a study on the effect of 1.5 MeV proton irradiation on superconducting properties of FST films. Upon the irradiation up to 1 × 1016 p/cm2 dose, Tc remains virtually unchanged in magnetization as well as in transport measurement. An approximately 30% enhancement of Jc in the magnetic field below 1 T is observed using 1.5 MeV proton irradiation with 1 × 1016 p/cm2. Transport properties of a pristine film and an irradiated film with a fluence of 1 × 1015 p/cm2 show a small anisotropy of Jc in the applied magnetic field range at 4.2 K. The enhancement of Jc for almost all the field orientations was accomplished by the irradiation at a dose of 1 × 1015 p/cm2 at 4.2 K and 1 T. These results indicate that 1.5 MeV proton irradiation is effective in providing less anisotropic pinning defects in the magnetic field below 1 T in iron–chalcogenide superconducting films. Additionally, by fine tuning an irradiation fluence of proton, superconducting properties can be further improved.
Author Contributions
Conceptualization, T.O.; sample preparation, T.K. and T.O.; ion irradiation, R.I., T.K. and T.O.; transport measurement, T.K., I.K. and T.O.; magnetization measurement, T.O. and T.K.; data curation, T.K. and T.O.; writing—original draft preparation, T.O.; writing—review and editing, I.K. and R.I. All authors have read and agreed to the published version of the manuscript.
Funding
This work was partly supported by Foundation of Kinoshita Memorial Enterprise.
Acknowledgments
This research has been performed under the collaboration program between Kwansei Gakuin University, Kyoto University and Wakasa Wan Energy Research Center.
Conflicts of Interest
The authors declare no conflict of interest.
References
- Putti, M.; Pallecchi, I.; Bellingeri, E.; Cimberle, M.R.; Tropeano, M.; Ferdeghini, C.; Palenzona, A.; Tarantini, C.; Yamamoto, A.; Jiang, J.; et al. New Fe-based superconductors: Properties relevant for applications. Supercond. Sci. Technol. 2010, 23, 034003. [Google Scholar] [CrossRef]
- Gurevich, A. Iron-based superconductors at high magnetic fields. Rep. Prog. Phys. 2011, 74, 124501. [Google Scholar] [CrossRef]
- Katase, T.; Ishimaru, Y.; Tsukamoto, A.; Hiramatsu, H.; Kamiya, T.; Tanabe, K.; Hosono, H. Advantageous grain boundaries in iron pnictide superconductors. Nat. Commun. 2011, 2, 409. [Google Scholar] [CrossRef] [PubMed]
- Si, W.; Zhang, C.; Shi, X.; Ozaki, T.; Jaroszynski, J.; Li, Q. Grain boundary junctions of FeSe0.5Te0.5 thin films on SrTiO3 bi-crystal substrates. Appl. Phys. Lett. 2015, 106, 032602. [Google Scholar] [CrossRef]
- Iida, K.; Hänisch, J.; Yamamoto, A. Grain boundary characteristics of Fe-based superconductors. Supercond. Sci. Technol. 2020, 33, 043001. [Google Scholar] [CrossRef]
- Larbalestier, D.; Gurevich, A.; Feldmann, D.M.; Polyanskii, A. High-Tc superconducting materials for electric power applications. Nature 2001, 414, 368. [Google Scholar] [CrossRef] [PubMed]
- Foltyn, S.R.; Civale, L.; MacManus-Driscoll, J.L.; Jia, Q.X.; Maiorov, B.; Wang, H.; Maley, M. Materials science challenges for high-temperature superconducting wire. Nat. Mater. 2007, 6, 631. [Google Scholar] [CrossRef] [PubMed]
- Kirk, M.A. Structure and flux pinning properties of irradiation defects in YBa2Cu3O7−x. Cryogenics 1993, 33, 235. [Google Scholar] [CrossRef]
- Matsui, H.; Ogiso, H.; Yamasaki, H.; Kumagai, T.; Sohma, M.; Yamaguchi, I.; Manabe, T. 4-fold enhancement in the critical current density of YBa2Cu3O7 films by practical ion irradiation. Appl. Phys. Lett. 2012, 101, 232601. [Google Scholar] [CrossRef]
- Jia, Y.; LeRoux, M.; Miller, D.J.; Wen, J.G.; Kwok, W.K.; Welp, U.; Rupich, M.W.; Li, X.; Sathyamurthy, S.; Fleshler, S.; et al. Doubling the critical current density of high temperature superconducting coated conductors through proton irradiation. Appl. Phys. Lett. 2013, 103, 122601. [Google Scholar] [CrossRef]
- Ozaki, T.; Wu, L.; Zhang, C.; Si, W.; Jie, Q.; Li, Q. Enhanced critical current in superconducting FeSe0.5Te0.5 films at all magnetic field orientations by scalable gold ion irradiation. Supercond. Sci. Technol. 2018, 31, 024002. [Google Scholar]
- Zhang, Y.; Rupich, M.W.; Solovyov, V.; Li, Q.; Goyal, A. Dynamic behavior of reversible oxygen migration in irradiated-annealed high temperature superconducting wires. Sci. Rep. 2020, 10, 14848. [Google Scholar] [CrossRef]
- Sueyoshi, T.; Kotaki, T.; Furuki, Y.; Fujiyoshi, T.; Semboshi, S.; Ozaki, T.; Sakane, H.; Kudo, M.; Yasuda, K.; Ishikawa, N. Strong flux pinning by columnar defects with directionally dependent morphologies in GdBCO-coated conductors irradiated with 80 MeV Xe ions. Jpn. J. Appl. Phys. 2020, 59, 023001. [Google Scholar] [CrossRef]
- Civale, L. Vortex pinning and creep in high-temperature superconductors with columnar defects. Supercond. Sci. Technol. 1997, 10, A11. [Google Scholar] [CrossRef]
- Kirk, M.A.; Yan, Y. Structure and properties of irradiation defects in YBa2Cu3O7−x. Micron 1999, 30, 507. [Google Scholar] [CrossRef]
- Ozaki, T.; Wu, L.; Zhang, C.; Jaroszynski, J.; Si, W.; Zhou, J.; Zhu, Y.; Li, Q. A route for a strong increase of critical current in nanostrained iron-based superconductors. Nat. Commun. 2016, 7, 13036. [Google Scholar] [CrossRef] [PubMed]
- Ozaki, T.; Wu, L.; Gu, G.; Li, Q. Ion irradiation of iron chalcogenide superconducting films. Supercond. Sci. Technol. 2020, 33, 094008. [Google Scholar] [CrossRef]
- Ziegler, J.F.; Biersack, J.P.; Littmark, U. The Stopping and Range of Ions in Solids; Pergamon: Oxford, UK, 1985. [Google Scholar]
- Eisterer, M. Radiation effects on iron-based superconductors. Supercond. Sci. Technol. 2018, 31, 013001. [Google Scholar] [CrossRef]
- Teknowijoyo, S.; Cho, K.; Tanatar, M.A.; Gonzales, J.; Böhmer, A.E.; Cavani, O.; Mishra, V.; Hirschfeld, P.J.; Bud’ko, S.L.; Canfield, P.C.; et al. Enhancement of superconducting transition temperature by pointlike disorder and anisotropic energy gap in FeSe single crystals. Phys. Rev. B 2016, 94, 064521. [Google Scholar] [CrossRef]
- Mizukami, Y.; Konczykowski, M.; Matsuura, K.; Watashige, T.; Kasahara, S.; Matsuda, Y.; Shibauchi, T. Impact of Disorder on the Superconducting Phase Diagram in BaFe2(As1−xPx)2. J. Phys. Soc. Jpn. 2017, 86, 083706. [Google Scholar] [CrossRef]
- Sylva, G.; Bellingeri, E.; Ferdeghini, C.; Martinelli, A.; Pallecchi, I.; Pellegrino, L.; Putti, M.; Ghigo, G.; Gozzelino, L.; Torsello, D.; et al. Effects of high-energy proton irradiation on the superconducting properties of Fe(Se, Te) thin films. Supercond. Sci. Technol. 2018, 31, 054001. [Google Scholar] [CrossRef]
- Leo, A.; Sylva, G.; Braccini, V.; Bellingeri, E.; Martinelli, A.; Pallecchi, I.; Ferdeghini, C.; Pellegrino, L.; Putti, M.; Ghigo, G.; et al. Anisotropic Effect of Proton Irradiation on Pinning Properties of Fe(Se, Te) Thin Films. IEEE Trans. Appl. Supercond. 2019, 21, 6601904. [Google Scholar] [CrossRef]
- Leo, A.; Grimaldi, G.; Nigro, A.; Ghigo, G.; Gozzelino, L.; Torsello, D.; Braccini, V.; Sylva, G.; Ferdeghini, C.; Putti, M. Critical current anisotropy in Fe(Se, Te) films irradiated by 3.5 MeV protons. J. Phys. Conf. Ser. 2020, 1559, 012042. [Google Scholar] [CrossRef]
- Bean, C.P. Magnetization of Hard Superconductors. Phys. Rev. Lett. 1962, 8, 250. [Google Scholar] [CrossRef]
- Bean, C.P. Magnetization of High-Field Superconductors. Rev. Mod. Phys. 1964, 36, 31. [Google Scholar] [CrossRef]
- Haberkorn, N.; Maiorov, B.; Usov, I.O.; Weigand, M.; Hirata, W.; Miyasaka, S.; Tajima, S.; Chikumoto, N.; Tanabe, K.; Civale, L. Influence of random point defects introduced by proton irradiation on critical current density and vortex dynamics of Ba(Fe0.925Co0.075)2As2 single crystals. Phys. Rev. B 2012, 82, 180520. [Google Scholar]
- Civale, L.; Maiorov, B.; Serquis, A.; Willis, J.O.; Coulter, J.Y.; Wang, H.; Jia, Q.X.; Arendt, P.N.; MacManus-Driscoll, J.L.; Maley, M.P.; et al. Angular-dependent vortex pinning mechanisms in YBa2Cu3O7 coated conductors and thin films. Appl. Phys. Lett. 2004, 84, 2121. [Google Scholar] [CrossRef]
- Iida, K.; Hänisch, J.; Schulze, M.; Aswartham, S.; Wurmehl, S.; Bűchner, B.; Schultz, L.; Holzapfel, B. Generic Fe buffer layers for Fe-based superconductors: Epitaxial FeSe1-xTex thin films. Appl. Phys. Lett. 2011, 99, 202503. [Google Scholar] [CrossRef]
- Yuan, P.; Xu, Z.; Ma, Y.; Sun, Y.; Tamegai, T. Angular-dependent vortex pinning mechanism and magneto-optical characterizations of FeSe0.5Te0.5 thin films grown on CaF2 substrates. Supercond. Sci. Technol. 2016, 29, 035013. [Google Scholar] [CrossRef]
- Braccini, V.; Kawale, S.; Reich, E.; Bellingeri, E.; Pellegrino, L.; Sala, A.; Putti, M.; Higashikawa, K.; Kiss, T.; Holzapfel, B.; et al. Highly effective and isotropic pinning in epitaxial Fe(Se, Te) thin films grown on CaF2 substrates. Appl. Phys. Lett. 2013, 103, 172601. [Google Scholar] [CrossRef]
- Spechta, E.D.; Goyal, A.; Li, J.; Martin, P.M.; Li, X.; Rupich, M.W. Stacking faults in YBa2Cu3O7-x: Measurement using x-ray diffraction and effects on critical current. Appl. Phys. Lett. 2006, 89, 162510. [Google Scholar] [CrossRef]
- Civale, L.; Maiorov, B.; MacManus-Driscoll, J.L.; Wang, H.; Holesinger, T.G.; Foltyn, S.R.; Serquis, A.; Arendt, P.N. Identification of Intrinsic ab-Plane Pinning in YBa2Cu3O7 Thin Films and Coated Conductors. IEEE Trans. Appl. Supercond. 2005, 15, 2808. [Google Scholar] [CrossRef]
- Iida, K.; Hänisch, J.; Reich, E.; Kurth, F.; Hühne, R.; Schultz, L.; Holzapfel, B. Intrinsic pinning and the critical current scaling of clean epitaxial Fe(Se, Te) thin films. Phys. Rev. B 2013, 87, 104510. [Google Scholar] [CrossRef]
- Grimaldi, G.; Leo, A.; Nigro, A.; Pace, S.; Braccini, V.; Bellingeri, E.; Ferdeghini, C. Angular dependence of vortex instability in a layered superconductor: The case study of Fe(Se, Te) material. Sci. Rep. 2018, 8, 4150. [Google Scholar] [CrossRef] [PubMed]
Publisher’s Note: MDPI stays neutral with regard to jurisdictional claims in published maps and institutional affiliations. |
© 2021 by the authors. Licensee MDPI, Basel, Switzerland. This article is an open access article distributed under the terms and conditions of the Creative Commons Attribution (CC BY) license (https://creativecommons.org/licenses/by/4.0/).




