Modification of Critical Current Density Anisotropy in High-Tc Superconductors by Using Heavy-Ion Irradiations
Abstract
1. Introduction
2. Experimental
3. Results and Discussion
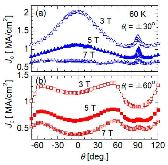
3.1. Modification of Jc Around B || c by Controlling Heavy-Ion Irradiation Angles
3.2. Modification of Jc Anisotropy by Controlling Number of Heavy-Ion Irradiation Directions
3.3. Modification of Jc Around B || ab by Controlling Heavy-Ion Irradiation Directions
3.4. Modification of Jc at B || ab by Heavy-Ion Irradiation along the a-Axis
3.5. Modification of the Jc Anisotropy by Controlling the Heavy-Ion Irradiation Energy
4. Conclusions
Author Contributions
Funding
Data Availability Statement
Acknowledgments
Conflicts of Interest
References
- Obradors, X.; Puig, T. Coated conductors for power applications: Materials challenges. Supercond. Sci. Technol. 2014, 27, 044003. [Google Scholar] [CrossRef]
- Shiohara, Y.; Yoshizumi, M.; Takagi, Y.; Izumi, T. Future prospects of high Tc superconductors-coated conductors and their applications. Physica C 2013, 484, 1–5. [Google Scholar] [CrossRef]
- Matsumoto, K.; Mele, P. Artificial pinning center technology to enhance vortex pinning in YBCO coated conductors. Supercond. Sci. Technol. 2010, 23, 014001. [Google Scholar] [CrossRef]
- Blatter, G.; Feigelman, M.V.; Geshkenbein, V.B.; Larkin, A.I.; Vinokur, V.M. Vortices in high-temperature superconductors. Rev. Mod. Phys. 1994, 66, 1125–1388. [Google Scholar] [CrossRef]
- Awaji, S.; Namba, M.; Watanabe, K.; Kai, H.; Mukaida, M.; Okayasu, S. Flux pinning properties of correlated pinning at low temperatures in ErBCO films with inclined columnar defects. J. Appl. Phys. 2012, 111, 013914. [Google Scholar] [CrossRef]
- Foltyn, S.R.; Civale, L.; MacManus-Driscoll, J.L.; Jia, Q.X.; Maiorov, B.; Wang, H.; Maley, M. Materials science challenges for high-temperature superconducting wire. Nat. Mater. 2007, 6, 631–642. [Google Scholar] [CrossRef] [PubMed]
- Feighan, J.P.F.; Kursumovic, A.; MacManus-Driscoll, J.L. Materials design for artificial pinning centers in superconductor PLD coated conductors. Supercond. Sci. Technol. 2017, 30, 123001. [Google Scholar] [CrossRef]
- MacManus-Driscoll, J.L.; Foltyn, S.R.; Jia, Q.X.; Wang, H.; Serquis, A.; Civale, L.; Maiorov, B.; Hawley, M.E.; Maley, M.P.; Peterson, D.E. Strongly enhanced current densities in superconducting coated conductors of YBa2Cu3O7−x+BaZrO3. Nat. Mater. 2004, 3, 439–443. [Google Scholar] [CrossRef]
- Gapud, A.A.; Kumar, D.; Viswanathan, S.K.; Cantoni, C.; Varela, M.; Abiade, J.; Pennycook, S.J.; Christen, D.K. Enhancement of flux pinning in YBa2Cu3O7 thin films embedded with epitaxially grown Y2O3 nanostructures using a multi-layering process. Supercond. Sci. Technol. 2005, 18, 1502–1505. [Google Scholar] [CrossRef]
- Mele, P.; Matsumoto, K.; Horide, T.; Ichinose, A.; Mukaida, M.; Yoshida, Y.; Horii, S.; Kita, R. Ultra-high flux pinning properties of BaMO3-doped YBa2Cu3O7-x thin films (M = Zr, Sn). Supercond. Sci. Technol. 2008, 21, 032002. [Google Scholar] [CrossRef]
- Miura, S.; Tsuchiya, Y.; Yoshida, Y.; Ichino, Y.; Awaji, S.; Matsumoto, K.; Ibi, A.; Izumi, T. Strong flux pinning at 4.2 K in SmBa2Cu3Oy coated conductors with BaHfO3 nanorods controlled by low growth temperature. Supercond. Sci. Technol. 2017, 30, 084009. [Google Scholar] [CrossRef]
- Mele, P.; Guzman, R.; Gazquez, J.; Puig, T.; Obradors, X.; Saini, S.; Yoshida, Y.; Mukaida, M.; Ichinose, A.; Matsumoto, K.; et al. High pinning performance of YBa2Cu3O7−x films added with Y2O3 nanoparticulate defects. Supercond. Sci. Technol. 2015, 28, 024002. [Google Scholar] [CrossRef]
- Civale, L.; Marwick, A.D.; Worthington, T.K.; Kirk, M.A.; Thompson, J.R.; Krusin-Elbaum, L.; Sun, Y.; Clem, J.R.; Holtzberg, F. Vortex confinement by columnar defects in YBa2Cu3O7 crystals: Enhanced pinning at high fields and temperatures. Phys. Rev. Lett. 1991, 67, 648–651. [Google Scholar] [CrossRef] [PubMed]
- Budhani, R.C.; Suenaga, M.; Liou, S.H. Giant suppression of flux-flow resistivity in heavy-ion irradiated Tl2Ba2Ca2Cu3O10 films: Influence of linear defects on vortex transport. Phys. Rev. Lett. 1992, 69, 3816–3819. [Google Scholar] [CrossRef] [PubMed]
- Matsushita, T.; Isobe, G.; Kimura, K.; Kiuchi, M.; Okayasu, S.; Prusseit, W. The effect of heavy ion irradiation on the critical current density in DyBCO coated conductors. Supercond. Sci. Technol. 2008, 21, 054014. [Google Scholar] [CrossRef]
- Holzapfel, B.; Kreiselmeyer, G.; Kraus, M.; Saemann-Ischenko, G.; Bouffard, S.; Klaumunzer, S.; Schultz, L. Angle-resolved critical transport-current density of YBa2Cu3O7−δ thin films and YBa2Cu3O7−δ/PrBa2Cu3O7−δ superlattices containing columnar defects of various orientations. Phys. Rev. B 1993, 48, 600–603. [Google Scholar] [CrossRef]
- Zhu, Y.; Cai, Z.X.; Budhani, R.C.; Suenaga, M.; Welch, D.O. Structures and effects of radiation damage in cuprate superconductors irradiated with several-hundred-MeV heavy ions. Phys. Rev. B 1993, 48, 6436–6450. [Google Scholar] [CrossRef]
- Kuroda, N.; Ishikawa, N.; Chimi, Y.; Iwase, A.; Ikeda, H.; Yoshizaki, R.; Kambara, T. Effects of defect morphology on the properties of the vortex system in Bi2Sr2CaCu2O8+δ irradiated with heavy ions. Phys. Rev. B 2001, 63, 224502. [Google Scholar] [CrossRef]
- Fuchs, G.; Nenkov, K.; Krabbes, G.; Weinstein, R.; Gandini, A.; Sawh, R.; Mayes, B.; Parks, D. Strongly enhanced irreversibility fields and Bose-glass behaviour in bulk YBCO with discontinuous columnar irradiation defects. Supercond. Sci. Technol. 2007, 20, S197–S204. [Google Scholar] [CrossRef]
- Strickland, N.M.; Talantsev, E.F.; Long, N.J.; Xia, J.A.; Searle, S.D.; Kennedy, J.; Markwitz, A.; Rupich, M.W.; Li, X.; Sathyamurthy, S. Flux pinning by discontinuous columnar defects in 74 MeV Ag-irradiated YBa2Cu3O7 coated conductors. Physica C 2009, 469, 2060–2067. [Google Scholar] [CrossRef]
- Matsumoto, K.; Tanaka, I.; Horide, T.; Mele, P.; Yoshida, Y.; Awaji, S. Irreversibility fields and critical current densities in strongly pinned YBa2Cu3O7-x films with BaSnO3 nanorods: The influence of segmented BaSnO3 nanorods. J. Appl. Phys. 2014, 116, 163903. [Google Scholar] [CrossRef]
- Horide, T.; Sakamoto, N.; Ichinose, A.; Otsubo, K.; Kitamura, T.; Matsumoto, K. Hybrid artificial pinning centers of elongated-nanorods and segmented-nanorods in YBa2Cu3O7 films. Supercond. Sci. Technol. 2016, 29, 105010. [Google Scholar] [CrossRef]
- Chikumoto, N.; Konczykowski, M.; Terai, T.; Murakami, M. Modification of flux pinning properties of RE-Ba-Cu-O superconductors by irradiation. Supercond. Sci. Technol. 2000, 13, 749–752. [Google Scholar] [CrossRef]
- Nakashima, N.; Chikumoto, N.; Ibi, A.; Miyata, S.; Yamada, Y.; Kubo, T.; Suzuki, A.; Terai, T. Effect of ion-irradiation and annealing on superconductive property of PLD prepared YBCO tapes. Physica C 2007, 463–465, 665–668. [Google Scholar] [CrossRef]
- Sueyoshi, T.; Kotaki, T.; Furuki, Y.; Uraguchi, Y.; Kai, T.; Fujiyoshi, T.; Shimada, Y.; Yasuda, K.; Ishikawa, N. Influence of discontinuous columnar defects on flux pinning properties in GdBCO coated conductors. IEEE Trans. Appl. Supercond. 2015, 25, 6603004. [Google Scholar] [CrossRef]
- Horide, T.; Kametani, F.; Yoshioka, S.; Kitamura, T.; Matsumoto, K. Structural evolution induced by interfacial lattice mismatch in self-organized YBa2Cu3O7-δ nanocomposite film. ACS Nano 2017, 11, 1780–1788. [Google Scholar] [CrossRef]
- Sueyoshi, T.; Furuki, Y.; Kai, T.; Fujiyoshi, T.; Ishikawa, N. Flux Pinning properties of splayed columnar defects ranging from B || c-axis to B || ab-plane in GdBCO coated conductors. Physica C 2014, 504, 53–56. [Google Scholar] [CrossRef]
- Sueyoshi, T.; Sogo, T.; Nishimura, T.; Fujiyoshi, T.; Mitsugi, T.; Ikegami, T.; Awaji, S.; Watanabe, K.; Ichinose, A.; Ishikawa, N. Angular behaviour of critical current density in YBa2Cu3Oy thin films with crossed columnar defects. Supercond. Sci. Technol. 2016, 29, 065023. [Google Scholar] [CrossRef]
- Awaji, S.; Namba, M.; Watanabe, K.; Miura, M.; Yoshida, Y.; Ichino, Y.; Takai, Y.; Matsumoto, K. c-axis correlated pinning behavior near the irreversibility fields. Appl. Phys. Lett. 2007, 90, 122501. [Google Scholar] [CrossRef]
- Awaji, S.; Namba, M.; Watanabe, K.; Nojima, T.; Okayasu, S.; Horide, T.; Mele, P.; Matsumoto, K.; Miura, M.; Ichino, Y. Vortex pinning phase diagram for various kinds of c-axis correlated disorders in RE123 films. J. Phys. Conf. Ser. 2008, 97, 012328. [Google Scholar] [CrossRef]
- Civale, L.; Maiorov, B.; Serquis, A.; Willis, J.O.; Coulter, J.Y.; Wang, H.; Jia, Q.X.; Arendt, P.N.; MacManus-Driscoll, J.L.; Maley, M.P.; et al. Angular-dependent vortex pinning mechanisms in YBa2Cu3O7 coated conductors and thin films. Appl. Phys. Lett. 2004, 84, 2121–2123. [Google Scholar] [CrossRef]
- Sueyoshi, T.; Nishimura, T.; Fujiyoshi, T.; Mitsugi, F.; Ikegami, T.; Ishikawa, N. High flux pinning efficiency by columnar defects dispersed in three directions in YBCO thin films. Supercond. Sci. Technol. 2016, 29, 105006. [Google Scholar] [CrossRef]
- Schuster, T.; Indenbom, M.V.; Kuhn, H.; Kronmuller, H.; Leghissa, M.; Kreiselmeyer, G. Observation of in-plane anisotropy of vortex pinning by inclined columnar defects. Phys. Rev. B 1994, 50, 9499–9502. [Google Scholar] [CrossRef] [PubMed]
- Hwa, T.; Doussal, P.L.; Nelson, D.R.; Vinokur, V.M. Flux pinning and forced vortex entanglement by splayed columnar defects. Phys. Rev. Lett. 1993, 71, 3545–3548. [Google Scholar] [CrossRef] [PubMed]
- Takahashi, A.; Pyon, S.; Kambara, T.; Yoshida, A.; Tamegai, T. Effects of Asymmetric splayed columnar defects on the anomalous peak effect in Ba0.6K0.4Fe2As2. J. Phys. Soc. Jpn. 2020, 89, 094705. [Google Scholar] [CrossRef]
- Sueyoshi, T.; Furuki, Y.; Tanaka, E.; Fujiyoshi, T.; Mitsugi, F.; Ikegami, T.; Ishikawa, N. Angular dependence of critical current density in YBCO films with columnar defects crossing at widespread angles. IEEE Trans. Appl. Supercond. 2013, 23, 8002404. [Google Scholar] [CrossRef]
- Zeldov, E.; Amer, N.M.; Koren, G.; Gupta, A.; McElfresh, M.W.; Gambino, R.J. Flux creep characteristics in high-temperature superconductors. Appl. Phys. Lett. 1990, 56, 680–682. [Google Scholar] [CrossRef]
- Civale, L.; Maiorov, B.; MacManus-Driscoll, J.L.; Wang, H.; Holesinger, T.G.; Foltyn, S.R.; Serquis, A.; Arendt, P.N. Identification of intrinsic ab-plane pinning in YBa2Cu3O7 thin films and coated conductors. IEEE Trans. Appl. Supercond. 2005, 15, 2808–2811. [Google Scholar] [CrossRef]
- Sueyoshi, T.; Furuki, Y.; Fujiyoshi, T.; Mitsugi, F.; Ikegami, T.; Ichinose, A.; Ishikawa, N. Angular behavior of flux dynamics in YBCO films with crossed columnar defects around the ab-plane. Supercond. Sci. Technol. 2018, 31, 125002. [Google Scholar] [CrossRef]
- Tsuruta, A.; Yoshida, Y.; Ichino, Y.; Ichinose, A.; Matsumoto, K.; Awaji, S. The influence of the geometric characteristics of nanorods on the flux pinning in high-performance BaMO3-doped SmBa2Cu3Oy films (M = Hf, Sn). Supercond. Sci. Technol. 2014, 27, 065001. [Google Scholar] [CrossRef]
- Sueyoshi, T.; Iwanaga, Y.; Fujiyoshi, T.; Takai, Y.; Mukaida, M.; Kudo, M.; Yasuda, K.; Ishikawa, N. Angular behavior of Jc in GdBCO-coated conductors with crossed columnar defects around ab plane. IEEE Trans. Appl. Supercond. 2017, 27, 8001305. [Google Scholar] [CrossRef]
- Civale, L.; Krusin-Elbaum, L.; Thompson, J.R.; Wheeler, R.; Marwick, A.D.; Kirk, M.A.; Sun, Y.R.; Holtzberg, F.; Feild, C. Reducing vortex motion in YBa2Cu3O7 crystals with splay in columnar defects. Phys. Rev. B 1994, 50, 4102–4105. [Google Scholar] [CrossRef]
- Sueyoshi, T.; Iwanaga, Y.; Fujiyoshi, T.; Takai, Y.; Muta, M.; Mukaida, M.; Ichinose, A.; Ishikawa, N. Flux pinning by columnar defects along a-axis in a-axis oriented YBCO thin films. IEEE Trans. Appl. Supercond. 2019, 29, 8003204. [Google Scholar] [CrossRef]
- Mukaida, M. Growth of a-axis-oriented YBa2Cu3Ox films on Gd2CuO4 buffer layers. Jpn. J. Appl. Phys. 1997, 36, L767–L770. [Google Scholar] [CrossRef]
- Budhani, R.C.; Zhu, Y.; Suenaga, M. The effects of heavy-ion irradiation on superconductivity in YBa2Cu3O7 epitaxial films. IEEE Trans. Appl. Supercond. 1993, 3, 1675–1678. [Google Scholar] [CrossRef]
- Petrean, A.; Paulius, L.; Tobos, V.; Cronk, H.; Kwok, W.K. Vortex dynamics in YBa2Cu3O7−δ with in-plane columnar defects introduced by irradiation. Physica C 2014, 505, 65–69. [Google Scholar] [CrossRef]
- Nakajima, Y.; Tsuchiya, Y.; Taen, T.; Tamegai, T.; Okayasu, S.; Sasase, M. Enhancement of critical current density in Co-doped BaFe2As2 with columnar defects introduced by heavy-ion irradiation. Phys. Rev. B 2009, 80, 012510. [Google Scholar] [CrossRef]
- Tamegai, T.; Taen, T.; Yagyuda, H.; Tsuchiya, Y.; Mohan, S.; Taniguchi, T.; Nakajima, Y.; Okayasu, S.; Sasase, M.; Kitamura, H.; et al. Effects of particle irradiation on vortex states in iron-based superconductors. Supercond. Sci. Technol. 2012, 25, 084008. [Google Scholar] [CrossRef]
- Fang, L.; Jia, Y.; Chaparro, C.; Sheet, G.; Claus, H.; Kirk, M.A.; Koshelev, A.E.; Welp, U.; Crabtree, G.W.; Kwok, W.K.; et al. High, magnetic field independent critical currents in (Ba, K)Fe2As2 crystals. Appl. Phys. Lett. 2012, 101, 012601. [Google Scholar] [CrossRef]
- Sueyoshi, T.; Kotaki, T.; Furuki, Y.; Fujiyoshi, T.; Semboshi, S.; Ozaki, T.; Sakane, H.; Kudo, M.; Yasuda, K.; Ishikawa, N. Strong flux pinning by columnar defects with directionally dependent morphologies in GdBCO-coated conductors irradiated with 80 MeV Xe ions. Jpn. J. Appl. Phys. 2020, 59, 023001. [Google Scholar] [CrossRef]
- Toulemonde, M. Nanometric phase transformation of oxide materials under GeV energy heavy ion irradiation. Nucl. Instrum. Methods Phys. Res. Sect. B Beam Interact. Mater. Atoms 1999, 156, 1–11. [Google Scholar] [CrossRef]
- Szenes, G. Ion-velocity-dependent track formation in yttrium iron garnet: A thermal-spike analysis. Phys. Rev. B 1995, 52, 6154–6157. [Google Scholar] [CrossRef]
- Maiorov, B.; Baily, S.A.; Zhou, H.; Ugurlu, O.; Kennison, J.A.; Dowden, P.C.; Holesinger, T.G.; Foltyn, S.R.; Civale, L. Synergetic combination of different types of defect to optimize pinning landscape using BaZrO3-doped YBa2Cu3O7. Nat. Mater. 2009, 8, 398–404. [Google Scholar] [CrossRef] [PubMed]
- Hua, J.; Welp, U.; Schlueter, J.; Kayani, A.; Xiao, Z.L.; Crabtree, G.W.; Kwok, W.K. Vortex pinning by compound defects in YBa2Cu3O7-δ. Phys. Rev. B 2010, 82, 024505. [Google Scholar] [CrossRef]
- Tobita, H.; Notoh, T.; Higashikawa, K.; Inoue, M.; Kiss, T.; Kato, T.; Hirayama, T.; Yoshizumi, M.; Izumi, T.; Shiohara, Y. Fabrication of BaHfO3 doped Gd1Ba2Cu3O7−δ coated conductors with the high Ic of 85 A/cm-w under 3 T at liquid nitrogen temperature (77 K). Supercond. Sci. Technol. 2012, 25, 062002. [Google Scholar] [CrossRef]
- Kaneko, K.; Furuya, K.; Yamada, K.; Sadayama, S.; Barnard, J.S.; Midgley, P.A.; Kato, T.; Hirayama, T.; Kiuchi, M.; Matsushita, T.; et al. Three-dimensional analysis of BaZrO3 pinning centers gives isotropic superconductivity in GdBa2Cu3O7−δ. J. Appl. Phys. 2010, 108, 063901. [Google Scholar] [CrossRef]






















Publisher’s Note: MDPI stays neutral with regard to jurisdictional claims in published maps and institutional affiliations. |
© 2021 by the author. Licensee MDPI, Basel, Switzerland. This article is an open access article distributed under the terms and conditions of the Creative Commons Attribution (CC BY) license (https://creativecommons.org/licenses/by/4.0/).
Share and Cite
Sueyoshi, T. Modification of Critical Current Density Anisotropy in High-Tc Superconductors by Using Heavy-Ion Irradiations. Quantum Beam Sci. 2021, 5, 16. https://doi.org/10.3390/qubs5020016
Sueyoshi T. Modification of Critical Current Density Anisotropy in High-Tc Superconductors by Using Heavy-Ion Irradiations. Quantum Beam Science. 2021; 5(2):16. https://doi.org/10.3390/qubs5020016
Chicago/Turabian StyleSueyoshi, Tetsuro. 2021. "Modification of Critical Current Density Anisotropy in High-Tc Superconductors by Using Heavy-Ion Irradiations" Quantum Beam Science 5, no. 2: 16. https://doi.org/10.3390/qubs5020016
APA StyleSueyoshi, T. (2021). Modification of Critical Current Density Anisotropy in High-Tc Superconductors by Using Heavy-Ion Irradiations. Quantum Beam Science, 5(2), 16. https://doi.org/10.3390/qubs5020016

