On a Benchmark Problem for Modeling and Simulation of Concrete Dams Cracking Response
Abstract
1. Introduction
2. Carpinteri Gravity Dam Models—Literature Survey
2.1. The Experimental-Numerical Study Developed at Politecnico di Torino
2.2. A Survey of Analyses Presented by Several Authors
2.2.1. Analyses Considering Finite Elements with Discrete Crack Models
2.2.2. Continuum Models Considering Smeared Crack and Enhanced Finite Elements
2.2.3. Analyses Considering Conventional and Enhanced Boundary Elements
2.2.4. Analyses Considering Particle or Meshfree Methods
3. Modeling and Simulation of Carpinteri Gravity Dam Using the Abaqus CDP Model
3.1. Geometry Definition
3.2. Material Properties
3.3. Mesh, Boundary Conditions, Interactions, and Solver Options
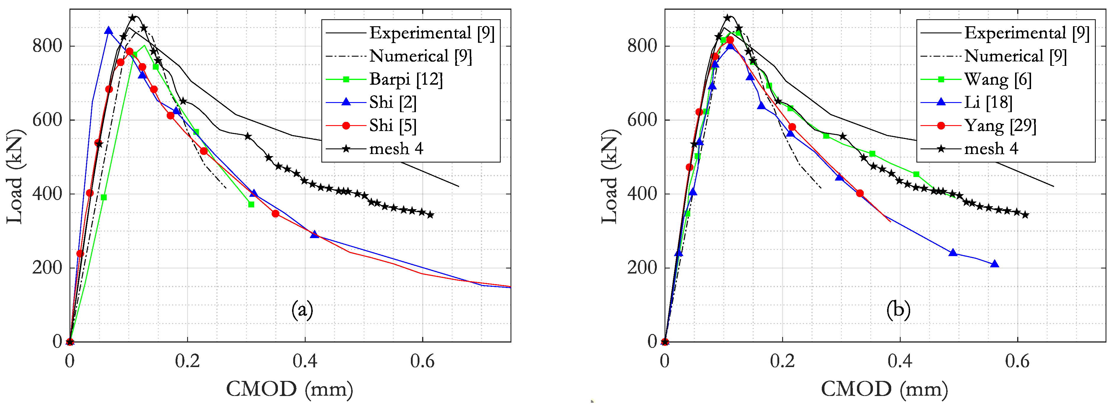
3.4. Simulation Results and Discussion
| Algorithm 1. Python script that establishes OS shell communication with Abaqus and terminates the analysis if a prescribed load ratio is achieved. |
| “““ Python script that executes Abaqus and terminates the analysis if a prescribed ratio of the current load and the peak load is achieved. This enables the following features: 1. Interruption of the analysis for the peak load (ratio = 1); 2. or for a given user-defined ratio (ratio < 1). MS-Windows versionos, numpy and time libraries are required “““ import os import numpy import time os.chdir(‘C:\\Users\\Polytechnique\\...) jobname = ‘job-1’ os.system(‘abaqus job = ‘+jobname) # desired target ratio of last LPF and max LPF target = 0.70 # number of read file verifications nreads = 12 # flag that indicates if target is achieved flag = False # result output function def output(flag,count,jobname): if flag: txt = ‘ ‘ else: txt = ‘ not ‘ print() print(‘--------------------------------’) print(‘ analysis summary ‘) print(‘--------------------------------’) print(‘# target rate’ + txt +’achieved after ‘ + str(count) + ’ verifications’) print(‘# job terminated’) os.system(‘abaqus terminate job = ‘+jobname) sta_file.close() # read file verifications (main code) time.sleep(10) # 10s delay before first file reading for count in list(numpy.arange(1.0,nreads + 1,1.0)): time.sleep(5) # at 5s interval print(‘----------------------------------’) print(‘ verification # ‘+ str(count)) print(‘----------------------------------’) # opens the *.sta file sta_file = open(jobname + ’.sta’, ‘r’) # reads the LPF columns of the *.sta file using numpy LPF = numpy.loadtxt(sta_file,usecols = (6),skiprows = 5) print() print(‘LPF vector’) print(LPF) # computes the ratio ratio = LPF[−1]/max(LPF) print() print(‘ratio of last LPF and max LPF: ‘, str(ratio)) if ratio <= target: flag = True sta_file.close() break else: print() print(‘# target rate not achieved’) print() # output function call output(flag,count,jobname) |
4. Concluding Remarks
- The steps involved in modeling concrete gravity dam cracking are not obvious. A linear elastic simulation is achievable for any engineer who has some familiarity with commercial finite element software. However, the learning curve is considerable for adequate representation of the nonlinear concrete behavior. This is due to the requirement of multiple parameters that exert direct influence on the nonlinear response; such as element type, mesh refinement, material properties, solver options, proper boundary conditions, and finally, the proper comprehension of the scope and limitations of a nonlinear analysis.
- For the selected benchmark, a linear softening model overestimates the load-CMOD curve, and a bilinear softening model provides a better estimate, with an accurate prediction of the peak load value.
- The apparent agreement between load-CMOD curves is not converted to similar crack trajectories. Results provided by the coarser mesh using the fib model code 2010 [32] diverge from the expected numerical and experimental data. In this case, a horizontal path is observed. The remaining meshes present a mostly 20 degrees orientation that follows the reference data.
- Distinct cracking behavior is observed when the literature survey results are analyzed. However, crack trajectories are similar for at least the first 40% of the predicted crack length, regardless of the data source.
- There is only a marginal gain with refinements advancing from mesh 2 toward mesh 4, as this can be observed in both load-CMOD and crack trajectory results. Therefore, the refinement with an element edge size of approximately 15 mm along the notch strip region provides satisfactory results, with a processing time of about 2 min.
- The use of computational resources in an efficient manner is always desirable for the solution of nonlinear problems. Consequently, good judgment is expected in the need for mesh refinement at regions where crack propagation is likely to occur. The temptation of a uniform refinement at the notch strip region should be avoided, as this leads to inefficient computations.
- The proposed Python script emerges as a valuable tool for time-demanding analyses in Abaqus, enabling solution control for a given target ratio, and avoiding computation of load increments that are beyond the practical engineer’s expectations, while still providing meaningful results.
Author Contributions
Funding
Conflicts of Interest
References
- Bhattacharjee, S.S.; Léger, P. Application of NLFM models to predict cracking in concrete gravity dams. J. Struct. Eng. 1994, 120, 1255–1271. [Google Scholar] [CrossRef]
- Shi, Z.; Suzuki, M.; Nakano, M. Numerical analysis of multiple discrete cracks in concrete dams using Extended Fictitious Crack Model. J. Struct. Eng. 2003, 129, 324–336. [Google Scholar] [CrossRef]
- Mirzabozorg, H.; Ghaemian, M. Non-linear behavior of mass concrete in three-dimensional problems using a smeared crack approach. Earthq. Eng. Struct. Dyn. 2005, 34, 247–269. [Google Scholar] [CrossRef]
- Hariri-Ardebili, M.A.; Seyed-Kolbadi, S.M.; Mirzabozorg, H. A smeared crack model for seismic failure analysis of concrete gravity dams considering fracture energy effects. Struct. Eng. Mech. 2013, 48, 17–39. [Google Scholar] [CrossRef]
- Shi, M.; Zhong, H.; Ooi, E.T.; Zhang, C.; Song, C. Modelling of crack propagation of gravity dams by scaled boundary polygons and cohesive crack model. Int. J. Fract. 2013, 183, 29–48. [Google Scholar] [CrossRef]
- Wang, G.; Lu, W.; Zhou, C.; Zhou, W. The influence of initial cracks on the crack propagation process of concrete gravity dam-reservoir-foundation systems. J. Earthq. Eng. 2015, 19, 991–1011. [Google Scholar] [CrossRef]
- Dias, I.F.; Oliver, J.; Lemos, J.V.; Lloberas-Valls, O. Modeling tensile crack propagation in concrete gravity dams via crack-path-field and strain injection techniques. Eng. Fract. Mech. 2016, 154, 288–310. [Google Scholar] [CrossRef]
- Yao, F.; Yang, Z.J.; Hu, Y.J. An SBFEM-Based model for hydraulic fracturing in quasi-brittle materials. Acta Mech. Solida Sin. 2018, 31, 416–432. [Google Scholar] [CrossRef]
- Carpinteri, A.; Valente, S.; Ferrara, G.; Imperato, L. Experimental and numerical fracture modelling of a gravity dam. In Fracture Mechanics of Concrete Structures, 1st ed.; Science, E.A., Ed.; CRC Press: London, UK, 1992; pp. 351–360. [Google Scholar]
- Valente, S.; Barpi, F. On singular points in mixed-mode cohesive crack propagation. Trans. Eng. Sci. 1994, 6, 167–174. [Google Scholar]
- Barpi, F. Modelli Numerici Per lo Studio dei Fenomeni Fessurativi Nelle Dighe. Ph.D. Thesis, Politecnico di Torino, Torino, Italy, 1996. (In italian). [Google Scholar]
- Barpi, F.; Valente, S. Numerical simulation of prenotched gravity dam models. J. Eng. Mech. 2000, 126, 611–619. [Google Scholar] [CrossRef]
- Carpinteri, A.; Cornetti, P.; Barpi, F.; Valente, S. Cohesive crack model description of ductile to brittle size-scale transition: Dimensional analysis vs. renormalization group theory. Eng. Fract. Mech. 2003, 70, 1809–1839. [Google Scholar] [CrossRef]
- Ghrib, F.; Tinawi, R. Nonlinear behavior of concrete dams using damage mechanics. J. Eng. Mech. 1995, 121, 513–527. [Google Scholar] [CrossRef]
- Cai, Q. Finite Element Modelling of Cracking in Concrete Gravity Dams. Ph.D. Thesis, University of Pretoria, Pretoria, South Africa, 2007. [Google Scholar]
- Durieux, J.; van Rensburg, B. Development of a practical methodology for the analysis of gravity dams using the non-linear finite element method. J. S. Afr. Inst. Civ. Eng. 2016, 58, 1–13. [Google Scholar] [CrossRef]
- Chahrour, A.H.; Ohtsu, M. Simulation of discrete cracking in a concrete gravity dam. Concr. Eng. Annu. Proc. 1994, 16, 45–50. [Google Scholar]
- Li, J.-b.; Gao, X.; Fu, X.-a.; Wu, C.; Lin, G. A nonlinear crack model for concrete structure based on an Extended Scaled Boundary Finite Element Method. Appl. Sci. 2018, 8, 1067. [Google Scholar] [CrossRef]
- Oberkampf, W.L.; Roy, C.J. Verification and Validation in Scientific Computing; Cambridge University Press: New York, NY, USA, 2010. [Google Scholar]
- Roache, P.J. Verification and Validation in Computational Science and Engineering; Hermosa Publishers: Albuquerque, NM, USA, 1998. [Google Scholar]
- Shi, Z. Numerical analysis of mixed-mode fracture in concrete using extended fictitious crack model. J. Struct. Eng. 2004, 130, 1738–1747. [Google Scholar] [CrossRef]
- Lohrasbi, A.R.; Attarnejad, R. Crack growth in concrete gravity dams based on discrete crack method. Am. J. Eng. Appl. Sci. 2008, 1, 318–323. [Google Scholar] [CrossRef]
- Wu, Z.; Rong, H.; Zheng, J.; Dong, W. Numerical method for mixed-mode I–II crack propagation in concrete. J. Eng. Mech. 2013, 139, 1530–1538. [Google Scholar] [CrossRef]
- Oliver, J.; Huespe, A.E.; Pulido MD, G.; Chaves, E. From continuum mechanics to fracture mechanics: The Strong Discontinuity Approach. Eng. Fract. Mech. 2002, 69, 113–136. [Google Scholar] [CrossRef]
- Roth, S.-N.; Léger, P.; Soulaïmani, A. A combined XFEM–damage mechanics approach for concrete crack propagation. Comput. Methods Appl. Mech. Eng. 2015, 283, 923–955. [Google Scholar] [CrossRef]
- Sha, S.; Zhang, G. Modeling of hydraulic fracture of concrete gravity dams by Stress-Seepage-Damage Coupling Model. Math. Probl. Eng. 2017, 2017, 8523213. [Google Scholar] [CrossRef]
- Attard, M.M.; Tin-Loi, F. Numerical simulation of quasibrittle fracture in concrete. Eng. Fract. Mech. 2005, 72, 387–411. [Google Scholar] [CrossRef]
- Su, K.; Zhou, X.; Tang, X.; Xu, X.; Liu, Q. Mechanism of cracking in dams using a Hybrid FE-Meshfree Method. Int. J. Geomech. 2017, 17. [Google Scholar] [CrossRef]
- Yang, D.; He, X.; Yi, S.; Liu, X. An improved ordinary state-based peridynamic model for cohesive crack growth in quasi-brittle materials. Int. J. Mech. Sci. 2019, 153-154, 402–415. [Google Scholar] [CrossRef]
- Dassault Systèmes. Abaqus CAE (Version 6.14-1) [Computer Software]. 2014. Available online: https://www.3ds.com/products-services/simulia/products/abaqus/abaquscae/ (accessed on 7 December 2022).
- Rokugo, K.; Iwasa, M.; Suzuki, T.; Koyanagi, W. Testing methods to determine tensile strain softening curve and fracture energy of concrete. In Fracture Toughness and Fracture Energy-Test Method for Concrete and Rock; Mihashi, H., Takahashi, H., Wittmann, F.H., Eds.; Balkema: Rotterdam, The Netherlands, 1989; pp. 153–163. [Google Scholar]
- Fédération Internationale du Béton—Fib. Fib Model Code for Concrete Structures 2010; Ernst & Sohn: Berlin, Germany, 2013. [Google Scholar]
- Lubliner, J.; Oliver, J.; Oller, S.; Oñate, E. A plastic-damage model for concrete. Int. J. Solids Struct. 1989, 25, 299–326. [Google Scholar] [CrossRef]
- Lee, J.; Fenves, G.L. Plastic-damage model for cyclic loading of concrete structures. J. Eng. Mech. 1998, 124, 892–900. [Google Scholar] [CrossRef]
- Lee, J.; Fenves, G.L. A plastic-damage concrete model for earthquake analysis of dams. Earthq. Eng. Struct. Dyn. 1998, 27, 937–956. [Google Scholar] [CrossRef]
- Wosatko, A.; Winnicki, A.; Polak, M.A.; Pamin, J. Role of dilatancy angle in plasticity-based models of concrete. Arch. Civ. Mech. Eng. 2019, 19, 1268–1283. [Google Scholar] [CrossRef]
- Osterwisch, C. Abaqus Msg File Buddy. Available online: https://msgfile.info/ (accessed on 7 December 2022).












| Test Case | Description |
|---|---|
| 1 | Notch-depth ratio = 0.1; this simulation was stopped at peak load, as a result of a failure at the weakest section of the dam foundation. Combined vertical and horizontal loads were considered. |
| 2 | Notch-depth ratio = 0.1; this simulation is a continuation of Test Case 1 model, which was reinitiated after the reinforcement of the previous failure region. Self-weight loads were removed from this case. |
| 3 | Notch-depth ratio = 0.2; this simulation considers only horizontal loads provided by the actuators. |
| Source | Test Case | Load-CMOD | Crack Trajectories |
|---|---|---|---|
| Valente and Barpi [10] | 2 | • | • |
| Barpi [11]; Barpi and Valente [12]; Shi et al. [2]; Wu et al. [23] | 2, 3 | • | • |
| Shi [21] | 3 | • | |
| Lohrasbi and Attarnejad [22] | 2 | • |
| Source | Test Case | Load-CMOD | Crack Trajectories |
|---|---|---|---|
| Bhattacharjee and Léger [1]; Ghrib and Tinawi [14]; Oliver et al. [24]; Mirzabozorg and Ghaemian [3]; Cai [15]; Hariri-Ardebili et al. [4]; Roth et al. [25]; Wang et al. [6]; Durieux and Rensburg [16]; Sha and Zang [26] | 3 | • | • |
| Dias et al. [7] | 2 | • | • |
| Source | Test Case | Load-CMOD | Crack Trajectories |
|---|---|---|---|
| Chahrour and Ohtsu [17]; Shi et al. [5]; Yao et al. [8]; Li et al. [18] | 2 | • | • |
| Source | Test Case | Load-CMOD | Crack Trajectories |
|---|---|---|---|
| Attard and Tin-Loi [27] | 3 | • | • |
| Su et al. [28] | 2, 3 | • | |
| Yang et al. [29] | 2 | • | • |
| E (Gpa) | v | ft (MPa) | Gf (N/mm) |
|---|---|---|---|
| 35.70 | 0.10 | 3.60 | 0.184 |
| ψ | ε | σb0/σc0 | Kc | Viscosity Parameter |
|---|---|---|---|---|
| 400 | 0.10 | 1.20 | 0.67 | 0 |
| Parameter | Value |
|---|---|
| Initial increment | 0.01 |
| Minimum increment | 1 × 10−15 |
| Maximum increment | 0.2 |
| Mesh | 1 | 2 | 3 | 4 |
|---|---|---|---|---|
| Wallclock time (s) | 91 | 131 | 290 | 232 |
Disclaimer/Publisher’s Note: The statements, opinions and data contained in all publications are solely those of the individual author(s) and contributor(s) and not of MDPI and/or the editor(s). MDPI and/or the editor(s) disclaim responsibility for any injury to people or property resulting from any ideas, methods, instructions or products referred to in the content. |
© 2023 by the authors. Licensee MDPI, Basel, Switzerland. This article is an open access article distributed under the terms and conditions of the Creative Commons Attribution (CC BY) license (https://creativecommons.org/licenses/by/4.0/).
Share and Cite
Ribeiro, P.M.V.; Léger, P. On a Benchmark Problem for Modeling and Simulation of Concrete Dams Cracking Response. Infrastructures 2023, 8, 50. https://doi.org/10.3390/infrastructures8030050
Ribeiro PMV, Léger P. On a Benchmark Problem for Modeling and Simulation of Concrete Dams Cracking Response. Infrastructures. 2023; 8(3):50. https://doi.org/10.3390/infrastructures8030050
Chicago/Turabian StyleRibeiro, Paulo Marcelo Vieira, and Pierre Léger. 2023. "On a Benchmark Problem for Modeling and Simulation of Concrete Dams Cracking Response" Infrastructures 8, no. 3: 50. https://doi.org/10.3390/infrastructures8030050
APA StyleRibeiro, P. M. V., & Léger, P. (2023). On a Benchmark Problem for Modeling and Simulation of Concrete Dams Cracking Response. Infrastructures, 8(3), 50. https://doi.org/10.3390/infrastructures8030050

