Seepage and Groundwater Numerical Modelling for Managing Waterlogging in the Vicinity of the Trimmu–Sidhnai Link Canal
Abstract
1. Introduction
2. Materials and Methods
2.1. Research Area Description
2.2. Data Collection
2.3. Seepage Model Development
2.4. Canal Geometry
2.5. Material Properties
2.6. Boundary Conditions
2.7. Seepage Model Application
2.8. Groundwater Model Development
2.9. Model Domain and Grid Layout
2.10. Aquifer Thickness and Layering
2.11. Aquifer Hydrogeological Parameters
2.12. Boundary Conditions
2.13. Model Simulation Period/Stress Periods
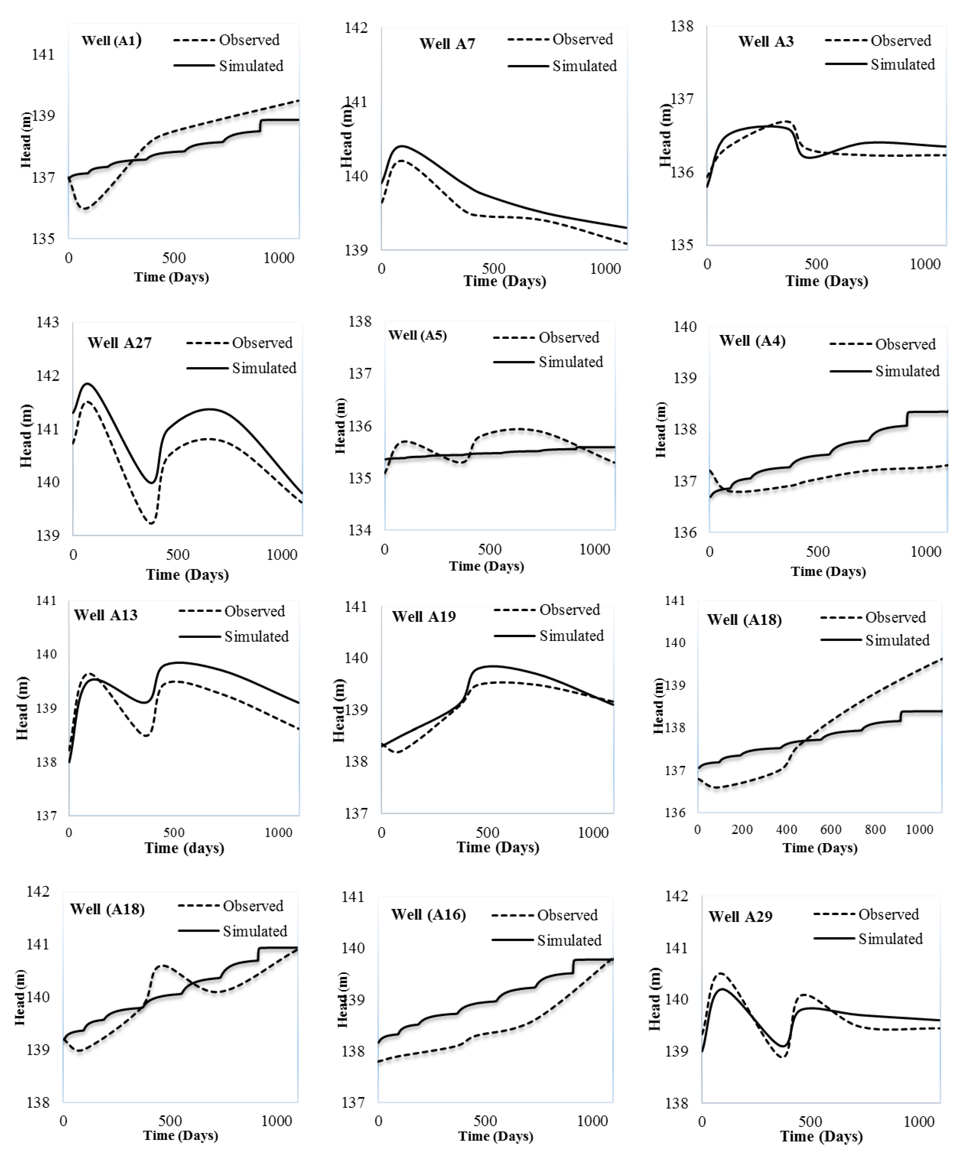
2.14. Model Calibration
2.15. Model Validation
2.16. Groundwater Model Application
3. Results and Discussion
3.1. Simulation of Existing Canal Seepage without Any Intervention
3.2. Evaluation of Concrete Lining Intervention
3.3. Evaluation of Concrete Side Protection Intervention
3.4. Depth to Water Table (DTW)
3.5. Evaluation of Waterlogging Management Intervention 1: Rehabilitation of Existing 43 Drainage Tubewells
3.6. Evaluation of Waterlogging Management Intervention 2: Rehabilitation of Existing Surface Drains
3.7. Evaluation of Waterlogging Management Intervention 3: Combination of Rehabilitation of Existing 43 Drainage Tube Wells and Rehabilitation of Existing Surface Drains
3.8. Comparison of Effectiveness of Waterlogging Management Interventions
4. Conclusions and Recommendations
4.1. Conclusions
- The seepage modeling using SEEP/W model revealed that waterlogging management intervention of complete concrete lining of T-S link canal can reduce 50% of the seepage (0.0113 cumec per 100 m) from the T-S link canal when flowing at its full supply flow depth of 3.8 m.
- The seepage modelling using SEEP/W model revealed that waterlogging management intervention of concrete side protection of T-S link canal can reduce 21% of the seepage (0.0113 cumec per 100 m) from the T-S link canal when flowing at its full supply flow depth of 3.8 m.
- Considering the effectiveness of the concrete lining and concrete side protection of T-S link canal, comparison of these interventions revealed that concrete lining intervention can reduce 50% of total seepage of the T-S link canal. The effectiveness of this intervention in controlling seepage seems reasonably good (50% reduction in seepage). The concrete side protection intervention does not seem very effective in controlling seepage (only 21% reduction in seepage). Though concrete lining of T-S link canal could be considered for implementation, cost-effectiveness analysis of this intervention needs to be performed prior to its implementation.
- The groundwater numerical modeling using MODFLOW model revealed that the rehabilitated 43 drainage tube wells working with full efficiency could lower groundwater level by about 0.2 m resulting in waterlogging mitigation from about 9% (2880 ha) of the waterlogged area (32,000 ha).
- The groundwater modeling revealed that waterlogging management intervention of rehabilitation of existing surface drains can lower the groundwater table by 0.45 m. This intervention can mitigate waterlogging from about 19% (6080 ha) of the severely waterlogged area.
- The groundwater modeling revealed that rehabilitated 43 drainage tube wells and surface drains working with full efficiency can lower the groundwater table by 0.9 m. This intervention can mitigate waterlogging from about 45% (14,400 ha) of the severely waterlogged area.
- The comparison of the effectiveness of the interventions of rehabilitation of 43 drainage tube wells, rehabilitation of surface drains and combination of rehabilitation of 43 drainage tube wells and surface drains revealed that combination of rehabilitation of 43 drainage tube wells and surface drains intervention can reduce waterlogging in the 45% area of the severely waterlogged area. The effectiveness of this intervention in controlling waterlogging seems reasonably good.
4.2. Recommendations
- Complete concrete lining of T-S link canal intervention has a huge potential to reduce seepage from the canal. This intervention could be considered for implementation to mitigate waterlogging in the area adjacent to T-S link canal.
- The combination of rehabilitation of 43 drainage tube wells and surface drains intervention also offers a great potential for controlling waterlogging. This intervention can also be considered for implementation to mitigate waterlogging from the severely waterlogged area.
- For effective and sustainable management of waterlogging in the vicinity of T-S link canal, combination of interventions of concrete lining of T-S link canal, rehabilitation of 43 drainage tube wells and rehabilitation of surface drains could be considered for implementation.
- Cost-effectiveness analysis of the concrete lining of T-S link canal intervention, rehabilitation of existing 43 drainage tube wells intervention, and rehabilitation of existing surface drains intervention needs to be performed for decision-making and selection of the most cost-effective intervention for implementation.
4.3. Areas for Future Research
- A study should be carried out to develop technically and economically effective and sustainable management interventions for improved management of irrigation systems, improved irrigation management practices at the farm, improved conjunctive management of surface and groundwater, and improved management of drainage systems at primary, secondary and tertiary canal command levels.
- A study should be conducted for evaluation of impact of improved management of irrigation systems, improved irrigation management practices at the farm, improved conjunctive management of surface and groundwater and improved management of drainage systems on waterlogging in the canal commands.
Author Contributions
Funding
Institutional Review Board Statement
Informed Consent Statement
Data Availability Statement
Conflicts of Interest
References
- Aboelsoud, H.M.; AbdelRahman, M.A.E.; Kheir, A.M.S.; Eid, M.S.M.; Ammar, K.A.; Khalifa, T.H.; Scopa, A. Quantitative Estimation of Saline-Soil Amelioration Using Remote-Sensing Indices in Arid Land for Better Management. Land 2022, 11, 1041. [Google Scholar] [CrossRef]
- Alam, S.; Ahmed, M.; Hasan, M. Seepage Characteristics of Homogeneous and Non-homogeneous Earthen Dam by FEM. J. Geotech. 2021, 6, 14–29. [Google Scholar]
- Al-Janabi, A.M.S.; Ghazali, A.H.; Ghazaw, Y.M.; Afan, H.A.; Al-Ansari, N.; Yaseen, Z.M. Experimental and Numerical Analysis for Earth-Fill Dam Seepage. Sustainability 2020, 12, 2490. [Google Scholar] [CrossRef]
- Amer, R. Spatial Relationship between Irrigation Water Salinity, Waterlogging, and Cropland Degradation in the Arid and Semi-Arid Environments. Remote Sens. 2021, 13, 1047. [Google Scholar] [CrossRef]
- Anjum, W.A.; Ahmad, S.R.; Sanaullah, M.; Majid, Z.; Mirza, K. Geographic Information System and Modeling Approach for Groundwater Systems of Rechna Doab, Pakistan. Pak. J. Sci. 2016, 68, 470–476. [Google Scholar]
- Arshad, M.; Ahmad, N.; Usman, M. Simulating Seepage from Branch Canal under Crop, Land and Water Relationships. Int. J. Agric. Biology 2009, 11, 529–534. [Google Scholar]
- Awad, S.R.; El Fakharany, Z.M. Mitigation of Waterlogging Problem in El-Salhiya Area, Egypt. Water Sci. 2020, 34, 1–12. [Google Scholar] [CrossRef]
- Barnston, A.G. Correspondence among the correlation, RMSE, and Meidke Foresast verification measures; Refinement of the Neidke Score. Weather Forecast. 1992, 7, 699–709. [Google Scholar] [CrossRef]
- Basharat, E.M.; Saeed, E.M. Modelling the Seepage from Chashma Jhelum Link Canal and Rehabilitaion of the Waterlogged Areas. J. Hydrol. 2014, 4, 39. [Google Scholar]
- El Bastawesy, M.; Ali, R.R.; Faid, A.; El Osta, M. Assessment of Waterlogging in Agricultural Megaprojects in the Closed Drainage Basins of the Western Desert of Egypt. Hydrol. Earth Syst. Sci. 2013, 17, 1493–1501. [Google Scholar] [CrossRef]
- Hassan, G.Z.; Hassan, F.R.; Rizvi, S.A. Groundwater Management Using MODFLOW-A Case Study of Rechna Doab, Punjab, Pakistan. In Proceedings of the 73rd Annual Session of the Pakistan Engineering Congress, Punjab, Pakistan, 1 January 2014–31 December 2015; Available online: https://pecongress.org.pk/detail.php?cat_id=430&subcat_id=640&maincat_name=Proceedings&cat_name=73rd%20Annual%20Session%202014-2015 (accessed on 19 July 2022).
- Hyndman, R.J.; Koehler, A.B. Another look at measures of forecast accuracy. Int. J. Forecast. 2006, 22, 679–688. [Google Scholar] [CrossRef]
- Indo-Dutch Network Project (IDNP). Recommendations on Waterlogging and Salinity Control Based on Pilot Area Drainage Research; CSSRI, Karnal and Alterra-ILRI: Wageningen, The Netherlands, 2002; p. 100. [Google Scholar]
- Jamel, A.A.J. Analysis and Estimation of Seepage through Homogenous Earth Dam without Filter. Diyala J. Eng. Sci. 2016, 9, 38–49. [Google Scholar] [CrossRef]
- Khaliq, A.; Maqbool, A.; Tansar, H.; Bakhsh, A.; Saeed, M.; Sarwar, M.T.; Hui, W. Groundwater Pumping Modeling for the Sustainable Management of Urban Water Supply in Faisalabad City, Pakistan. Arab. J. Geosci. 2021, 14, 442. [Google Scholar] [CrossRef]
- Kumar, R.; Singh, J. Integrated Approach for the Management of Waterlogging and Salinity Problems in Haryana. In Role of drainage and challenges in 21st century. In Proceedings of the Eighth ICID International Drainage Workshop, New Delhi, India, 31 January–4 February 2000; Volume II, pp. 363–373. [Google Scholar]
- Moriasi, D.N.; Arnold, J.G.; Van Liew, M.W.; Bingner, R.L.; Harmel, R.D.; Veith, T.L. Model evaluation guidelines for systematic quantification of accuracy in watershed simulations. Trans. ASABE 2007, 50, 885–900. [Google Scholar] [CrossRef]
- Nash, J.E.; Sutcliffe, J.V. River flow forecasting through conceptual models part I—A discussion of principles. J. Hydrol. 1970, 10, 282–290. [Google Scholar] [CrossRef]
- NESPAK-AAB-DMC Joint Venture Consultants. Feasibility Study Report on Controlling Seepage Along Trimmu-Sidhnai Link Canal. 2015. Available online: https://www.nespak.com.pk/portfolio.html (accessed on 19 August 2022).
- Prajapati, G.S.; Rai, P.K.; Mishra, V.N.; Singh, P.; Shahi, A.P. Remote Sensing-based Assessment of Waterlogging and Soil Salinity: A Case Study from Kerala, India. Results Geophys. Sci. 2021, 7, 100024. [Google Scholar] [CrossRef]
- Salmasi, F.; Jafari, F. Validity of Schaffernak and Casagrande’s analytical Solutions for Seepage through a Homogeneous Earth Dam. Int. J. Pure Sci. Res. 2013, 1, 5–11. [Google Scholar]
- Sazzad, M.; Rahman, M. Effect of Clay Blanket and Chimney Filter against Seepage failure. Int. J. Adv. Struct. Geotech. Eng. 2017, 6, 77–83. [Google Scholar]
- Sazzad, M.; Islam, M. A Comprehensive Study of Different Types of Seepage Control Measures for Earth Dam Using FEM. J. Civ. Constr. Eng. 2019, 5, 24–37. [Google Scholar] [CrossRef]
- Sazzad, M.; Roy, M.; Rahman, M. FEM Based Seepage Analysis through Earth Dam. Int. J. Adv. Struct. Geotech. Eng. 2015, 4, 158–164. [Google Scholar]
- Shakoor, A.; Arshad, M.; Ahmad, R.; Khan, Z.M.; Qamar, U.; Farid, H.U.; Sultan, M.; Ahmad, F. Development of Groundwater Flow Model (MODFLOW) to Simulate the Escalating Groundwater Pumping in the Punjab, Pakistan. Pak. J. Agri. Sci. 2018, 55, 629–638. [Google Scholar] [CrossRef]
- Shakoor, A.; Khan, Z.M.; Arshad, M.; Farid, H.U.; Sultan, M.; Azmat, M.; Shahid, M.A.; Hussain, Z. Regional Groundwater Quality Management through Hydrogeological Modeling in LCC, West Faisalabad, Pakistan. J. Chem. 2017, 2017, 1–16. [Google Scholar] [CrossRef]
- Shehzad, M.U. Assessment of Canal Seepage by Numerical Simulation at Trimmu Sidhnai Link Canal; The Centre of Excellence in Water Resources Engineering University of Engineering and Technology: Lahore, Pakistan, 2021. [Google Scholar]
- Simon, G.; Moore, D. The Basic Practice of Statistics. Am. Stat. 1996, 50, 277. [Google Scholar] [CrossRef]
- Suleimany, J.M.S.; Mamand, B.S. Estimating Seepage Quantity through Homogenous Earth-Fill Dam with Horizontal Drainage Using Different Methods. ZANCO J. Pure Appl. Sci. 2020, 32, 7–18. [Google Scholar] [CrossRef]
- Tahir, H. Waterlogging Management Modelling—A Case Study of Trimmu-Sidhnai Link Canal of Punjab, Pakistan; The University of Lahore: Lahore, Pakistan, 2019. [Google Scholar]
- Zaghloula, E.A.; Abdeena, M.M.; Elbeiha, S.F.; Solimanb, M.A. Waterlogging Problems in Egypt’s Deserts: Case Study Abu Mena Archaeological Site Using Geospatial Techniques. Egypt. J. Remote Sens. Space Sci. 2020, 23, 387–399. [Google Scholar]












| Recharge Source | Recharge Flux (mm/Year) |
|---|---|
| Average weighted seepage of T-S link per unit area | 452.4 |
| Average weighted seepage Haveli canal per unit area | 34.29 |
| Recharge from distributaries, watercourses and irrigated fields | 205.2 |
| Recharge from rainfall | 42.4 |
| Lateral groundwater inflow (=Regional groundwater net recharge = inflow-outflow) | 13.7 |
| Total | 747.9 |
| Item | Value |
|---|---|
| Number of drainage wells | 43 |
| Number of 0.042 Cumec capacity wells | 32 |
| Number of 0.070 Cumec capacity wells | 11 |
| Parameters of 0.042 Cumec Tubewells: | |
| Depth of drilling | 49–55 m |
| Pump Housing case length | 16–21 m |
| Pump Housing Case diameter | 30 m |
| Slotted casing Length | 30.5 m |
| Slot Casing Diameter | 17.5 m |
| Parameters of 0.7 Cumec Tubewells: | |
| Depth of drilling | 49–64 m |
| Pump Housing case length | 16–21 m |
| Pump Housing Case diameter | 35.5 cm |
| Slotted casing Length | 42.5 m |
| Slot Casing Diameter | 20 cm |
| Main Drain | Branch Drain | Discharge (Cumec) |
|---|---|---|
| Trimmu-Sidhnai-Mailsi-Bahawal (TSMB) Drain | Ghagh Branch Drain | 2.0 |
| - Madi Sub-Drain | 1.3 | |
| - Kaura Sub-Drain | 0.6 | |
| - Basira Sub-Drain and Extension | 1.1 | |
| - Forest Su | 1.1 | |
| - b-Drain and Extension | ||
| Dangra Branch Drain | 0.4 | |
| Darkhana Branch Drain and Sub-Drain | 2.7 | |
| Aroti Branch Drain | 0.7 | |
| Total Discharge | 9.9 | |
| Gojra Drain | - | 20.12 |
Publisher’s Note: MDPI stays neutral with regard to jurisdictional claims in published maps and institutional affiliations. |
© 2022 by the authors. Licensee MDPI, Basel, Switzerland. This article is an open access article distributed under the terms and conditions of the Creative Commons Attribution (CC BY) license (https://creativecommons.org/licenses/by/4.0/).
Share and Cite
Aslam, M.; Shehzad, M.U.; Ali, A.; Ali, N.; Chaiyasan, K.; Tahir, H.; Joyklad, P.; Hussain, Q. Seepage and Groundwater Numerical Modelling for Managing Waterlogging in the Vicinity of the Trimmu–Sidhnai Link Canal. Infrastructures 2022, 7, 144. https://doi.org/10.3390/infrastructures7100144
Aslam M, Shehzad MU, Ali A, Ali N, Chaiyasan K, Tahir H, Joyklad P, Hussain Q. Seepage and Groundwater Numerical Modelling for Managing Waterlogging in the Vicinity of the Trimmu–Sidhnai Link Canal. Infrastructures. 2022; 7(10):144. https://doi.org/10.3390/infrastructures7100144
Chicago/Turabian StyleAslam, Muhammad, Muhammad Umer Shehzad, Ahsan Ali, Nazam Ali, Krisada Chaiyasan, Husnain Tahir, Panuwat Joyklad, and Qudeer Hussain. 2022. "Seepage and Groundwater Numerical Modelling for Managing Waterlogging in the Vicinity of the Trimmu–Sidhnai Link Canal" Infrastructures 7, no. 10: 144. https://doi.org/10.3390/infrastructures7100144
APA StyleAslam, M., Shehzad, M. U., Ali, A., Ali, N., Chaiyasan, K., Tahir, H., Joyklad, P., & Hussain, Q. (2022). Seepage and Groundwater Numerical Modelling for Managing Waterlogging in the Vicinity of the Trimmu–Sidhnai Link Canal. Infrastructures, 7(10), 144. https://doi.org/10.3390/infrastructures7100144

