Next Article in Journal
The Main Impacts of Infrastructure Works on Public Roads
Next Article in Special Issue
Numerical Evaluation for Roads Considering the Addition of Geogrids in Karst Geohazards Zones
Previous Article in Journal
Crumb Rubber in Concrete—The Barriers for Application in the Construction Industry
Previous Article in Special Issue
Microstructural, Mechanical and Physical Assessment of Portland Cement Concrete Pavement Modified by Sodium Acetate under Various Curing Conditions
 
 
Font Type:
Arial Georgia Verdana
Font Size:
Aa Aa Aa
Line Spacing:
Column Width:
Background:
Article

Comparing the Cost of Rigid and Flexible Aircraft Pavements Using a Parametric Whole of Life Cost Analysis

School of Science, Technology and Engineering, University of the Sunshine Coast, Sunshine Coast 4556, Australia
Infrastructures 2021, 6(8), 117; https://doi.org/10.3390/infrastructures6080117
Submission received: 19 July 2021 / Revised: 17 August 2021 / Accepted: 19 August 2021 / Published: 20 August 2021
(This article belongs to the Special Issue Research and Developments in Pavements)

Abstract

:
The construction and maintenance costs, as well as the residual value, were calculated for structurally equivalent rigid and flexible airfield pavements, for a range of typical commercial aircraft, as well as a range for typical subgrade conditions. Whole of life cost analysis was performed for a range of analysis periods, from 40 years to 100 years. For the standard 40-year analysis period and a residual value based on rigid pavement reconstruction, the rigid pavements had a 40% to 105% higher whole of life cost than equivalent flexible pavements, although this comparison is limited to the pavement compositions and material cost rates adopted. However, longer analysis periods had a significant impact on the relative whole of life cost, although the rigid pavements always had a higher cost than the flexible pavements. The assumed condition of the rigid pavement at the end of the design life was the most influential factor, with a 60-year service life resulting in the rigid pavements having a lower whole of life cost than the flexible pavements, but assuming a requirement for expedient rigid pavement reconstruction resulted in the rigid pavements costing approximately 4–6 times the cost of the flexible pavements over the 40-year analysis period.

1. Introduction

Aircraft pavements are a major investment for airports, with a new runway typically costing between AUD 100 M and AUD 500 M to plan, design and construct, including all the associated infrastructure [1]. Once constructed, an airport pavement is expected to last 40 or more years and is maintained to provide a safe and efficient platform for aircraft operations throughout its life. Consequently, aircraft pavements are designed to be high quality and low risk structures [2].
Australia is currently in a period of unprecedented aircraft pavement development, with five new major airport runways expected to be constructed between 2018 and 2025. Second runways are being developed for Brisbane (Queensland) and Perth (Western Australia), an additional runway and existing runway extensions for Melbourne (Victoria), a replacement runway at the Sunshine Coast (Queensland) and a second airport for Sydney (New South Wales). This is in addition to the western Brisbane airport at Wellcamp (2016) and extensions of the existing runways at Mildura (Victoria) and Hobart (Tasmania) in 2017, as well as extensions to various military airfields. All of these aircraft pavement developments include both rigid (concrete) and flexible (asphalt) pavement structures.
The currently high level of investment in airfield pavements results in increased pressure to ensure efficient and cost-effective design, material specification and construction methods are used. One of the key questions for airports investing in aircraft pavements is the relative whole of life cost (WOLC) of rigid and flexible pavements of equivalent structural capacity. Furthermore, an objective basis is desired for the selection of a rigid or flexible pavement structure in different areas of the airfield, including the runway, taxiways and aprons.
This research compared the estimated construction, maintenance and WOLC costs associated with rigid and flexible pavement structures designed to support various commercial aircraft across a range of typical subgrade conditions. Structurally equivalent rigid and flexible pavements were designed for each combination of commercial aircraft and subgrade condition. The WOLC associated with each was estimated and compared, with different analysis periods and modelling assumptions used to determine the effect of these assumptions on the outcome of the comparison. All costs are expressed in Australian dollars.

2. Background

2.1. Aircraft Pavement Design

Aircraft pavements are designed using the same principles as road and other pavements. However, there are a number of differences that reflect the low frequency of high magnitude loads compared to road pavements, as well as the low tolerance of aircraft to uneven pavement surfaces, free standing water on pavement surfaces and pavement-generated loose material that can damage aircraft engines [1]. Consequently, in modern times, aircraft pavements are usually designed with specific software, most of which are layered elastic in nature, and include [3]:
  • Failure criteria that better reflect aircraft loading and pavement performance expectations.
  • Materials that reflect those commonly specified for aircraft pavement construction.
  • The ability to model different aircraft separately, without the need to convert different aircraft to an equivalent number of passes of a reference aircraft.
  • Consideration of 1, 2, 4 and 6 wheeled aircraft landing gear arrangements.
  • Lateral wandering of aircraft across the width of the pavement.
There are many different software available for the calculation of both rigid and flexible aircraft pavement thickness. The software published by the USA’s Federal Aviation Administration, known as COMFAA [4] is not specifically intended for aircraft pavement design. Rather, it is the standard tool for expressing the relative damage caused to pavements by different aircraft and is critical to the international aircraft pavement strength rating system [5]. However, COMFAA contains the failure criteria against which some other design software are calibrated and is convenient for parametric and single-aircraft pavement thickness determination for both rigid and flexible pavement structures.

2.2. Pavement Types and Selection

Similar to road and other pavements, aircraft pavements are generally categorised as rigid, flexible or composite. Rigid pavements are characterised by a thick concrete base that bends or flexes to accommodate stress. A granular or stabilised sub-base is usually provided but does not significantly contribute to the strength of the pavement [6]. Rather, the sub-base layer is primarily to provide a construction platform over the subgrade and to provide uniform support to the concrete base in order to prevent rocking. In contrast, flexible pavements predominantly comprise granular base and sub-base layers that are designed to vertically deform under load, spreading the load across a greater area until the stress is reduced adequately to allow the subgrade to not rut excessively under repeated loading. The surface is usually bituminous and a thin (<80 mm) or thick (>80 mm) asphalt concrete surface is commonly provided [7].
Composite pavements are less clearly defined but usually comprise layers commonly associated with flexible pavements, as well as layers commonly associated with rigid pavements [8]. Examples include asphalt over concrete and thick heavily cement treated base course with an asphalt surface. Composite pavements are less common in Australian airports and are not considered further.
Any airport developing new pavements must decide whether the pavement is to be rigid or flexible. By adjusting the thickness of the various layers, both can be designed and constructed to accommodate any frequency of any aircraft in any subgrade condition. However, each has advantages and disadvantages that affect the pavement type selection for any given development. Some of these advantages and disadvantages are captured by pavement thickness determination and the associated cost estimating process. However, others are more reflective of risks that can impact service life, surface life, maintenance requirements and compliance with international regulations.

2.3. Lifecycle Cost Analysis

Life cycle cost analysis, also referred to as WOLC analysis, uses economic principles to compare the cost or value of competing options based on the long-term, net benefit to a society or asset owner [9]. The intention is to inform decision making, allow long-term asset planning, increase consistency of cost estimates across options and to increase transparency and accountability [10]. WOLC cost estimates usually include initial agency costs, discounted future costs and other relevant costs where they are known [11].
WOLC cost analysis has many and broad applications. It has been used to compare different reinforced concrete marine structure designs [12], alternate energy storage systems [13], the benefit of rooftop gardens in urbanised cities [14] and municipal infrastructure such as bridges and roads [15]. The same approach has been used to compare road and airport pavement maintenance interventions [16,17], as well as comparing rigid and flexible road pavement designs [11].
When applied to pavement infrastructure, such as roads, estimation of the road user costs, such as maintenance related delays and fuel consumption costs, is challenging [18]. However, when various pavement structures of comparable functional or user performance are considered, the analysis focuses on the agency or asset owner costs and the analysis is less subjective. In this research, the benefit of the WOLC approach is to allow objective comparison of solutions with high construction cost, long life and low maintenance requirements (rigid pavement) against other structurally equivalent and viable options that are less expensive to initially construct, but have higher maintenance requirements (flexible pavements). Consequently, user costs were omitted from this analysis.

3. Whole of Lifecycle Cost Estimates

3.1. Aircraft

WOLC cost comparisons were prepared for pavements designed for a range of commercial aircraft (Table 1). The aircraft were selected to span the typical size of aircraft operating into major regional and international airports across Australia. The B737-800 was selected as the dominant aircraft for domestic routes in Australia and the B777-300ER was selected as one of the most demanding of the current aircraft for flexible and rigid pavement thickness design [19]. The B747-400 was also included as the historically largest aircraft for long-haul international flights.
In all cases, 5000 annual departures at maximum aircraft mass were assumed. Because the analysis focused on comparing the WOLC cost of rigid and flexible pavements, the actual aircraft, actual aircraft mass and actual operating frequency selected were not critical, as long they were consistently applied to both the rigid and flexible pavements.

3.2. Subgrades

Like road and other pavements, flexible aircraft pavement design characterises subgrades via the California Bearing Ratio (CBR) [2]. Four subgrades were considered, intended to span the range of typical subgrade conditions encountered at Australian airports (Table 2). For rigid pavement thickness design, the subgrade was converted to an equivalent modulus of subgrade reaction.

3.3. Pavement Designs

For each combination of aircraft and subgrade condition, a rigid and a flexible pavement thickness was calculated. Because each pair of pavement thicknesses were determined to be adequate for the same aircraft and the same subgrade condition, the paired flexible and rigid pavement thicknesses were structurally equivalent.
All pavement thicknesses were calculated using COMFAA 3.0 [4] in ‘thickness’ mode. For flexible pavements, the standard pavement structure included 75 mm of asphalt (referred to by the FAA as P-401), 150 mm of crushed rock base course (P-209) and the designed thickness of uncrushed gravel sub-base (P-154), which are detailed in Table 3. Sub-base thicknesses were rounded up to the next 25 mm for convenience and to allow for typical construction tolerance. For rigid pavements, the thickness of Portland cement concrete base course was calculated for a typical 4.5 MPa flexural strength concrete over a 150 mm thick crushed rock sub-base (P-154), as detailed in Table 4. For each concrete thickness, the subgrade CBR was converted to an equivalent modulus of subgrade reaction (k-value) and adjusted to account for the sub-base course [20]. Concrete thicknesses were rounded up to the nearest 25 mm for convenience and to allow for typical construction tolerance. These pavement structures are typical of regional airports in Australia, although the differ significantly from airport pavements that are commonly constructed in Europe and the United States [21].

3.4. Construction Costs

Construction costs were estimated by applying typical supply, construct and finish unit rates to each material. Overheads, mobilisation and other fixed costs were ignored. The rates were extracted from 10 years of pavement construction at a major international airport in Australia (Table 5). The subsequent construction and WOLC values depend greatly on the relative unit cost rates. Although these rates are typical of the Australian market, other jurisdictions must confirm their own rates. The unit costs were applied over an area 2500 m long and 45 m wide, reflecting a typical major regional runway in Australia, excluding shoulders, taxiways and other non-full strength pavement areas (Table 6). For example, the cost of the rigid pavement for the B737 aircraft on CBR 3 subgrade is calculated to be AUD 13 (subgrade preparation) + AUD 150 × 0.15 m (crushed rock) + AUD 500 × 0.45 m (concrete) = AUD 260.50/m2, or AUD 29.306 M over the full runway area.

3.5. Maintenance Costs

Maintenance costs were estimated over analysis periods of 40 years, 60 years, 80 years and 100 years. The standard period of 40 years reflects the design life of a rigid aircraft pavements in Australia. However, it is well established that rigid aircraft pavements are designed conservatively, with replacement usually triggered by non-structural distresses (such as joint spalling) and often last 60 years or more [22]. Consequently, longer analysis periods were also considered to allow their effect to be evaluated.
Typical unit rates for common maintenance activities were determined from 10 years of maintenance contracts at civil and military airfields in Australia (Table 7). Quantities of maintenance were estimated as portions of the pavement area, or the length of joints in rigid pavements, or as bulk items where the cost was minor. Expedient works include slab replacement and asphalt resurfacing and the cost rates are higher than for normal day-time construction, reflecting the increased resources, higher waste generation and reduced productivity associated with performing civil construction work in short (often night time) pavement closures and returning the pavement to service between work periods [23]. Like the construction cost rates, the maintenance cost rates are typical of the Australian airport market but must be verified for other jurisdictions.
All rigid pavements were assumed to require the same level of maintenance over their 40-year design life, regardless of the aircraft or the subgrade condition. Rigid pavement maintenance allowance included:
  • Spall repairs: 10, 20 and 30 years after construction at a rate of 0.5% of the pavement area.
  • Joint resealing: 25 years after construction at a rate of 100% of the length of all joints.
  • Crack route and seal: 12, 24 and 26 years after construction at a rate of 10% of the length of all joints.
  • Slab replacement: 35 years after construction at a rate of 1% of the pavement area.
Similarly, all flexible pavements were assumed to require the same maintenance, including asphalt resurfacing by asphalt overlay every 10 years. Other flexible pavement maintenance allowance included:
  • Crack sealing: 4- and 7-years following surfacing and resurfacing.
  • Surface preservation: 8 years following surfacing and resurfacing, applying to the whole surface.
  • Asphalt patching: 5- and 9-years following surfacing and resurfacing, at a rate of 1% of the pavement area.
Maintenance costs were applied through the various analysis periods and were discounted to represent the present value at the time of construction. That is, the further into the future the maintenance was required, the lower the present value of the maintenance and the less it added to the WOLC. Although alternate end of life assumptions and associated residual values are discussed below, the total actual (undiscounted) maintenance costs for the various analysis periods are summarised in Table 8.

3.6. Other Assumptions

Other assumptions made and tested include:
  • Discount rate. Used to reduce future costs to a present value.
  • End of life. Different to the design life, the end of life considers the likely actual serviceable life of the various pavements.
  • Residual value. The value (or cost) of the pavement at the end of the various analysis periods.
Discount rates of 3%, 5% and 7% were considered to evaluate the sensitivity of the WOLC costs to this parameter. Discount rates were only applied to future costs, such as maintenance, resurfacing (flexible pavements) and reconstruction (rigid pavements), so do not affect the construction cost. The discount rates were also applied to the residual value at the end of the analysis period.
Rigid and flexible pavements are generally designed for a 40-year and 15-year structural design life, respectively, in Australia [2]. In the USA, 20 years is often applied to both pavement types. However, rigid pavements are known to routinely exceed the design life, with many examples of 60 or more years old pavements still in service. Similarly, flexible pavements do not usually fail after 15 years. Rather, they are resurfaced, typically every 10–12 years, resetting the subgrade rutting failure condition, and are effectively perpetual in nature [1]. The 15-year design life is merely selected to ensure the flexible pavement structure lasts longer than the surface, so that resurfacing is required prior to reaching the terminal subgrade rutting condition. For the calculation of WOLC costs, the flexible pavements were assumed to be resurfaced every 10 years but to never require reconstruction [7]. However, the rigid pavements were assumed to require reconstruction every 40 years.
To test the sensitivity of the WOLC costs to this assumption, the 40-year analysis period was repeated, assuming the rigid pavement:
  • Requires reconstruction in an expedient (more expensive) manner.
  • Has an additional 20 years of service life before requiring reconstruction.

3.7. Whole of Life Cost Estimates

The WOLC costs are summarised in Appendix A. The summary includes the 40, 60, 80 and 100-year analysis periods for 3%, 5% and 7% discount rates. For the 40-year analysis period, the different rigid pavement end of life conditions were also considered via the residual value. These included:
  • Requires normal reconstruction, so the residual value was the negative of the original construction cost (Table 6).
  • Requires expedient reconstruction, so the residual value was based on the negative of the expedient construction cost (Table 7).
  • Continues to be serviceable for another 20 years, so the residual value was 33% of the initial construction cost.
For the reconstruction options, the cost of removing the existing pavement was assumed to be off-set by the value of the crushed concrete for reincorporation to the reconstruction or other project. That is, the cost of demolition and reconstruction was set equal to the cost of construction, either under continuous closure or in an expedient manner. In all cases, the residual value of the flexible pavement was the initial construction value less the cost of resurfacing, reflecting the perpetual nature of the pavement, as long as resurfacing occurs every 10 years [7].

4. Discussion

4.1. Construction Costs

Rigid airfield pavements are more expensive to construct (Table 6) with the cost of rigid pavement construction ranging from 20% to more than 110% more than a flexible pavement of equivalent strength (Figure 1). This reflects the high cost of concrete compared to the crushed rock that makes up the majority of the thickness of the flexible pavements. The range of additional cost associated with rigid pavement construction reflects the fact that concrete pavement thickness is less sensitive to subgrade CBR than flexible pavement construction is (Figure 2). Consequently, at low subgrade CBR values, the flexible pavement is much thicker than the concrete pavement and the additional cost associated with the more expensive concrete is less significant than for higher subgrade CBR values, where the pavements are of comparable total thickness.

4.2. Maintenance Costs

In contrast to the construction costs, the maintenance costs for the flexible pavement significantly exceed those of the rigid pavements. This reflects the rigid pavements requiring relatively little maintenance during the 40-year design life, compared to the resurfacing of the flexible pavement every 10 years. In actual (undiscounted) cost, the total (construction and maintenance) cost of the flexible pavements exceeds that of the rigid pavements (Figure 3). Particularly for the smaller aircraft (B737) and stronger subgrade (CBR 15) the flexible pavement maintenance cost significantly exceeds the cost to construct the pavement, in this case by 136%. However, this does not reflect the financial benefit of deferring costs associated with maintenance, nor does it consider the difference in residual value at the end of the 40-year analysis period, which are considered in the WOLC cost.

4.3. Whole of Life Cost

When the maintenance costs and residual values were discounted to calculate the WOLC cost, the difference between rigid and flexible pavements becomes more consistent, ranging from 41% to 105% for the 40-year analysis period and 5% discount rate (Figure 4). This range again reflects the higher sensitivity of flexible pavement thickness to subgrade strength, compared to rigid pavement thickness, although the effect was diluted by the discounted maintenance costs and residual values. Consequently, the relative additional WOLC cost of rigid pavement increased with higher subgrade CBR values. Furthermore, the importance of discounting the maintenance costs and including the residual value is demonstrated by comparing Figure 3 with Figure 4. When only the construction costs and the actual (undiscounted) maintenance costs were considered (Figure 3) the flexible pavements were more expensive. In contrast, the WOLC costs (Figure 4) take into account the residual value at the end of the analysis period and the discounted maintenance costs, resulting in the rigid pavements being significantly more expensive. The effect of varying the discount rate, as well as the analysis period, is described below.

4.4. Effect of Discount Rate

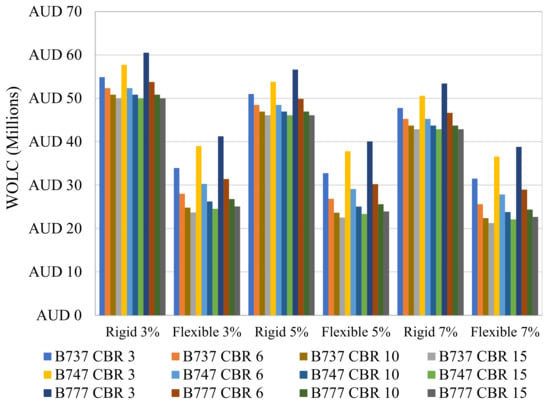
When the WOLC analysis was repeated at different discount rates, the construction cost and actual maintenance costs were the same, as were the actual residual values at the end of the analysis period. As the discount rate increased, the WOLC cost reduced for all aircraft and subgrade conditions (Figure 5) because all maintenance costs were discounted by a greater amount when converted to present value. Furthermore, as the discount rate increased, the ratio between the rigid WOLC and flexible WOLC costs decreased (Figure 6) reflecting the high influence of the residual cost on the rigid pavement WOLC cost, which is discussed further below.

4.5. Importance of Residual Value and End of Life Condition

The analysis period ended at the end of the rigid pavement design life (40 years). Consequently, the residual value and the end-of-life condition were inherently related for the rigid pavements. For example, if the assumed end of life condition was that the rigid pavement was failed and requires reconstruction, then the residual value was negative and equal to the cost of reconstruction. However, if the end of analysis (or design life) condition was assumed to be that the pavement was in reasonable condition and was expected to remain serviceable for a further 20 years (a total serviceable life of 60 years) then the residual value was positive and was set to 50% of the initial construction cost, which was based on a 40-year design life. In contrast, the perpetual nature of the flexible pavement means the residual value was the initial construction cost less the cost of resurfacing, which was always positive.
Complicating the question of residual value for rigid pavements is whether there is a need to reconstruct rigid pavements in an expedient manner or not. Expedient rigid pavement reconstruction is logistically complex and relatively expensive compared to construction during continuous pavement closures, or normal conditions [23].
Adopting a 60-year service life reduced the rigid pavement WOLC to below the WOLC cost of the flexible pavement, while adapting expedient pavement reconstruction increased the WOLC cost associated with the rigid pavements by approximately four times (Figure 7). Because the flexible pavement WOLC cost was unaffected by the rigid pavement end of life condition and residual value, the ratio between the rigid and flexible pavement WOLC cost also varied significantly, depending on the rigid pavement end of life assumption and the associated residual value (Figure 8). It is clear that the end-of-life assumption, and associated residual value, had a significant impact on the WOLC costs, with resulting conclusions ranging from:
  • Rigid pavements have a lower WOLC cost, when a further 20 years of serviceability was assumed.
  • Rigid pavement WOLC cost is 4–7 times that of flexible pavements, when expedient reconstruction was assumed at the end of the design life.
It is also clear that expedient reconstruction of rigid pavements is substantially more expensive than reconstruction during ongoing pavement closure. Consequently, it would be more economical to build a second rigid pavement runway than it would be to expediently reconstruct an existing rigid pavement runway, if the land and airspace were available.

4.6. Effect of Analysis Period

All the above discussion was based on a 40-year analysis period. Other analysis periods where then considered. The 40-year period was selected to be consistent with the design life of the rigid pavement. For the 60-year and 100-year analysis periods (Figure 9) the rigid pavement residual value was based on an additional 20 years of serviceability, returning a relatively lower WOLC cost compared to the 40-year and 80-year analysis periods, where the rigid pavement was assumed to require reconstruction (Figure 10). Consequently, the 60-year and 100-year analysis periods were associated with a reduced difference between the rigid and flexible pavement WOLC costs, compared to the 40-year and 80-year analysis periods.

5. Conclusions

WOLC cost analysis provides a useful tool for considering the relative cost of rigid and flexible aircraft pavements, better reflecting the combination of both the construction and maintenance costs of different pavement compositions. It was concluded that while useful and informative, WOLC is only as good as the assumptions and other factors are reliable. Importantly, the aircraft and subgrade conditions had a predictable effect on the relative WOLC cost of rigid and flexible pavement. In contrast, the analysis period and rigid pavement residual value, based on the end-of-life condition, significantly changed the relative WOLC cost associated with rigid pavements, which ranged from less expensive than flexible pavement, to four times more expensive than flexible pavement. Whether or not the rigid pavement needs to be reconstructed expediently was also a significant factor.

Funding

This research received no external funding.

Acknowledgments

The data presented in this paper was generated by Rohan Kitchen, a bachelor of civil engineering student at the University of the Sunshine Coast. The data was generated as part of Rohan’s final year engineering research project, performed under the author’s supervision.

Conflicts of Interest

The author declares no conflict of interest.

Appendix A. Whole of Life Cost Summaries

Table A1. Whole of Life Costs (millions) for different analysis periods and discount rates.
Table A1. Whole of Life Costs (millions) for different analysis periods and discount rates.
Analysis PeriodAircraftSubgrade3% Discount Rate5% Discount Rate7% Discount Rate
RigidFlexibleRigidFlexibleRigidFlexible
40 yearsB737CBR 3AUD 54.9AUD 33.9AUD 51.0AUD 32.7AUD 47.8AUD 31.5
40 yearsB737CBR 6AUD 52.4AUD 28.0AUD 48.5AUD 26.8AUD 45.2AUD 25.6
40 yearsB737CBR 10AUD 50.8AUD 24.8AUD 47.0AUD 23.6AUD 43.7AUD 22.4
40 yearsB737CBR 15AUD 50.0AUD 23.7AUD 46.1AUD 22.5AUD 42.9AUD 21.3
40 yearsB747CBR 3AUD 57.7AUD 39.0AUD 53.8AUD 37.8AUD 50.6AUD 36.6
40 yearsB747CBR 6AUD 52.4AUD 30.3AUD 48.5AUD 29.1AUD 45.2AUD 27.8
40 yearsB747CBR 10AUD 50.8AUD 26.2AUD 47.0AUD 25.0AUD 43.7AUD 23.8
40 yearsB747CBR 15AUD 50.0AUD 24.5AUD 46.1AUD 23.4AUD 42.9AUD 22.1
40 yearsB777CBR 3AUD 60.5AUD 41.2AUD 56.6AUD 40.1AUD 53.4AUD 38.8
40 yearsB777CBR 6AUD 53.8AUD 31.4AUD 49.9AUD 30.2AUD 46.7AUD 29.0
40 yearsB777CBR 10AUD 50.8AUD 26.8AUD 47.0AUD 25.6AUD 43.7AUD 24.4
40 yearsB777CBR 15AUD 50.0AUD 25.1AUD 46.1AUD 23.9AUD 42.9AUD 22.7
60 yearsB737CBR 3AUD 44.9AUD 43.7AUD 41.5AUD 35.8AUD 41.5AUD 35.8
60 yearsB737CBR 6AUD 42.4AUD 37.8AUD 39.0AUD 29.9AUD 39.0AUD 29.9
60 yearsB737CBR 10AUD 40.9AUD 34.6AUD 37.4AUD 26.7AUD 37.4AUD 26.7
60 yearsB737CBR 15AUD 40.0AUD 33.5AUD 36.6AUD 25.6AUD 36.6AUD 25.6
60 yearsB747CBR 3AUD 47.7AUD 48.8AUD 44.3AUD 40.9AUD 44.3AUD 40.9
60 yearsB747CBR 6AUD 42.4AUD 40.1AUD 39.0AUD 32.1AUD 39.0AUD 32.1
60 yearsB747CBR 10AUD 40.9AUD 36.0AUD 37.4AUD 28.1AUD 37.4AUD 28.1
60 yearsB747CBR 15AUD 40.0AUD 34.3AUD 36.6AUD 26.4AUD 36.6AUD 26.4
60 yearsB777CBR 3AUD 50.6AUD 51.0AUD 47.1AUD 43.1AUD 47.1AUD 43.1
60 yearsB777CBR 6AUD 43.8AUD 41.2AUD 40.4AUD 33.3AUD 40.4AUD 33.3
60 yearsB777CBR 10AUD 40.9AUD 36.6AUD 37.4AUD 28.7AUD 37.4AUD 28.7
60 yearsB777CBR 15AUD 40.0AUD 34.9AUD 36.6AUD 27.0AUD 36.6AUD 27.0
80 yearsB737CBR 3AUD 74.5AUD 50.6AUD 65.0AUD 42.9AUD 57.8AUD 37.7
80 yearsB737CBR 6AUD 72.0AUD 44.7AUD 62.5AUD 37.0AUD 55.3AUD 31.8
80 yearsB737CBR 10AUD 70.4AUD 41.5AUD 60.9AUD 33.8AUD 53.8AUD 28.6
80 yearsB737CBR 15AUD 69.6AUD 40.4AUD 60.1AUD 32.7AUD 52.9AUD 27.5
80 yearsB747CBR 3AUD 77.3AUD 55.7AUD 67.8AUD 48.0AUD 60.6AUD 42.8
80 yearsB747CBR 6AUD 72.0AUD 47.0AUD 62.5AUD 39.2AUD 55.3AUD 34.0
80 yearsB747CBR 10AUD 70.4AUD 42.9AUD 60.9AUD 35.2AUD 53.8AUD 30.0
80 yearsB747CBR 15AUD 69.6AUD 41.2AUD 60.1AUD 33.5AUD 52.9AUD 28.3
80 yearsB777CBR 3AUD 80.1AUD 57.9AUD 70.6AUD 50.2AUD 63.5AUD 45.0
80 yearsB777CBR 6AUD 73.4AUD 48.1AUD 63.9AUD 40.4AUD 56.7AUD 35.2
80 yearsB777CBR 10AUD 70.4AUD 43.5AUD 60.9AUD 35.8AUD 53.8AUD 30.6
80 yearsB777CBR 15AUD 69.6AUD 41.8AUD 60.1AUD 34.1AUD 52.9AUD 28.9
100 yearsB737CBR 3AUD 66.9AUD 55.4AUD 59.9AUD 44.9AUD 54.4AUD 38.6
100 yearsB737CBR 6AUD 64.3AUD 49.5AUD 57.4AUD 39.0AUD 51.9AUD 32.6
100 yearsB737CBR 10AUD 62.8AUD 46.3AUD 55.8AUD 35.8AUD 50.4AUD 29.4
100 yearsB737CBR 15AUD 62.0AUD 45.2AUD 55.0AUD 34.7AUD 49.5AUD 28.3
100 yearsB747CBR 3AUD 69.7AUD 60.5AUD 62.7AUD 50.0AUD 57.2AUD 43.6
100 yearsB747CBR 6AUD 64.3AUD 51.8AUD 57.4AUD 41.3AUD 51.9AUD 34.9
100 yearsB747CBR 10AUD 62.8AUD 47.7AUD 55.8AUD 37.2AUD 50.4AUD 30.8
100 yearsB747CBR 15AUD 62.0AUD 46.0AUD 55.0AUD 35.5AUD 49.5AUD 29.2
100 yearsB777CBR 3AUD 72.5AUD 62.8AUD 65.5AUD 52.2AUD 60.0AUD 45.9
100 yearsB777CBR 6AUD 65.7AUD 52.9AUD 58.8AUD 42.4AUD 53.3AUD 36.0
100 yearsB777CBR 10AUD 62.8AUD 48.3AUD 55.8AUD 37.8AUD 50.4AUD 31.4
100 yearsB777CBR 15AUD 62.0AUD 46.6AUD 55.0AUD 36.1AUD 49.5AUD 29.7
Table A2. Forty-year Whole of Life Costs (millions) for alternate rigid end of life assumptions.
Table A2. Forty-year Whole of Life Costs (millions) for alternate rigid end of life assumptions.
End of Life RequirementAircraftSubgrade3% Discount Rate5% Discount Rate7% Discount Rate
RigidFlexibleRigidFlexibleRigidFlexible
ExpedientB737CBR 3AUD 176.1AUD 33.9AUD 153.0AUD 32.7AUD 133.8AUD 31.5
ExpedientB737CBR 6AUD 173.6AUD 28.0AUD 150.4AUD 26.8AUD 131.3AUD 25.6
ExpedientB737CBR 10AUD 172.1AUD 24.8AUD 148.9AUD 23.6AUD 129.8AUD 22.4
ExpedientB737CBR 15AUD 171.2AUD 23.7AUD 148.1AUD 22.5AUD 128.9AUD 21.3
ExpedientB747CBR 3AUD 178.9AUD 39.0AUD 155.8AUD 37.8AUD 136.6AUD 36.6
ExpedientB747CBR 6AUD 173.6AUD 30.3AUD 150.4AUD 29.1AUD 131.3AUD 27.8
ExpedientB747CBR 10AUD 172.1AUD 26.2AUD 148.9AUD 25.0AUD 129.8AUD 23.8
ExpedientB747CBR 15AUD 171.2AUD 24.5AUD 148.1AUD 23.4AUD 128.9AUD 22.1
ExpedientB777CBR 3AUD 181.7AUD 41.2AUD 158.6AUD 40.1AUD 139.5AUD 38.8
ExpedientB777CBR 6AUD 175.0AUD 31.4AUD 151.8AUD 30.2AUD 132.7AUD 29.0
ExpedientB777CBR 10AUD 172.1AUD 26.8AUD 148.9AUD 25.6AUD 129.8AUD 24.4
ExpedientB777CBR 15AUD 171.2AUD 25.1AUD 148.1AUD 23.9AUD 128.9AUD 22.7
20 yearsB737CBR 3AUD 24.9AUD 33.9AUD 25.8AUD 32.7AUD 26.5AUD 31.5
20 yearsB737CBR 6AUD 22.4AUD 28.0AUD 23.3AUD 26.8AUD 24.0AUD 25.6
20 yearsB737CBR 10AUD 20.9AUD 24.8AUD 21.8AUD 23.6AUD 22.5AUD 22.4
20 yearsB737CBR 15AUD 20.0AUD 23.7AUD 20.9AUD 22.5AUD 21.6AUD 21.3
20 yearsB747CBR 3AUD 27.7AUD 39.0AUD 28.6AUD 37.8AUD 29.3AUD 36.6
20 yearsB747CBR 6AUD 22.4AUD 30.3AUD 23.3AUD 29.1AUD 24.0AUD 27.8
20 yearsB747CBR 10AUD 20.9AUD 26.2AUD 21.8AUD 25.0AUD 22.5AUD 23.8
20 yearsB747CBR 15AUD 20.0AUD 24.5AUD 20.9AUD 23.4AUD 21.6AUD 22.1
20 yearsB777CBR 3AUD 30.6AUD 41.2AUD 31.4AUD 40.1AUD 32.1AUD 38.8
20 yearsB777CBR 6AUD 23.8AUD 31.4AUD 24.7AUD 30.2AUD 25.4AUD 29.0
20 yearsB777CBR 10AUD 20.9AUD 26.8AUD 21.8AUD 25.6AUD 22.5AUD 24.4
20 yearsB777CBR 15AUD 20.0AUD 25.1AUD 20.9AUD 23.9AUD 21.6AUD 22.7
Expedient indicates expedient reconstruction; 20 years indicates a further 20 years of service life.

References

  1. White, G.; Farelly, J.; Jamieson, S. Estimating the value and cost of Australian aircraft pavement assets. In Proceedings of the International Airfield and Highway Pavement Conference, Online. 8–10 June 2021; Available online: https://collaborate.asce.org/events/event-description?CalendarEventKey=b4a1a0ad-2c7c-4aef-9200-c234db31484a&Home=%2Fevents (accessed on 15 June 2021).
  2. Airfield Pavement Essentials; Airport Practice Note 12; Australian Airports Association: Canberra, ACT, Australia, 2017. Available online: https://airports.asn.au/airport-practice-notes/ (accessed on 30 November 2017).
  3. White, G. A sensitivity analysis of APSDS, an Australian mechanistic design tool for flexible aircraft pavement thickness determination. In Proceedings of the First European Aircraft Pavement Workshop, Amsterdam, The Netherlands, 11–12 May 2005. [Google Scholar]
  4. COMFAA 3.0; Federal Aviation Administration: Washington, DC, USA, 2014. Available online: http://www.airporttech.tc.faa.gov/Download/Airport-Pavement-Papers-Publications-Detail/dt/Detail/ItemID/22/COMFAA-30 (accessed on 17 December 2017).
  5. Aerodromes—Aerodrome Design and Operations; Annex 14 to the Convention on International Civil Aviation; ICAO: Montreal, QC, Canada, 2013; Volume 1.
  6. Jamieson, S.; White, G. Defining Australian rigid aircraft pavement design and detailing practice. In Proceedings of the International Airfield and Highway Pavement Conference, online. 8–10 June 2021. [Google Scholar]
  7. White, G.; Boston, W. Quantifying the cost of different runway overlay designs. In Proceedings of the 18th AAPA International Flexible Pavements Conference, Sydney, NSW, Australia, 19–20 August 2019. [Google Scholar]
  8. Deilami, S.; White, G. Review of reflective cracking in composite pavements. Int. J. Pavement Res. Technol. 2020, 13, 524–535. [Google Scholar] [CrossRef]
  9. Walls, J.; Smith, M.R. Life-Cycle Cost Analysis in Pavement Design; Interim Technical Bulletin; Federal Highway Administration: Washington, DC, USA, 1998.
  10. Whole-of-Life Costing for Australian Government; Resource Management Guide No. 503; Department of Finance: Canberra, ACT, Australia, 2014.
  11. Rangaraju, P.R.; Amirkhanian, S.; Guven, Z. Life Cycle Cost Analysis of Pavement Type Selection; Report Number FHWA-SC-08-01; Clemson University: Clemson, SC, USA, 2008. [Google Scholar]
  12. Val, D.V.; Stewart, M.G. Life-cycle cost analysis of reinforced concrete structures in marine environments. Struct. Saf. 2003, 25, 343–362. [Google Scholar] [CrossRef]
  13. Zakeri, B.; Syri, S. Electrical energy storage systems: A comparative life cycle cost analysis. Renew. Sustain. Energy Rev. 2015, 42, 569–596. [Google Scholar] [CrossRef]
  14. Nyuk, H.W.; Su, F.; Raymond, W. Life cycle cost analysis of roof-top gardens in Singapore. Build. Environ. 2003, 38, 499–509. [Google Scholar]
  15. Thoft-Christensen, P. Infrastructures and life-cycle cost-benefit analysis. Struct. Infrastruct. Eng. 2010, 8, 507–516. [Google Scholar] [CrossRef] [Green Version]
  16. Giustozzi, F.; Crispino, M.; Flintsch, G. Multi-attribute life cycle assessment of preventive maintenance treatments on road pavements for achieving environmental sustainability. Int. J. Life Cycle Assess. 2012, 17, 409–419. [Google Scholar] [CrossRef]
  17. Gendreau, M.; Soriano, P. Airport pavement management systems: An appraisal of existing methodologies. Transp. Res. Part A Policy Pract. 1998, 32, 3. [Google Scholar] [CrossRef]
  18. Rister, B.W.; Graves, C. The Cost of Construction Delays and Traffic Control for Life-Cycle Cost Analysis of Pavements; Research Report KTC-02-07/SPR197-99 & SPR218-00-1F; University of Kentucky: Lexington, KY, USA, 2002. [Google Scholar]
  19. White, G. Challenges for Australian flexible airport pavements. Aust. Geomech. 2016, 51, 39–46. [Google Scholar]
  20. Airport Pavement Design and Evaluation; Advisory Circular 150/5320/6D; Federal Aviation Administration: Washington, DC, USA, 1995. Available online: https://www.faa.gov/regulations_policies/advisory_circulars/index.cfm/go/document.information/documentID/22105 (accessed on 10 June 2021).
  21. White, G.; Kelly, G.; Fairweather, H.; Jamshidi, A. Theoretical socio-enviro-financial cost analysis of equivalent flexible aircraft pavement structures. In Proceedings of the 99th Annual Meeting of the Transportation Research Board, Washington, DC, USA, 12–16 January 2020. [Google Scholar]
  22. White, G. Challenges for rigid airfield pavements in Australia. In Proceedings of the 4th ASCP Concrete Pavements Conference, Kingscliff, NSW, Australia, 16–18 July 2017. [Google Scholar]
  23. White, G. Expedient runway upgrade technologies. In Proceedings of the Tenth International Conference on the Bearing Capacity of Roads, Railways and Airfields, Athens, Greece, 28–30 June 2017. [Google Scholar]
Figure 1. Ratio of rigid to flexible pavement construction cost.
Figure 1. Ratio of rigid to flexible pavement construction cost.
Infrastructures 06 00117 g001
Figure 2. Subgrade CBR effect on total pavement thickness.
Figure 2. Subgrade CBR effect on total pavement thickness.
Infrastructures 06 00117 g002
Figure 3. Pavement construction, actual maintenance and total costs.
Figure 3. Pavement construction, actual maintenance and total costs.
Infrastructures 06 00117 g003
Figure 4. Forty-year 5% discount WOLC comparison.
Figure 4. Forty-year 5% discount WOLC comparison.
Infrastructures 06 00117 g004
Figure 5. Forty-year WOLC for different discount rates.
Figure 5. Forty-year WOLC for different discount rates.
Infrastructures 06 00117 g005
Figure 6. Effect of discount rate on rigid/flexible WOLC cost ratio.
Figure 6. Effect of discount rate on rigid/flexible WOLC cost ratio.
Infrastructures 06 00117 g006
Figure 7. Forty-year WOLC cost for different rigid pavement end of life assumptions.
Figure 7. Forty-year WOLC cost for different rigid pavement end of life assumptions.
Infrastructures 06 00117 g007
Figure 8. Effect of end-of-life assumption on rigid/flexible WOLC cost ratio.
Figure 8. Effect of end-of-life assumption on rigid/flexible WOLC cost ratio.
Infrastructures 06 00117 g008
Figure 9. WOLC cost for different analysis periods at 5% discount rate.
Figure 9. WOLC cost for different analysis periods at 5% discount rate.
Infrastructures 06 00117 g009
Figure 10. Effect of analysis period on rigid/flexible WOLC cost ratio.
Figure 10. Effect of analysis period on rigid/flexible WOLC cost ratio.
Infrastructures 06 00117 g010
Table 1. Aircraft details.
Table 1. Aircraft details.
AircraftMaximum Mass (t)Tyre Pressure (kPa)Representing
B737-80079.21140Domestic services
B747-400397.81380International services
B777-300ER352.41530Demanding aircraft
Table 2. Subgrade conditions.
Table 2. Subgrade conditions.
Subgrade CBRRatingRepresenting
3%Very low strengthClay and silt
6%Low strengthSilt and stabilised clay
7%Medium strengthSilty/sandy gravel
15%High strengthDense sand or gravel
Table 3. Flexible pavement sub-base thickness (mm).
Table 3. Flexible pavement sub-base thickness (mm).
AircraftCBR 3CBR 6CBR 10CBR 15
B737-8001100675400250
B747-4001550875525325
B777-300ER1750975575375
Thicknesses exclude 75 mm asphalt and 150 mm crushed rock base.
Table 4. Rigid pavement concrete thickness (mm).
Table 4. Rigid pavement concrete thickness (mm).
AircraftCBR 3CBR 6CBR 10CBR 15
B737-800450425400375
B747-400500425400375
B777-300ER550450400375
Thicknessed exclude 150 mm crushed rock sub-base.
Table 5. Supply, construct and finish cost rates.
Table 5. Supply, construct and finish cost rates.
ItemRateUnitsNotes
Prepare clay (CBR 3%) subgrade13AUD/m2In situ lime stabilise clay and compact prior to proof rolling
Prepare silt (CBR 6%) subgrade3AUD/m2Water, compact and lightly roll
Prepare gravel (CBR 10%) subgrade2AUD/m2Water and lightly roll
Prepare sand (CBR 15%) subgrade7AUD/m2Bund and flood sand and compact prior to proof rolling
Natural gravel sub-base course (P-154)100AUD/m3Water, grader place and compact prior to proof rolling
Crushed rock base course (P-209)150AUD/m3Condition, paver place and compact prior to proof rolling
Asphalt (P-401)720AUD/m3Polymer modified binder in a binder rich dense graded mixture
Concrete (P-501)500AUD/m34.5 MPa flexural strength, 40 mm maximum aggregate size
Table 6. Estimated construction costs.
Table 6. Estimated construction costs.
Design ScenarioConstruction Cost (Millions)
AircraftSubgradeRigidFlexible
B737CBR 3AUD 29.3AUD 21.6
B737CBR 6AUD 26.8AUD 15.7
B737CBR 10AUD 25.3AUD 12.5
B737CBR 15AUD 24.4AUD 11.4
B747CBR 3AUD 32.1AUD 26.7
B747CBR 6AUD 26.8AUD 17.9
B747CBR 10AUD 25.3AUD 13.9
B747CBR 15AUD 24.4AUD 12.2
B777CBR 3AUD 34.9AUD 28.9
B777CBR 6AUD 28.2AUD 19.1
B777CBR 10AUD 25.3AUD 14.5
B777CBR 15AUD 24.4AUD 12.8
Table 7. Maintenance cost rates.
Table 7. Maintenance cost rates.
ItemRateUnitsNotes
Spall repairs1000AUD/m2Rigid pavement
Joint sealing10AUD/mRigid pavement
Crack route and seal20AUD/mRigid pavement
Slab replacement37,500AUD/m2Rigid pavement expedient construction
Crack sealing4000AUD (allowance)Flexible pavement
Surface preservation3AUD/m2Flexible pavement
Asphalt patching120AUD/m2Flexible pavement
Resurfacing72AUD/m2Flexible pavement expedient construction
Table 8. Estimated maintenance costs.
Table 8. Estimated maintenance costs.
Analysis PeriodActual Maintenance Cost (Millions)Notes
RigidFlexible
40 yearsAUD 3.7AUD 26.8No rigid reconstruction as the design life is not exceeded
Flexible pavement is perpetual if resurfaced every 10 years
60 yearsAUD 33.4AUD 44.2Rigid pavement reconstructed after 40 years
Flexible pavement is perpetual if resurfaced every 10 years
80 yearsAUD 36.7AUD 61.7Rigid pavement reconstructed after 40 years
Flexible pavement is perpetual if resurfaced every 10 years
100 yearsAUD 66.4AUD 79.1Rigid pavement reconstructed after 40 years and 80 years
Flexible pavement is perpetual if resurfaced every 10 years
Publisher’s Note: MDPI stays neutral with regard to jurisdictional claims in published maps and institutional affiliations.

Share and Cite

MDPI and ACS Style

White, G. Comparing the Cost of Rigid and Flexible Aircraft Pavements Using a Parametric Whole of Life Cost Analysis. Infrastructures 2021, 6, 117. https://doi.org/10.3390/infrastructures6080117

AMA Style

White G. Comparing the Cost of Rigid and Flexible Aircraft Pavements Using a Parametric Whole of Life Cost Analysis. Infrastructures. 2021; 6(8):117. https://doi.org/10.3390/infrastructures6080117

Chicago/Turabian Style

White, Greg. 2021. "Comparing the Cost of Rigid and Flexible Aircraft Pavements Using a Parametric Whole of Life Cost Analysis" Infrastructures 6, no. 8: 117. https://doi.org/10.3390/infrastructures6080117

APA Style

White, G. (2021). Comparing the Cost of Rigid and Flexible Aircraft Pavements Using a Parametric Whole of Life Cost Analysis. Infrastructures, 6(8), 117. https://doi.org/10.3390/infrastructures6080117

Article Metrics

Back to TopTop