Next Article in Journal
Cement-Bonded Particleboards with Banana Pseudostem Waste: Physical Performance and Bio-Susceptibility
Next Article in Special Issue
Accessibility in European Peripheral Territories: Analyzing the Portuguese Mainland Connectivity Patterns from 1985 to 2020
Previous Article in Journal
Influence of Recycled Aggregates on the Mechanical Properties of Synthetic Fibers-Reinforced Masonry Mortars
 
 
Font Type:
Arial Georgia Verdana
Font Size:
Aa Aa Aa
Line Spacing:
Column Width:
Background:
Article

Understanding Traffic Congestion via Network Analysis, Agent Modeling, and the Trajectory of Urban Expansion: A Coastal City Case

by
Julio Amézquita-López
1,2,*,
Jorge Valdés-Atencio
2 and
David Angulo-García
3
1
Doctorado en Ciencia Regional: Empresa y Territorio (CREMTE), Universidad de Huelva, 21004 Huelva, Spain
2
Grupo de Investigación del Instituto de Políticas Públicas Regional y de Gobierno (GIPREG), Instituto de Políticas Públicas Regional y de Gobierno (IPREG), Universidad de Cartagena, Cartagena de Indias, Bolívar 130001, Colombia
3
Grupo de Modelado Computacional-Dinámica y Complejidad de Sistemas, Instituto de Matemáticas Aplicadas, Universidad de Cartagena, Carrera 6 # 36-100, Cartagena de Indias, Bolívar 130001, Colombia
*
Author to whom correspondence should be addressed.
Infrastructures 2021, 6(6), 85; https://doi.org/10.3390/infrastructures6060085
Submission received: 28 April 2021 / Revised: 27 May 2021 / Accepted: 28 May 2021 / Published: 6 June 2021
(This article belongs to the Special Issue Planning Peripheral and Ultra-Peripheral Infrastructures)

Abstract

The study of patterns of urban mobility is of utter importance for city growth projection and development planning. In this paper, we analyze the topological aspects of the street network of the coastal city of Cartagena de Indias employing graph theory and spatial syntax tools. We find that the resulting network can be understood on the basis of 400 years of the city’s history and its peripheral location that strongly influenced and shaped the growth of the city, and that the statistical properties of the network resemble those of self-organized cities. Moreover, we study the mobility through the network using a simple agent-based model that allows us to study the level of street congestion depending on the agents’ knowledge of the traffic while they travel through the network. We found that a purely shortest-path travel scheme is not an optimal strategy and that assigning small weights to traffic avoidance schemes increases the overall performance of the agents in terms of arrival success, occupancy of the streets, and traffic accumulation. Finally, we argue that localized congestion can be only partially ascribed to topological properties of the network and that it is important to consider the decision-making capability of the agents while moving through the network to explain the emergence of traffic congestion in the system.

1. Introduction

Urban mobility tends to be categorized as either daily mobility or occasional mobility, and in terms of its spatial nature, has two aspects: one is an appropriate or resolved process that is translated into effective or physical movement (generally expressed under the metric of Euclidean space as a flow) and the second is a potential process (as an unrealized virtuality, that is, as an alternative option for the agents that are mobilized). This double cognitive assessment is a key factor in the historical process of growing human mobility due to “the propensity to seek a significant number of places of activity, rather than to reduce travel times” [1].
The underlying infrastructure and spatial substrate where mobility in a city occurs is along street network, and many studies have been devoted to the analysis of these networks in terms of spatial syntax and graph theoretical approaches [2]. The study of the structural aspects of a road network helps in the understanding of some of the emergent behavior that appears in this intrinsically complex system. For instance, the statistical properties of a street network are proxies for the development history of a city ranging from self-organized to strongly planned urban areas [3,4,5]. Another interesting emergent phenomenon arising from the interaction between vehicles in a network is the traffic jam [6,7]. Traffic congestion can also be assessed from the graph theoretical perspective: for example, it has been established that the centrality properties of a street network strongly correlate with vehicular density [8,9]. The importance of identifying key structural points in the network is therefore fundamental to the design and application of infrastructural solutions, such as roundabouts [10,11,12] and overpasses [13,14], aiming to ensure a smooth flow of vehicles.
Even when the importance of the study of the structural properties in these networks is not in doubt, vehicular mobility in a city is a dynamic phenomenon. This requires the use of modeling tools beyond the static picture that spatial syntax provides [15]. Different types of models have been proposed to this end, from microscopic models that include cellular automata and car-following models to macroscopic models studying vehicular density through continuity equations [16,17,18].
Within the microscopic vehicular flow models are agent-based models, where vehicles behave as elements with a certain degree of decision autonomy while they move through the network [19]. This type of modeling has gained much attention in the transport community, so much so that to date, there exist several agent-based modeling software specially used in transport systems (see, for instance, [20,21,22]). Here, we make use of a simple agent-based model that has been used in the context of communication networks [23,24,25,26] and, more recently, for road networks [27] and we adapt it to vehicular movement along the road network of Cartagena de Indias. The choice of the model is motivated by the simple algorithmic implementation in contrast with other complex microsimulation techniques. In this model, agents are created at a given rate, and each vehicle (agent) tries to reach its destination based on a protocol that seeks to minimize the distance traveled while avoiding congested streets. The model used here incorporates topological elements (network) together with congestion perception in the agent’s choice to take an alternative route to its destination, an aspect that is quite often underestimated. This emphasizes the emergent aspects of self-organization arising from the agent’s decision-making capabilities based on perception of traffic jams.
With the purpose of finding evidence for self-organization, we start studying the morphological (graph) representation of the road network in Cartagena de Indias. We apply spatial network metrics, and we discuss how the particular historical pathway of the city shaped the configuration of the network. Moreover, we analyze the effect of the resulting road structure in the displacement flows through the city using the agent-based model at different rates of incorporation of agents into the system. The resulting correlations allow us to check the nonlinear and counterintuitive effects related to the self-organization of displacement flows. To this end, the paper is organized as follows: In Section 2, we describe some generalities of Cartagena de Indias urban development. In Section 3, we present the methodological aspects of the research, namely the network tools to be applied and the agent-based model. In Section 4, we analyze the results that we obtain, and finally, in Section 5, we discuss some conclusions and future work.

2. Case of Study: Cartagena de Indias

Cartagena de Indias (Colombia) is a coastal city with an area of 559 km2 and a population of approximately one million residents (1,028,736 in 2020) according to the last national census in 2018. It has an influx of tourists (nonresident foreigners) and visitors who totaled 530,177 (2019) people per year, before the outbreak of COVID-19. These visitors moved through an urban area (which, in 2019, was just under 82 km2 of the 559 km2 of the city’s total area) that comprises the historic city center and other relevant places [28]. Due to the diversity of economic activities in the city that includes industry, port logistics, commerce, and cultural promotion, the city is recognized as a well-known productive and economic hub of the country. The infrastructure of urban mobility has evolved towards a road network with a total length of 1359 km (Authors’ calculation based on GIS Data of Open Street Map (OSM)), with only 321 km (23.6% of the total) of these constituting main roads or avenues capable of supporting public transport vehicles of different dimensions. This road network was developed despite the physiography of the city of Cartagena, which is characterized by an extensive network of wetlands, canals, and lagoons, in addition to the 198 km of coastline and an important insular system (see Figure 1). Altogether, Cartagena’s urban mobility network is composed of a complex mix of convergent flows linked to import/export cargo, the supply and distribution of goods and merchandise, as well as the itineraries of residents and visitors from neighboring municipalities.
Figure 2 illustrates the types of enclaves that are related to the principal daily flows of traffic within the urban zone. As can be seen from the figure, the main artery of the city is the Pedro de Heredia Avenue, which is the only main road artery of the city. This condition is even more critical when one considers that, at the intersections of this main artery, there is not a single overpass along its route between the Industrial Zone, Ternera, and the Historic City Center. This means that influxes are concentrated at the intersections and organized primarily via roundabouts and traffic lights. A detailed explanation of the historical context of the urban configuration can be found in Appendix A. Briefly speaking, three main types of vehicle flows are found in the City of Cartagena:
  • Most daily trips are made to/from the historic city center, since it is the locus of many institutions and enterprises. Moreover, in the city, we find a convergence of touristic circuits coming from the airport, the harbor, and the bus terminal. The influx of vehicles comes via the Pedro de Heredia Avenue.
  • Another important flux in the network is formed by industrial workers traveling to the Mamonal Industrial Zone. It should be noted that it is in this area that cargo operation logistics are concentrated and large vehicles (cargo trucks) are therefore mixed with regular vehicles.
  • The third type of flux is composed of interurban vehicles transporting workers from nearby municipalities (see Figure 1) including insular and rural areas.
In summary, mobility in Cartagena can be roughly summarized as two gravity zones acting as sinks for the vehicular flow (city center and Mamonal Industrial zone) and the different peripheral areas acting as sources.

3. Mathematical Methods

3.1. Network Analysis

In order to study the road network of the city of Cartagena, we made use of the ArcGIS software to obtain the so-called primal representation [29] of the graph where intersections are represented by nodes and roads are represented by links in the graph. The data was adapted from the GIS Data of Open Street Map (OSM) that included the length of streets and the coordinates of the intersections. Only main streets were considered, and these were chosen as the streets used by the Public Urban Transportation System. With this information, we can represent the mobility network of Cartagena de Indias in the form of a graph G with roads represented as links and intersections as nodes. Each link (street) connecting intersections i and j is assigned a weight l i j equivalent to the length of the connecting street. Only intersections of more than two streets were considered, since a two-road intersection can be merged in a single link with total distance equal to the sum of individual distances. Although this coarse grain approach can overlook dynamic processes such as the existence of pedestrian signals, we consider these to be a second-order effect in our analysis.
With the aim of assessing the topological features of the graph related to the emergence of traffic congestion, we quantified several topological indicators to try to establish critical nodes for mobility in the Cartagena mobility network map. First, we calculated the characteristic path length of the network defined as the average distance L across the network, namely:
L = 1 N ( N 1 ) i j D i j ,
where D i j is the distance matrix defined as the shortest path between nodes i and j, considering the actual lengths of the streets, and N is the number of nodes across the network.
We also analyzed the topology of the street network in terms of the angular distribution of the intersections, namely the angle made between two streets that meet in a common node. The angle between two incident links i and j can be calculated as:
θ i j = cos 1 ( V i · V j ) | | V i | | · | | V j | | ,
where V i ( V j ) are the vectors formed by the points defining the initial and end coordinates of the street i (j) [30].
Additionally, two measures of centrality were calculated, namely closeness centrality c i and betweenness centrality b i for each node, defined as:
c i = A i N 1 2 1 D i
b i = s , t i n s t ( i ) N s t
In Equation (3), A i is the number of reachable nodes from i excluding itself and D i is the sum of distances from node i to all reachable nodes. In Equation (4), n s t is the number of shortest paths from nodes s and t that passes through i and N s t is the total number shortest paths from s to t.

3.2. Dynamics of Traffic Flow

Once we have described the topological features of the street network, we proceed to use this network to simulate traffic flow on it through an agent-based model and describe different scenarios arising from different agents’ behavior. To do so, we made use of the traffic flow model first proposed in [23] used in the context of communication networks. This model considers at each time step a set of R agents with predefined departure and destination nodes. The number of agents R reflects an element traveling across the network. The most straightforward interpretation is that agents are equivalent to single automobiles, but they could also include motorcycles, bikes, and massive transport systems. At each step, one node can transfer only one agent to a neighboring node i following a strategy that amounts to reducing the “effective distance” to the agent’s destination. Notice that, since each node can only transfer one agent at each simulation step, it is possible that a queue of agents is formed in certain nodes, especially those with high betweenness-centrality [31]. An agent in a node will then travel to the neighboring node i with the smallest effective distance defined as:
d i = h D ^ i j + ( 1 h ) q i
where q i is the occupation of the neighboring node, h [ 0 , 1 ] is a parameter that tunes the degree of importance that the agent gives to the traffic knowledge, and D ^ i j = D i j / < l > , i.e., the distance from neighboring node i and destination j is properly normalized by the average length of the streets in the map. Given that the agents only move to an adjacent node at each time step, this time step represents roughly a time scale of tens-of-seconds, which is usually the time required to travel between intersections. In Figure 3, we show a prototype example of the agent’s calculation at each time step. An agent at the current node n 0 is seeking to reach destination n f . In the schematic example, two possible routes to follow are given to the agent r 1 and r 2 depicted in red. In r 1 , only one intersection (circle) is found with a total distance of 200 m, and the occupation (queue) of that intersection is given by the number of points in the node. Conversely, route r 2 has two intersections with a total distance of 250 m and two intersections. Notice that the agent in node n 0 only sees the occupation of the nearest intersection. The decision of taking r 1 or r 2 will depend on the calculation of the effective distance along each route d r 1 and d r 2 , namely:
d r 1 = h 200 l + ( 1 h ) 4
d r 2 = h 250 l + ( 1 h ) 2
Normalization of the distance is made in such a way that the two terms being compared in the effective distance vary in a similar order of magnitude, preventing one variable from becoming excessively larger than the other. It is easy to verify that, assuming l = 100 m, the same agent picks r 2 if h < 0.8 and r 1 otherwise. Of course, a value of h = 1 is a strategy which always follows the shortest path, while h = 0 is equivalent to a random walk through the less-congested nodes until reaching the destination. Once an agent has reached its destination, it is removed from the network and the number of iterations it took to reach it (arrival time T) is stored for further analysis. A way of determining the level of congestion in the network is through the so-called order parameter. This indicates whether the number of agents in the network tends to increase in time, or whether it reaches a steady value. The order parameter can be defined as:
ρ = lim t N a g ( t + τ ) N a g ( t ) τ R .
In Equation (8), N a g ( t ) is the number of agents in the network at time t and τ is an observation time that is selected after a transient that guarantees that the system is in a steady operation. The order parameter ρ [ 0 , 1 ] , with ρ = 0 describing a road network with no congestion, while ρ > 0 indicates a transition to a congested one.
Depending on the assignation of the departure and destination node, we will distinguish between two different scenarios:
  • Scenario #1: Both departure and destination nodes are assigned randomly.
  • Scenario #2: Departure and destination nodes are defined following a preferential assignment rule, seeking to emulate realistic commuting patterns:
    (i)
    80% of the R agents created at each step are assigned a destination node within the historic city center and the Mamonal Industrial Zone, the main centers of gravity as described in Section 2. The other 20% are assigned randomly across the nongravity nodes.
    (ii)
    Similarly, 80% of the R agents created at each step are assigned a departure node in the peripheral area, namely nodes from the northern, eastern, and southernmost areas. The remaining 20% of departure nodes are assigned randomly across the nonperipheral nodes.
Simulations of the agent-based model and statistical analysis were performed using custom-made scripts written in Matlab 2018b. Scripts and related files can be accessed through the web page reported in the Data Availability section.

4. Results

4.1. Network Analysis

We first performed the topological analysis described in Section 3.1. The coarse grained network of the city of Cartagena is composed by N = 693 intersections and k = 1208 roads. The road length distribution is shown in Figure 4. From this distribution, it is possible to deduce a median length of m e d ( l ) = 170 m, and a standard deviation σ = 734 m. A large σ value, with respect to the median, is the fingerprint of long-tailed distributions. The nature of the distribution of the road length is of course highly dependent on the scale of the street map that is being analyzed. A smaller dispersion of the street’s length data is to be expected if we were to consider specific geographically localized areas in the map. However, as we are interested in the large scale analysis, few long streets connecting distant suburban areas of the city may appear, giving rise to the exponential decay of the distribution (see inset Figure 4A). From an urbanistic perspective, this type of distribution with a pronounced peak at short routes is an indicator of few urban interventions of long-distance road infrastructure that allow high travel speeds and substantially modify spatial accessibility.
This type of distribution has been reported already in [3] in cities with self-organized development in contrast to cities with strongly planned growth. This is consistent with the historical growth of Cartagena described in Appendix A, and the lack of monitoring and evaluation of the management of urban planning of the city conceived in the territorial planning of Cartagena [32]. The phenomena of self-organization expresses complex interactions in the flow of activities and urban traffic of the XXI century on the rugged physiography of the coastline and the wetlands, and a fortified enclave with military design prior to 1830. These interactions are expressed simultaneously in various places through the fabric of the urban network in the form of congestion and can be due to multiple factors: behaviors and daily itineraries of social groups, mobility restrictions due to housing and public space conditions, patterns of commerce and work, and the adaptations and the behaviors of the agents who move. Short roads indicate numerous intersections with road geometry that limits visual depth and makes turning radii unsuitable for public transportation vehicles. Next, the distribution of the distances in the network is shown in Figure 4B, where a characteristic path length (depicted as a red dashed line) L 7 km, was found. Comparing this result with those reported in panel A of the same Figure, one can deduce that a trip between two randomly chosen points of the network requires the crossing of approximately 40 intersections constituting sources of conflicting flows. Conflict between flows can be increased when crossings meet at sharp angles. To examine this, we calculated the distribution of the angles between intersections according to Equation (2), which is shown in Figure 4C, and we found that, for the city of Cartagena, there is an expected peak in the angular distribution around 90° and integer multiples (see second peak at 180°), which is due to the gridlike structure of cities. This peak is more and more pronounced in top-down planned cities [33]. However, in the case of Cartagena, such top-down planning has been lacking for many years due to poor long term policies, and more importantly due to its topographical location that has conditioned its growth.
In Figure 5, we show the resulting centralities in Cartagena’s street network, which, for the sake of visualization, have been normalized to their respective z-score (number of standard deviations that a given value deviates from the mean) mapped to the color code. Figure 5A depicts c i where it is possible to observe that the most central nodes according to this indicator are located at the geographical center of the urban area, following precisely the path of Pedro de Heredia Avenue. As previously mentioned, this avenue constitutes the backbone of urban expansion from the old city center. In previous studies and mobility interventions, the condition Pedro de Heredia avenue as the main artery has been ratified. It has the highest hierarchy amongst urban roads in Cartagena, and for the same reason, it is highly vulnerable to collapse or interruption [34] along its critical nodes (depicted in red). This suggests that Cartagena’s mobility network is highly vulnerable to contingencies in those critical nodes, such as seasonal congestion, road accidents, or street blockage during social protests, that may lead to the emergence of traffic congestion that rapidly spreads to the rest of the network.
Meanwhile, the spatial distribution of b i (depicted in Figure 5B) highlights the importance of a few critical intersections, which are mainly located in the geographical center, but it may also extend to several nodes in the southern area of the city where the industrial complex enclave is located. The assessment of the spatial distribution of betweenness centrality is crucial to identifying critical nodes for commutation and/or change of flows. It is widely accepted that, by means of centrality measures, it is possible to predict where traffic congestion will emerge, and to prioritize the construction or adaptation of specialized equipment (bridges, roundabouts, and overpasses, among others) to prevent and buffer traffic jams.
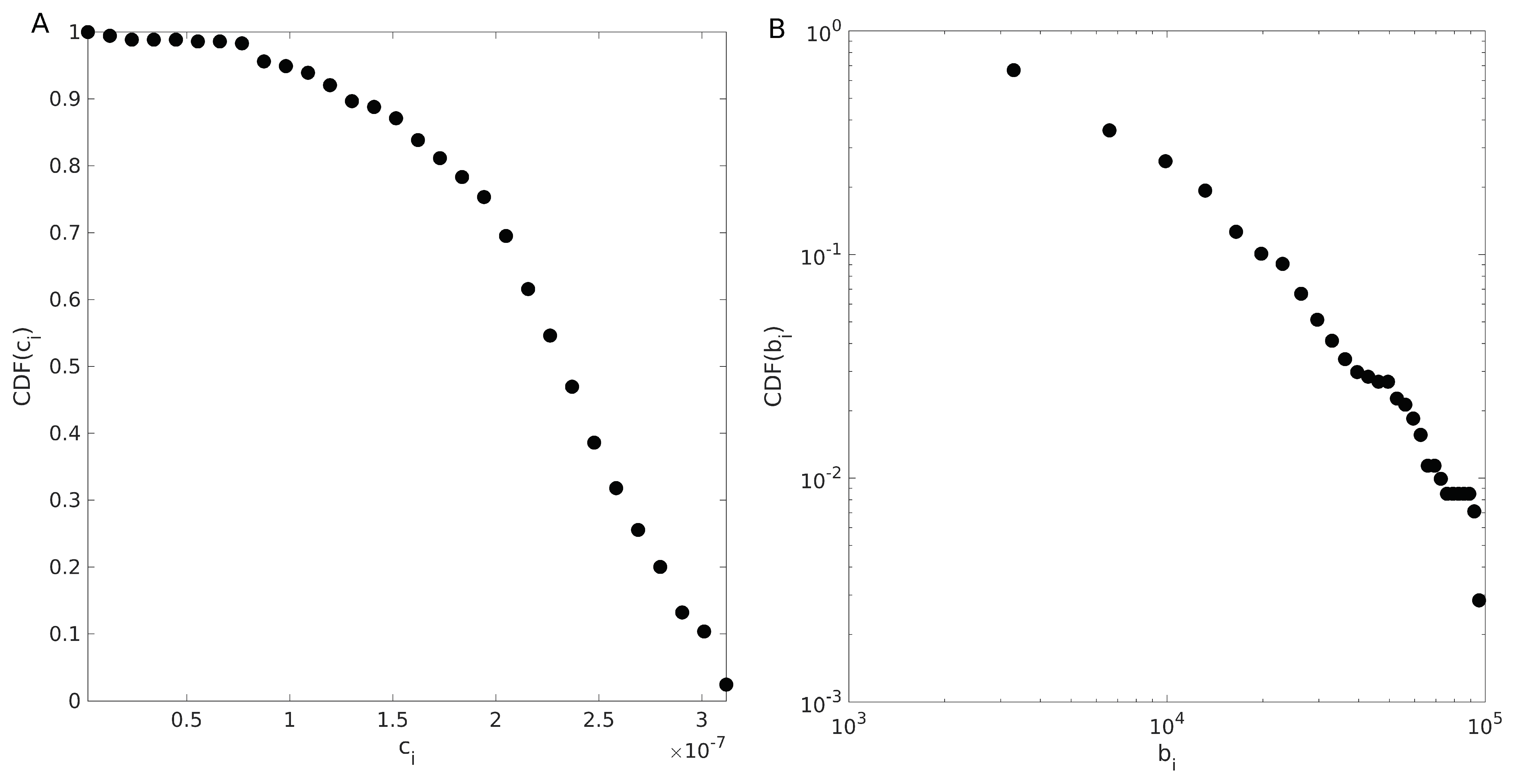
Finally, it is also worth noticing that the distributions of c i and b i are remarkably different (see Figure 6). Whereas the cumulative distribution function (CDF) of c i follows the trend of a unimodal distribution with relatively small dispersion, b i presents an exponential decay. This is consistent with results reported in Figure 5, where the spatial distribution of b i showed few nodes in the network with large betweenness centrality while the vast majority had small values.

4.2. Dynamics of Traffic Flow

In Figure 7, we show three different situations arising along Cartagena’s street network considering three different values of h, according to the model described in Section 3.2 under scenario #1. For the simulations considered here, we have computed 1500 iterations at a fixed rate of agent’s creation of R = 5 . This amounts to the mobilization of around 7500 “vehicles” in a time period of roughly 4 h, a reasonable number in a medium-sized city such as Cartagena. It is interesting to observe that, assigning a large weight to traffic knowledge (small h) produces largely extended congestion in the network, as testified by the largest value of the order parameter with respect to the other values of h, but also by the larger values of the arrival times T and a distribution of node occupation that largely deviates from 0. Decreasing the weight given by agents to knowledge of traffic congestion decreases both the arrival time and the spatial extension of congested nodes (see middle panel h = 0.9 ). However, in the extreme case in which h = 1 , the agents in the network only follow the shortest path strategy and congestion rapidly arise in a few nodes, creating long queues which effectively increase the order parameter. Even though the arrival times seem to be smaller on average for h = 1 , it should be taken into account that arrival times are only calculated among agents who have reached their destinations; this means that for h = 1 , these agents who managed to arrive have done so in a relatively short time, but the agents in the long queue of the high betweenness centrality nodes will need to wait a much larger time, which is not yet evident in the distribution of T.
We performed the same experiment using the preferential assignment of origin and destination, i.e., scenario #2 described in Section 3.2. As can be seen from Figure 8, this scenario, which seeks to reproduce a realistic commuting pattern for the local population, shows a similar distribution of occupation as in the completely random case. The only difference that seems to emerge is that occupation tends to move slightly towards the eastern and northeastern areas due to the fact that these correspond to preferential origin areas whose fluxes meet in the most occupied region of the map. Once again, there appears to be an intermediate value of h that minimizes the order parameter and therefore the occupation of the network.
These results are of course intuitive: following a shortest path strategy is by no means an optimal one, and avoiding congested nodes leads to less congested scenarios. The average statistics of several indicators point to the same conclusion as shown in Figure 9. For instance, panels A–D show, respectively, average arrival time, average occupation of congested nodes (those with at least one agent), the fraction of the total agents that have not reached destination ( R N i t / i q i ) , and the order parameter as a function of h for two different values of R, namely R = 5 and R = 10 under scenario #1. Panels B–D show a monotonic trend up to h 0.95 indicating a better performance of the network for increasing h. However, at h = 1 , all the indicators change trend indicating a worsening of the performance. The only exception appears to be T , which monotonically decreases for increasing h. This exception can be justified with the same arguments made in the previous paragraph, namely that we are not considering agents who did not arrived at their destinations for this calculation. The same trend seems to be followed under scenario #2, which can be seen in the insets of the corresponding figure for both values of R. Notice that, in contrast to scenario #1 that shows a smooth trend in all the considered indicators, simulations of scenario #2 required averaging across different realizations, producing the error bars in the insets.
Finally, with the aim of understanding the topological features underlying the emergence of traffic congestion, we correlated the values of centrality of each node to its occupation number q i under scenario #1 (see main panels in Figure 10). Not surprisingly, for h = 1 , the highest correlation between b i and q i is achieved due to the fact that h = 1 is precisely the shortest-path strategy, and nodes with high b i indicate intersections where several shortest-paths pass through. Meanwhile, for the same value of h, closeness centrality is barely correlated with q i . The most striking feature is that even slight decreases in h dramatically change the scenario, namely correlations between c i and q i start being significant and betweenness ceases to correlate significantly. Interestingly, when considering the correlations with scenario #2 (see insets of Figure 10), the correlation of the occupation and closeness centrality dramatically decreases and it seems to be maintained below 0.5 (on average) for all the considered values of h and for both values of R. This can be ascribed to the fact that one of the gravity areas in the network, namely the southern Mamonal Industrial Zone and all the peripheral areas acting as preferential sources, do not correspond to nodes with high closeness centrality and therefore much of the dynamics occur at these nodes. In contrast, in the purely random scenario, there is a much higher chance that either origin or destination belong to high closeness centrality nodes simply because there is a larger density of nodes in that area. Betweenness centrality in this commuting pattern scenario is again barely correlated with occupation. More surprisingly, even at R = 10 and h = 1 , where maximum correlation at around 0.6 was achieved in the random scenario, for the real commuting pattern, this value barely reaches 0.4, a considerably lower correlation. The results shown here show a lack of a clear correlation between topology of the network and the dynamic processes occurring within it it specially under realistic scenarios of origin/destination. These results suggest that measures of centrality play only a partial role in the onset of traffic congestion and they cannot fully explain the spatial occupation of the agents. This highlights the importance of considering decision-making in rational agents who actually move through the networks when thinking about the designing of future infrastructure.

5. Conclusions

5.1. Summary and Discussion

In this paper, we have described the emergence of traffic congestion in the road network of Cartagena de Indias using an agent-based model in which we could tune the agents’ behavior from traffic avoidance mobility scheme to a shortest-path scheme. Our work complements recent studies of mobility in the city of Cartagena. For instance, in ref. [35] authors used a multicriteria approach for planning and designing pedestrian routes. Also, in ref. [36] authors proposed an ex-post evaluation of the primary goals of transit regulations using BRT (bus rapid transit) with econometric techniques. While these works might have arrived at important conclusions that help in the understanding of the mobility of the population, they do not consider the time-evolving nature of mobility along a road network.
The results of our analyses in the context of the city’s history indicate patterns of self-organization that, to date, have important consequences in the way in which vehicular flow evolves in the city. The historical trajectory of urban development up to the 1990’s was carried out without an explicit long-term urban planning strategy, and consequently, lacked any coherence between the plans for the expansion of public services and those for road infrastructure. Despite the fact that a first urban plan was adopted just after the year 2000 in the form of the Territorial Planning of Cartagena–POT 2000–2012, by 2010, it was clear that it had little impact on mobility problems despite some changes in road infrastructure. This calls for the need to design a disruptive strategy using the city’s canals and bodies of water as a mobility alternative, an option that has been successfully implemented in other peripheral cities around the world.
Our analysis of the agent-based model simulations and the relationship with the topological features of the network yielded some interesting conclusions. It was shown that only considering some intuitive structural properties of the road network (betweenness centrality) is insufficient to predict the emergence of traffic congestion. We showed that the mobility scheme used by agents (encompassed in the parameter h) has a strong effect on the way in which the traffic is spread throughout the network. This result emphasizes the importance of linking the static picture and the dynamic one.
An important feature of the agent-based model used here is that it is purely deterministic, in contrast with the more usual approach of using probabilistic models [37], especially those which make use of discrete choice theory [38]. The probabilistic approach has been indeed successfully used to explain, for instance, the value of travel times [39] and the impact of transport solutions [40]. We believe that the deterministic approach can be also useful in decision-making, as long as the time series of traffic flow are available, allowing the fitting of the model’s parameters.
This approach to urban mobility in Cartagena provides an inductive heuristic, which will later allow mobility phenomena to be related to other current urban problems and challenges with nonlinear behaviors. Examples of these challenges are the effects of sociospatial segregation of transport systems, the performance of urban logistics, the intrinsic conflict between freight and people transit, the effects on urban mobility of the type and location of equipment, and implementation of intermodal transport systems (highway–sea–river).

5.2. Limitations and Future Research

The agent-based model used here has involved a series of simplifications aimed at understanding the emergent phenomenon of traffic congestion, its relation with the topological aspects of the road network, and the explanation of network characteristics in terms of the infrastructural development of the city. While we do not discard the possibility of applying this tandem methodology using well-known traffic simulation software, we have used custom-made software that allowed us to easily extract relevant statistical information about the mobility process and to connect the space syntax tools with the dynamic phenomena in the network. The most important simplification is the constant rate of agent creation at each time step. Of course, this hypothetical steady state of a constant flow of agents into the network is incompatible with the dynamic nature of human activity that includes peak hours of vehicular motion. It also does not consider the variability of the dynamics of different vehicles. To introduce these variables, it would be necessary to incorporate the real data of vehicular flow according to the typology and such data is not publicly available in the city. Despite the fact that we proposed a scenario which emulated the existence of gravity regions in the city, this approximation was rough and aimed only to understand whether the phenomenology found in the purely random origin/destination was consistent in this scenario. Gravity regions should be calculated in a more refined way considering, for instance, housing density and economic hubs of the city. Additional limitations of the study presented here include the fact that our analyses only considered the streets that comprise the main arteries of the city, streets were considered to be bidirectional, the flow capacity of the roads were disregarded, and the presence of control elements such as traffic lights were not contemplated either. We believe that these simplifications do not demean the importance of our contribution, through which we sought to recognize the topological elements of a road network underlying the emergent phenomenon of traffic congestion and its relationship to agent behavior and the infrastructural development of the city of Cartagena. On the contrary, we are confident that these limitations indicate a path of interesting research that could include time-dependent commutation patterns, more detailed road characteristics, the effect of boundary nodes, and the model validation with historical data. Despite all of this, our results could be used as a tool for ex ante policy evaluations in conditions of a poor traffic data monitoring system seeking to understand the effect of the informed decision of agents about the state of upcoming congestion. With this the capacity or level of service of any new infrastructure can be analyzed beyond its in situ effect, something that is relevant and reproducible to other cities with similar characteristics.

Author Contributions

J.A.-L.: Conceptualization; formal analysis; funding acquisition; investigation; methodology; resources; validation; roles/writing—original draft. D.A.-G.: Conceptualization; formal analysis; investigation; methodology; resources; software; validation; visualization; roles/writing—original draft; writing—review and editing. J.V.-A.: Data curation; formal analysis; investigation; software; roles/writing—original draft; writing—review and editing. All authors have read and agreed to the published version of the manuscript.

Funding

This work was supported by Vicerrectoría de Investigaciones, Universidad de Cartagena [grant number 00335-2018] and [grant number 038-2019].

Institutional Review Board Statement

Not applicable.

Informed Consent Statement

Not applicable.

Data Availability Statement

Data and scripts used for the study presented here can be found in https://github.com/dangulogUC/Traffic_Flow_Cartagena.git (accessed on 3 June 2021).

Acknowledgments

We would like to thank Roberto Carlos Arrieta Montalvo for helping in the data curation. We also thank Philip Wright for proofreading the final version of the manuscript.

Conflicts of Interest

The authors declare no conflict of interest.

Appendix A. Evolution of the Urban Configuration of Cartagena

Urban mobility in the city is carried out through the street network infrastructure that was built based on the natural physiography of the city. This physiography historically conditioned the use of the city as a port and as a fortification during the conquest, the colony, and the republican period for more than 400 years. Even today, it serves as a foreign trade port with more than 36 docks and enclave-type facilities (see Figure 2).
The fact that many of these enclaves are waterfronts has set the trend for various initiatives (mostly private) under a public concession scheme. These have managed in less than 30 years to occupy the 198 km of the coastline, affecting the spatial accessibility to the sea for citizens [41].
The process of expansion of the urban area has inertially followed the trajectory of the old railroad track where Pedro de Heredia Avenue was traced more than 60 years ago, serving as the backbone of the street network of the city. This road network supports displacement flows of a locally registered automotive fleet of more than 106.605 vehicles, plus those external flows of various types including cargo and passenger transport.
Cartagena de Indias urban development can be understood based on the physiography of the coastline, where the first settlement grew from its foundation as a fortified port and commercial locus during the colony and the Republican period (XVII–XIX century). The urban expansion outside the walls of the historic center is related to three historical milestones: (1) The construction (1958–1958) of the Gambote bridge that allowed from Cartagena, Turbana and Arjona the terrestrial crossing through the Canal del Dique towards the interior of the country. (2) The installation south of the city of the Exxon Refinery in 1957, as a part of a fuel refining complex. (3) The removal of the Chambacú neighborhood in 1967, as a mechanism to extend the Pedro de Heredia Avenue along the route of the old train track. Three loci are specially distinguished from the enclaves mentioned in the previous subsection, created and developed at diverse historical moments that are linked to the urban development and the configuration of connectivity and its characteristics:
  • The first and the oldest is the so-called historic center (see the orange region in Figure 2), established as a UNESCO World Heritage Site in 1988. It is the original outpost of the conquest and the colonial viceroyalty, between the XVI and XVIII centuries. It also served as the port of extraction of resources from New Granada, and the slave trade. This “old city” is segregated from the rest of the later urban expansion due to its walled defense architecture surrounded by the sea, lagoon bodies, and water pipes, which allowed its defense during the colony. Later, after the independence in the 19th century, the old city was linked to the interior of the country through a railroad. On this route, once the railway system was dismantled in 1930, the main road was built between 1969–1971, called Pedro de Heredia Avenue, until today the main and most congested road in the urban area [42].
  • The second enclave is the Mamonal Industrial Complex born with the construction of the oil refinery in 1957 (light-violet region in Figure 2). The increasing number of facilities and docks (more than 36) evolved toward the consolidation of the “cargo corridor” absorbing some already consolidated urban routes to favor heavy cargo traffic that dangerously mixes with urban logistics.
  • The third enclave is the touristic hotel area (yellow region in Figure 2), which, starting from the historic center, creates narrow strip of land with a peninsula. Since 1990, the tourism of the city grew toward the group of neighboring islands (Los Corales Natural Park) and more recently towards the north, following the coastal strip. It is appropriate to say that the aforementioned enclaves have occupied most of the coastal strip and low tide, and therefore access to the sea and inland water bodies.
Considering the historical period 1950–2000, the three enclaves mentioned above were consolidated thanks to private investment capital with a great interest to occupy the low-tide areas of the coast, favored by regulatory processes aimed at promoting openness to international trade [43]. Altogether, the historic shaping of the street network of the city has a strong impact on the mobility dynamics as shown in the main text.

References

  1. Pumain, D.; Saint-Julien, T. Análisis Espacial: Las Interacciones; Universidad de Concepción-Facultad de Arquitectura, Urbanisme y Geografía: Concepción, Chile, 2014. [Google Scholar]
  2. Barthélemy, M. Spatial networks. Phys. Rep. 2011, 499, 1–101. [Google Scholar] [CrossRef]
  3. Crucitti, P.; Latora, V.; Porta, S. Centrality measures in spatial networks of urban streets. Phys. Rev. E 2006, 73, 036125. [Google Scholar] [CrossRef]
  4. Crucitti, P.; Latora, V.; Porta, S. Centrality in networks of urban streets. Chaos Interdiscip. J. Nonlinear Sci. 2006, 16, 015113. [Google Scholar] [CrossRef] [PubMed]
  5. Duan, Y.; Lu, F. Robustness of city road networks at different granularities. Phys. A Stat. Mech. Appl. 2014, 411, 21–34. [Google Scholar] [CrossRef]
  6. Manley, E.; Cheng, T. Understanding road congestion as an emergent property of traffic networks. In Proceedings of the 14th WMSCI, Orlando, FL, USA, 29 June–2 July 2010. [Google Scholar]
  7. Nagel, K.; Paczuski, M. Emergent traffic jams. Phys. Rev. E 1995, 51, 2909. [Google Scholar] [CrossRef] [PubMed]
  8. Jayasinghe, A.; Sano, K.; Nishiuchi, H. Explaining traffic flow patterns using centrality measures. Int. J. Traffic Transp. Eng. 2015, 5, 134–149. [Google Scholar] [CrossRef]
  9. Lämmer, S.; Gehlsen, B.; Helbing, D. Scaling laws in the spatial structure of urban road networks. Phys. A Stat. Mech. Appl. 2006, 363, 89–95. [Google Scholar] [CrossRef]
  10. Gallelli, V.; Perri, G.; Vaiana, R. Operational and Safety Management at Intersections: Can the Turbo-Roundabout Be an Effective Alternative to Conventional Solutions? Sustainability 2021, 13, 5103. [Google Scholar] [CrossRef]
  11. Macioszek, E. Roundabout Entry Capacity Calculation—A Case Study Based on Roundabouts in Tokyo, Japan, and Tokyo Surroundings. Sustainability 2020, 12, 1533. [Google Scholar] [CrossRef]
  12. Davidović, S.; Bogdanović, V.; Garunović, N.; Papić, Z.; Pamučar, D. Research on Speeds at Roundabouts for the Needs of Sustainable Traffic Management. Sustainability 2021, 13, 399. [Google Scholar] [CrossRef]
  13. Auttakorn, S. Assessment of traffic flow benefits of flyovers: A case study. J. Soc. Transp. Traffic Stud. (JSTS) 2013, 4, 1–9. [Google Scholar]
  14. Headrick, J.; Uddin, W. Traffic flow microsimulation for performance evaluation of roundabouts and stop-controlled intersections at highway overpass. Adv. Transp. Stud. 2014, 34, 7–18. [Google Scholar]
  15. Ran, B.; Boyce, D. Modeling Dynamic Transportation Networks: An Intelligent Transportation System Oriented Approach; Springer Science & Business Media: Berlin/Heidelberg, Germany, 2012. [Google Scholar]
  16. Nagatani, T. The physics of traffic jams. Rep. Prog. Phys. 2002, 65, 1331. [Google Scholar] [CrossRef]
  17. Orosz, G.; Wilson, R.E.; Stépán, G. Traffic jams: Dynamics and control. Philos. Trans. R. Soc. A 2010, 368, 4455–4479. [Google Scholar] [CrossRef] [PubMed]
  18. van Wageningen-Kessels, F.; Van Lint, H.; Vuik, K.; Hoogendoorn, S. Genealogy of traffic flow models. EURO J. Transp. Logist. 2015, 4, 445–473. [Google Scholar] [CrossRef]
  19. Bazzan, A.L.; Klügl, F. A review on agent-based technology for traffic and transportation. Knowl. Eng. Rev. 2014, 29, 375. [Google Scholar] [CrossRef]
  20. Krajzewicz, D.; Erdmann, J.; Behrisch, M.; Bieker, L. Recent development and applications of SUMO-Simulation of Urban MObility. Int. J. Adv. Syst. Meas. 2012, 5, 128–138. [Google Scholar]
  21. Smith, L.; Beckman, R.; Baggerly, K. TRANSIMS: Transportation Analysis and Simulation System; Technical Report; Los Alamos National Lab.: Los Alamos, NM, USA, 1995. [Google Scholar]
  22. Horni, A.; Nagel, K.; Axhausen, K.W. The Multi-Agent Transport Simulation MATSim; Ubiquity Press: London, UK, 2016. [Google Scholar]
  23. Echenique, P.; Gómez-Gardenes, J.; Moreno, Y. Dynamics of jamming transitions in complex networks. EPL Europhys. Lett. 2005, 71, 325. [Google Scholar] [CrossRef]
  24. Sreenivasan, S.; Cohen, R.; López, E.; Toroczkai, Z.; Stanley, H.E. Structural bottlenecks for communication in networks. Phys. Rev. E 2007, 75, 036105. [Google Scholar] [CrossRef]
  25. De Martino, D.; Dall’Asta, L.; Bianconi, G.; Marsili, M. Congestion phenomena on complex networks. Phys. Rev. E 2009, 79, 015101. [Google Scholar] [CrossRef] [PubMed]
  26. Yan, G.; Zhou, T.; Hu, B.; Fu, Z.Q.; Wang, B.H. Efficient routing on complex networks. Phys. Rev. E 2006, 73, 046108. [Google Scholar] [CrossRef] [PubMed]
  27. Colak, S.; Schneider, C.M.; Wang, P.; González, M.C. On the role of spatial dynamics and topology on network flows. New J. Phys. 2013, 15, 113037. [Google Scholar] [CrossRef]
  28. Amezquita-Lopez, J. Competitividad y Sostenibilidad de Cartagena de Indias; InterNaciones: Guadalajara, Mexico, 2017; Volume 6. [Google Scholar]
  29. Porta, S.; Crucitti, P.; Latora, V. The network analysis of urban streets: A primal approach. Environ. Plan. B Plan. Des. 2006, 33, 705–725. [Google Scholar] [CrossRef]
  30. Xie, F.; Levinson, D. Measuring the structure of road networks. Geogr. Anal. 2007, 39, 336–356. [Google Scholar] [CrossRef]
  31. Zhao, L.; Lai, Y.C.; Park, K.; Ye, N. Onset of traffic congestion in complex networks. Phys. Rev. E 2005, 71, 026125. [Google Scholar] [CrossRef] [PubMed]
  32. Universidad de Cartagena and Alcaldía Distrital de Cartagena. Diagnóstico del Distrito de Cartagena en materia de ordenamiento territorial. In Documento de Seguimiento y Evaluación de los Resultados Obtenidos Respecto de los Objetivos Planteados en el Plan de Ordenamiento Territorial Vigente del Distrito de Cartagena; Universidad de Cartagena: Cartagena, Colombia, 2010. [Google Scholar]
  33. Barthelemy, M.; Bordin, P.; Berestycki, H.; Gribaudi, M. Self-organization versus top-down planning in the evolution of a city. Sci. Rep. 2013, 3, 1–8. [Google Scholar]
  34. Reynoso, C. Redes Sociales y Complejidad: Modelos Interdisciplinarios en la Gestión Sostenible de la Sociedad y la Cultura; Sb: Buenos Aires, Argentina, 2011. [Google Scholar]
  35. Gonzalez-Urango, H.; Inturri, G.; Le Pira, M.; García-Melón, M. Planning for Pedestrians with a participatory multicriteria approach. J. Urban Plan. Dev. 2020, 146, 05020007. [Google Scholar] [CrossRef]
  36. Gómez-Lobo, A. Transit reforms in intermediate cities of Colombia: An ex-post evaluation. Transp. Res. Part A Policy Pract. 2020, 132, 349–364. [Google Scholar] [CrossRef]
  37. Chen, S.; Huang, W.; Cattani, C.; Altieri, G. Traffic dynamics on complex networks: A survey. Math. Probl. Eng. 2012, 2012, 732698. [Google Scholar] [CrossRef]
  38. Ben-Akiva, M.; Bierlaire, M. Discrete choice models with applications to departure time and route choice. In Handbook of Transportation Science; Springer: Berlin/Heidelberg, Germany, 2003; pp. 7–37. [Google Scholar]
  39. Wardman, M.; Chintakayala, V.P.K.; de Jong, G. Values of travel time in Europe: Review and meta-analysis. Transp. Res. Part A Policy Pract. 2016, 94, 93–111. [Google Scholar] [CrossRef]
  40. Birolini, S.; Malighetti, P.; Redondi, R.; Deforza, P. Access mode choice to low-cost airports: Evaluation of new direct rail services at Milan-Bergamo airport. Transp. Policy 2019, 73, 113–124. [Google Scholar] [CrossRef]
  41. López, J.A. La competitividad en el marco de políticas para ciudades sostenibles: Caso Cartagena, Colombia. InterNaciones 2018, 13, 101–130. [Google Scholar]
  42. Ortiz, C.J. Un Diablo al que le Llaman Tren. El Ferrocarril Cartagena-Calamar; Fondo de Cultura Económica: Bogotá, Colombia, 2018. [Google Scholar]
  43. Mariaca, D.A.R.; Calán, C.A.G.; Molina, C.J. La accesibilidad terrestre a los puertos marítimos de Colombia. Una aproximación desde la equidad territorial. Entorno Geográfico 2018, 15, 8–47. [Google Scholar] [CrossRef]
Figure 1. Geographical location of Cartagena. The map was generated based on information from the following sources: Instituto Geográfico Agustin Codazzi (IGAC), Secretaria de Planeación del distrito de Cartagena, and World Topography map ESRI.
Figure 1. Geographical location of Cartagena. The map was generated based on information from the following sources: Instituto Geográfico Agustin Codazzi (IGAC), Secretaria de Planeación del distrito de Cartagena, and World Topography map ESRI.
Infrastructures 06 00085 g001
Figure 2. Illustrative map of Cartagena’s enclaves.
Figure 2. Illustrative map of Cartagena’s enclaves.
Infrastructures 06 00085 g002
Figure 3. Schematic representation of the algorithm for a given agent. Agent’s current position n 0 is shown in the node with triangular shape and destination n f with rectangular shape. Two possible choices r 1 and r 2 toward the destination node are depicted in red with different intersections along the route (circles). The road length is shown next to each link and the occupation of the node q is shown with the number of points at the intersection.
Figure 3. Schematic representation of the algorithm for a given agent. Agent’s current position n 0 is shown in the node with triangular shape and destination n f with rectangular shape. Two possible choices r 1 and r 2 toward the destination node are depicted in red with different intersections along the route (circles). The road length is shown next to each link and the occupation of the node q is shown with the number of points at the intersection.
Infrastructures 06 00085 g003
Figure 4. Distributions in Cartagena’s road network. (A) Streets’ length: Main figure shows the distribution in linear scale truncated to roads smaller than 1 km. Inset: Same as main figure in log-lin scale, revealing an exponential decay of the distribution. (B) Distribution of distances in Cartagena’s road map (blue) and the characteristic path length (red). Inset: Same as in main figure in log-lin scale showing the exponential decay of the distance distribution. (C) Angles between intersections.
Figure 4. Distributions in Cartagena’s road network. (A) Streets’ length: Main figure shows the distribution in linear scale truncated to roads smaller than 1 km. Inset: Same as main figure in log-lin scale, revealing an exponential decay of the distribution. (B) Distribution of distances in Cartagena’s road map (blue) and the characteristic path length (red). Inset: Same as in main figure in log-lin scale showing the exponential decay of the distance distribution. (C) Angles between intersections.
Infrastructures 06 00085 g004
Figure 5. Spatial distribution of centrality measures in Cartagena’s street network: (A) Closeness centrality and (B) Betweenness centrality. The values in the color map correspond to the z-score of each indicator.
Figure 5. Spatial distribution of centrality measures in Cartagena’s street network: (A) Closeness centrality and (B) Betweenness centrality. The values in the color map correspond to the z-score of each indicator.
Infrastructures 06 00085 g005aInfrastructures 06 00085 g005b
Figure 6. Cumulative distributions of centrality measures. CDF for (A) closeness centrality and (B) betweenness centrality.
Figure 6. Cumulative distributions of centrality measures. CDF for (A) closeness centrality and (B) betweenness centrality.
Infrastructures 06 00085 g006
Figure 7. Different congestion cases with varying agent’s behavior under scenario #1. Left panels: Distribution of arrival time. Middle panel: Histogram of the occupation in the network. Right panels: Spatial occupation of the network. In this figure, the panel (A) refers to h = 0.5 , panel (B) h = 0.9 , and panel (C) h = 1 . For this simulation, R = 5 was fixed and the system was simulated through 1500 iterations, discarding the first 500 iterations, which were considered as transient behavior.
Figure 7. Different congestion cases with varying agent’s behavior under scenario #1. Left panels: Distribution of arrival time. Middle panel: Histogram of the occupation in the network. Right panels: Spatial occupation of the network. In this figure, the panel (A) refers to h = 0.5 , panel (B) h = 0.9 , and panel (C) h = 1 . For this simulation, R = 5 was fixed and the system was simulated through 1500 iterations, discarding the first 500 iterations, which were considered as transient behavior.
Infrastructures 06 00085 g007
Figure 8. Different congestion cases with varying agent’s behavior under scenario #2. Left panels: Distribution of arrival time. Middle panel: Histogram of the occupation in the network. Right panels: Spatial occupation of the network. In this figure, the panel (A) refers to h = 0.5 , panel (B) h = 0.9 , and panel (C) h = 1 . For this simulation, R = 5 was fixed and the system was simulated through 1500 iterations discarding the first 500 iterations considered transient behavior.
Figure 8. Different congestion cases with varying agent’s behavior under scenario #2. Left panels: Distribution of arrival time. Middle panel: Histogram of the occupation in the network. Right panels: Spatial occupation of the network. In this figure, the panel (A) refers to h = 0.5 , panel (B) h = 0.9 , and panel (C) h = 1 . For this simulation, R = 5 was fixed and the system was simulated through 1500 iterations discarding the first 500 iterations considered transient behavior.
Infrastructures 06 00085 g008
Figure 9. Average statistics as a function of h: (A) Arrival time. (B) Occupation larger than 0. (C) Fraction of nonarrived agents (D) Order parameter. In all panels, insets refer to the corresponding indicator under scenario #2 averaged across 15 realizations. Error bars denote one standard deviation.
Figure 9. Average statistics as a function of h: (A) Arrival time. (B) Occupation larger than 0. (C) Fraction of nonarrived agents (D) Order parameter. In all panels, insets refer to the corresponding indicator under scenario #2 averaged across 15 realizations. Error bars denote one standard deviation.
Infrastructures 06 00085 g009
Figure 10. Correlation between occupation and (A) closeness centrality and (B) betweenness centrality at each node for scenario #1. In both panels, insets refer to the corresponding indicator under scenario #2 with R = 5 , averaged across 15 realizations. Error bars denote one standard deviation.
Figure 10. Correlation between occupation and (A) closeness centrality and (B) betweenness centrality at each node for scenario #1. In both panels, insets refer to the corresponding indicator under scenario #2 with R = 5 , averaged across 15 realizations. Error bars denote one standard deviation.
Infrastructures 06 00085 g010
Publisher’s Note: MDPI stays neutral with regard to jurisdictional claims in published maps and institutional affiliations.

Share and Cite

MDPI and ACS Style

Amézquita-López, J.; Valdés-Atencio, J.; Angulo-García, D. Understanding Traffic Congestion via Network Analysis, Agent Modeling, and the Trajectory of Urban Expansion: A Coastal City Case. Infrastructures 2021, 6, 85. https://doi.org/10.3390/infrastructures6060085

AMA Style

Amézquita-López J, Valdés-Atencio J, Angulo-García D. Understanding Traffic Congestion via Network Analysis, Agent Modeling, and the Trajectory of Urban Expansion: A Coastal City Case. Infrastructures. 2021; 6(6):85. https://doi.org/10.3390/infrastructures6060085

Chicago/Turabian Style

Amézquita-López, Julio, Jorge Valdés-Atencio, and David Angulo-García. 2021. "Understanding Traffic Congestion via Network Analysis, Agent Modeling, and the Trajectory of Urban Expansion: A Coastal City Case" Infrastructures 6, no. 6: 85. https://doi.org/10.3390/infrastructures6060085

APA Style

Amézquita-López, J., Valdés-Atencio, J., & Angulo-García, D. (2021). Understanding Traffic Congestion via Network Analysis, Agent Modeling, and the Trajectory of Urban Expansion: A Coastal City Case. Infrastructures, 6(6), 85. https://doi.org/10.3390/infrastructures6060085

Article Metrics

Back to TopTop