A Hybrid Surrogate Model for the Prediction of Solitary Wave Forces on the Coastal Bridge Decks
Abstract
:1. Introduction
2. Theoretical Background
2.1. Polynomial Chaos Expansions
2.2. Kriging
2.3. Proposed Hybrid Surrogate Model
3. Engineering Validation
3.1. Engineering Background and Data Preparation
3.2. Surrogate Model Initiation and Assessment Metrics
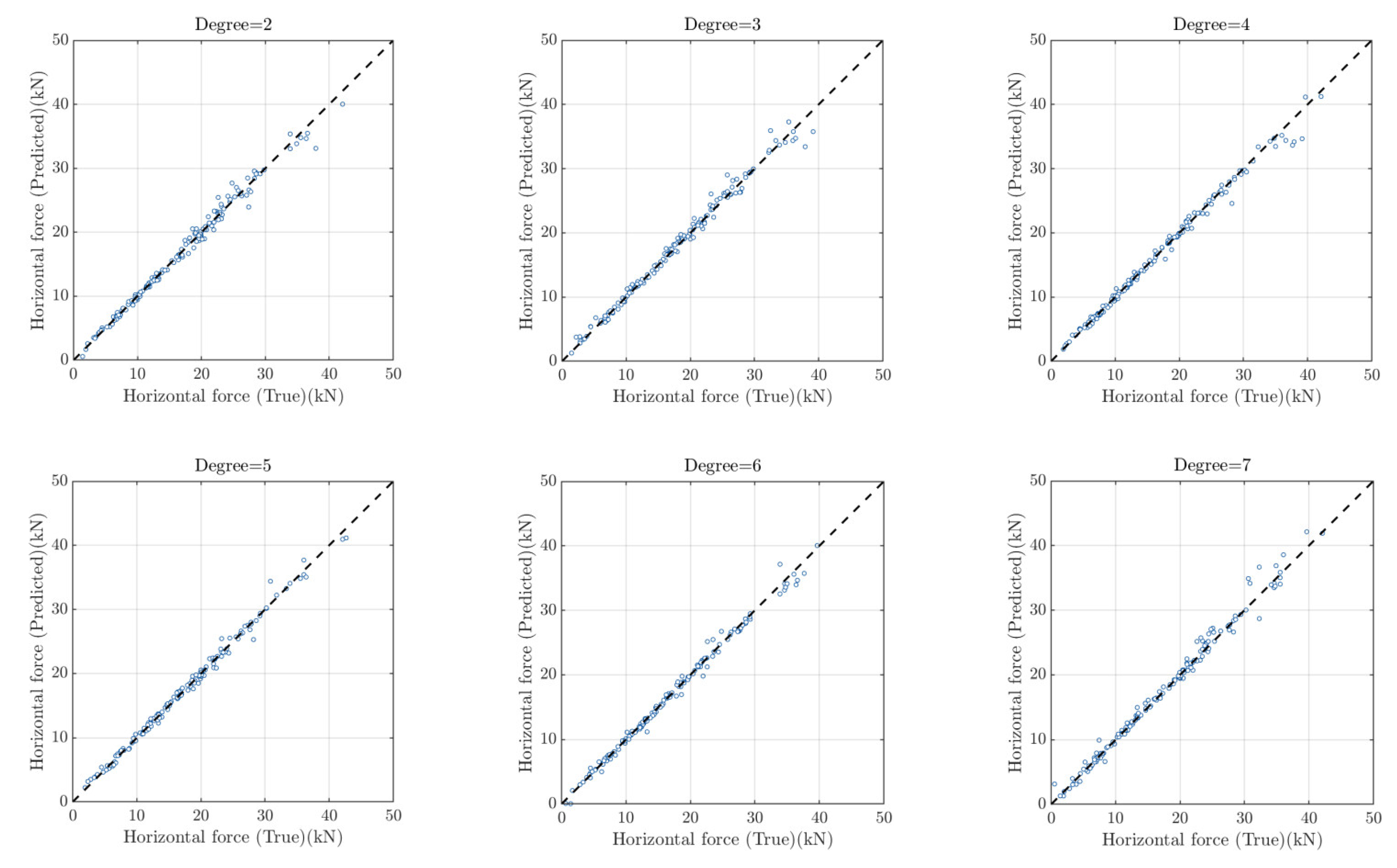
3.3. Results and Discussion
4. Conclusions
- The comparison among the predictive results of the PCE, the hybrid model, and those from the ANN indicates the enhanced performance of the proposed method. In other words, this hybrid model can capture the underlying physical complexities in the bridge deck-wave interaction, and can thus be used to replace the original time-consuming CFD models for the wave forces prediction and the associated life-cycle-based probabilistic modeling.
- The use of PCE and Kriging in this study offers several desirable advantages, e.g., the number of tuning parameters can be relatively small. In other words, only the maximum polynomial degree needs to be tuned in the PCE, enabling the easy implementation of this approach. Moreover, the time required to establish the PCE and Kriging is only a few seconds on a standard laptop, making the prediction of wave forces rather efficient. These features distinguish the proposed hybrid model from other well-known machine learning approaches such as ANNs, which are known to be highly sensitive to their hyper-parameters and require an appropriate and generally cumbersome calibration procedure.
- The prediction performance of PCE on the horizontal wave force is better than that on the vertical force. This might be because impinging force induced by the entrapped air underneath the bridge deck makes the relationship between the input parameters and vertical wave force more complicated. A feasible way to improve the prediction accuracy on the vertical wave force is using more samples with different wave scenarios, albeit this will require more effort in data preparation.
- In the proposed hybrid model, only the PCE is used as the main predictor. However, this choice may not be appropriate when the number of training data is small, especially for engineering cases with many input parameters. Thus, the use of other effective surrogate models (e.g., support vector regression, radial basis function) or ensemble models as the main predictor may further enhance the applicability of the hybrid model.
- Since the training data in the engineering case is predefined, the number of samples in the data set might be too large or too small for the problem at hand, which could jeopardize the overall performance of the established surrogate model. Thus, the use of an adaptive algorithm that sequentially adds training samples to refine the surrogate model is a topic worth further exploring.
Author Contributions
Funding
Institutional Review Board Statement
Informed Consent Statement
Data Availability Statement
Acknowledgments
Conflicts of Interest
References
- Moideen, R.; Behera, M.R.; Kamath, A.; Bihs, H. Effect of Girder Spacing and Depth on the Solitary Wave Impact on Coastal Bridge Deck for Different Airgaps. J. Mar. Sci. Eng. 2019, 7, 140. [Google Scholar] [CrossRef] [Green Version]
- Okeil, A.M.; Cai, C.S. Survey of Short- and Medium-Span Bridge Damage Induced by Hurricane Katrina. J. Bridge Eng. 2008, 13, 377–387. [Google Scholar] [CrossRef]
- Padgett, J.; Desroches, R.; Nielson, B.; Yashinsky, M.; Kwon, O.-S.; Burdette, N.; Tavera, E. Bridge Damage and Repair Costs from Hurricane Katrina. J. Bridge Eng. 2008, 13, 6–14. [Google Scholar] [CrossRef] [Green Version]
- Xu, G.; Cai, F.C.S.; Chen, Q. Countermeasure of Air Venting Holes in the Bridge Deck–Wave Interaction under Solitary Waves. J. Perform. Constr. Facil. 2017, 31, 04016071. [Google Scholar] [CrossRef]
- Chen, X.; Chen, Z.; Xu, G.; Zhuo, X.; Deng, Q. Review of wave forces on bridge decks with experimental and numerical methods. Adv. Bridge Eng. 2021, 2, 1–24. [Google Scholar] [CrossRef]
- Xu, G.; Cai, C.S.; Han, Y. Investigating the Characteristics of the Solitary Wave-Induced Forces on Coastal Twin Bridge Decks. J. Perform. Constr. Facil. 2016, 30, 04015076. [Google Scholar] [CrossRef]
- Xu, G.; Cai, C.S.; Hu, P.; Dong, Z. Component Level–Based Assessment of the Solitary Wave Forces on a Typical Coastal Bridge Deck and the Countermeasure of Air Venting Holes. Pract. Period. Struct. Des. Constr. 2016, 21, 04016012. [Google Scholar] [CrossRef]
- Wang, J.; Li, C.; Xu, G.; Li, Y.; Kareem, A. Efficient structural reliability analysis based on adaptive Bayesian support vector regression. Comput. Methods Appl. Mech. Eng. 2021, 387, 114172. [Google Scholar] [CrossRef]
- Crespi, P.; Zucca, M.; Longarini, N.; Giordano, N. Seismic Assessment of Six Typologies of Existing RC Bridges. Infrastructures 2020, 5, 52. [Google Scholar] [CrossRef]
- Crespi, P.; Zucca, M.; Valente, M. On the collapse evaluation of existing RC bridges exposed to corrosion under horizontal loads. Eng. Fail. Anal. 2020, 116, 104727. [Google Scholar] [CrossRef]
- Novak, M.S.; Lazarevic, D.; Atalic, J.; Uros, M. Influence of Multiple-Support Excitation on Seismic Response of Reinforced Concrete Arch Bridges. Appl. Sci. 2019, 10, 17. [Google Scholar] [CrossRef] [Green Version]
- Simon, J.; Bracci, J.M.; Gardoni, P. Seismic Response and Fragility of Deteriorated Reinforced Concrete Bridges. J. Struct. Eng. 2010, 136, 1273–1281. [Google Scholar] [CrossRef]
- Fang, Q.; Hong, R.; Guo, A.; Li, H. Experimental Investigation of Wave Forces on Coastal Bridge Decks Subjected to Oblique Wave Attack. J. Bridge Eng. 2019, 24, 04019011. [Google Scholar] [CrossRef]
- Huang, B.; Zhu, B.; Cui, S.; Duan, L.; Zhang, J. Experimental and numerical modelling of wave forces on coastal bridge superstructures with box girders, Part I: Regular waves. Ocean Eng. 2018, 149, 53–77. [Google Scholar] [CrossRef]
- Xu, G.; Chen, Q.; Zhu, L.; Chakrabarti, A. Characteristics of the Wave Loads on Coastal Low-Lying Twin-Deck Bridges. J. Perform. Constr. Facil. 2018, 32, 04017132. [Google Scholar] [CrossRef]
- Xu, G.; Cai, C.S. Wave Forces on Biloxi Bay Bridge Decks with Inclinations under Solitary Waves. J. Perform. Constr. Facil. 2015, 29, 04014150. [Google Scholar] [CrossRef]
- Yuan, P.; Xu, G.; Chen, Q.; Cai, C.S. Framework of Practical Performance Evaluation and Concept of Interface Design for Bridge Deck–Wave Interaction. J. Bridge Eng. 2018, 23, 04018048. [Google Scholar] [CrossRef]
- Xu, G.; Cai, C. Numerical simulations of lateral restraining stiffness effect on bridge deck–wave interaction under solitary waves. Eng. Struct. 2015, 101, 337–351. [Google Scholar] [CrossRef]
- Sarfaraz, M.; Pak, A. SPH numerical simulation of tsunami wave forces impinged on bridge superstructures. Coast. Eng. 2017, 121, 145–157. [Google Scholar] [CrossRef]
- Yang, Z.; Huang, B.; Zhu, B.; Zhang, J.; Kang, A. Comparative Study of Tsunami-Like Wave-Induced Forces on Medium-Scale Models of Box Girder and T-Girder Bridges. J. Bridge Eng. 2021, 26, 04020125. [Google Scholar] [CrossRef]
- Zhao, E.; Sun, J.; Tang, Y.; Mu, L.; Jiang, H. Numerical investigation of tsunami wave impacts on different coastal bridge decks using immersed boundary method. Ocean Eng. 2020, 201, 107132. [Google Scholar] [CrossRef]
- Roy, S.; Debnath, K.; Mazumder, B.S. Distribution of turbulent eddies behind a monopile for vortex lock-on condition due to wave current combined flow. Coast. Eng. 2018, 131, 70–87. [Google Scholar] [CrossRef]
- Sony, S.; Sadhu, A. Synchrosqueezing transform-based identification of time-varying structural systems using multi-sensor data. J. Sound Vib. 2020, 486, 115576. [Google Scholar] [CrossRef]
- Arul, M.; Kareem, A. Applications of shapelet transform to time series classification of earthquake, wind and wave data. Eng. Struct. 2020, 228, 111564. [Google Scholar] [CrossRef]
- Fang, Q.; Zhou, J.; Zhou, P. Spectral Analysis and Prediction of the Wave Forces Acting on Coastal Bridge Decks. KSCE J. Civ. Eng. 2021, 25, 1826–1836. [Google Scholar] [CrossRef]
- Cheng, Z.; Gao, Z.; Moan, T. Hydrodynamic load modeling and analysis of a floating bridge in homogeneous wave conditions. Mar. Struct. 2018, 59, 122–141. [Google Scholar] [CrossRef]
- Deng, Y.; Yang, J.; Zhao, W.; Li, X.; Xiao, L. Freak wave forces on a vertical cylinder. Coast. Eng. 2016, 114, 9–18. [Google Scholar] [CrossRef]
- Ataei, N.; Padgett, J.E. Fragility surrogate models for coastal bridges in hurricane prone zones. Eng. Struct. 2015, 103, 203–213. [Google Scholar] [CrossRef]
- Pourzangbar, A.; Brocchini, M.; Saber, A.; Mahjoobi, J.; Mirzaaghasi, M.; Barzegar, M. Prediction of scour depth at breakwaters due to non-breaking waves using machine learning approaches. Appl. Ocean Res. 2017, 63, 120–128. [Google Scholar] [CrossRef]
- Brunton, S.L.; Noack, B.R.; Koumoutsakos, P. Machine Learning for Fluid Mechanics. Annu. Rev. Fluid Mech. 2020, 52, 477–508. [Google Scholar] [CrossRef] [Green Version]
- Pitchforth, D.; Rogers, T.; Tygesen, U.; Cross, E. Grey-box models for wave loading prediction. Mech. Syst. Signal Process. 2021, 159, 107741. [Google Scholar] [CrossRef]
- Bonakdar, L.; Oumeraci, H.; Etemad-Shahidi, A. Wave load formulae for prediction of wave-induced forces on a slender pile within pile groups. Coast. Eng. 2015, 102, 49–68. [Google Scholar] [CrossRef] [Green Version]
- Mazinani, I.; Ismail, Z.B.; Shamshirband, S.; Hashim, A.M.; Mansourvar, M.; Zalnezhad, E. Estimation of Tsunami Bore Forces on a Coastal Bridge Using an Extreme Learning Machine. Entropy 2016, 18, 167. [Google Scholar] [CrossRef] [Green Version]
- Yu, E.; Wei, H.; Han, Y.; Hu, P.; Xu, G. Application of time series prediction techniques for coastal bridge engineering. Adv. Bridge Eng. 2021, 2, 1–18. [Google Scholar] [CrossRef]
- Pena, B.; Huang, L. Wave-GAN: A deep learning approach for the prediction of nonlinear regular wave loads and run-up on a fixed cylinder. Coast. Eng. 2021, 167, 103902. [Google Scholar] [CrossRef]
- Xu, G.; Chen, Q.; Chen, J. Prediction of Solitary Wave Forces on Coastal Bridge Decks Using Artificial Neural Networks. J. Bridge Eng. 2018, 23, 04018023. [Google Scholar] [CrossRef]
- Zhu, D.; Li, Y.; Dong, Y. Reliability-based retrofit assessment of coastal bridges subjected to wave forces using 3D CFD simulation and metamodeling. Civ. Eng. Environ. Syst. 2021, 38, 59–83. [Google Scholar] [CrossRef]
- Fang, C.; Tang, H.; Li, Y.; Zhang, J. Stochastic response of a cable-stayed bridge under non-stationary winds and waves using different surrogate models. Ocean Eng. 2020, 199, 106967. [Google Scholar] [CrossRef]
- Xiu, D.; Karniadakis, G.E. The Wiener-Askey Polynomial Chaos for Stochastic Differential Equations. SIAM J. Sci. Comput. 2002, 24, 619–644. [Google Scholar] [CrossRef]
- Hosder, S.; Walters, R.W.; Balch, M. Michael Point-collocation nonintrusive polynomial chaos method for sto-chastic computational fluid dynamics. AIAA J. 2010, 48, 2721–2730. [Google Scholar] [CrossRef]
- Hosder, S.; Walters, R.; Perez, R. A non-intrusive polynomial chaos method for uncertainty propagation in CFD simulations. In Proceedings of the 44th AIAA Aerospace Sciences Meeting and Exhibit, Reno, NV, USA, 9–12 January 2006. [Google Scholar] [CrossRef]
- Torre, E.; Marelli, S.; Embrechts, P.; Sudret, B. Data-driven polynomial chaos expansion for machine learning regression. J. Comput. Phys. 2019, 388, 601–623. [Google Scholar] [CrossRef] [Green Version]
- Blatman, G.; Sudret, B. Adaptive sparse polynomial chaos expansion based on least angle regression. J. Comput. Phys. 2011, 230, 2345–2367. [Google Scholar] [CrossRef]
- Marelli, S.; Sudret, B. UQLab User Manual—Polynomial Chaos Expansions. In Report UQLab-V0.9-104; Chair of Risk, Safety & Uncertainty Quantification; ETH Zürich: Zürich, Switzerland, 2015. [Google Scholar] [CrossRef]
- Lataniotis, C.; Marelli, S.; Sudret, B. UQLAB User Manual—Kriging (Gaussian Process Modelling); Chair of Risk, Safety & Uncertainty Quantification; ETH Zürich: Zürich, Switzerland, 2015. [Google Scholar] [CrossRef]
- Sheppard, D.M.; Marin, J. Wave Loading on Bridge Decks; Final Report Submitted to Florida Department of Transportation; Florida Department of Transportation: Tallahassee, FL, USA, 2009.






| Parameter | Minimum | Maximum |
|---|---|---|
| Water depth d (m) | 5 | 9.25 |
| Wave height H (m) | 0.87 | 3 |
| Elevation of the bridge girder (m) | 2.7 | 9.6 |
| PCE Degree | 2 | 3 | 4 | 5 | 6 | 7 |
|---|---|---|---|---|---|---|
| R | 0.9943 | 0.9945 | 0.9953 | 0.9963 | 0.9955 | 0.9855 |
| 5.63% | 5.60% | 5.28% | 4.58% | 5.02% | 8.19% |
| PCE Degree | 2 | 3 | 4 | 5 | 6 | 7 |
|---|---|---|---|---|---|---|
| R | 0.9630 | 0.9846 | 0.9838 | 0.9850 | 0.9865 | 0.9793 |
| 8.12% | 5.40% | 5.48% | 5.31% | 4.92% | 6.08% |
Publisher’s Note: MDPI stays neutral with regard to jurisdictional claims in published maps and institutional affiliations. |
© 2021 by the authors. Licensee MDPI, Basel, Switzerland. This article is an open access article distributed under the terms and conditions of the Creative Commons Attribution (CC BY) license (https://creativecommons.org/licenses/by/4.0/).
Share and Cite
Wang, J.; Xue, S.; Xu, G. A Hybrid Surrogate Model for the Prediction of Solitary Wave Forces on the Coastal Bridge Decks. Infrastructures 2021, 6, 170. https://doi.org/10.3390/infrastructures6120170
Wang J, Xue S, Xu G. A Hybrid Surrogate Model for the Prediction of Solitary Wave Forces on the Coastal Bridge Decks. Infrastructures. 2021; 6(12):170. https://doi.org/10.3390/infrastructures6120170
Chicago/Turabian StyleWang, Jinsheng, Shihao Xue, and Guoji Xu. 2021. "A Hybrid Surrogate Model for the Prediction of Solitary Wave Forces on the Coastal Bridge Decks" Infrastructures 6, no. 12: 170. https://doi.org/10.3390/infrastructures6120170
APA StyleWang, J., Xue, S., & Xu, G. (2021). A Hybrid Surrogate Model for the Prediction of Solitary Wave Forces on the Coastal Bridge Decks. Infrastructures, 6(12), 170. https://doi.org/10.3390/infrastructures6120170

