Procedure for the Identification of Existing Roads Alignment from Georeferenced Points Database
Abstract
1. Introduction
1.1. Context and Aim of the Work
1.2. State of the Practice
- -
- -
- Automatic identification of road geometry from digital vector data [18].
- Detection systems using mobile mapping system (M.M.S.) technology. These are widely appreciated both for their versatility and for their low operating costs. In general, M.M.S. are made up of vehicles equipped with different instruments, properly integrated with each other: a satellite navigation device, an Inertial Navigation System (INS) and an odometer [19,20,21,22]. In specific cases, the “Digital Highway Data Vehicle” (DHDV) has been used, an integrated system through which three Euler angles, the driving speed and the vehicle acceleration were measured to perform the survey in a rigorous way [20,23]. Another instrumented vehicle able to collect pavement condition and asset data and not only geometric information is the van automatic road analyzer (ARAN) [24].
- Global Navigation Satellite System (GNSS) with GPS receivers mounted on trains [25,26,27] or vehicles travelling at almost constant speeds, instrumented with vertical gyroscopes and gyro compasses able to provide information on the vehicle positions (x, y, z coordinates) and orientations (angle of pitch, roll and yaw) [28,29,30,31,32]. In some cases, vehicle positions have been recorded via smartphone [33].
2. Materials and Methods
3. Results
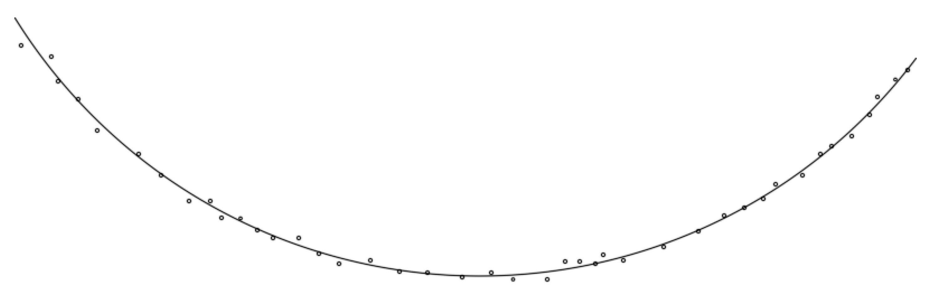
3.1. Geometrizing Horizontal Alignment of an Existing Road Layout
3.2. Curvature Graph
3.3. Design Speed Profile
- On straight lines, on circular arcs with radius bigger than R2.5 and on clothoids, the design speed tends to the upper limit of the speed range; the acceleration spaces resulting from the exit from a circular curve and the deceleration spaces for the entrance to a curve are only limited to the elements considered.
- The acceleration and deceleration values are 0.8 m/s2.
- It is assumed that the longitudinal slopes do not influence the design speed.
4. Conclusions
- Representation of the heading direction as a function of the distance, on the basis of the 3D spatial coordinates of the vertices of the road graph.
- Application of a Savitzky–Golay filter to the heading angle trend, with the purpose of smoothing the data and in order to identify straight line starting and ending points and points of reverse curvature.
- Analysis of the vertices falling within each element range and determination of the azimuth and length of the straight lines, of the radii and of the lengths of the circular arcs, by the application of a least square fitting procedure.
- Identification of the transition zones between the constant curvature elements (treated as clothoids) to compose a continuous curvature diagram.
- Once the curvature graph has been defined, calculation of the design speed profile by the implementation of an additional code.
- All these analyses are intended to assess Minimum and maximum lengths of each element with constant curvature, in relation to the drivers’ correct perception of the road layout.
- Correct succession of straight lines and circular arcs, or of two circular elements, in order to have gradual variations between their geometric characteristics.
- Optical, dynamic and road users’ comfort criteria of the variable curvature elements.
Author Contributions
Funding
Data Availability Statement
Acknowledgments
Conflicts of Interest
References
- IT Ministry for Infrastructures and Transport. Ministerial Decree Nov, 5-2001, No. 6792. Norme Funzionali e Geometriche per la Costruzione delle Strade; Official Gazette of IT Republic: Rome, Italy, 2002. [Google Scholar]
- IT Ministry for Infrastructures and Transport. Nuovo Codice della Strada. IT Law no. 285; Official Gazette of IT Republic: Rome, Italy, 1992. [Google Scholar]
- Cantisani, G.; Loprencipe, G. A statistics based approach for defining reference trajectories on road sections. Mod. Appl. Sci. 2013, 7, 32–46. [Google Scholar] [CrossRef]
- Anderson, I.; Bauer, K.M.; Collins, J.M.; Fitzpatrick, K.; Green, P.; Harwood, D.W.; Koppa, R.; Krammes, R.A.; Parma, K.D.; Poggioli, B.; et al. Alternative Design Consistency Rating Methods for Two-Lane Rural Highways; (No. FHWA-RD-99-172); United States Federal Highway Administration: Springfield, IL, USA, 2000.
- Ambros, J.; Valentova´, V. Identification of road horizontal alignment inconsistencies–A pilot study from the Czech Republic. Balt. J. Road Bridge Eng. 2016, 11, 62–69. [Google Scholar] [CrossRef]
- Weller, G.; Schlag, B.; Friedel, T.; Rammin, C. Behaviourally relevant road categorisation: A step towards self-explaining rural roads. Accid. Anal. Prev. 2008, 40, 1581–1588. [Google Scholar] [CrossRef]
- Gitelman, V.; Pesahov, F.; Carmel, R.; Bekhor, S. The identification of infrastructure characteristics influencing travel speeds on single-carriageway roads to promote selfexplaining roads. Transp. Res. Procedia 2016, 14, 4160–4169. [Google Scholar] [CrossRef]
- Edquist, J.; Rudin-Brown, C.M.; Lenne, M. Road Design Factors and Their Interactions with Speed and Speed Limits; Monash University Accident Research Centre—Report # 298; Monash University Accident Research Centre: Victoria, Australia, 2009; Volume 30, pp. 1–24. [Google Scholar]
- Scriabine, P. SEA Applied to Multimodal CorridorsMethodology Developed by France. The Case of the North Corridor; SETRA (Service d’Etudes Techniques des Routes et Autoroutes): Bagneux, France, 1999. [Google Scholar]
- Paysage Recueil D’expériences Paysage et Lisibilité—Approches Paysage et Sécurité Routière; SETRA (Service d’Etudes Techniques des Routes et Autoroutes): Bagneux, France, 2003.
- Cantisani, G.; Del Serrone, G.; Di Biagio, G. Calibration and validation of and results from a micro-simulation model to explore drivers’ actual use of acceleration lanes. Simul. Model. Pract. Theory 2018, 89, 82–99. [Google Scholar] [CrossRef]
- Abele, L.; Møller, M. The relationship between road design and driving behavior. In Proceedings of the RSS 2011: Road Safety and Simulation 2011 Conference, Indianapolis, IN, USA, 14–16 September 2011. [Google Scholar]
- Ambunda, R.; Sinclair, M. Effect of two-lane two-way rural roadway design elements on road safety. Int. J. Innov. Technol. Explor. Eng. 2019, 8, 632–637. [Google Scholar]
- De Jager, T.M. Investigating Dangerous Overtaking Manoeuvres: The Effect of Road Design Elements on the Psychological State of Drivers. Ph.D. Thesis, Stellenbosch University, Stellenbosch, South Africa, 2019. [Google Scholar]
- Hisham, M.A.M.N.; Adnan, A.; Umar, R.Z.R.; Samuel, S.; Hanafi, M.; Ani, M.H. Effect of road design on hazard anticipation behavior among motorcyclists during merging in traffic. Hum. Factors Ergon. J. 2019, 4, 92–98. [Google Scholar]
- Li, Z.; Chitturi, M.V.; Bill, A.R.; Noyce, D.A. Automated identification and extraction of horizontal curve information from geographic information system roadway maps. Transp. Res. Rec. 2012, 2291, 80–92. [Google Scholar] [CrossRef]
- Watters, P.; O’Mahony, M. The relationship between geometric design consistency and safety on rural single carriageways in Ireland. In Proceedings of the European Transport Conference, Leiden, The Netherlands, 17–19 October 2007. [Google Scholar]
- Andrášik, R.; Bíl, M. Efficient road geometry identification from digital vector data. J. Geogr. Syst. 2016, 18, 249–264. [Google Scholar] [CrossRef]
- Di Mascio, P.; Di Vito, M.; Loprencipe, G.; Ragnoli, A. Analisi di sensibilità dei metodi di calcolo per la determinazione della geometria stradale. In Proceedings of the XXVI National PIARC Conference—Tema Strategico D-Qualità delle infrastrutture stradali, Rome, Italy, 27–30 October 2010; ISBN 978-88-905397-0-1. (In Italian). [Google Scholar]
- Luo, W.; Li, L.; Wang, K.C. Automated pavement horizontal curve measurement methods based on inertial measurement unit and 3D profiling data. J. Traffic Transp. Eng. 2016, 3, 137–145. [Google Scholar] [CrossRef][Green Version]
- Marinelli, G.; Bassani, M.; Piras, M.; Lingua, A. Mobile mapping systems and spatial data collection strategies assessment in the identification of horizontal alignment of highways. Transp. Res. Part C Emerg. Technol. 2017, 79, 257–273. [Google Scholar] [CrossRef]
- Puente, I.; Gonz´alez-Jorge, H.; Mart´ınez-Sa´nchez, J.; Arias, P. Review of mobile mapping and surveying technologies. Measurement 2013, 46, 2127–2145. [Google Scholar] [CrossRef]
- Wang, K.; Hou, Z.; Gong, W. Automation techniques for Digital Highway Data Vehicle (DHDV). In Proceedings of the 7th International Conference on Managing Pavement Assets, Calgary, AB, Canada, 23–28 June 2008. [Google Scholar]
- Gavil´an, M.; Balcones, D.; Marcos, O.; Llorca, D.F.; Sotelo, M.A.; Parra, I.; Ocan˜a, M.; Aliseda, P.; Yarza, P.; Am´ırola, A. Adaptive road crack detection system by pavement classification. Sensors 2011, 11, 9628–9657. [Google Scholar] [CrossRef] [PubMed]
- Specht, C.; Wilk, A.; Koc, W.; Karwowski, K.; Dąbrowski, P.; Specht, M.; Grulkowski, S.; Chrostowski, P.; Szmagliński, J.; Czaplewski, K.; et al. Verification of GNSS measurements of the railway track using standard techniques for determining coordinates. Remote Sens. 2020, 12, 2874. [Google Scholar] [CrossRef]
- Koc, W.; Specht, C.; Szmaglinski, J.; Chrostowski, P. A method for determination and compensation of a cant influence in a track centerline identification using GNSS methods and inertial measurement. Appl. Sci. 2019, 9, 4347. [Google Scholar] [CrossRef]
- Dąbrowski, P.S.; Specht, C.; Koc, W.; Wilk, A.; Czaplewski, K.; Karwowski, K.; Specht, M.; Chrostowski, P.; Szmagliński, J.; Grulkowski, S. Installation of GNSS receivers on a mobile railway platform–methodology and measurement aspects. Zesz. Nauk. Akad. Mor. Szczec. 2019, 60, 18–26. [Google Scholar]
- Ai, C.; Tsai, Y. Automatic horizontal curve identification and measurement method using GPS data. J. Transp. Eng. 2015, 141, 04014078. [Google Scholar] [CrossRef]
- Castro, M.; Iglesias, L.; Rodr´ıguez-Solano, R.; Sa´nchez, J.A. Geometric modelling of highways using global positioning system (GPS) data and spline approximation. Transp. Res. Part C Emerg. Technol. 2006, 14, 233–243. [Google Scholar] [CrossRef]
- Ben-Arieh, D.; Chang, S.; Rys, M.; Zhang, G. Geometric modeling of highways using global positioning system data and B-spline approximation. J. Transp. Eng. 2004, 130, 632–636. [Google Scholar] [CrossRef]
- Di Mascio, P.; Di Vito, M.; Loprencipe, G.; Ragnoli, A. Procedure to determine the geometry of road alignment using GPS data. Procedia Soc. Behav. Sci. 2012, 53, 1202–1215. [Google Scholar] [CrossRef]
- Crisman, B.; Robba, A. Safety Evaluation: Practical Use of Collected Data Vehicle to Obtain Geometric Information of Existing Roadway; Società Italiana Infrastrutture Viarie SIIV: Catania, Italy, 2005; volume 400, pp. 1–21. [Google Scholar]
- Zhang, S.; Won, M.; Son, S.H. Low-cost realtime horizontal curve detection using inertial sensors of a smartphone. In Proceedings of the 2016 IEEE 84th Vehicular Technology Conference (VTC-Fall), Montréal, QC, Canada, 18–21 September 2016; pp. 1–5. [Google Scholar]
- Kåsa, I. A circle fitting procedure and its error analysis. IEEE Trans. Instrum. Meas. 1976, 25, 8–14. [Google Scholar] [CrossRef]
- Ciroi, S. I Minimi Quadrati. Chapter 11. pp. 123–138. Available online: http://dipastro.pd.astro.it/ciroi/espfis1/esperI_cap11.pdf (accessed on 9 November 2020).
- Maisonobe, L. Finding the Circle that Best Fits a Set of Points. 2007. Available online: http://www.spaceroots.org/documents/circle/circle-fitting.pdf (accessed on 9 November 2020).
- Bassani, M.; Marinelli, G.; Piras, M. Identification of horizontal circular arc from spatial data sources. J. Surv. Eng. 2016, 142, 04016013. [Google Scholar] [CrossRef]
- Gander, W.; Golub, G.H.; Strebel, R. Least-squares fitting of circles and ellipses. BIT Numer. Math. 1994, 34, 558–578. [Google Scholar] [CrossRef]
- Luo, W.; Li, L.; Wang, K.C. Automatic horizontal curve identification and measurement using mobile mapping system. J. Surv. Eng. 2018, 144, 04018007. [Google Scholar] [CrossRef]
- Walton, D.J.; Meek, D.S. A controlled clothoid spline. Comput. Graph. 2005, 29, 353–363. [Google Scholar] [CrossRef]
- Cantisani, G.; Dondi, D.; Loprencipe, G.; Ranzo, A. Spline curves for geometric modeling of highway design. In Proceedings of the II International Congress SIIV—New Technologies and Modeling Tools for Roads, Firenze, Italy, 27–29 October 2004. [Google Scholar]
- Savitzky, A.; Golay, M.J.E. Smoothing and differentiation of data by simplified least squares procedures. Anal. Chem. 1964, 36, 1627–1639. [Google Scholar] [CrossRef]
- Garach, L.; De Oña, J.; Pasadas, M. Determination of alignments in existing roads by using spline techniques. Math. Comput. Simul. 2014, 102, 144–152. [Google Scholar] [CrossRef]
- Li, W.; Pu, H.; Schonfeld, P.; Song, Z.; Zhang, H.; Wang, L.; Wang, J.; Peng, X.; Peng, L. A method for automatically recreating the horizontal alignment geometry of existing railways. Comput. Aided Civ. Infrastruct. Eng. 2019, 34, 71–94. [Google Scholar] [CrossRef]
- Gikas, V.; Stratakos, J. A novel geodetic engineering method for accurate and automated road/railway centerline geometry extraction based on the bearing diagram and fractal behavior. IEEE Trans. Intell. Transp. Syst. 2011, 13, 115–126. [Google Scholar] [CrossRef]
- Coope, I.D. Circle fitting by linear and nonlinear least squares. J. Optim. Theory Appl. 1993, 76, 381–388. [Google Scholar] [CrossRef]
- Garach, L.; de Oña, J.; Pasadas, M. Mathematical formulation and preliminary testing of a spline approximation algorithm for the extraction of road alignments. Autom. Constr. 2014, 47, 1–9. [Google Scholar] [CrossRef]














| E | N | Q | i | Azimuth | m | q | Partial Length | Distance |
|---|---|---|---|---|---|---|---|---|
| (m) | (m) | (m) | (°) | y = mx + q | (m) | (m) | ||
| 790,885.2 | 4,654,322.3 | 24.79 | 1 | 22.8 | 2.4 | 2,769,909.0 | 1.286 | 0.00 |
| 790,885.7 | 4,654,323.4 | 24.776 | 2 | 22.6 | 2.4 | 2,749,917.0 | 1.289 | 1.29 |
| 790,886.2 | 4,654,324.6 | 24.763 | 3 | 22.4 | 2.4 | 2,738,193.8 | 1.290 | 2.57 |
| 790,886.7 | 4,654,325.8 | 24.756 | 4 | 22.5 | 2.4 | 2,740,488.4 | 1.289 | 3.86 |
| 790,887.2 | 4,654,327.0 | 24.737 | 5 | 22.3 | 2.4 | 2,723,133.1 | 1.292 | 5.15 |
| 790,887.7 | 4,654,328.2 | 24.723 | 6 | 21.9 | 2.5 | 2,686,229.1 | 1.294 | 6.44 |
| 790,888.2 | 4,654,329.4 | 24.726 | 7 | 21.8 | 2.5 | 2,672,991.9 | 1.295 | 7.74 |
| 790,888.7 | 4,654,330.6 | 24.712 | 8 | 21.5 | 2.5 | 2,648,700.0 | 1.300 | 9.03 |
| 790,889.1 | 4,654,331.8 | 24.697 | 9 | 21.3 | 2.6 | 2,626,662.2 | 1.305 | 10.33 |
| 790,889.6 | 4,654,333.0 | 24.692 | 10 | 21.1 | 2.6 | 2,608,805.8 | 1.306 | 11.64 |
| L | α | σ | Es | Ns | Ee | Ne | |
|---|---|---|---|---|---|---|---|
| (m) | (°) | (m) | (m) | (m) | (m) | (m) | |
| S.L. 1 | 205.52 | 19.17 | 0.58 | 2,313,937.5 | 4,651,583.2 | 2,313,870.0 | 4,651,389.1 |
| S.L. 2 | 68.64 | 25.65 | 0.59 | 2,313,998.1 | 4,651,718.7 | 2,313,968.6 | 4,651,656.8 |
| S.L. 3 | 79.56 | 27.58 | 0.53 | 2,314,072.8 | 4,651,861.9 | 2,314,036.0 | 4,651,791.4 |
| S.L. 4 | 259.91 | 23.39 | 0.38 | 2,314,209.1 | 4,652,169.7 | 2,314,105.9 | 4,651,931.2 |
| S.L. 5 | 20.36 | 38.45 | 0.09 | 2,314,311.8 | 4,652,333.7 | 2,314,299.1 | 4,652,317.8 |
| S.L. 6 | 105.43 | 15.86 | 0.44 | 2,314,403.7 | 4,652,552.1 | 2,314,374.9 | 4,652,450.7 |
| S.L. 7 | 12.95 | 22.07 | 0.01 | 2,314,448.1 | 4,652,676.4 | 2,314,443.3 | 4,652,664.4 |
| S.L. 8 | 119.66 | −24.32 | 0.20 | 2,314,382.7 | 4,653,143.4 | 2,314,432.0 | 4,653,034.3 |
| S.L. 9 | 340.07 | 18.06 | 0.85 | 2,314,476.8 | 4,653,938.4 | 2,314,371.3 | 4,653,615.2 |
| S.L. 10 | 218.78 | 91.24 | 0.24 | 2,315,295.8 | 4,654,341.2 | 2,315,077.1 | 4,654,345.9 |
| Ec | Nc | R | σ | Es | Ns | Ee | Ne | L | α | |
|---|---|---|---|---|---|---|---|---|---|---|
| (m) | (m) | (m) | (m) | (m) | (m) | (m) | (m) | (m) | (rad) | |
| C.A. 1 | 2,314,485.9 | 4,651,399.3 | 578.3 | 0.04 | 2,313,943.0 | 4,651,598.5 | 2,313,961.1 | 4,651,642.2, | 47.30 | 0.08 |
| C.A. 2 | 2,313,038.2 | 4,652,397.5 | 1165 | 0.10 | 2,314,079.7 | 4,651,875.5 | 2,314,099.2 | 4,651,916.5 | 45.39 | 0.04 |
| C.A. 3 | 2,314,581.2 | 4,652,045.8 | 389.5 | 0.26 | 2,314,223.7 | 4,652,201.1 | 2,314,278.3 | 4,652,290.9 | 105.34 | 0.27 |
| C.A. 4 | 2,314,143.7 | 4,652,503.7 | 236.6 | 0.39 | 2,314,330.1 | 4,652,357.9 | 2,314,367.8 | 4,652,427.3 | 79.33 | 0.34 |
| C.A. 5 | 2,315,098.3 | 4,652,369.9 | 717.6 | 0.15 | 2,314,411.2 | 4,652,577.3 | 2,314,435.5 | 4,652,644.9 | 71.88 | 0.10 |
| C.A. 6 | 2,314,120.3 | 4,652,837.3 | 364.3 | 0.25 | 2,314,473.0 | 4,652,746.9 | 2,314,460.6 | 4,652,967.5 | 224.53 | 0.62 |
| C.A. 7 | 2,314,926.2 | 4,653,387.6 | 596.8 | 0.33 | 2,314,349.3 | 4,653,235.8 | 2,314,345.5 | 4,653,526.4 | 293.57 | 0.49 |
| C.A. 8 | 2,315,049.6 | 4,653,733.4 | 611.5 | 0.81 | 2,314,547.7 | 4,654,083.5 | 2,314,923.2 | 4,654,331.0 | 460.79 | 0.75 |
Publisher’s Note: MDPI stays neutral with regard to jurisdictional claims in published maps and institutional affiliations. |
© 2020 by the authors. Licensee MDPI, Basel, Switzerland. This article is an open access article distributed under the terms and conditions of the Creative Commons Attribution (CC BY) license (http://creativecommons.org/licenses/by/4.0/).
Share and Cite
Cantisani, G.; Del Serrone, G. Procedure for the Identification of Existing Roads Alignment from Georeferenced Points Database. Infrastructures 2021, 6, 2. https://doi.org/10.3390/infrastructures6010002
Cantisani G, Del Serrone G. Procedure for the Identification of Existing Roads Alignment from Georeferenced Points Database. Infrastructures. 2021; 6(1):2. https://doi.org/10.3390/infrastructures6010002
Chicago/Turabian StyleCantisani, Giuseppe, and Giulia Del Serrone. 2021. "Procedure for the Identification of Existing Roads Alignment from Georeferenced Points Database" Infrastructures 6, no. 1: 2. https://doi.org/10.3390/infrastructures6010002
APA StyleCantisani, G., & Del Serrone, G. (2021). Procedure for the Identification of Existing Roads Alignment from Georeferenced Points Database. Infrastructures, 6(1), 2. https://doi.org/10.3390/infrastructures6010002

