Impact of Pavement Surface Condition on Roadway Departure Crash Risk in Iowa
Abstract
1. Introduction
2. Data Sources
2.1. Pavement Condition Data
2.2. Crash Records
3. Methods
3.1. Crash Rate Models
3.2. Risk Analysis
4. Results and Discussion
4.1. Visual Diagnostics
4.2. Crash Rate Models
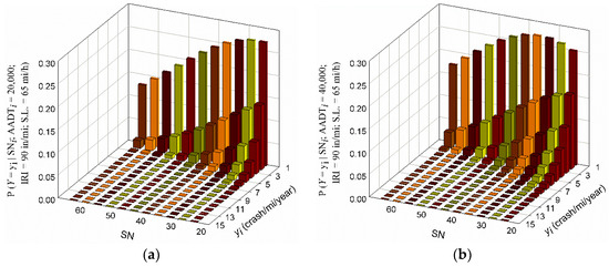
4.3. Risk Analysis Results
5. Conclusions
- Crash records are sparse in nature and require carful modeling using discrete count models, such as the negative binomial repression model.
- For the general crash model, which included all crash events under various severities and environmental surface conditions, higher skid resistance reduced the roadway departure crash rates. This impact is amplified on segments with higher speed limits, which reflects the importance of adequate skid resistance on higher speed segments.
- For the general model, rougher road segments had slightly higher crash rates. This impact is amplified on segments with higher speed limits.
- Higher skid resistance reduced the crash rates for both wet and dry crashes.
- Exploring the distribution of the count number of crashes for a given section, provides extra information that cannot be captured by examining the average crash rates solely.
- The risk analysis of traffic crashes provides a helpful tool for estimating the expected consequences in terms of human injury, social impact, and monetary value.
- There is a need for further investigation to understand the impact of weather condition on traffic crashes, and the interaction between the pavement surface condition and weather conditions.
Author Contributions
Funding
Conflicts of Interest
References
- Blincoe, L.J.; Miller, T.R.; Zaloshnja, E.; Lawrence, B.A. The Economic and Societal Impact of Motor Vehicle Crashes, 2010; Report No. DOT HS 812 013; National Highway Traffic Safety Administration: Washington, DC, USA, 2015.
- Tighe, S.; Li, N.; Falls, L.; Haas, R. Incorporating Road Safety into Pavement Management. Transp. Res. Rec. J. Transp. Res. Board 2000, 1699, 1–10. [Google Scholar] [CrossRef]
- Jung, S.; Jang, K.; Yoon, Y.; Kang, S. Contributing factors to vehicle to vehicle crash frequency and severity under rainfall. J. Saf. Res. 2014, 50, 1–10. [Google Scholar] [CrossRef] [PubMed]
- Hussein, N.A.; Hassan, R.A.; Evans, R. Assessing the Impacts of Pavement Surface Condition on the Performance of Signalized Intersections. In Proceedings of the 9th International Conference on Managing Pavement Assets, Washington, DC, USA, 18–21 May 2015. [Google Scholar]
- Vinayakamurthy, M. Effect of Pavement Condition on Accident Rate. Masters’ Thesis, Arizona State University, Tempe, AZ, USA, 2017. [Google Scholar]
- Cowe Falls, L.; Ibrahim, A. Development of a Safety Management System (SMS) for the Nova Scotia Department of Transportation and Public Works. In Proceedings of the 2000 Annual Conference and Exhibition of the Transportation Association of Canada, St. John, NB, Canada, 1–4 October 2000. [Google Scholar]
- Henry, J.J. Evaluation of Pavement Friction Characteristics; Transportation Research Board: Washington, DC, USA, 2000; Volume 291, ISBN 0309068746. [Google Scholar]
- Noyce, D.A.; Bahia, H.U.; Yambo, J.M.; Kim, G. Incorporating Road Safety into Pavement Management: Maximizing Asphalt Pavement Surface Friction for Road Safety Improvements; Midwest Regional University Transportation Center: Madison, WI, USA, 2005. [Google Scholar]
- Hall, J.W.; Smith, K.L.; Titus-Glover, L.; Wambold, J.C.; Yager, T.J.; Rado, Z. NCHRP Web-Only Document 108: Guide for Pavement Friction. National Cooperative Highway Research Program; Transportation Research Board National Academy: Washington, DC, USA, 2009. [Google Scholar]
- Persson, B.N.J. Theory of rubber friction and contact mechanics. J. Chem. Phys. 2001, 115, 3840–3861. [Google Scholar] [CrossRef]
- Persson, B.N.J. Contact mechanics for randomly rough surfaces. Surf. Sci. Rep. 2006, 61, 201–227. [Google Scholar] [CrossRef]
- Pardillo Mayora, J.M.; Jurado Piña, R. An assessment of the skid resistance effect on traffic safety under wet-pavement conditions. Accid. Anal. Prev. 2009, 41, 881–886. [Google Scholar] [CrossRef] [PubMed]
- Buddhavarapu, P.; Banerjee, A.; Prozzi, J.A. Influence of pavement condition on horizontal curve safety. Accid. Anal. Prev. 2013, 52, 9–18. [Google Scholar] [CrossRef] [PubMed]
- Musey, K.; Park, S. Pavement Skid Number and Horizontal Curve Safety. Procedia Eng. 2016, 145, 828–835. [Google Scholar] [CrossRef]
- Neuman, T.R.; Pfefer, R.; Slack, K.L.; Hardy, K.K.; Council, F.; McGee, H.; Prothe, L.; Eccles, K. A Guide for Addressing Run-Off-Road Collisions. In NCHRP Report 500: Guidance for Implementation of the AASHTO Strategic Highway Safety Plan; Transportation Research Board National Academy: Washington, DC, USA, 2003; Volume 6. [Google Scholar]
- Torbic, D.J.; Harwood, D.W.; Gilmore, D.K.; Pfefer, R.; Neuman, T.R.; Slack, K.L.; Hardy, K.K. A Guide for Reducing Collisions on Horizontal Curves. In NCHRP Report 500: Guidance for Implementation of the AASHTO Strategic Highway Safety Plan; Transportation Research Board National Academy: Washington, DC, USA, 2004; Volume 7. [Google Scholar]
- Merritt, D.K.; Lyon, C.A.; Persaud, B.N. Evaluation of Pavement Safety Performance; The National Academies of Sciences, Engineering, and Medicine: Washington, DC, USA, 2015. [Google Scholar]
- McGee, H.W.; Hanscom, F.R. Low-cost treatments for horizontal curve safety. In Proceedings of the ITE Annual Meeting and Exhibit Institute of Transportation Engineers, San Antonio, TX, USA, 9–12 August 2009. [Google Scholar]
- U.S. Department of Transportation Federal Highway Administration. Proven Safety Countermeasures, Enhanced Delineation and Friction for Horizontal Curves. Available online: https://safety.fhwa.dot.gov/provencountermeasures/enhanced_delineation/ (accessed on 4 April 2018).
- De Leon Izeppi, E.; Katicha, S.W.; Flintsch, G.W.; McCarthy, R.; McGhee, K.K. Continuous Friction Measurement Equipment as a Tool for Improving Crash Rate Prediction: A Pilot Study; Transportation Research Board: Washington, DC, USA, 2016. [Google Scholar]
- De León Izeppi, E.; Katicha, S.W.; Flintsch, G.W.; McGhee, K.K. Pioneering Use of Continuous Pavement Friction Measurements to Develop Safety Performance Functions, Improve Crash Count Prediction, and Evaluate Treatments for Virginia Roads. Transp. Res. Rec. J. Transp. Res. Board 2016, 2583, 81–90. [Google Scholar] [CrossRef]
- McCarthy, R.; Flintsch, G.W.; Katicha, S.W.; McGhee, K.K.; Medina-Flintsch, A. New approach for managing pavement friction and reducing road crashes. Transp. Res. Rec. J. Transp. Res. Board 2016, 23–32. [Google Scholar] [CrossRef]
- Najafi, S. Pavement Friction Management (PFM)—A Step toward Zero Fatalities. Ph.D. Thesis, Virginia Polytechnic Institute and State University, Blacksburg, VA, USA, 2016. [Google Scholar]
- Geedipally, S.R.; Pratt, M.P.; Lord, D. Effects of geometry and pavement friction on horizontal curve crash frequency. J. Transp. Saf. Secur. 2017, 1–22. [Google Scholar] [CrossRef]
- Start, M.; Kim, J.; Berg, W. Potential Safety Cost-Effectiveness of Treating Rutted Pavements. Transp. Res. Rec. J. Transp. Res. Board 1998, 1629, 208–213. [Google Scholar] [CrossRef]
- Ong, G.P.; Fwa, T.F. Wet-Pavement Hydroplaning Risk and Skid Resistance: Modeling. J. Transp. Eng. 2007, 133, 590–598. [Google Scholar] [CrossRef]
- Fwa, T.F.; Pasindu, H.R.; Ong, G.P. Critical Rut Depth for Pavement Maintenance Based on Vehicle Skidding and Hydroplaning Consideration. J. Transp. Eng. 2012, 138, 423–429. [Google Scholar] [CrossRef]
- Fwa, T.F.; Ong, G.P. Transverse Pavement Grooving against Hydroplaning. II: Design. J. Transp. Eng. 2006, 132, 449–457. [Google Scholar] [CrossRef]
- Ong, G.P.; Fwa, T.F. Transverse Pavement Grooving against Hydroplaning. I: Simulation Model. J. Transp. Eng. 2006, 132, 441–448. [Google Scholar] [CrossRef]
- Chan, C.Y.; Huang, B.; Yan, X.; Richards, S. Investigating effects of asphalt pavement conditions on traffic accidents in Tennessee based on the pavement management system (PMS). J. Adv. Transp. 2010, 44, 150–161. [Google Scholar] [CrossRef]
- Žuraulis, V.; Levulytė, L.; Sokolovskij, E. The impact of road roughness on the duration of contact between a vehicle wheel and road surface. Transport 2014, 29, 431–439. [Google Scholar] [CrossRef]
- Road Safety. Road Safety Annual Report, 1972; Catalogue Number T45-1/1972; Transport Canada: Ottawa, ON, Canada, 1973.
- ASTM International. ASTM E274/E274M-15 Standard Test Method for Skid Resistance of Paved Surfaces Using a Full-Scale Tire; ASTM International: West Conshohocken, PA, USA, 2015. [Google Scholar] [CrossRef]
- Salem, O.; AbouRizk, S.; Ariaratnam, S. Risk-based life-cycle costing of infrastructure rehabilitation and construction alternatives. J. Infrastruct. Syst. 2003, 9, 6–15. [Google Scholar] [CrossRef]
- American Association of State Highway and Transportation Officials (AASHTO). Highway Safety Manual; American Association of State Highway and Transportation Officials: Washington, DC, USA, 2010; ISBN 9781560514770 1560514779. [Google Scholar]
- Bradlow, E.T.; Hardie, B.G.S.; Fader, P.S. Bayesian inference for the negative binomial distribution via polynomial expansions. J. Comput. Graph. Stat. 2002, 11, 189–201. [Google Scholar] [CrossRef]
- JMP®, Version 12; SAS Institute Inc.: Cary, NC, USA, 1989–2007.












| Model Name | NB Regression Form | Explanatory Variables Statistical Summary | ||||
|---|---|---|---|---|---|---|
| Term | Estimate 2 | Std. Error | Wald Chi-Square | p-Value | ||
| General Model | 2.67 × 10−3 | 0.225 | 696.93 | <0.01 | ||
| 6.22 × 10−1 | 0.019 | 1103.51 | <0.01 | |||
| −1.29 × 10−2 | 0.002 | 43.62 | <0.01 | |||
| 1.57 × 10−3 | <0.001 | 19.34 | <0.01 | |||
| −5.06 × 10−4 | <0.001 | 5.32 | 0.02 | |||
| 1.44 × 10−4 | <0.001 | 14.64 | <0.01 | |||
| Dry Condition 1 | 2.67 × 10−3 | 0.593 | 99.87 | <0.01 | ||
| 5.83 × 10−1 | 0.047 | 153.45 | <0.01 | |||
| −1.45 × 10−2 | 0.005 | 8.40 | <0.01 | |||
| Wet Condition 1 | 9.18 × 10−3 | 1.497 | 9.82 | <0.01 | ||
| 4.41 × 10−1 | 0.122 | 12.99 | <0.01 | |||
| −3.66 × 10−2 | 0.013 | 7.56 | <0.01 | |||
© 2018 by the authors. Licensee MDPI, Basel, Switzerland. This article is an open access article distributed under the terms and conditions of the Creative Commons Attribution (CC BY) license (http://creativecommons.org/licenses/by/4.0/).
Share and Cite
Alhasan, A.; Nlenanya, I.; Smadi, O.; MacKenzie, C.A. Impact of Pavement Surface Condition on Roadway Departure Crash Risk in Iowa. Infrastructures 2018, 3, 14. https://doi.org/10.3390/infrastructures3020014
Alhasan A, Nlenanya I, Smadi O, MacKenzie CA. Impact of Pavement Surface Condition on Roadway Departure Crash Risk in Iowa. Infrastructures. 2018; 3(2):14. https://doi.org/10.3390/infrastructures3020014
Chicago/Turabian StyleAlhasan, Ahmad, Inya Nlenanya, Omar Smadi, and Cameron A. MacKenzie. 2018. "Impact of Pavement Surface Condition on Roadway Departure Crash Risk in Iowa" Infrastructures 3, no. 2: 14. https://doi.org/10.3390/infrastructures3020014
APA StyleAlhasan, A., Nlenanya, I., Smadi, O., & MacKenzie, C. A. (2018). Impact of Pavement Surface Condition on Roadway Departure Crash Risk in Iowa. Infrastructures, 3(2), 14. https://doi.org/10.3390/infrastructures3020014

