Study on Interannual Variation Characteristics of Thermal and Humid Environments in Metro Tunnels Based on Different Climate Zones in China
Abstract
1. Introduction
2. Mathematical–Physical Model
2.1. Physical Model
2.2. Mathematical Model
- (1)
- The surrounding rock is homogeneous, continuous, and isotropic;
- (2)
- The moisture content in the surrounding rock exists only in the gaseous and liquid phases, and phase change to ice is not considered;
- (3)
- Water vapor is treated as an ideal gas, obeying the ideal gas law;
- (4)
- Local thermal and moisture equilibrium is assumed at every point within the surrounding rock;
- (5)
- The geometry of the surrounding rock is simplified to a regular form, with one-dimensional heat and moisture transfer along the thickness direction;
- (6)
- The effects of capillary hysteresis during isothermal sorption and desorption are neglected;
- (7)
- The surrounding rock is located within the geothermal zone of constant temperature, and seasonal variations in atmospheric temperature are not considered in the initial temperature distribution.
- (1)
- Governing Equations of Surrounding Rock
- (1.1)
- Moisture transfer
- (1.2)
- Heat transfer
- (2)
- Governing equations of moisture air
- (2.1)
- Moisture transfer
- (2.2)
- Heat transfer
- (3)
- Initial and boundary conditions
- (3.1)
- Initial conditions
- (3.2)
- Boundary conditions
2.3. Material Properties
3. Model Implementation and Validation
3.1. The Implementation of the Numerical Model
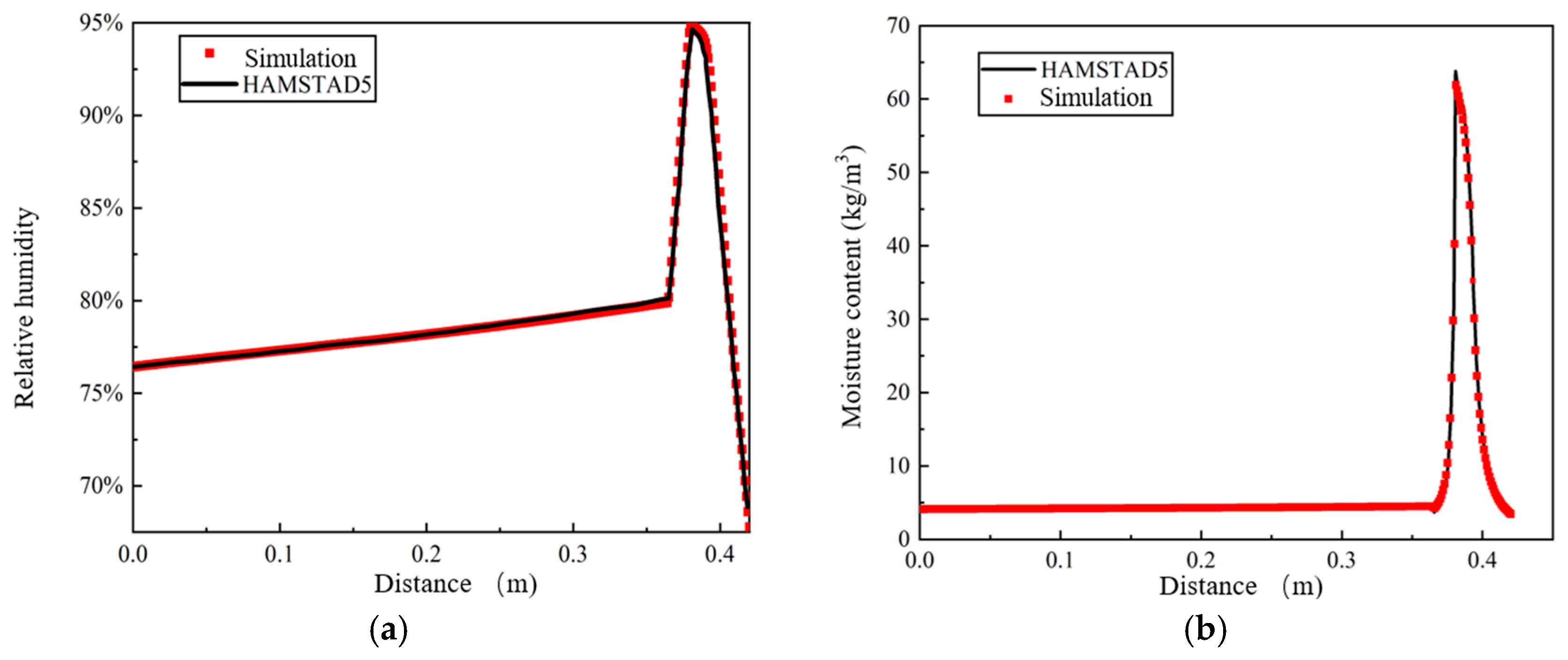
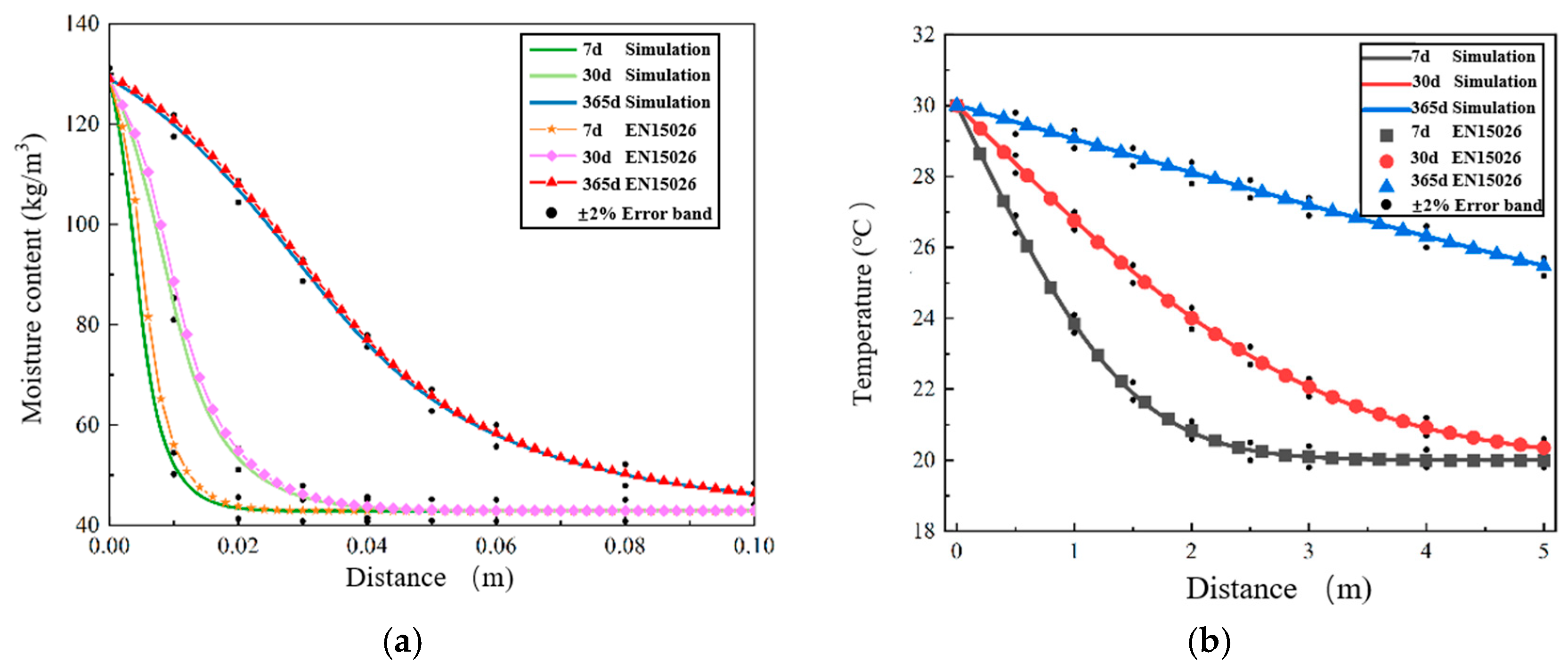
3.2. The Validation of the Numerical Model
4. Results and Discussion
4.1. Climatic Characteristics of Typical Cities in Different Climatic Regions
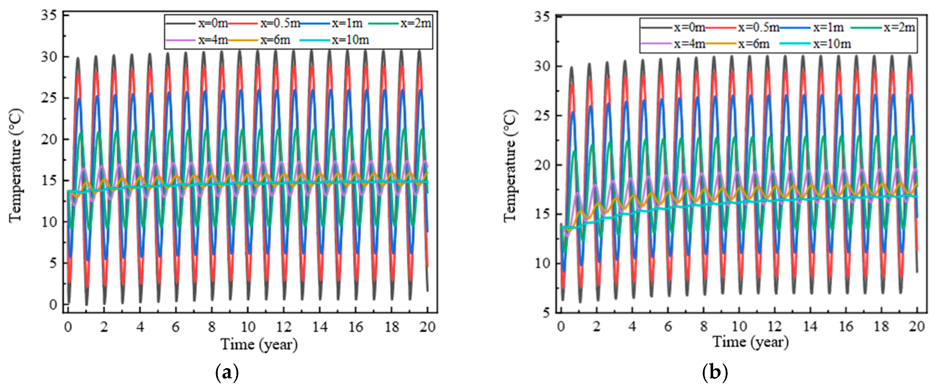
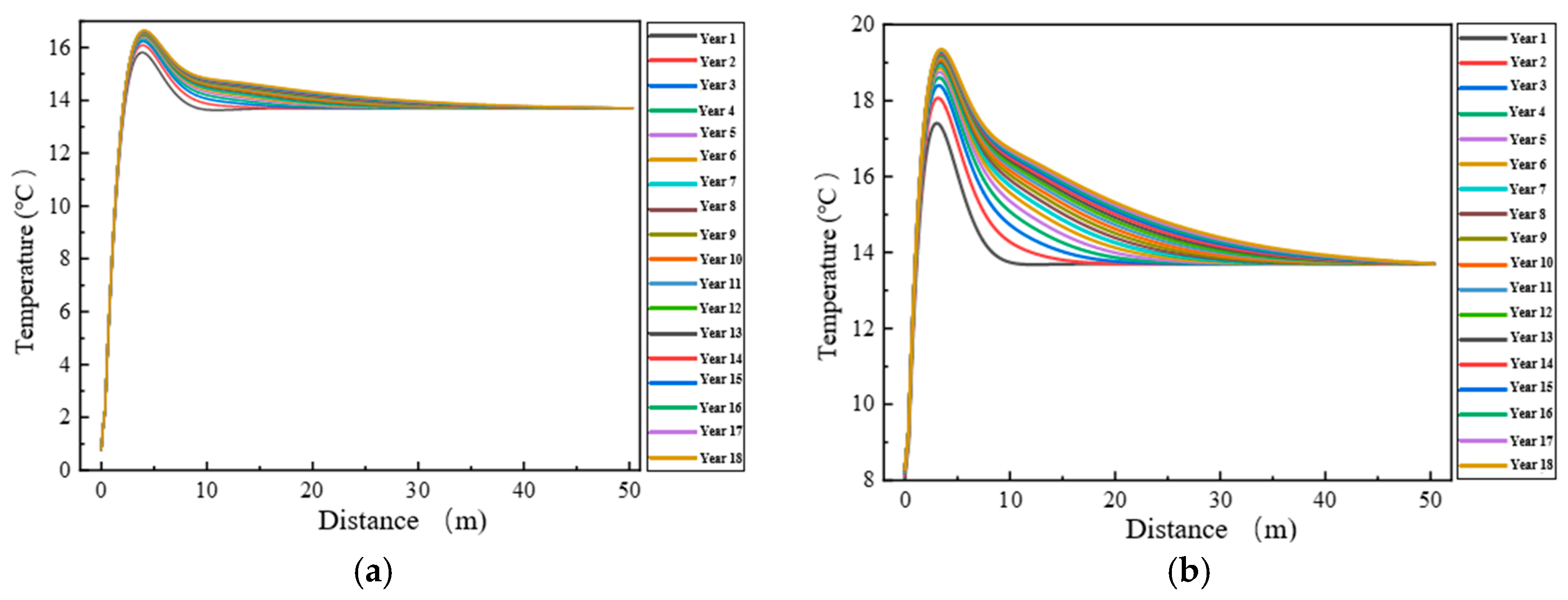
4.2. Interannual Variation in Thermal and Humid Environment of Metro Tunnels in Beijing
4.3. Interannual Variation in Thermal and Humid Environment of Metro Tunnels in Other Typical Cities
4.4. Comparative Analysis of Thermal and Humid Environment of Typical Urban Metro Tunnels in Climatic Regions
5. Conclusions
Author Contributions
Funding
Data Availability Statement
Conflicts of Interest
Nomenclature
| The specific heat capacity of water vapor, | |
| The specific heat capacity of liquid water, | |
| The specific heat capacity of solid materials, | |
| The diffusion coefficient, | |
| The diffusion coefficient of liquid water, | |
| The mass transfer coefficient caused by the relative humidity gradient, | |
| The mass transfer coefficient caused by temperature gradient, | |
| The moisture source, | |
| The convective heat transfer coefficient between the tunnel air and the surrounding rock wall, | |
| The convective heat transfer coefficient at the tunnel’s surrounding rock surface, | |
| The liquid water transfer, | |
| The water vapor transfer, | |
| The permeability of liquid water, | |
| The latent heat of evaporation, | |
| The saturation vapor pressure, | |
| The vapor pressure, | |
| The vapor partial pressure at the tunnel’s surrounding rock surface, | |
| The vapor partial pressure of the tunnel air, | |
| The heat flow, | |
| The heat source, | |
| Gas constant of water vapor, | |
| The capillary pressure, | |
| The temperature, | |
| The wall temperature, | |
| The air temperature in the tunnel, | |
| The density of surrounding rock, | |
| The air density, | |
| The density of liquid water, | |
| The relative humidity | |
| The water vapor permeability coefficient, | |
| The effective thermal conductivity, | |
| The effective thermal conductivity of the surrounding rock, | |
| Airflow velocity, | |
| Moisture content, | |
| Time, |
References
- Cheng, G.H.; Wang, R.; Zhao, M.H.; Su, J.; Yang, Y.; Zhang, X. Current situation and development trend of urban underground space development and utilization in China. Earth Sci. Front. 2019, 26, 39–47. (In Chinese) [Google Scholar]
- Annual Statistics and Analysis Report of Urban Rail Transit 2021. China Metros 2022, 10–15. (In Chinese) [CrossRef]
- Yu, Y.; You, S.; Zhang, H.; Ye, T.; Wang, Y.; Tang, C.; Wei, S. Measuring and modeling moisture environment in underground metro stations during commissioning stage: A case study. Build. Serv. Eng. Res. Technol. 2022, 43, 241–259. [Google Scholar] [CrossRef]
- Wang, J.; Feng, X.; Zeng, X.; Chen, J.; Shi, T.; Zhang, G.; Liao, J. Research on the effectiveness of ventilation and dehumidifier on preventing condensation risk of urban utility tunnel. Int. J. Vent. 2025, 24, 277–291. [Google Scholar] [CrossRef]
- Song, H.; Li, J.; Yu, Y.; Chen, Q. Research on the Influence of Subway Tunnel Depth on Heat Storage Characteristics of the Surrounding Soil Mass. Appl. Sci. 2023, 13, 9534. [Google Scholar] [CrossRef]
- Tong, L.; Zhang, M.; Hu, S.; Ji, Y. Changing Rules in Subway Tunnel Thermal Environment and Comprehensive Utilization of Waste Heat. Buildings 2024, 14, 2524. [Google Scholar] [CrossRef]
- Ji, Y.; Wang, W.; Fan, Y.; Hu, S. Coupling Effect between Tunnel Lining Heat Exchanger and Subway Thermal Environment. Renew. Energy 2023, 217, 119165. [Google Scholar] [CrossRef]
- Zhu, S.; Cheng, J.; Song, W.; Borowski, M.; Zhang, Y.; Yu, B.; Wang, Y.; Qi, C.; Tukkaraja, P.; Hua, G.; et al. Using seasonal temperature difference in underground surrounding rocks to cooling ventilation airflow: A conceptual model and simulation study. Energy Sci. Eng. 2020, 8, 3457–3475. [Google Scholar] [CrossRef]
- Wang, L.; Zou, X.; Tao, H.; Song, J.; Zheng, Y. Experimental Study on Evolution Characteristics of the Heat Storage of Surrounding Soil in Subway Tunnels. Procedia Eng. 2017, 205, 2728–2735. [Google Scholar] [CrossRef]
- Wang, M.; Geng, M.; Liu, L.; Wang, Y.; Shang, S. Numerical and Experimental Study on the Cooling Performance of Cold Load Storage Functional Backfill Considering the Coupled Heat and Moisture Transfer. J. Build. Eng. 2023, 78, 107673. [Google Scholar] [CrossRef]
- Li, Z.; Xu, Y.; Li, R.; Jia, M.; Wang, Q.; Chen, Y. Impact of the Water Evaporation on the Heat and Moisture Transfer in a High-Temperature Underground Roadway. Case Stud. Therm. Eng. 2021, 28, 101551. [Google Scholar] [CrossRef]
- Liu, N.; Liang, S.; Wang, S.; Song, Z. THM model of rock tunnels in cold regions and numerical simulation. Sci. Rep. 2024, 14, 3465. [Google Scholar] [CrossRef]
- Jiang, H.; Niu, F.; Ma, Q.; Su, W.; Wang, E. Numerical Analysis of Heat Transfer between Air inside and Outside the Tunnel Caused by Piston Action. Int. J. Therm. Sci. 2021, 170, 107164. [Google Scholar] [CrossRef]
- Vasilyev, G.P.; Peskov, N.V.; Lysak, T.M. Heat Balance Model for Long-Term Prediction of the Average Temperature in a Subway Tunnel and Surrounding Soil. Int. J. Therm. Sci. 2022, 172, 107344. [Google Scholar] [CrossRef]
- Sun, T.; Luo, Z.; Chay, T. An Analytical Model to Predict the Temperature in Subway-Tunnels by Coupling Thermal Mass and Ventilation. J. Build. Eng. 2021, 44, 102564. [Google Scholar] [CrossRef]
- De Vries, D.A. Simultaneous Transfer of Heat and Moisture in Porous Media. Eos Trans. Am. Geophys. Union 1958, 39, 909–916. [Google Scholar]
- Philip, J.R. Evaporation, and Moisture and Heat Fields in the Soil. J. Meteorol. 1957, 14, 354–366. [Google Scholar] [CrossRef]
- Vries, D.; Daniel, A. The Theory of Heat and Moisture Transfer in Porous Media Revisited. Int. J. Heat Mass Transf. 1987, 30, 1343–1350. [Google Scholar] [CrossRef]
- Philip, J.R.; De Vries, D.A. Moisture Movement in Porous Materials under Temperature Gradients. Eos Trans. Am. Geophys. Union 1957, 38, 222–232. [Google Scholar]
- Lykov, A.V. On Systems of Differential Equations for Heat and Mass Transfer in Capillary Porous Bodies. J. Eng. Phys. 1974, 26, 11–17. [Google Scholar] [CrossRef]
- Luikov, A.V. Heat and Mass Transfer in Capillary-Porous Bodies. Adv. Heat Transf. 1964, 1, 123–184. [Google Scholar]
- Yang, Z. Study on the Influence of Line Connectivity on Subway Piston Wind and Air Temperature. Master’s Thesis, Southwest Jiaotong University, Chengdu, China, 2021. (In Chinese) [Google Scholar]
- GB 50038-2005; Code for Design of Civil Air Defense Basement. China Plan Publishing House: Beijing, China, 2005. (In Chinese)
- Gao, X.; Qu, Y.; Xiao, Y. A Numerical Method for Cooling and Dehumidifying Process of Air Flowing through a Deeply Buried Underground Tunnel with Unsaturated Condensation Model. Appl. Therm. Eng. 2019, 159, 113891. [Google Scholar] [CrossRef]
- Zhi, T.; Ning, K. Humidity Migration in Building Structures. Adv. Mech. 1994, 24, 441–458. (In Chinese) [Google Scholar]
- Pedersen, C.R. Prediction of Moisture Transfer in Building Constructions. Build. Environ. 1992, 27, 387–397. [Google Scholar] [CrossRef]
- EN 15026:2007; Hygrothermal Performance of Building Components and Building Elements-Assessment of Moisture Transfer by Numerical Simulation. National Standards Authority of Ireland: Dublin, Ireland, 2007.
- Wei, M.; Wang, B.; Liu, S. Simulation of Thermo-Humid Coupled Transfer in Deep-Buried Underground Engineering Enclosures Using COMSOL Multiphysics. Sci. Technol. Eng. 2020, 20, 5729–5736. (In Chinese) [Google Scholar]
- Wang, L. Subway Piston Wind and Subway Environmental Control Energy Saving. Ph.D. Thesis, Tongji University, Shanghai, China, 2007. (In Chinese) [Google Scholar]
- Zhou, X.; Cao, X.; Leng, Z.; Zeng, C.; Yuan, Y.; Attia, S. Hygrothermal behavior of energy diaphragm wall and the induced heat and moisture interaction with adjacent underground space. Undergr. Space 2025, 23, 193–219. [Google Scholar] [CrossRef]
- Li, R. Basic of Finite Volume Method; National Defense Industry Press: Beijing, China, 2008. (In Chinese) [Google Scholar]
- van Schijndel, A.W.M.; Goesten, S.; Schellen, H.L. Simulating the Complete Hamstad Benchmark Using a Single Model Implemented in Comsol. Energy Procedia 2017, 132, 429–434. [Google Scholar] [CrossRef]

























| Parameter | Value | Unit |
|---|---|---|
| metro train length | 120 | m |
| metro train cross-sectional area | 10.6 | m2 |
| metro train cross-sectional perimeter | 13.2 | m |
| metro train formation | 6 (4M2T) | car |
| motor car weight | 35 | t |
| trailer car weight | 31 | t |
| rated passenger capacity | 300 | p/car |
| average passenger weight | 60 | Kg |
| constant travel speed | 80 | km/h |
| maximum acceleration | 0.83 | m/s2 |
| maximum deceleration | 0.94 | m/s2 |
| peak-hour train service frequency | 30 | pph |
| air conditioning cooling capacity | 70 | KW/car |
| Material | Volumetric Moisture Content () | Thermal Conductivity (W/(m · K)) | Water Vapor Permeability Coefficient (kg/(m · s · Pa)) | Liquid Water Conductivity Coefficient (kg/(m · s · Pa)) |
|---|---|---|---|---|
| soil | ||||
| concrete |
Disclaimer/Publisher’s Note: The statements, opinions and data contained in all publications are solely those of the individual author(s) and contributor(s) and not of MDPI and/or the editor(s). MDPI and/or the editor(s) disclaim responsibility for any injury to people or property resulting from any ideas, methods, instructions or products referred to in the content. |
© 2026 by the authors. Licensee MDPI, Basel, Switzerland. This article is an open access article distributed under the terms and conditions of the Creative Commons Attribution (CC BY) license.
Share and Cite
Ma, J.; Qiu, S.; Huang, L.; Deng, B.; He, L.; Cao, X.; Zhang, Q. Study on Interannual Variation Characteristics of Thermal and Humid Environments in Metro Tunnels Based on Different Climate Zones in China. Infrastructures 2026, 11, 56. https://doi.org/10.3390/infrastructures11020056
Ma J, Qiu S, Huang L, Deng B, He L, Cao X, Zhang Q. Study on Interannual Variation Characteristics of Thermal and Humid Environments in Metro Tunnels Based on Different Climate Zones in China. Infrastructures. 2026; 11(2):56. https://doi.org/10.3390/infrastructures11020056
Chicago/Turabian StyleMa, Jiangyan, Shuang Qiu, Lin Huang, Baoshun Deng, Lei He, Xiaoling Cao, and Qian Zhang. 2026. "Study on Interannual Variation Characteristics of Thermal and Humid Environments in Metro Tunnels Based on Different Climate Zones in China" Infrastructures 11, no. 2: 56. https://doi.org/10.3390/infrastructures11020056
APA StyleMa, J., Qiu, S., Huang, L., Deng, B., He, L., Cao, X., & Zhang, Q. (2026). Study on Interannual Variation Characteristics of Thermal and Humid Environments in Metro Tunnels Based on Different Climate Zones in China. Infrastructures, 11(2), 56. https://doi.org/10.3390/infrastructures11020056

