Exploring the Root Causes of Wide Thermal Cracks in the Southwestern United States
Abstract
1. Introduction
2. Background
3. Research Objectives
- Identify wide-cracking pavement sections in the study region and collect representative samples along with relevant site data.
- Identify the key volumetric properties that may contribute to the formation of wide cracks.
- Evaluate the extent of binder aging and characterize the rheological properties of the asphalt binder obtained from the wide-cracking sections.
- Develop a pavement temperature prediction model that incorporates climatic factors that influence thermal fatigue cracking in the study area and compare model predictions to reference scenarios.
- Develop finite element method (FEM) models to simulate thermal fatigue stress under local conditions and investigate the influence of structural design on thermal stresses development.
4. Materials and Methods
5. Study Area Evaluation
5.1. Geographical Overview
5.2. Climate Assessment
5.3. Sampling Area
6. Results
6.1. Core Sampling and Processing
6.1.1. Overview
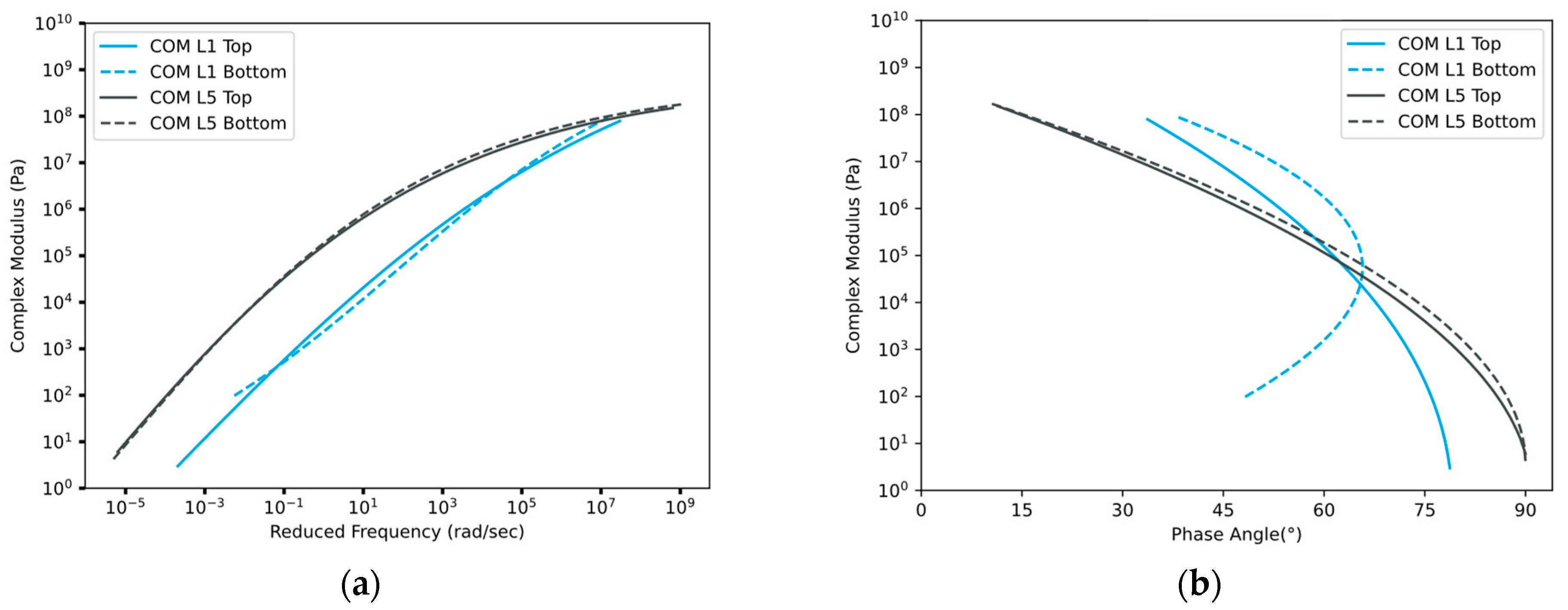
6.1.2. Binder Rheology and Aging Impacts
6.1.3. Field Core Volumetric Evaluation
6.2. Predicting Thermal Stresses in the Pavement Sections
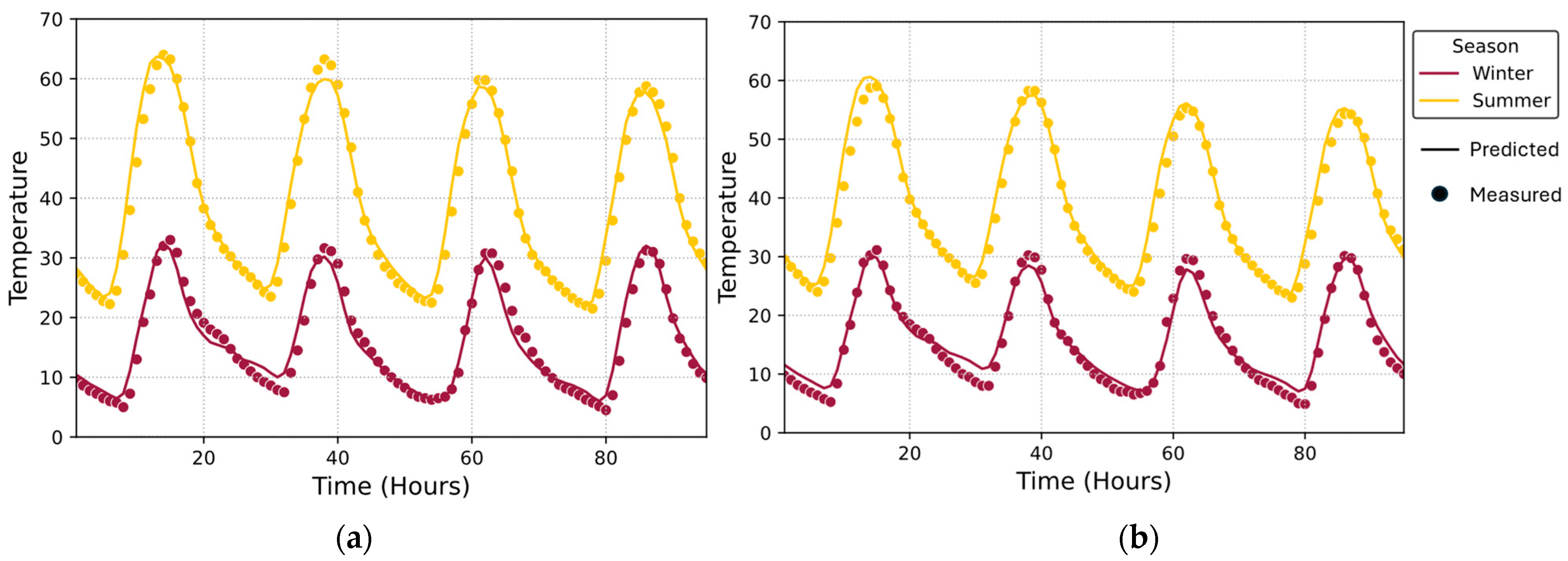
6.2.1. Pavement Temperature Model
6.2.2. Finite Element Modeling
6.3. Mechanistic Analysis of Thermal Fatigue
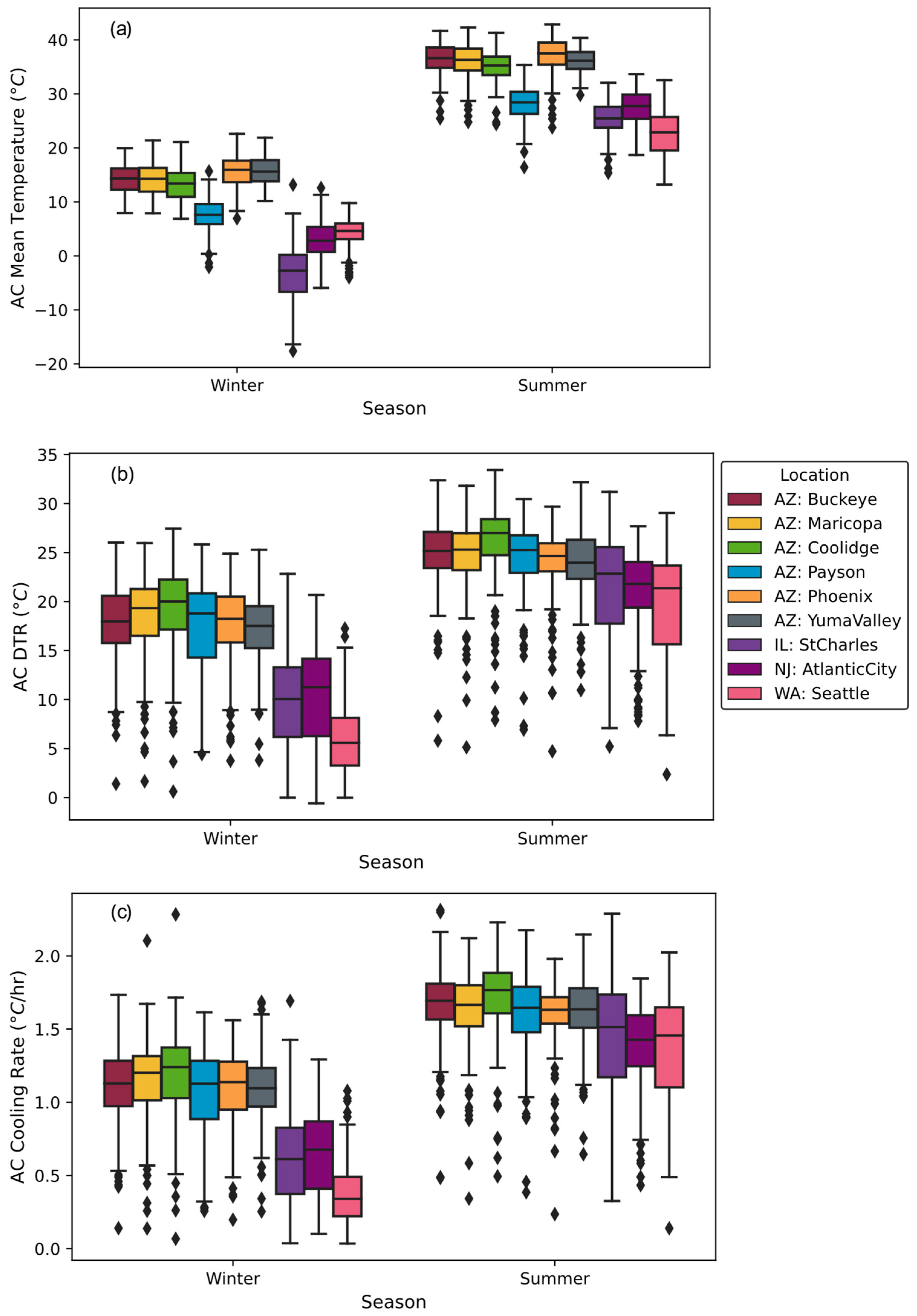
6.3.1. Effect of Climatic Conditions on Pavement Temperature Profiles
6.3.2. Effect of Pavement Structure on Pavement Temperature Profiles
6.3.3. Thermal Stresses
7. Discussion and Conclusions
- Wide-cracking pavement sections predominantly consisted of asphalt concrete (AC) layers placed directly on subgrade or on sand and gravel base layers, with AC thicknesses generally ranging from 3 to 4.5 inches.
- All evaluated wide-cracking sections exhibited severely aged and embrittled unmodified binders, as indicated by elevated complex shear modulus values, increased equivalent PG grades, and reduced fracture resistance.
- Based on observations from field core volumetric data, wide-cracking sections tended to exhibit a lower binder content, reduced effective binder volume, and lower voids in mineral aggregate (VMA) when compared with block-cracking sections.
- The study area experiences a significantly higher diurnal temperature range and a faster cooling rate compared to other regions, reflected also into the temperature distributions in the pavement structures.
- Finite element (FE) thermo-mechanical simulations indicated that, although the magnitude of tensile stresses generated by cyclic thermal fatigue is lower than in other regions, such stresses occur with a much higher frequency.
Author Contributions
Funding
Data Availability Statement
Acknowledgments
Conflicts of Interest
Abbreviations
| AC | Asphalt Concrete |
| AASHTO | American Association of State Highway and Transportation Officials |
| ATCA | Asphalt Thermal Cracking Analyzer |
| ASTM | American Society for Testing and Materials |
| COM | City of Mesa |
| COP | City of Phoenix |
| CTE | Coefficient of Thermal Expansion |
| DSR | Dynamic Shear Rheometer |
| DTR | Diurnal Temperature Range |
| E | Modulus of Elasticity |
| E* | Dynamic Modulus |
| FDM | Finite Difference Method |
| FE | Finite Element |
| FEM | Finite Element Method |
| FHWA | Federal Highway Administration |
| G* | Complex Shear Modulus |
| Gmm | Theoretical Maximum Specific Gravity |
| Gmb | Bulk Specific Gravity of Compacted Mixture |
| G-R | Glover–Rowe Parameter |
| Gse | Effective Specific Gravity of Aggregate |
| HMA | Hot Mix Asphalt |
| LVDT | Linear Variable Differential Transformer |
| M-E | Mechanistic–Empirical |
| NCHRP | National Cooperative Highway Research Program |
| PG | Performance Grade |
| Pb | Total Binder Content |
| Pbe | Effective Binder Content |
| SHC | Specific Heat Capacity |
| SHRP | Strategic Highway Research Program |
| TC | Thermal Conductivity |
| Vbe | Effective Binder Volume |
| Va | Air Voids |
| VFA | Voids Filled with Asphalt |
| VMA | Voids in Mineral Aggregate |
| WSS | Web Soil Survey |
References
- Bonaquist, R. Impact of Mix Design on Asphalt Pavement Durability. Transp. Res. Circ. 2014, 186, 1–17. [Google Scholar]
- Roque, R.; Hiltunen, D.; Buttlar, W.; Farwana, T. Development of the SHRP Superpave Mixture Specification Test Method to Control Thermal Cracking Performance of Pavements. In Engineering Properties of Asphalt Mixtures and the Relationship to Their Performance; ASTM International: West Conshohocken, PA, USA, 1995; pp. 55–73. ISBN 978-0-8031-2002-0. [Google Scholar]
- Dave, E.V.; Buttlar, W.G.; Leon, S.E.; Behnia, B.; Paulino, G.H. IlliTC—Low-Temperature Cracking Model for Asphalt Pavements. Road Mater. Pavement Des. 2013, 14, 57–78. [Google Scholar] [CrossRef]
- Lanotte, M.; Kutay, M.E.; Haider, S.W.; Musunuru, G.K. New Calibration Approach to Improve Pavement ME Design Thermal Cracking Prediction: Mixture-Specific Coefficients—The Michigan Case Study. Road Mater. Pavement Des. 2020, 21, 1859–1871. [Google Scholar] [CrossRef]
- Lytton, R.L.; Shanmugham, U.; Garrett, B.D. Design of Asphalt Pavements for Thermal Fatigue Cracking; Texas Transportation Institute. Texas A&M University: College Station, TX, USA, 1983. [Google Scholar]
- Al-Qadi, I.L.; Hassan, M.M.; Elseifi, M.A. Field and Theoretical Evaluation of Thermal Fatigue Cracking in Flexible Pavements. Transp. Res. Rec. 2005, 1919, 87–95. [Google Scholar] [CrossRef]
- Vinson, T.S.; Janoo, V.C.; Haas, R.C. Low Temperature and Thermal Fatigue Cracking; Strategic Highway Research Program, National Research Council: Washington, DC, USA, 1989.
- Epps, A. Design and Analysis System for Thermal Cracking in Asphalt Concrete. J. Transp. Eng. 2000, 126, 300–307. [Google Scholar] [CrossRef]
- Zeng, Z.; Kim, Y.R.; Underwood, B.S.; Guddati, M. Modeling Damage Caused by Combined Thermal and Traffic Loading Using Viscoelastic Continuum Damage Theory. Constr. Build. Mater. 2024, 418, 135425. [Google Scholar] [CrossRef]
- Chen, J.; Wang, H.; Xie, P. Pavement Temperature Prediction: Theoretical Models and Critical Affecting Factors. Appl. Therm. Eng. 2019, 158, 113755. [Google Scholar] [CrossRef]
- Alavi, M.; Hajj, E.Y.; Sebaaly, P.E. A Comprehensive Model for Predicting Thermal Cracking Events in Asphalt Pavements. Int. J. Pavement Eng. 2017, 18, 871–885. [Google Scholar] [CrossRef]
- Velasquez, R.; Bahia, H. Critical Factors Affecting Thermal Cracking of Asphalt Pavements: Towards a Comprehensive Specification. Road Mater. Pavement Des. 2013, 14, 187–200. [Google Scholar] [CrossRef]
- Ling, M.; Chen, Y.; Hu, S.; Luo, X.; Lytton, R.L. Enhanced Model for Thermally Induced Transverse Cracking of Asphalt Pavements. Constr. Build. Mater. 2019, 206, 130–139. [Google Scholar] [CrossRef]
- Marasteanu, M.; Buttlar, W.; Bahia, H.; Williams, C.; Moon, K.H.; Teshale, E.Z.; Falchetto, A.C.; Turos, M.; Dave, E.; Paulino, G. Investigation of Low Temperature Cracking in Asphalt Pavements National Pooled Fund Study–Phase II; Minnesota Department of Transportation: St. Paul, MN, USA, 2012. [Google Scholar]
- Chehab, G.R.; Kim, Y.R. Viscoelastoplastic Continuum Damage Model Application to Thermal Cracking of Asphalt Concrete. J. Mater. Civ. Eng. 2005, 17, 384–392. [Google Scholar] [CrossRef]
- Keshavarzi, B. Prediction of Thermal Cracking in Asphalt Pavements Using Simplified Viscoelastic Continuum Damage Theory. Ph.D. Thesis, North Carolina State University, Raleigh, NC, USA, 2019. [Google Scholar]
- Shahin, M.Y.; McCullough, B.F. Prediction of Low-Temperature and Thermal-Fatigue Cracking in Flexible Pavements; University of Texas at Austin: Austin, TX, USA, 1972. [Google Scholar]
- Jackson, N.M.; Vinson, T.S. Analysis of Thermal Fatigue Distress of Asphalt Concrete Pavements. Transp. Res. Rec. 1996, 1545, 43–49. [Google Scholar] [CrossRef]
- Hesp, S.; Terlouw, T.; Vonk, W. Low Temperature Performance of SBS-Modified Asphalt Mixes. Asph. Paving Technol. 2000, 69, 540–573. [Google Scholar]
- Colombier, G. Cracking in Pavements: Nature and Origin of Cracks. In Prevention of Reflective Cracking in Pavements; CRC Press: Boca Raton, FL, USA, 2004; pp. 14–29. [Google Scholar]
- Timm, D.H.; Guzina, B.B.; Voller, V.R. Prediction of Thermal Crack Spacing. Int. J. Solids Struct. 2003, 40, 125–142. [Google Scholar] [CrossRef]
- Shen, W.; Kirkner, D.J. Thermal Cracking of Viscoelastic Asphalt-Concrete Pavement. J. Eng. Mech. 2001, 127, 700–709. [Google Scholar] [CrossRef]
- Shen, W.; Kirkner, D.J. Distributed Thermal Cracking of AC Pavement with Frictional Constraint. J. Eng. Mech. 1999, 125, 554–560. [Google Scholar] [CrossRef]
- Christensen, D.W.; Tran, N. National Cooperative Highway Research Program; Transportation Research Board; National Academies of Sciences, Engineering, and Medicine. Relationships Between the Fatigue Properties of Asphalt Binders and the Fatigue Performance of Asphalt Mixtures; Transportation Research Board: Washington, DC, USA, 2021; p. 26302. ISBN 978-0-309-09342-2. [Google Scholar]
- Glover, C.J.; Davison, R.R.; Domke, C.H.; Ruan, Y.; Juristyarini, P.; Knorr, D.B.; Jung, S.H. Development of a New Method for Assessing Asphalt Binder Durability with Field Validation; TxDOT Research Project 0-1872; Texas Department of Transportation: Austin, TX, USA, 2005.
- Anderson, R.M.; King, G.N.; Hanson, D.I.; Blankenship, P.B. Evaluation of the Relationship between Asphalt Binder Properties and Non-Load Related Cracking. J. Assoc. Asph. Paving Technol. 2011, 80, 615–649. [Google Scholar]
- Rowe, G.M.; Sharrock, M.J.; Bouldin, M.G.; DongreÂ, R.N. Advanced Techniques to Develop Asphalt Master Curves from the Bending Beam Rheometer. In Proceedings of the 10th International Conference on Asphalt Pavements (ISAP), Québec City, QC, Canada, 12–18 August 2001. [Google Scholar]
- Dempsey, B. A Heat-Transfer Model for Evaluating Frost Action and Temperature Related Effects in Multilayered Pavement Systems. Ph.D. Thesis, University of Illinois, Urbana, IL, USA, 1969. [Google Scholar]
- Beheshti, M.; Ozer, H. Viscoelastic Computational Fracture Mechanics Approach for the Analysis of Thermal Reflective Cracking in Asphalt Overlaid Jointed Concrete Airfield Pavements. Transp. Res. Rec. J. Transp. Res. Board 2025, 2679, 823–843. [Google Scholar] [CrossRef]
- Gui, J.; Phelan, P.E.; Kaloush, K.E.; Golden, J.S. Impact of Pavement Thermophysical Properties on Surface Temperatures. J. Mater. Civ. Eng. 2007, 19, 683–690. [Google Scholar] [CrossRef]
- Obando, C.J.; Karam, J.J.; Kaloush, K.E. Characterization and Assessment of Aerogel-Modified Asphalt Binders. Int. J. Pavement Eng. 2023, 24, 2185617. [Google Scholar] [CrossRef]



























| Location | Winter | Summer |
|---|---|---|
| AZ: Buckeye | 12.0 | 33.2 |
| AZ: Coolidge | 10.4 | 30.6 |
| AZ: Maricopa | 11.2 | 33.4 |
| AZ: Payson | 5.1 | 23.3 |
| AZ: Phoenix | 12.8 | 34.0 |
| AZ: Yuma Valley | 13.7 | 31.9 |
| IL: St. Charles | −6.2 | 21.7 |
| NJ: Atlantic City | 2.0 | 23.8 |
| WA: Seattle | 5.1 | 18.0 |
| Site | #+ | Pb | Gmb | Gmm | Gse | Va | VMA | VFA | Vbe | Pbe |
|---|---|---|---|---|---|---|---|---|---|---|
| COM L2 * | S1 | 5.35 | 2.460 | 2.593 | 2.837 | 5.15 | 17.9 | 71.3 | 12.8 | 5.35 |
| COM L2 * | S2 | 5.35 | 2.460 | 2.593 | 2.837 | 5.15 | 17.9 | 71.3 | 12.8 | 5.35 |
| COM L2 * | S3 | 5.35 | 2.451 | 2.593 | 2.837 | 5.49 | 18.2 | 69.8 | 12.7 | 5.35 |
| COM L3 | S1 | 6.55 | 2.310 | 2.428 | 2.683 | 4.86 | 19.5 | 75.1 | 14.7 | 6.55 |
| COM L3 | S2 | 6.55 | 2.307 | 2.428 | 2.683 | 4.98 | 19.7 | 74.6 | 14.7 | 6.55 |
| COM L3 | S3 | 6.55 | 2.286 | 2.428 | 2.683 | 5.85 | 20.4 | 71.3 | 14.5 | 6.55 |
| COM L4 | S1 | 5.80 | 2.216 | 2.426 | 2.646 | 8.64 | 21.1 | 59.1 | 12.5 | 5.80 |
| COM L4 | S2 | 5.80 | 2.229 | 2.426 | 2.646 | 8.11 | 20.6 | 60.7 | 12.5 | 5.80 |
| COM L4 | S3 | 5.80 | 2.264 | 2.426 | 2.646 | 6.66 | 19.4 | 65.7 | 12.7 | 5.80 |
| COM L5 | S1 | 6.05 | 2.373 | 2.441 | 2.678 | 2.80 | 16.7 | 83.2 | 13.9 | 6.05 |
| COM L5 | S2 | 6.05 | 2.279 | 2.441 | 2.678 | 6.65 | 20.0 | 66.8 | 13.4 | 6.05 |
| COM L5 | S3 | 6.05 | 2.259 | 2.441 | 2.678 | 7.46 | 20.7 | 64.0 | 13.3 | 6.05 |
| COP L2 | S1 | 6.49 | 2.399 | 2.449 | 2.708 | 2.04 | 17.2 | 88.1 | 15.1 | 6.49 |
| COP L2 | S2 | 6.49 | 2.373 | 2.449 | 2.708 | 3.13 | 18.1 | 82.7 | 14.9 | 6.49 |
| COP L2-B | S1-b | 9.05 | 2.270 | 2.369 | 2.721 | 4.21 | 24.1 | 82.6 | 19.9 | 9.05 |
| COP L2-B | S2-b | 9.05 | 2.245 | 2.369 | 2.721 | 5.25 | 25.0 | 79.0 | 19.7 | 9.05 |
| COP L3 | S1 | 6.22 | 2.323 | 2.402 | 2.635 | 3.31 | 17.3 | 80.9 | 14.0 | 6.22 |
| COP L3 | S2 | 6.22 | 2.295 | 2.402 | 2.635 | 4.43 | 18.3 | 75.8 | 13.9 | 6.22 |
| COP L3-B | S1 | 6.50 | 2.159 | 2.367 | 2.669 | 8.80 | 24.4 | 63.9 | 15.6 | 7.43 |
| COP L3-B | S2 | 6.50 | 2.141 | 2.367 | 2.669 | 9.54 | 25.0 | 61.8 | 15.5 | 7.43 |
| Layer | E (MPa) | CTE (μϵ/°C) | SHC (J/kg.K) | TC (W/m.K) | Element Edge Size (mm) |
|---|---|---|---|---|---|
| AC | - | 20.5 | 939.7 | 1.00 | 10 |
| Base + | 250 | 9.0 | 850.0 | 0.75 | 10 |
| Subgrade * | 80 | - | 850.0 | 0.40 | 20 |
Disclaimer/Publisher’s Note: The statements, opinions and data contained in all publications are solely those of the individual author(s) and contributor(s) and not of MDPI and/or the editor(s). MDPI and/or the editor(s) disclaim responsibility for any injury to people or property resulting from any ideas, methods, instructions or products referred to in the content. |
© 2026 by the authors. Licensee MDPI, Basel, Switzerland. This article is an open access article distributed under the terms and conditions of the Creative Commons Attribution (CC BY) license.
Share and Cite
Aker, S.N.A.; Zahid, A.; Beheshti, M.; Ozer, H. Exploring the Root Causes of Wide Thermal Cracks in the Southwestern United States. Infrastructures 2026, 11, 19. https://doi.org/10.3390/infrastructures11010019
Aker SNA, Zahid A, Beheshti M, Ozer H. Exploring the Root Causes of Wide Thermal Cracks in the Southwestern United States. Infrastructures. 2026; 11(1):19. https://doi.org/10.3390/infrastructures11010019
Chicago/Turabian StyleAker, Saed N. A., Awais Zahid, Masih Beheshti, and Hasan Ozer. 2026. "Exploring the Root Causes of Wide Thermal Cracks in the Southwestern United States" Infrastructures 11, no. 1: 19. https://doi.org/10.3390/infrastructures11010019
APA StyleAker, S. N. A., Zahid, A., Beheshti, M., & Ozer, H. (2026). Exploring the Root Causes of Wide Thermal Cracks in the Southwestern United States. Infrastructures, 11(1), 19. https://doi.org/10.3390/infrastructures11010019

