Next Article in Journal
Point Transformer Network-Based Surrogate Model for Spatial Prediction in Bridges
Previous Article in Journal
Failure Mode- and Time-Dependent Reliability Model of Tunnel Lining Structure Under Extremely High Ground Stress
 
 
infrastructures-logo
Article Menu

Article Menu

Font Type:
Arial Georgia Verdana
Font Size:
Aa Aa Aa
Line Spacing:
Column Width:
Background:
Article

Development of a Large Database of Italian Bridge Bearings: Preliminary Analysis of Collected Data and Typical Defects

by
Angelo Masi
1,
Giuseppe Santarsiero
1,*,
Marco Savoia
2,
Enrico Cardillo
2,
Beatrice Belletti
3,
Ruggero Macaluso
3,
Maurizio Orlando
4,
Giovanni Menichini
4,
Giacomo Morano
4,
Giuseppe Carlo Marano
5,
Fabrizio Palmisano
5,
Anna Saetta
6,
Luisa Berto
6,
Maria Rosaria Pecce
7,
Antonio Bilotta
7,
Pier Paolo Rossi
8,
Andrea Floridia
8,
Mauro Sassu
9,
Marco Zucca
9,
Eugenio Chioccarelli
10,
Alberto Meda
11,
Daniele Losanno
7,
Marco Di Prisco
12,
Giorgio Serino
7,
Paolo Riva
13,
Nicola Nisticò
14,
Sergio Lagomarsino
15,
Stefania Degli Abbati
15,
Giuseppe Maddaloni
16,
Gennaro Magliulo
7,
Mattia Calò
17,
Fabio Biondini
12,
Francesca da Porto
18,
Daniele Zonta
19 and
Maria Pina Limongelli
20
add Show full author list remove Hide full author list
1
Dipartimento di Ingegneria, Università degli STUDI della Basilicata, 85100 Potenza, Italy
2
Dipartimento di Ingegneria Civile, Chimica, Ambientale e dei Materiali, Università di Bologna, 40136, Bologna, Italy
3
Dipartimento di Ingegneria e Architettura, Università di Parma, 432124 Parma, Italy
4
Dipartimento di Ingegneria Civile e Ambientale, Università di Firenze, 50139 Firenze, Italy
5
Dipartimento di Ingegneria Strutturale, Edile e Geotecnica, Politecnico di Torino, 10129 Torino, Italy
6
Dipartimento di Culture del Progetto, Università Iuav di Venezia, 30135 Venezia, Italy
7
Dipartimento di Strutture per l’Ingegneria e l’architettura, Università di Napoli “Federico II”, 80215 Napoli, Italy
8
Dipartimento di Ingegneria civile e Architettura, Università di Catania, 95125 Catania, Italy
9
Dipartimento di Ingegneria Civile, Ambientale e Architettura, Università di Cagliari, 09124 Cagliari, Italy
10
Dipartimento di Ingegneria Civile, dell’Energia, dell’Ambiente e dei Materiali, Università Mediterranea di Reggio Calabria, 89124 Reggio Calabria, Italy
11
Dipartimento di Ingegneria Civile e Ingegneria Informatica, Università degli Studi di Roma Tor Vergata, 00133 Roma, Italy
12
Dipartimento di Ingegneria Civile e Ambientale, Politecnico di Milano, 20133 Milano, Italy
13
Dipartimento di Ingegneria e Scienze Applicate, Università degli Studi di Bergamo, 24129 Bergamo, Italy
14
Dipartimento di Ingegneria Strutturale e Geotecnica, Università di Roma “La Sapienza”, 00185 Roma, Italy
15
Dipartimento di Ingegneria Civile, Chimica e Ambientale, Università di Genova, 16145 Genova, Italy
16
Dipartimento di Ingegneria, Università degli Studi del Sannio, 82100 Benevento, Italy
17
Scuola Superiore Studi Pavia IUSS, 27100 Pavia, Italy
18
Dipartimento di Geoscienze, Università degli Studi di Padova, 35131 Padova, Italy
19
Dipartimento di Ingegneria Civile Ambientale e Meccanica, Università di Trento, 38123 Trento, Italy
20
Dipartimento di Architettura, Ingegneria delle Costruzioni e Ambiente Costruito, Politecnico di Milano, 20133 Milano, Italy
*
Author to whom correspondence should be addressed.
Infrastructures 2025, 10(3), 69; https://doi.org/10.3390/infrastructures10030069
Submission received: 28 January 2025 / Revised: 25 February 2025 / Accepted: 19 March 2025 / Published: 20 March 2025

Abstract

This paper presents the development and analysis of a bridge bearing database consistent with the 2020 Italian Guidelines (LG2020), currently enforced by the Italian law for risk classification and management of existing bridges. The database was developed by putting together the contribution of 24 research teams from 18 Italian universities in the framework of a research project foreseen by the agreement between the High Council of Public Works (CSLP, part of the Italian Ministry of Transportation) and the research consortium ReLUIS (Network of Italian Earthquake and Structural Engineering University Laboratories). This research project aimed to apply LG2020 to a set of about 600 bridges distributed across the Italian country, in order to find possible issues and propose modifications and integrations. The database includes almost 12,000 bearing defect forms related to a portfolio of 255 existing bridges located across the entire country. This paper reports a preliminary analysis of the dataset to provide an overview of the bearings installed in a significant bridge portfolio, referring to major highways and state roads. After a brief state of the art about the main bearing types installed on the bridges, along with inspection procedures, the paper describes the database structure, showing preliminary analyses related to bearing types and defects. The results show the prevalence of elastomeric pads, representing more than 55% of the inspected bearings. The remaining bearings are pot, low-friction with steel–Teflon surfaces and older-type steel devices. Lastly, the study provides information about typical defects for each type of bearing, while also underscoring some issues related to the current version of the LG2020 bearing inspection form.

1. Introduction

Bridges are critical components of the transportation infrastructure, providing essential connectivity and facilitating the flow of goods and people. The aging of infrastructures has become an increasingly pressing issue for authorities worldwide. As bridges reach or exceed their design life, the importance of routine inspections and maintenance measures becomes paramount [1].
Recent bridge collapses such as the Polcevera one [2] led to the enforcement in Italy of an organic document for bridge management, namely the Italian Guidelines for risk classification and management, safety assessment and monitoring of existing bridges [3,4], hereafter referred to as LG2020, in agreement with the Italian Building Code [4,5]. This document was further updated in July 2022 [6] and foresees a multilevel approach for bridge risk assessment [7], in which, at level 1, inspection forms must be filled in for every structural element in the bridge. The final aim of LG2020 is to set up a homogeneous bridge management system among different road management bodies and provide a reliable decision-making tool [8].
Among the integral parts of a bridge structure, bearing devices (or bearings) play a crucial role in maintaining structural integrity by allowing controlled movements [9] and effectively distributing loads across the bridge. Like other elements (i.e., half-joints [10]), bearing devices are also recognized as failure critical regarding the overall safety of the structures. In fact, they connect the superstructure to the substructure, accommodating forces and displacements caused by temperature changes, traffic loads, and environmental factors [11]. However, bridge bearings are susceptible to deterioration over time due to exposure to harsh environmental conditions, aging, and continuous operational stresses. Such deterioration can lead to significant safety concerns, potentially compromising the overall functionality and safety of the bridge.
In this context, monitoring and assessing the condition of bridge bearings is essential for ensuring long-term safety and durability as well as seismic performance requirements [12]. As an example, in [13], a simplified procedure for preliminary verification of bearings in existing bridges is proposed by only comparing the design loads according to outdated codes and those prescribed by the current code. In this way, a performance index, generally lower than unity, can be obtained.
However, LG2020 give crucial importance to inspection activities. Although bridge inspections are part of common practice, inconsistencies in inspection methodologies and the subjective nature of defect assessments pose challenges to achieving reliable evaluations. Variations in assessment criteria, documentation standards, and levels of expertise among inspection teams can lead to discrepancies in reporting and ultimately hinder effective maintenance and repair strategies. Different strategies in recognizing failure critical elements and damage states can play a key role in guaranteeing infrastructure safety and operational capacity [14]. In some cases, to overcome the subjectivity of the evaluations, automated methods based on artificial intelligence are proposed to reliably perform bearing recognition and damage detection, even though this is heavily influenced by the availability of previous images with correct annotations made by skilled engineers [15].
Currently, LG2020 is undergoing an experimental phase with the support of the ReLUIS Consortium (Network of University Laboratories of Seismic and Structural Engineering—https://www.reluis.it). Although the methodology is based on scientific and technical expertise, it is being applied for the first time in Italy and therefore requires monitoring and potential revisions to enhance its efficiency.
The project, which is still ongoing, involves over 500 researchers from universities and research centers and is organized into the following five Work Packages (WPs):
  • WP1: Scientific and administrative coordination.
  • WP2: Application of LG2020 to a bridge stock.
  • WP3: Analysis, review, and update of LG2020.
  • WP4: Experimental testing of structural and/or special components.
  • WP5: Special topics/projects.
Specifically, four WPs (2 to 5) focus on technical and scientific insights related to (i) the structural safety of infrastructures, (ii) hydraulic and landslide risk aspects, and (iii) technological and digital innovations useful for the effective management of infrastructures.
WP2, on the other hand, is specifically dedicated to the application of LG2020 to approximately 600 structures on the most representative motorway sections (managed by both private concessionaires and ANAS, i.e., the Italian public state road company) and about 50 structures managed by local authorities. This structure, which integrates research, experimentation, and practical applications, allows for a multidisciplinary and comprehensive approach to the challenges associated with the safety and maintenance of infrastructures.
Therefore, exploiting data collected in WP2 (involving 36 research institutions out of which 31 are universities), this study addresses the challenge of improving inspection and condition assessment procedures by proposing the development of a systematic database for the classification and management of bridge bearing conditions. For the purpose of this study, 24 research teams (RTs) from 18 universities provided data useful to build the database.
This paper illustrates preliminary analyses of the dataset in order to provide a picture of the bearings installed in a significant bridge stock related to highways and state roads. In particular, Section 2 reports a brief state of the art about the main bearing types installed in bridges along with inspection procedures, Section 3 describes the database organization, and Section 4 shows preliminary analyses related to bearing types and defects.

2. Review of Bearing Devices and Inspection Procedures

Bearing devices (or bearings) in bridges are essential for achieving the optimal restraint system for the deck as designed, with the following objectives:
  • To transfer the actions from the deck (vertical and horizontal loads) to the substructures (abutments and piers).
  • To allow thermal expansion, other instantaneous or time-dependent deformations of deck, and potential seismic displacements in longitudinal and transverse directions.
  • To enable the designed rotations of beams.
It is important to note that two types of restraints can be used: a horizontally rigid (or fixed) restraint (infinite horizontal stiffness) or a horizontally flexible (or movable) restraint with finite horizontal stiffness. Additionally, bearings must always allow rotation around the transverse axis of the bridge (perpendicular to the axis of the deck, referred to as main rotation) to accommodate normal flexural deformations of the deck. Vertically, the restraint must always be considered rigid and capable of fully transferring loads. Finally, the combination of fixed and movable restraints should be capable of creating at least an isostatic condition with respect to horizontal displacements, allowing appropriate thermal, viscous, and shrinkage deformations.
Figure 1 shows the six main types of bearings in existing bridges, grouped by material and restrain type. The typological analysis of the bearings in the database refers to the general classification of bridge bearings in the literature [9] and considers findings from various site inspections conducted by the authors as part of both the present and previous projects.
  • Cylindrical pin (1): Shows a steel bearing provided with a cylindrical surface that does not allow horizontal movements, while resisting vertical loads and permitting main rotation.
  • Roller bearing (2): It is a cylindrical roller that allows horizontal movement along one axis, with main rotation permitted, while resisting vertical loads.
  • Elastomeric bearing (3): It is a laminated elastomeric (usually neoprene) bearing, which permits both horizontal displacements, main rotation, and provides high vertical stiffness. In some cases, especially the first applications dating back to the 1950s, these pads could not be provided with steel sheets (plain elastomeric pads). These bearings are less widespread due to their reduced durability.
  • Pot bearing (5): It is made by an elastomeric pad confined within a steel pot, allowing rotation around multiple axes with no horizontal movement.
  • Steel–Teflon spherical bearing (4): A bearing where two spherical low-friction surfaces made of stainless steel and Teflon, respectively, allow rotation in multiple directions, restraining horizontal displacements while supporting vertical loads.
  • Pot with planar steel–Teflon surfaces (6): Shows a pot bearing allowing for rotational movement and horizontal steel–Teflon surfaces that allow displacements in one or every horizontal direction. Although there is a pot, it is classified as steel–Teflon since the latter affects the main restrain capability.
Figure 1. General classification of bridge bearings [9].
Figure 1. General classification of bridge bearings [9].
Infrastructures 10 00069 g001
Even though the types of bearings are much more, these could be referred to as the most widespread across the Italian bridge stock, also based on the collected data, which will be shown later.
Figure 2 shows some samples of bearings photographed during the inspections on the bridge subjects of this project. Figure 2a is related to a laminated elastomeric bearing with light degradation signs on a vertical surface; Figure 2b represents a pot bearing with no visible degradation; and Figure 2c shows a heavily corroded steel roller installed in a half-joint belonging to a Gerber bridge. Lastly, Figure 2d depicts a recently installed bearing with planar multidirectional steel–Teflon surfaces.
Figure 3 shows the level 1 inspection form to be filled in the framework of the LG2020 approach. As can be seen, the form header contains fields to record information such as the bridge identification number, road name, kilometer marker, inspector’s name, and inspection date. Furthermore, the form includes the following fields:
  • N°: Identification code for each type of defect.
  • Defect Description: Lists potential defects that may be observed in the bearings, including “Deformed base plate”, “Oxidation”, “Locking”, “Crushing/Lead plate extrusion”, etc.
  • Seen: A checkbox column to mark whether the defect has been searched.
  • G: A numerical indicator to assess the severity of the defect (values range from 2 to 4 even though, for other types of elements, it ranges from 1 to 5).
  • Extent K1 and Intensity K2: Fields with checkboxes to rate the extent and intensity of the defect on a scale from 0.2 to 1.
  • N° photos: Number of the photos taken to document the defect.
  • PS, NA, NR, NP: Columns for other specific indicators (PS, statical impair; NA, not applicable; NR, non-inspectable; NP, defect absent).
  • Notes: Space for additional comments.
Figure 3. LG2020 level 1 inspection form (translation from original in Italian).
Figure 3. LG2020 level 1 inspection form (translation from original in Italian).
Infrastructures 10 00069 g003
More specifically, as for the sections devoted to describing the bearing defects, is the following can be reported:
  • General bearing defects: Covers issues common to several types of bearings, like deformed base plates, oxidation, and debris presence.
  • Elastomeric (neoprene) bearing defects: These pertain to neoprene-specific issues, such as aging or crushing/bulging.
  • Pendulum and metallic roller defects: Includes defects like the ovalization of metallic rollers or degradation of reinforced concrete pendulums.
  • Generic bearing defects: Includes deterioration of components such as Teflon.
This form allows for systematic classification and evaluation of various defect types observed in bridge bearings, facilitating data collection for the assessment of the structural conditions.
However, it must be noted that the form does not include a specific field devoted to identifying the typology or to report a textual description of the bearing at hand and a section dedicated to steel–Teflon bearings. This means that only if a defect related to a precise bearing type is reported, the inspected bearing can be attributed to a bearing typology. On the contrary, if only a general defect is reported (e.g., App_5, presence of debris), no type can be attributed to the device. This can impair the continuity of information between consecutive inspections.
It has to be noted that the level 1 form is accompanied by an abacus of defects in which each defect is described through pictures and a textual explanation is provided also highlighting the possible causes and correlated phenomena.

3. Database Organization

Within the research project, a database was prepared regarding the bearings installed on the bridges studied in WP2. Information on the bearings was collected through a specially designed Excel form, distributed to all the involved research teams (RTs), with the data structure shown in Figure 4.
General information about the structure to which the bearing belongs (General Data) and its location were collected, using the data contained in level 0 forms. In addition, information regarding the design data and standards of the structure and bearings, details on bearing geometry and type in terms of primary material, restraining actions, functional principle, as well as a textual description of the device, are included. Finally, the form required listing any defects found (referencing level 1 “Bearings” forms). Up to six concurrent defects on a single bearing could be recorded, along with their extension and intensity values, according to the inspection form. Subsequent analysis showed that the maximum number of defects reported as simultaneously present on a single bearing did not exceed five.
Figure 4 illustrates a data source overlap in terms of typological data, which may be collected from either available project documents or level 1 forms. If the latter case arises, knowledge of the bearing type does not explicitly derive from a form field but rather from the defect type, which may, in some cases, be specific to a single type of bearing and not applicable to multiple types. For instance, the defect “App_7—Neoprene aging” indirectly indicates that the bearing is made of neoprene. As mentioned before, the absence of a dedicated textual description field for bearing type limits the analysis of degradation and possible proactive actions to mitigate its effects.

4. Database Analysis

The current version of the database contains approximately 12,000 bearings installed on 255 bridges and viaducts (geolocated in Figure 5), with data collected from the 24 RTs involved in WP2. The studied structures are fairly well distributed across the Italian country, though some regions currently have limited data. Figure 5a shows the geolocation of the bridges which the bearings belong to while Figure 5b reports a colormap related to the number of bearing forms collected in each of the 20 Italian regions. As shown, only five regions are not covered in the database (represented in gray). The regions from which the highest number of bearing forms were collected are Tuscany and Emilia-Romagna in central–northern Italy.
Regarding the construction periods, Figure 6 shows the distribution across the periods from pre-1961 to post-2000. Most bridges were constructed in the period 1971–80 (79 structures) while 1961–70, and from 1991 onwards, present almost the same number of bridges, around 40. The least covered periods are <1961 and 1981–90. There is also a share of bridges lacking this information (19 structures identified as N.D.). This means that for some bridges, due to the poor availability of design documents, even a basic piece of information like the construction period is missing. This aspect can impair the bridge knowledge necessary for detailed assessment activities and intervention planning necessary for effective bridge management. However, it is assumed that the age of the bearings is the same as that of the bridge they belong to, since some of the bridges may have undergone bearing replacement interventions, which are beyond our current knowledge.

4.1. Bearing Types

With respect to the classification of Section 2, some bridges may have seismic isolation or supplemental damping devices, which are largely absent from this database and are therefore not included in the subsequent classification.
Figure 7 shows the percentage presence of each type of bearings within the available database. Out of the 11,984 bearings, 55.0% are elastomeric pads (plain or reinforced), 15.35% feature steel–Teflon surfaces, 16.56% are pot bearings (confined elastomeric disks), and 8.98% are entirely steel. In a few cases, seismic isolators or other types of bearing are installed (e.g., reinforced concrete pendulums). These latter are classified as “other” and represent 1.13% of the total. Moreover, 2.89% are bearings for which the typology is not identified (N.D. in Figure 7).
The frequent use of elastomeric bearings likely results from their ease of installation [11], which in most cases, did not require mechanical anchors for the connection to the substructure and superstructure, relying solely on friction. This also allowed the possibility to easily install the deck structure, permitting higher flexibility during the lunching operations.
As shown in Figure 8, the ease of installation of elastomeric pads made them the preferred ones for bridges built before 1980, although they were used also after that period. The use of pot bearings started in the 1970s but had a wider diffusion after 1980. It is well-known that steel bearings were the first used in bridge applications, and based on this database analysis, were mostly used before 1980, even though they are also present in bridges built after 1990. However, they have a significant share with the unknown construction period that could be likely attributed to earlier periods (e.g., <1970). Steel–Teflon bearings, although present before 1970, were widely used after 1980.
Based on these data and the consolidated knowledge about bridge bearings [9], Figure 9 shows the possible periods when each bearing type was widely used in bridges. Starting from the post-World War II era (1950s), steel bearings were gradually replaced by elastomeric devices, initially plain and later laminated. After the introduction of elastomeric devices using neoprene for greater durability, steel–Teflon and pot bearings were introduced. Figure 9 also reports on the use of isolation and dissipation devices which are negligible in this database and not covered in previous Figure 7 and Figure 8.
This latter points out that a relevant part of the research regarding the effects of bearing aging of the overall bridge static and seismic response should be devoted to structures featuring elastomeric bearings [16], which are the most widespread, at least in highway and state road bridges belonging to the studied dataset. In fact, current research has been focused on evaluating the vertical stiffness [17], considering new elastomer compounds able to reduce aging effects [18,19,20], but only a few researchers faced the problem of performance evaluation of aged elastomeric bearings in terms of device and as part of an existing bridge structure [11].

4.2. Defect Distribution and Analysis

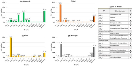
For each bearing type in the database, distributions of various identified defects were determined based on the level 1 “Bearings” form (Figure 3). The reported percentages are related to the number of each bearing type in the database. For some bearings, the defect did not match any category on the form, so the “other” option was used by the inspector and specified in the notes. As mentioned before, the level 1 form does not feature a dedicated field for textual bearing type descriptions, so this information sometimes must be inferred from the defect type, which is not always possible. The defect distribution for each type of bearing is shown in Figure 10.
For elastomeric bearings (Figure 10a), the most frequent defect is App_7 (neoprene aging, related to surface microcracking or delamination), followed by App_5 (presence of debris), then App_2 (oxidation), and App_9 and App_8 (neoprene crushing/extrusion and excessive horizontal deformation) are present. Inspectors occasionally report defects not covered in the bearings form, such as damaged/degraded bearing supports (Figure 11). Although this defect is not directly related to the bearing device, it can affect its correct operation and, therefore, should be considered among the defects of bearings, highlighting those that need restoration interventions. A similar issue can be detected for the members supporting or directly related to bearing devices in Gerber bridges (also referred to as cantilever bridges) (e.g., [21]) as, for example, the half-joints.
In several cases, it was observed that assigning the App_7 defect (neoprene aging) does not always correspond visually to the photograph analysis, suggesting the need for a more precise defect definition in the abacus of defects. In fact, aging of a neoprene bearing is usually accompanied by microcracks or delamination visible on its lateral surfaces. Although neoprene is a synthetic rubber compound with excellent resistance to chemicals and weathering, its resistance can be impaired by cyclic loading and thermal aging, which could also cause, in the worst case, delamination. The latter, in turn, can determine even a loss in the vertical load bearing capacity with severe consequences on structural safety. Therefore, a careful aging assessment is needed, based on a hands-on inspection and good quality images, making further evaluations possible after the inspection.
For pot bearings (Figure 10b), App_2 (oxidation) is by far the most prevalent, observed in over 72% of cases, with App_4 (improper pre-setting) occurring around 9.3%, while other defects are either absent or negligible. For steel bearings (Figure 10c), some considerations made for elastomeric bearings apply. In fact, almost 80% feature oxidation, and about 6% are affected by App_5 (presence of debris), which, among minor defects, appears most frequently. The presence of App_7 is clearly attributable to form entry errors since steel bearings do not have neoprene parts.
Finally, for bearings with steel–Teflon surfaces [22] shown in Figure 10d, the most common defect is App_2 (Oxidation), affecting more than 53% of devices, with a significant presence of App_14 (Teflon degradation) with 10.7%, App_5 (presence of debris) with 5.4%, and App_4 (improper pre-setting) with 3.4%. Additionally, for these bearing types, the notes often report defects like “Loose bolts”, with known issues of anchoring pins potentially breaking or shearing and sliding surfaces possibly scoring or deforming. A minor defect related to these is the breaking of dust covers. These considerations point out the need for a form section specifically dedicated to steel–Teflon bearings.

5. Conclusions

The developed database on bridge bearings, encompassing around 12,000 bearings installed on 255 geolocated bridges across Italy, provides valuable insights into their typology, reported defects, and their respective distribution. This database, contributed by 24 research teams, highlights the regional variations in data availability and emphasizes the dominant use of elastomeric bearings in Italian bridges, particularly those constructed before 1980. The geolocation and temporal distribution of bridges in the database highlights that most bridges date back to 1971–1980, with fewer constructed during earlier (<1961) or subsequent (1981–1990) periods. Notably, 19 structures lack construction dates due to missing design documents, which could hinder detailed assessments.
The database categorizes bearings into elastomeric pads (55.0%), pot bearings (16.56%), steel–Teflon bearings (15.35%), and steel bearings (8.98%). Elastomeric pads, characterized by their ease of installation, dominate older bridges. In contrast, pot and steel–Teflon bearings gained prominence after 1980. Steel bearings, initially prevalent, were largely replaced by elastomeric bearings due to advancements like neoprene compounds that enhanced durability. The chronological analysis highlights the evolution of bearing types, indicating a shift towards more durable and efficient designs.
Defect distributions reveal varying vulnerabilities among bearing types. Elastomeric bearings show frequent aging (App_7), debris accumulation (App_5), and oxidation (App_2). Pot bearings are relatively resilient, with 23% free from defects, although oxidation (App_2) is prevalent in 72% of cases. Steel bearings suffer from similar defects, notably oxidation (80%), reflecting their exposure to environmental agents. Steel–Teflon bearings exhibit issues like Teflon degradation (App_14), though 40% remain defect-free, attributed to their concealed design offering better protection.
Older bearings, particularly elastomeric and steel types, exhibit higher defect rates due to prolonged exposure to environmental agents. Conversely, pot and steel–Teflon bearings, with better-protected components, show lower defect rates. Misclassifications in defect reporting, such as neoprene aging assigned to steel bearings, highlight the need for clearer inspection protocols. Furthermore, dedicated form fields for steel–Teflon bearings are necessary to capture specific defects like loose bolts or sliding surface deformations.
The analysis also highlights the need for targeted research on elastomeric bearings, which are the most widespread yet exhibit significant aging-related performance issues. The need for improved inspection guidelines and maintenance practices seems to be arising from the analysis in order to enhance the long-term functionality and safety of bridges in Italy. Furthermore, the results related to bearing types and defects may be used to address the prioritization of activities related to both detailed assessment and interventions. Lastly, comparisons with other international datasets could provide insightful suggestions about the exploitation of data collected and analyzed through this study.
It must also be noted that the presented bearing typology and defectiveness analyses lack information about the bridge typologies in which the bearings are installed. In fact, data on bridge materials and span lengths would enable a better characterization of degradation as a function of vertical and horizontal loads, as well as thermal expansion effects that bearings must withstand. A possible future development of this work could involve retrieving such information to facilitate a more comprehensive degradation analysis, ultimately leading to more insightful recommendations for bearing management and maintenance.

Author Contributions

Conceptualization, A.M. (Angelo Masi) and G.S. (Giuseppe Santarsiero); methodology, A.M. (Angelo Masi), G.S. (Giuseppe Santarsiero), M.R.P.; software, A.M. (Angelo Masi) and G.S. (Giuseppe Santarsiero); validation, A.M. (Angelo Masi) and G.S. (Giuseppe Santarsiero); formal analysis, A.M. (Angelo Masi) and G.S. (Giuseppe Santarsiero); investigation, A.M. (Angelo Masi) and G.S. (Giuseppe Santarsiero); resources, A.M. (Angelo Masi) and G.S. (Giuseppe Santarsiero); data curation, A.M. (Angelo Masi), G.S. (Giuseppe Santarsiero), M.S., E.C. (Enrico Cardillo), B.B., R.M., M.O., G.M. (Giovanni Menichini), G.M. (Giuseppe Maddaloni), G.C.M., F.P., A.S., L.B., M.R.P., A.B., P.P.R., A.F., M.S., M.Z., E.C. (Eugenio Chioccarelli), A.M. (Alberto Meda), D.L., M.D.P., G.S., P.R., N.N., S.L., S.D.A., G.M., G.M. (Gennaro Magliulo), M.C., F.B., F.d.P., D.Z., M.P.L.; writing—original draft preparation, A.M. (Angelo Masi), G.S. (Giuseppe Santarsiero); writing—review and editing, A.M. (Angelo Masi), G.S. (Giuseppe Santarsiero), M.C., A.F., D.L., P.P.R., M.O., E.C. (Eugenio Chioccarelli); visualization, A.M. (Angelo Masi) and G.S. (Giuseppe Santarsiero); supervision, A.M. (Angelo Masi) and G.S. (Giuseppe Santarsiero); project administration, A.M. (Angelo Masi) and G.S. (Giuseppe Santarsiero); funding acquisition, A.M. (Angelo Masi) and G.S. (Giuseppe Santarsiero). All authors have read and agreed to the published version of the manuscript.

Funding

This research was funded by the High Council of Public Works (CSLLPP) and was carried out as part of the activities envisaged by the agreement between CSLLPP and the ReLUIS Consortium implementing Ministerial Decree 578/2020 and Ministerial Decree 204/2022. The contents of this paper represent the authors’ ideas and do not necessarily correspond to the official opinion and policies of CSLLPP.

Institutional Review Board Statement

Not applicable.

Informed Consent Statement

Not applicable.

Data Availability Statement

Data will be made available on request.

Acknowledgments

The authors express their gratitude to Salvatore Giacomo Morano, Mattia Anghileri, Danilo D’Angela, Chiara Di Salvatore, Leila Jafari, Ricardo Monteiro, Antonio Musano, Giuseppe Nava, Luca Rossi, Nino Spinella, Mariacristina Spizzuoco, and Federico Tuozzo for kindly providing the data used in the analyses, which greatly contributed to the outcomes of this study.

Conflicts of Interest

The authors declare no conflict of interest.

References

  1. Ellis, R.M. Bridge management—Past, present, and future. In Bridge Maintenance, Safety, Management, Digitalization and Sustainability; Jensen, J.S., Frangopol, D.M., Schmidt, J.W., Eds.; CRC Press: Boca Raton, FL, USA, 2024; ISBN 978-1-032-77040-6. [Google Scholar]
  2. Bazzucchi, F.; Restuccia, L.; Ferro, G.A. Considerations over the Italian road bridge infrastructure safety after the Polcevera viaduct collapse: Past errors and future perspectives. Frat. Integrità Strutt. 2018, 46, 400–421. [Google Scholar] [CrossRef]
  3. MIT—Ministry of Infrastructure. Decree no. 578 del 17/12/2020. Enforcement of the Guidelines on risk classification and management, safety assessment and monitoring of existing bridges (in Italian: Adozione delle linee guida per la gestione del rischio dei ponti esistenti e per la definizione di requisiti ed indicazioni relativi al sistema di monitoraggio dinamico).
  4. Cosenza, E.; Losanno, D. Assessment of existing reinforced-concrete bridges under road-traffic loads according to the new Italian guidelines. Struct. Concr. 2021, 22, 2868–2881. [Google Scholar]
  5. MIT—Italian Ministry of Infrastructure. NTC2018—Ministry of Infrastructure Decree, DM 17 gennaio 2018: Aggiornamento delle Norme tecniche per le costruzioni, Suppl. or. n.30 alla G.U. n.29 del 4/2/2008 (in Italian), 2018.
  6. MIT—Italian Ministry of Infrastructure. Circolare 21 Gennaio 2019, n. 7 C.S.LL.PP. Istruzioni per L’applicazione dell’«Aggiornamento Delle “Norme Tecniche per le Costruzioni”» di cui al Decreto Ministeriale 17 Gennaio 2018 (Commentary to NTC2018).
  7. MIT—Ministry of Infrastructure. Decree, no. 204 del 1 luglio 2022 Linee Guida per la classificazione e gestione del rischio, la valutazione della sicurezza ed il monitoraggio dei ponti esistenti.
  8. Santarsiero, G.; Masi, A.; Picciano, V.; Digrisolo, A. The Italian Guidelines on Risk Classification and Management of Bridges: Applications and Remarks on Large Scale Risk Assessments. Infrastructures 2021, 6, 111. [Google Scholar] [CrossRef]
  9. Brighenti, F.; Caspani, V.F.; Costa, G.; Giordano, P.F.; Limongelli, M.P.; Zonta, D. Bridge management systems: A review on current practice in a digitizing world. Eng. Struct. 2024, 321, 118971. [Google Scholar] [CrossRef]
  10. Marioni, A. Apparecchi di Appoggio per Ponti e Strutture; ITEC Editrice: Nijmegen, The Netherlands, 1983. [Google Scholar]
  11. Santarsiero, G.; Picciano, V. Post-tension retrofitting of RC dapped-end beams: A numerical investigation. Struct. Concr. 2024, 25, 3246–3264. [Google Scholar] [CrossRef]
  12. Lee, D.J. Bridge Bearings and Expansion Joints, 2nd ed.; G. Maunsell & Kent: Beckenham, UK, 1994. [Google Scholar]
  13. Ozsarac, V.; Furinghetti, M.; Monteiro, R. Seismic risk assessment of ageing existing reinforced concrete bridges accounting for uncertainty in bearing properties. Eng. Struct. 2023, 293, 116730. [Google Scholar] [CrossRef]
  14. Santarsiero, G.; Albanese, P.; Picciano, V.; Ventura, G.; Masi, A. Level 3 Assessment of Highway Girder Deck Bridges according to the Italian Guidelines: Influence of Transverse Load Distribution. Buildings 2023, 13, 1836. [Google Scholar] [CrossRef]
  15. Rossi, P.P.; Spinella, N.; Recupero, A. Experimental application of the Italian guidelines for the risk classification and management and for the safety evaluation of existing bridges. Structures 2023, 58, 105387. [Google Scholar] [CrossRef]
  16. Liang, D.; Zhang, S.; Huang, H.; Zhang, L.; Hu, Y. Deep learning-based detection and condition classification of bridge elastomeric bearings. Autom. Constr. 2024, 166, 105680. [Google Scholar] [CrossRef]
  17. Dragan, N.; Goanta, A.M.; Potirniche, M.A.; Capatana, G.F.; Anghelache, G.D.M. Modal Analysis of Reinforced Concrete Bridges with Multiple Neoprene Bearings. In Acoustics and Vibration of Mechanical Structures—AVMS-2023; AVMS 2023; Springer Proceedings in Physics; Herisanu, N., Marinca, V., Eds.; Springer: Cham, Switzerland, 2024; Volume 302. [Google Scholar]
  18. Kazeminezhad, E.; Kazemi, M.T.; Mirhosseini, S. Assessment of the vertical stiffness of elastomeric bearing due to displacement and rotation. Int. J. Non-Linear Mech. 2020, 119, 103306. [Google Scholar] [CrossRef]
  19. Kurino, S.; Wei, W.; Igarashi, A. Seismic fragility and uncertainty mitigation of cable restrainer retrofit for isolated highway bridges incorporated with deteriorated elastomeric bearings. Eng. Struct. 2021, 237, 112190. [Google Scholar] [CrossRef]
  20. Maghsoudi-Barmi, A.; Khansefid, A.; Khaloo, A.; Ehteshami Moeini, M. Probabilistic seismic performance assessment of optimally designed highway bridge isolated by ordinary unbonded elastomeric bearings. Eng. Struct. 2021, 247, 113058. [Google Scholar] [CrossRef]
  21. Santarsiero, G.; Picciano, V.; Masi, A. Structural rehabilitation of half-joints in RC bridges: A state-of-the-art review. Struct. Infrastruct. Eng. 2023, 21, 227–250. [Google Scholar] [CrossRef]
  22. Dorafshan, S.; Johnson, K.R.; Maguire, M.; Halling, M.W.; Barr, P.J.; Culmo, M. Friction Coefficients for Slide-In Bridge Construction Using PTFE and Steel Sliding Bearings. J. Bridge Eng. 2019, 24, 04019045. [Google Scholar] [CrossRef]
Figure 2. (a) Elastomeric, (b) pot, (c) steel, and (d) steel–Teflon bearings in inspected bridges.
Figure 2. (a) Elastomeric, (b) pot, (c) steel, and (d) steel–Teflon bearings in inspected bridges.
Infrastructures 10 00069 g002
Figure 4. Bearing database structure and sources.
Figure 4. Bearing database structure and sources.
Infrastructures 10 00069 g004
Figure 5. (a) Geolocation of studied bridges, (b) amount of collected bearing forms by Italian regions.
Figure 5. (a) Geolocation of studied bridges, (b) amount of collected bearing forms by Italian regions.
Infrastructures 10 00069 g005
Figure 6. Distribution of bridges by construction period.
Figure 6. Distribution of bridges by construction period.
Infrastructures 10 00069 g006
Figure 7. Typological distribution of bearings in database.
Figure 7. Typological distribution of bearings in database.
Infrastructures 10 00069 g007
Figure 8. Percentages of bearing types by bridge construction period.
Figure 8. Percentages of bearing types by bridge construction period.
Infrastructures 10 00069 g008
Figure 9. Chronological order of bearing types adopted in bridges.
Figure 9. Chronological order of bearing types adopted in bridges.
Infrastructures 10 00069 g009
Figure 10. Defect incidence by bearing type.
Figure 10. Defect incidence by bearing type.
Infrastructures 10 00069 g010
Figure 11. Example of damaged/degraded (spalling and reinforcement corrosion) reinforced concrete support (from Authors’ inspection).
Figure 11. Example of damaged/degraded (spalling and reinforcement corrosion) reinforced concrete support (from Authors’ inspection).
Infrastructures 10 00069 g011
Disclaimer/Publisher’s Note: The statements, opinions and data contained in all publications are solely those of the individual author(s) and contributor(s) and not of MDPI and/or the editor(s). MDPI and/or the editor(s) disclaim responsibility for any injury to people or property resulting from any ideas, methods, instructions or products referred to in the content.

Share and Cite

MDPI and ACS Style

Masi, A.; Santarsiero, G.; Savoia, M.; Cardillo, E.; Belletti, B.; Macaluso, R.; Orlando, M.; Menichini, G.; Morano, G.; Marano, G.C.; et al. Development of a Large Database of Italian Bridge Bearings: Preliminary Analysis of Collected Data and Typical Defects. Infrastructures 2025, 10, 69. https://doi.org/10.3390/infrastructures10030069

AMA Style

Masi A, Santarsiero G, Savoia M, Cardillo E, Belletti B, Macaluso R, Orlando M, Menichini G, Morano G, Marano GC, et al. Development of a Large Database of Italian Bridge Bearings: Preliminary Analysis of Collected Data and Typical Defects. Infrastructures. 2025; 10(3):69. https://doi.org/10.3390/infrastructures10030069

Chicago/Turabian Style

Masi, Angelo, Giuseppe Santarsiero, Marco Savoia, Enrico Cardillo, Beatrice Belletti, Ruggero Macaluso, Maurizio Orlando, Giovanni Menichini, Giacomo Morano, Giuseppe Carlo Marano, and et al. 2025. "Development of a Large Database of Italian Bridge Bearings: Preliminary Analysis of Collected Data and Typical Defects" Infrastructures 10, no. 3: 69. https://doi.org/10.3390/infrastructures10030069

APA Style

Masi, A., Santarsiero, G., Savoia, M., Cardillo, E., Belletti, B., Macaluso, R., Orlando, M., Menichini, G., Morano, G., Marano, G. C., Palmisano, F., Saetta, A., Berto, L., Pecce, M. R., Bilotta, A., Rossi, P. P., Floridia, A., Sassu, M., Zucca, M., ... Limongelli, M. P. (2025). Development of a Large Database of Italian Bridge Bearings: Preliminary Analysis of Collected Data and Typical Defects. Infrastructures, 10(3), 69. https://doi.org/10.3390/infrastructures10030069

Article Metrics

Back to TopTop