Next Article in Journal
Digital Integration in Construction: A Case Study on Common Data Environment Implementation for a Metro Line Project
Previous Article in Journal
Bridge Risk Index for Freight Corridor Resilience: A Non-Parametric Machine Learning and Threat Modeling Approach
 
 
Font Type:
Arial Georgia Verdana
Font Size:
Aa Aa Aa
Line Spacing:
Column Width:
Background:
Article

A Comprehensive Decision Support Tool for Accelerated Bridge Construction

Department of Civil and Environmental Engineering, Florida International University, 10555 W. Flagler St., Miami, FL 33174, USA
*
Author to whom correspondence should be addressed.
Infrastructures 2025, 10(10), 265; https://doi.org/10.3390/infrastructures10100265
Submission received: 10 August 2025 / Revised: 27 September 2025 / Accepted: 3 October 2025 / Published: 8 October 2025

Abstract

Over 35% of bridges in the United States are currently rated in fair or poor condition, highlighting ongoing challenges in maintaining safety and performance amid aging infrastructure, limited budgets, and extended repair timelines. While Accelerated Bridge Construction (ABC) offers a faster solution, its adoption requires comprehensive decision frameworks. This paper presents a multi-criteria decision support tool (DST) that builds on the Connecticut Department of Transportation (CTDOT) ABC decision matrix. This DST quantifies the benefits of ABC for road and work zone safety, social equity, and environmental justice (SEEJ) and integrates them with structural, traffic, and construction factors to provide a comprehensive approach for determining the suitability of ABC techniques in bridge construction projects. Crash costs and corresponding safety benefits are quantified based on crash severity and frequency. While the tool incorporates both safety and SEEJ criteria, it also allows decision makers to consider either criterion individually based on their preferences. To demonstrate the applicability and benefits of the tool, it was applied to case studies in Connecticut. The results demonstrated how the considerations of safety and SEEJ can affect ABC decision-making. The presented DST is simple (Excel-based) and offers a practical and flexible tool that utilizes readily available data from national databases, making it applicable to all state DOTs across the United States.

1. Introduction

According to the 2025 National Bridge Inventory (NBI) by the United States Federal Highway Administration (FHWA), 6.7% of U.S. bridges are classified as poor or structurally deficient, while over 35% are rated in fair or poor conditions [1]. While many bridges rated in fair or poor conditions continue to operate safely under current maintenance protocols, such conditions may still indicate heightened vulnerability to service disruptions or long-term performance degradation, particularly in the face of aging infrastructure and increased usage demands [2]. Traditional bridge construction methods result in prolonged disruptions to traffic flow and local communities, compounded by limited budgets and prolonged repair timelines [3]. According to FHWA, Accelerated Bridge Construction (ABC) provides a more efficient and faster alternative to traditional bridge construction methods [3,4,5]. ABC includes a wide range of techniques, including but not limited to technical innovations, rapid structural replacement techniques, and the use of prefabricated bridge components [6]. ABC methods help mitigate work zone risks by reducing construction time and minimizing exposure to unsafe conditions, ultimately improving roadway safety for crews and surrounding communities [3,4,5,6]. This is particularly critical as work zone safety concerns have escalated recently. According to the National Highway Traffic Safety Administration (NHTSA), work zone fatalities increased by 61% from 2013 to 2021 [7]. Additionally, the Associated General Contractors of America reported in their 2023 annual work zone survey that highway contractors noted a 57% increase in work zone crashes compared to 2022 [8]. Moreover, reducing traffic disruptions is especially important in densely populated and underserved communities, where ensuring access to critical services like hospitals, schools, and jobs during and after bridge construction is essential [9,10]. Despite the multi-dimensional nature of the infrastructure planning, influenced by various technical, economic, social, and environmental factors, bridge construction in the U.S. has been focused mainly on technical and economic considerations, such as structural conditions and traffic flow [9], overlooking broader impacts on Social Equity (SE) and Environmental Justice (EJ).
Multi-Criteria Decision-Making (MCDM) has been a well-established and widely used approach for systematically evaluating alternatives in transportation infrastructure decision-making [9,10,11]. For example, Das and Nakano (2023) [11] designed an MCDM model for bridge maintenance prioritization that considered not only physical bridge conditions but also sociotechnical factors such as delay costs, truck traffic, accessibility, and the role of bridges in surrounding neighborhoods. Their model employed MCDM to balance safety with the broader role of bridges in the transport network. Nieto et al. (2019) [12] used the Analytic Hierarchy Process (AHP) to combine NBI ratings, Average Daily Traffic (ADT), and expert judgment for maintenance prioritization under tight budgets. They suggested that MCDA provides a transparent framework to balance competing goals, incorporate diverse data, and support prioritization decisions under real-world constraints. In the past decade, researchers have also applied machine learning (ML) techniques to bridge management, mainly to rate component condition and detect damage for timely repairs [13]. For instance, Jaafaru and Agbelie (2022) [14] proposed a data-driven approach that links ML, MCDM, and optimization, using condition, safety, serviceability, traffic, and cost data, to predict deterioration and allocate budgets efficiently. In another study, Ghafoori et al. (2024) [15] developed an ML-based optimization model that forecasts deterioration of concrete bridge elements and recommends the best timing and type of maintenance within budget limits. Their features include NBI data, bridge characteristics (age, type, location), ADT, inspection ratings, and element-level health indices to support prioritization. Beyond project-level studies, State Bridge Programs and Long-Range Transportation Plans are the primary statewide tools for prioritizing bridge projects in the U.S. [16,17,18]. For instance, DOTs in Massachusetts, Kentucky, and Arizona evaluate projects using factors such as structural condition, deterioration, and risk to the transportation network (e.g., detour length and load-carrying restrictions). These criteria are then combined into a weighted formula to rank projects, typically relying on pairwise comparisons or expert judgment [16,17].
Social Equity (SE) refers to the fair distribution of resources, opportunities, and services across all socioeconomic groups [9,19]. Environmental Justice (EJ) ensures that infrastructure projects do not disproportionately harm vulnerable populations, such as workers, minorities, and low-income communities [9,20]. This includes mitigating negative impacts such as noise, pollution, and restricted access. According to the U.S. Bureau of Labor Statistics (BLS), the number of work-related fatalities caused by exposure to extreme temperatures increased by 18.6%, rising from 43 deaths in 2021 to 51 in 2022 [21]. This trend is showing that more workers are being affected by extreme temperature conditions, where implementing ABC can reduce the time they spend in hazardous conditions (e.g., extreme weather) and enhance EJ.
While ABC offers numerous benefits to projects and surrounding communities, ABC’s costs may be higher than traditional bridge construction methods [3,4,5]. Therefore, effective decision support frameworks are essential for identifying bridges that require immediate attention based on their condition and safety risks, in which the ABC can benefit most. States DOTs employ various qualitative and quantitative ABC decision support tools (DSTs), such as flowcharts, matrices, and questionnaires, that range from simple to rigorous methods. Existing ABC DSTs generally are categorized into two groups: flowchart/matrix and AHP-based approaches. The very first established method for ABC DST is the one developed by the FHWA in 2006 regarding the prefabricated bridge elements and systems to guide the planning of successful ABC projects. The FHWA approach uses a combination of a flowchart and a matrix, integrating qualitative decision criteria and relying on the judgment of users. Criteria covered in the FHWA tool include project time reduction, traffic disruption minimization, weather limitations for cast-in-place construction, presence of natural or endangered species, historic preservation, and safety concerns at construction sites (e.g., risks associated with working near power lines or over water) [4]. Over time, some state DOTs have customized the FHWA manual to fit their state needs and practices, developing their methodologies for evaluating ABC projects. Like the FHWA manual, their methods mainly assess projects qualitatively, including the direct and indirect costs, schedule and site constraints, and customer service impacts. In addition to these methods, the Oregon State University developed an AHP-based ABC decision support software in 2012 based on several comparison matrices [22], which might be used and applied by some states only for more complex and large-scale projects [23,24,25,26]. The AHP approach is multi-phase and complex, which makes it difficult to adopt widely across state DOTs. States such as California, Utah, Washington, Iowa, Wisconsin, Minnesota, and South Dakota use AHP for complex or large projects. The Connecticut DOT (CTDOT) ABC decision matrix is another example of an ABC DST. It is an Excel-based tool that is built on the Utah method (flowchart and matrix), utilizing the Simple Average Weighting (SAW) method to analyze and evaluate ten decision criteria for ABC suitability. The CTDOT tool incorporates project costs and offsets them with potential cost reductions from ABC benefits. It assigns an ABC Rating score ranging from 0 to 100 to guide decisions. The ABC Rating score above 60 recommends ABC, below 50 recommends conventional methods, and between 50 and 60 requires further evaluation [27]. The CTDOT decision matrix is relatively simple and straightforward; however, it relies on predetermined weight factors, which limits its ability to account for unique priorities and conditions of individual projects. The preferences of decision makers may change over time, requiring a flexible method for adjusting the weights of criteria in the ABC DST. Per the authors’ communications with CTDOT, work zone safety, SE, and EJ are considered throughout the development of all CTDOT projects, but the CTDOT decision matrix does not consider these aspects explicitly. A comprehensive review of the existing ABC decision support tools has been conducted by the authors and is publicly available at https://trid.trb.org/View/2534038 (accessed on 5 October 2025). Additionally, further details on ABC decision support methods and state implementations are provided in the Supplementary Materials (Table S1). Beyond FHWA and state-level tools, the American Association of State Highway and Transportation Officials (AASHTO) published the Load and Resistance Factor Design (LRFD) Guide Specifications for ABC in 2018 [17,18]. This specification provides foundational guidance for planning ABC projects, supplementing the standard AASHTO LRFD rules. ABC should be prioritized when minimizing on-site construction time is critical, such as in urban or high-traffic areas where lane closures would cause major disruptions. It is also well suited for sites with limited access, such as over railroads, waterways, or in environmentally sensitive zones. In these situations, ABC improves safety by reducing crash risk and worker exposure to hazards while the design still follows AASHTO’s structural requirements [18].
Overall, a review of existing ABC decision-making methods identifies a significant challenge, as they heavily and often only rely on qualitative assessments and fixed weights. This dependence on subjective user judgment often results in inconsistencies. Moreover, these tools often lack mechanisms for quantifying critical factors such as safety, SE, and EJ, resulting in decisions that may overlook equitable infrastructure planning. Because these tools do not account for SE and EJ factors, they may not align with the unique needs, priorities, and constraints of different regions or communities. DSTs that fail to consider localized social and environmental impacts are less effective in areas with varying demographics, environmental concerns, and infrastructure needs. Although infrastructure planning and decision-making are multi-dimensional processes [19], bridge construction in the U.S. has been traditionally focused on mainly technical and economic considerations, such as cost–benefit analysis, structural conditions, and traffic flow, overlooking road safety and neglecting social and environmental inequities [19,28]. In other words, DSTs have often prioritized immediate technical needs over the broader impacts on vulnerable populations, specifically affecting underserved and minority communities that face disproportionate infrastructure challenges. One example of incorporating SE and EJ into the prioritization of bridge construction projects was performed by Mohamadiazar et al. (2024) [9]. They developed a vulnerability-based multi-criteria decision support framework and introduced a SEEJ (social equity and environmental justice) index that was applied alongside flood vulnerability and technical factors (traffic and structural conditions) for prioritizing bridge projects. Their results showed that considering SE, EJ, and flood vulnerability in addition to traffic load and structural condition of bridges can change the prioritization of projects.
To address the identified challenges and needs in existing ABC decision support approaches, the objective of this study is to develop a multi-criteria DST that enhances the CTDOT ABC decision matrix by integrating the quantified benefits of ABC for road and work zone safety, SE, and EJ. The CTDOT decision matrix offers a middle ground approach that provides a balance between simplicity, transparency, and quantitative evaluation, making it the most practical and adaptable baseline for enhancement, especially for integrating new factors such as roadway safety, SE, and EJ. This study leverages the outcomes of prior study performed by the authors [9] to refine existing ABC methodologies. Additionally, a limited survey was conducted among select state DOTs to collect information on crash data types, crash unit cost values, and methodologies used for handling crash data. To the best of the authors’ knowledge, this is the first time that quantified ABC benefits for enhancing work zone safety have been incorporated into ABC decision-making. Moreover, this is also the first time that SE and EJ quantifications have been included in ABC decision-making tools. Further, the developed tool uses a systematic method for determining the relative importance (weights) of criteria within the tool, using the AHP method in addition to the option of using predetermined sets of weight factors. To demonstrate the tool’s effectiveness, it was applied to two case studies in Connecticut where the CTDOT decision matrix was originally applied. The results were then compared to those obtained using the CTDOT ABC decision matrix to assess improvements in applicability and efficiency. The developed ABC DST (called FIU ABC tool hereafter) is a user-friendly, Excel-based, and systematic framework that uses readily available data from national databases, making it suitable for application across all state DOTs nationwide.

2. Methods and Materials

2.1. Methodology

To enhance the CTDOT ABC decision matrix, a systematic approach was developed to incorporate safety, SE, and EJ considerations, along with a systematic weight assignment method, as illustrated in Figure 1. The FIU ABC tool begins with base calculations, following the structure of the CTDOT ABC decision matrix. This tab consists of several tables, each evaluating one of the ten criteria in the CTDOT matrix. The base calculations serve as the foundation for assessing whether ABC is a feasible alternative to conventional construction. The base calculation compares time, cost, and impact metrics between ABC and conventional construction. The CTDOT ABC decision matrix snapshot and its weighted scoring algorithm are provided in the Supplementary Materials. The improved ABC tool (FIU ABC tool) is still spreadsheet (Excel-based) with the same format as CTDOT tool, with additional tabs added to introduce the new criteria. The FIU ABC DST can be accessed through the website of the Innovative Bridge Technologies/Accelerated Bridge Construction-University Transportation Center (https://abc-utc.fiu.edu/) (accessed on 5 October 2025).

2.1.1. State DOT Survey on Crash Cost and Safety Data

Since crash cost and crash data records vary across states due to differences in traffic conditions, economic factors, and policy frameworks, the goal was to create a flexible and adaptable decision support tool. The survey on crash data was kept limited in scope, as the goal of survey was not to report a nationwide dataset but to learn if state DOTs follow a nationally standard method or if different state DOTs handle crash data and calculate crash costs differently. While crash cost calculation methods are standardized nationally, the survey showed that some states follow their own practices, showing where state-level differences matter. This confirmed the tool needed to be flexible and adjustable to include both the national and state-specific methods. We emailed 23 state DOTs with an online questionnaire. The survey design and state selection were reviewed by the project’s technical advisory panel, which included state DOT experts and engineers, to ensure the scope was appropriate. Data collection occurred in 2023–2024. We received 14 responses, yielding a 61% response rate. Further details on the survey, including the participating states and state implementations, are provided in the Supplementary Materials (Figure S1 and Table S2). The results highlighted the diversity of crash cost references used, including state-specific estimates, FHWA guidelines, National Highway Traffic Safety Administration (NHTSA) crash data, and National Safety Council (NSC) estimates.

2.1.2. Safety Benefits Quantification

This study leveraged the findings of Mokhtarimousavi [29,30] to integrate the safety benefits into the FIU ABC DST. A benefit–cost analysis (BCA) was conducted to evaluate the work zone safety benefits associated with implementing the ABC method (Figure 2). It was then added to the existing CTDOT decision matrix as a new sheet called “Safety Benefits”. The purpose of “Safety Benefits” is to quantify the economic reduction in crash impacts as a result of ABC and shorten the construction duration. The FIU ABC tool calculates the work zone road user costs by analyzing the monetary value of crash costs caused by work zone activities at bridge locations. This evaluation follows the safety benefits equation (Equation (1)) developed by Mokhtarimousavi [29,30], which compares ABC implementation safety benefits against the additional costs incurred.
S a f e t y   B e n e f i t s = X × C o s t   o f   c r a s h e s   p e r   l a n e   c l o s u r e   d a y   ( w o r k   z o n e )   A B C   i m p l e m e n t a t i o n   c o s t C o n v e n t i o n a l   c o n s t r u c t i o n   i m p l e m e n t a t i o n   c o s t
where X is the number of days reduced in the work zone duration due to ABC implementation.
Calculating crash costs in Equation (1) and consequently safety benefits were performed based on crash severity (different injury scales) and crash frequency (Equation (2)). Crashes result in both economic and quality of life costs. Economic costs include factors such as medical expenses and lost wages, while quality of life costs account for pain, suffering, and reduced well-being experienced by victims and their families. FHWA guidance recommends adjusting economic costs using the Consumer Price Index (CPI) and quality of life costs using the Median Usual Weekly Earnings (MUWE) wage index [31]. The methodology presented in Figure 2 demonstrates a tailored approach to evaluate the BCA. To calculate crash costs, the tool first determines the monetary value of crashes based on severity levels using the KABCO scale. This is performed by summing up the product of crash unit costs and crash frequency for each severity level. Once the crash costs are determined, the safety benefits of ABC are calculated using the reduction in work zone duration due to ABC implementation from Equation (1). Since different states classify crashes differently, the tool accommodates multiple crash data sources. Crash unit costs and frequencies can be sourced from national datasets (FHWA, NHTSA, NSC) or state-specific crash data. State-level crash costs may offer greater precision as they reflect local traffic conditions, economic factors, and policy frameworks, whereas national estimates provide a consistent baseline for comparison. Therefore, there are four different methods to calculate safety benefits in the FIU ABC DST. To ensure flexibility and adaptability, only one method should be used, depending on the availability of crash frequency and crash unit cost data. As shown in Figure 2, the first method, state-specific crash frequency and national crash unit cost, utilizes crash frequency data from state DOT records, categorized under the KABCO scale, while applying FHWA 2016 national crash unit costs [30,31], which are adjusted for inflation and state economic conditions. The second method, national crash frequency and national crash unit cost, relies on the NHTSA Fatality Analysis Reporting System (FARS) for crash frequency data and applies FHWA national crash unit costs, ensuring consistency across projects. The third method, state-specific crash frequency and state-specific crash unit cost, uses both crash frequency and crash unit cost data from state DOT sources, offering the most localized and precise estimation without requiring national adjustments. Lastly, national crash frequency and state-specific crash unit cost integrates NHTSA (FARS) crash frequency data with state-specific crash unit costs, allowing for a combination of national crash records and localized cost estimates.
Adjustments are necessary when national crash unit cost data is used to ensure that the cost values reflect time frame economic conditions and economic differences between states. The adjustment methodology follows the FHWA guidelines [31]. In this study, crash unit costs were estimated by starting with the 2016 national comprehensive values (which include both economic and quality of life components). These values were updated to each target year using a single CPI adjustment factor (Equation (3)) to keep the process simple, transparent, and easy to apply across states. The resulting costs were then scaled to the state level using the same-year state income factor. The state-specific economic conditions adjustment was applied using Per Capita Income (PCI) ratio (Equation (4)). PCI adjustment is not required where state-specific crash unit costs are already available. Since these values are derived directly from state DOT sources, they inherently reflect the local economic conditions, making PCI adjustment unnecessary; however, if the state-provided crash unit cost data is outdated, an inflation adjustment using the CPI ratio is necessary [31,32].
C r a s h   c o s t = α c r a s h   u n i t   c o s t α × c r a s h   f r e q u e n c y α
C P I   r a t i o ( i j ) = C P I i C P I j
S t a t e   c r a s h   u n i t   c o s t i = N a t i o n a l   c r a s h   u n i t   c o s t i × S t a t e   P C I i N a t i o n a l   P C I i
where α = {K, A, B, C, O}, representing different crash severity levels classified under the KABCO scale, a widely used injury severity classification by NHTSA and state DOTs. K stands for fatal (killed), A for incapacitating injury, B for non-incapacitating injury, C for possible injury, and O for property damage only [31,32].

2.1.3. Social Equity and Environmental Justice Quantification

In this research, the Social Equity and Environmental Justice (SEEJ) Index was integrated to capture the positive effects of ABC projects on SEEJ for communities impacted by bridge construction. The formula for the SEEJ Index is based on a weighted average of key social, economic, and environmental factors, as given by Equation (5). To incorporate the SEEJ Index into the DST, two new tabs were created. (1) SE Tab: The SE indicator evaluates the demographic (population density) and economic characteristics (PCI) of the zip code where the bridge is being constructed. Population density reflects the level of community interaction, access to transportation, and potential disruptions caused by construction, while PCI provides insight into the economic conditions of the community and the potential for disproportionate impacts. (2) EJ Tab: The EJ indicator measures the environmental conditions affecting construction crews’ health during construction by incorporating apparent temperature metrics known as the Heat Index (HI) or Wind Chill Index (WCI). According to the National Oceanic and Atmospheric Administration (NOAA), the HI represents the perceived temperature based on air temperature and relative humidity (RH) for assessing heat stress in warm climates, calculated using Equation (6). If the temperature is above 27 °C with a high RH (>85%), the HI is dominated [33,34]. WCI accounts for the rate of heat loss due to wind and cold, indicating how cold it feels in colder conditions, calculated using Equation (7), as defined by NOAA. WCI is valid if the temperature is below 10 °C and wind speed is above 1.34 m/s (3 mph) [34]. If none of the specific conditions are met, it defaults to calculating apparent temperature (often referred to as “feels-like” temperature) as actual air temperature.
S E E J   I n d e x = 1 2 P o p u l a t i o n   d e n s i t y   s c o r e + I n c o m e   s c o r e + H e a t   o r   W i n d   C h i l l   i n d e x   s c o r e 2
H I = 42.379 + 2.04901523 × 1.8 × T m a x + 32 + 10.14333127 × R 0.22475541 × 1.8 × T m a x + 32 × R   6.83783 × 10 3 × ( 1.8 × T m a x + 32 ) 2 5.481717 × 10 2 × R 2 + 1.22874 × 10   3 × ( 1.8 × T m a x + 32 ) 2 × R + 8.5282 × 10 4 × ( 1.8 × T m a x + 32 ) × R 2 1.99 × 10   6 × ( 1.8 × T m a x + 32 ) 2 × R 2
W C I = 35.74 + 0.6215 × ( 1.8 × T m i n + 32 ) 35.75 × V × 0.44704 × 0.16   + 0.4275 × ( 1.8 × T m i n + 32 ) × V × 0.44704 × 0.16
where T m a x is the annual average maximum air temperature over a five-year cumulative period in °C, T m i n is the annual average minimum air temperature over a five-year cumulative period in °C, R is the annual average relative humidity over a five-year cumulative period in percentage, and V is the annual average wind speed over a five-year cumulative period in m/s. We used a recent 5-year average for weather inputs to provide a stable, comparable, and easily updatable baseline for near-term ABC planning. This is because ABC feasibility for planning is a short- to medium-term decision (design or construction in the next 1–5 years). For example, Oregon DOT uses five years of maintenance dispatch records to find and map hotspots that often face weather-related problems. AASHTO Extreme Weather Risk Assessment starts with recent 5- or 10-year averages for operational planning, then supplements with return period analyses (e.g., 25-year flood, 50-year storm) [35]. Additionally, this choice reduces bias from single-year extremes, supports reproducibility across states, and keeps the Excel tool usable without the need for specialized climate modeling.

2.1.4. Relative Weights of Criteria

The relative importance (weight) of decision-making factors (criteria) is not fixed and can vary among different decision makers and change over time, even for the same individual or organization. This means that different stakeholders, such as transportation agencies, engineers, policymakers, and community representatives, may have different preferences regarding the decision criteria (e.g., cost, traffic safety, social, and environmental factors). Moreover, even for the same decision maker, the relative importance of factors may shift over time due to changing circumstances, policy updates, budget constraints, environmental considerations, or evolving project goals. This dynamic nature of decision-making highlights the need for flexible and adaptable evaluation frameworks which allow for adjustable weightings of criteria based on current priorities and stakeholder input. The CTDOT tool uses a set of pre-determined weights for decision criteria based on the expertise and consensus of the state’s ABC specialists. This research incorporated the possibility of using AHP to systematically determine relative weights of criteria in the DST, as an option in addition to the pre-determined weights, allowing users to determine the weights based on their specific preferences and priorities. This method involves making pairwise comparisons between criteria to determine their relative importance. The outcomes of these comparisons are used to calculate numerical values representing the weights of each criterion. For the pairwise comparison matrix, Saaty (1980) employed an evaluation system to indicate how much one criterion is more important than another based on a scale of 1 to 9. A score of 1 indicates equal importance, while higher numbers represent increasing levels of importance, from somewhat more important to extremely more important [36]. In this study, the AHP input values were generated using hypothetical judgments made by the authors to demonstrate how the method could be implemented. The goal was to show how expert input could be systematically converted into numerical weights, which may later be refined through stakeholder engagement (e.g., state DOTs). These comparisons help calculate weights for each criterion and alternative, ultimately forming the final ranking of alternatives. After completing the pairwise comparisons, a mathematical process is carried out to calculate the relative weights of criteria. This involves normalizing the results of the comparisons to ensure that the weights can be compared on the same scale and accurately reflect the intended preferences of the decision maker. If the judgments (comparisons) made by the user are completely consistent, then the matrix will have a rank of 1, which indicates perfect consistency. However, because human judgment is involved, there may be some degree of inconsistency in comparisons. To address potential inconsistencies, the AHP method includes a Consistency Index (CI) and a Consistency Ratio (CR) (Equations (8) and (9), respectively). These are mathematical checks to assess the level of consistency within the pairwise comparisons [36,37].
C I = ( λ m a x n ) ( n 1 )
C R = C I R I
where n is the number of criteria and λmax is the largest eigenvalue. RI is the Random Inconsistency index that is dependent on the sample size. For example, the RI is 0.58 for 3 criteria, 0.90 for 4 criteria, and increases up to 1.49 for 10 criteria. A reasonable level of consistency in the pairwise comparisons is assumed if CR < 0.10, while CR ≥ 0.10 indicates inconsistent judgments. It is recommended that if CR > 0.10, the pairwise comparisons should be revised [38].

2.2. Data Identification, Collection, and Analysis

Data used in the FIU ABC DST is readily available and accessible through online portals. More details regarding these data sources are provided in Figure 3 and Table 1. To organize the data and facilitate the analysis, four major data groups were developed: base calculation data (factors included in the CTDOT ABC decision matrix [27]), safety, social, and environmental data related to the study area. A snapshot of the CTDOT tool is also provided in the Supplementary Materials (Figure S2) to show how the base calculation is structured. Each of these groups was further categorized into sub-categories (Figure 3). To start, the type of traditional construction and the possible ABC method should be identified. If more than one ABC method is possible, a separate decision analysis should be made for each.

2.2.1. Crash Unit Cost and Crash Frequency

For the case study, the 2016 FHWA national KABCO crash unit cost value of $11,295,402 was used as a baseline crash cost estimation. This value represents the comprehensive cost per crash, covering factors such as medical expenses, property damage, lost productivity, and legal fees [32]. To adjust these costs for inflation and regional economic differences, PCI and CPI data were sourced from federal and state agencies for crash cost estimation. PCI and CPI data were obtained from two authoritative sources: The BEA, which provided PCI data for all the U.S. states including Connecticut. For this study, we extracted PCI values for Connecticut in 2016, 2020, 2021, and 2022 to allow for economic adjustments; BLS, which provided CPI data for the U.S. and several geographic areas. Additionally, crash frequency data was extracted from the NHTSA national fatality records, specifically through their STSI service. For this study, we focused on fatal crashes (K on the KABCO injury scale) in Connecticut from 2020 to 2022. Table 2 presents the annual average CPI for the U.S., PCI for Connecticut, and the number of fatal crashes in Connecticut from 2020 to 2022.

2.2.2. Social Equity and Environmental Justice Data

To gather population density data for the project location, the U.S. Census website’s search (Table 1) function was used by entering zip codes on the provided map. Once the location was identified, key data points, including population density, were displayed and recorded. For additional economic details such as the PCI, the U.S. BEA website (Table 1) was accessed. Two bridges were studied in this paper: Case Study 1 on the bridge 03469 and Case Study 2 on the bridge 00255. The data extracted for the case studies indicated that Case Studies 1 and 2 include a population density of 254.37 and 822.20 people per square mile and a PCI of $38,304 and $52,789, respectively.
The weather data records were retrieved from the NASA DAV website. The process involved selecting the geographical location of interest using the interactive map feature on the website. Once the location was identified, the specific weather parameters needed for the analysis were selected, along with the time period spanning from 2018 to 2022. The climate data summary was then downloaded in CSV format for further processing and analysis.

2.3. Case Studies

The ABC DST’s applicability was demonstrated by applying it to two real-world bridge projects in Connecticut (CT), USA: Case Study 1—Bridge No. 03469; Case Study 2—Bridge No. 00255. For each case, project-specific inputs were extracted, appropriate weights were applied, and a side-by-side comparison between the CTDOT ABC matrix and the FIU ABC DST was conducted. In this comparison, both tools (CTDOT and FIU ABC DST) were tested using the same input data to ensure a fair assessment of the performance of each. These bridges were originally used in in-depth web training on the CTDOT ABC decision matrix [https://abc-utc.fiu.edu/mc-events/development-and-implementation-of-the-connecticut-dot-abc-program/ (accessed on 5 October 2025)]. We used the same case studies here to evaluate how the final ABC score can change when safety, SE, and EJ are included alongside the CTDOT criteria in the decision-making framework.

2.3.1. Case Study 1: Bridge No. 03469, I-395 NB over Tracy Road in Killingly, CT

Case Study 1 is the replacement of Bridge 03469, I-395 NB over Tracy Road in Killingly, Connecticut [27]. Figure 4 shows the bridge location, and Table 3 presents detailed information about the bridge based on the NBI database [40].

2.3.2. Case Study 2: Bridge No. 00255, I-395 over Route 85 in Waterford, CT

The comparative performance of the improved tool was demonstrated through its application to the rehabilitation project of the second case study: Bridge 00255, located on I-395 over Route 85 in Waterford, Connecticut [27]. This rehabilitation was mainly considered for utilizing ABC techniques to minimize long-term, daily traffic impacts associated with conventional construction methods. The location of the bridge is shown in Figure 5, and Table 4 presents detailed information about the bridge based on data from NBI [40].

3. Results

3.1. CTDOT ABC Base Calculation for Case Study 1

The CTDOT ABC project for Bridge 03469 evaluated two construction approaches: non-ABC (conventional) and ABC methods. Base calculation, originally conducted by CTDOT [27], is explained in detail below and served as the foundation for the comparative assessment in this study. Snapshots of the ABC DST completed with the general information and base calculations of Case Study 1 are presented in the Supplementary Materials (Figures S3 and S4).

3.1.1. ADT and User Impact Reduction in Case Study 1

Bridge 03469 was evaluated under two construction approaches: conventional and ABC. The non-ABC approach was a staged construction process that allows for traffic flow, maintaining two lanes in the first stage and reducing to one lane in the second stage. This method takes 18 months to complete, but it does not specify a total closure time for the construction. I-395 lane reduction delay in stage construction is 1.60 min per vehicle considering the total ADT of 12,000 vehicles per day (Stage 1: no delay, and Stage 2: reduced to 1 lane). On the other hand, the ABC method involves completely closing the road and rerouting traffic. It starts with building a Geosynthetic Reinforced Soil Integrated Bridge System (GRS-IBS) abutment before the road closure, followed by replacing the superstructure with modular deck beam units. This approach is faster, with a total construction time of 12 months and a brief road closure time of only 7 days. Detour options during construction are identified as I-395 NB and Tracey Road detours (Table 5) [27].

3.1.2. General ABC Scoring for Bridge Location and Site Conditions in Case Study 1

The ABC scoring results for factors influencing the feasibility of ABC for Bridge 03469 based on the CTDOT ABC original case study are presented in Table 6 (Figures S2 and S3). The moderate ADT score of 2 (10,000–40,000 vehicles) indicates that traffic disruptions are a consideration, though not as critical as in higher-volume corridors.

3.1.3. Cost Analysis in Case Study 1

A preliminary cost evaluation and cost analysis resulted in a project cost of $5,000,000 for conventional construction, with no additional cost for overbuilding, thus totaling $5,000,000. Monthly costs for construction engineering and inspection (CE&I) were given as $45,000, including $5000 for the field office and $40,000 for CE&I staff. The cost analysis for ABC showed a premium of $750,000 for adopting this method. However, there are savings associated with ABC, such as a reduction in CE&I costs of $270,000 and maintenance of traffic (MOT) savings of $75,000 due to eliminating items like temporary barriers on I-395. The net change in cost for ABC, when accounting for these savings, was an additional $405,000 compared to conventional construction. This states that ABC is more expensive than conventional methods by this amount, and cost analysis received a score of 3 [27].

3.2. CTDOT ABC Base Calculation for Case Study 2

The ABC base calculation for Case Study 2 is the initial evaluation of Bridge 00255 performed by CTDOT using their decision-making tool to compare two construction options: traditional staged construction versus ABC. This evaluation looks at how each method would affect traffic delays, construction time, and overall feasibility.

3.2.1. ADT and User Impact Reduction in Case Study 2

Bridge 00255 was evaluated under two construction approaches: conventional and ABC. The conventional method spans 750 days over three stages with 15 s per vehicle delay. With an ADT of 23,400 vehicles, this results in an aggregate impact of approximately 3047 person-days of delay. By contrast, the ABC option diverts traffic through ramps during two separate 7-day closures (14 days total) with an expected 2 min delay per vehicle from temporary signals. Even though each vehicle experiences a longer delay under ABC, the much shorter construction period reduces the total delay to around 824 person-days when all diversions and impacts are included. This results in a 73% reduction in overall user impact [27].

3.2.2. General ABC Scoring for Bridge Location and Site Conditions in Case Study 2

The ABC scoring results for factors influencing the feasibility of ABC for Bridge 00255 based on the CTDOT criteria are presented in Table 7. The bridge carries a moderate to high volume (about 40,000–70,000 vehicles/day). Under conventional construction methods, lane closures would result in substantial traffic delays, making construction duration a critical consideration. Implementing ABC was estimated to reduce total user delay by approximately 61–80% compared to conventional staging, representing a substantial benefit in favor of ABC. The bridge is located in an urban area near major traffic generators, such as interchanges, commercial establishments, and employment centers, indicating that construction-related disruptions would impact a large number of commuters and businesses. ABC scored highly in the category of prefabricated details (score: 4), highlighting the feasibility of using precast components to expedite construction activities. Additionally, the bridge received moderate scores for work zone geometry and site conditions (both scored 3), suggesting manageable detour complexity and only minor issues related to utilities and right-of-way constraints. Importantly, the bridge has no complicating factors such as railroads, waterways, or environmental restrictions (score: 0), simplifying the permitting and approval processes.

3.2.3. Cost Analysis in Case Study 2

Cost evaluation for the conventional construction was estimated at approximately $5,000,000, with additional CE&I expenses of $65,000 per month throughout the project duration. In comparison, implementing ABC was associated with an estimated 20% cost premium, raising the total bridge construction cost to around $6,000,000. However, ABC methods shorten the overall construction schedule by approximately 15 months. This reduction resulted in an estimated savings of $975,000 in avoided CE&I costs. Additionally, ABC could minimize the need for extensive temporary traffic control measures, with only $150,000 allocated for barriers along I-395. When these factors were accounted for, ABC substantially offset its initial cost premium while also offering significant reductions in user delay. These combined benefits suggested that, despite the higher initial construction cost, ABC may present a more cost-effective alternative to conventional methods when long-term impacts and indirect costs are considered [27].

3.3. Safety Benefits

3.3.1. Safety Benefits for Case Study 1

The safety benefits analysis showed that implementing ABC results in per-day crash unit cost savings of $275,485.21, with 68 construction days saved, leading to total cost savings of $405,000 in crash-related expenses. Additionally, the safety benefit percentage is 62%, indicating that a significant portion of the overall project benefits come from reducing traffic-related crash risks during the construction phase. Table 8 and Figure S5 present a summary of the crash cost estimation results.

3.3.2. Safety Benefits for Case Study 2

In this case, the calculated safety benefit–cost ratio was 1.64, meaning that for every dollar invested, there was a return of $1.64 in safety-related savings. This suggested that implementing ABC delivered substantial net economic value by significantly reducing both user delay and crash-related losses. The high benefit–cost ratio highlighted the role of ABC in enhancing roadway safety. These results further emphasize that shorter construction durations reduce work zone exposure, which in turn lowers crash risks for both road users and construction workers. A summary of the crash cost estimation results is provided in Table 9.

3.4. Social Equity and Environmental Justice

3.4.1. Social Equity and Environmental Justice for Case Study 1

The SE analysis results highlighted the demographic and economic conditions of the project areas as shown in Figure S6. The population density of 234.10 people per square mile was scored 1 (less than 500 people per mi2), indicating that the area is rural with low population concentration. Additionally, the PCI of $38,304.00, classified as score 4 ($30,000 to $40,000 range), reflects moderate economic disadvantages.
The EJ assessment underscores significant risks affecting construction workers’ health and safety due to extreme environmental conditions and adverse weather as presented. Table 10 (and Figure S7) provides an overview of environmental factors, including annual average maximum and minimum temperatures, RH, and wind speed over a five-year period. The annual average maximum temperature was 35.56 °C, contributing to high heat stress risks, particularly in humid conditions where the HI exceeded 59, placing it in the highest risk category. The RH levels, averaging 80.59%, further intensify perceived temperatures, increasing the likelihood of heat exhaustion, dehydration, and reduced worker efficiency. On the other hand, cold exposure risks are also prevalent, with annual minimum temperatures averaging −20.41 °C. Overall, the EJ score of 5 indicates significant environmental exposure risks for construction workers, primarily due to an HI of 59.50, which falls into the highest category (more than 55 °C). Finally, the SEEJ Index score was calculated as 3.75 (on a 0–5 scale), indicating, a moderate level of socioenvironmental concerns in the assessment.

3.4.2. Social Equity and Environmental Justice for Case Study 2

The SE evaluation for the project area showed a low to moderate population density, with approximately 638.5 people per square mile, which corresponds to a score of 2. Therefore, while the region is not densely populated, construction-related disruptions can still have adverse effects, especially if detour options are limited. PCI of $52,789 yields a score of 2, which indicates a middle-income community. While this does not reflect high vulnerability, it shows the importance of minimizing disruptions to protect the community.
The EJ assessment revealed high environmental vulnerability. Table 11 summarizes the environmental metrics recorded over a five-year period, including maximum and minimum temperatures, RH, and wind speed. The annual average maximum temperature is 34.00 °C, contributing to elevated heat stress levels. The average RH is 80.64%, increasing the risk of heat exhaustion, dehydration, and reduced worker efficiency. The annual average minimum temperature is −15.60 °C, indicating cold exposure risks as well. The calculated HI of 52.6 falls into the EJ category of 4. The calculated SEEJ Index score of 3.0 (on a 0–5 scale) reflects a moderate level of concern. While the SE component indicates manageable social impacts based on population and income data, the elevated EJ score highlights notable environmental risks.

3.5. ABC Rating Score

This section presents the final ABC score in three scenarios: (1) using the base criteria (those used by the CTDOT tool- Figure 3), (2) using base criteria and safety benefits, and (3) using base criteria, safety benefits, and SEEJ. The detailed results are shown in Table 12, Table 13 and Table 14 for both case studies. The original weights provided by the CTDOT were used for the base criteria [27]. Also, predetermined weights of 30 and 20 were assumed for safety and SEEJ, respectively (Figure S7). In this study, the predetermined weights for safety and SEEJ were selected in consultation with the project’s technical advisory panel. Additionally, the AHP method was applied separately to each case study to illustrate its application and potential value in generating consistent, justifiable weights in contrast to static, predetermined values. The full AHP procedure, matrix, and consistency checks are provided in the Supplementary Materials (Tables S3–S5).

3.5.1. Scenario 1: Base Criteria

In Scenario 1, a set of criteria similar to those in the CTDOT tool (Figure 3) were applied that resulted in an ABC Rating of 44 for Case Study 1 and 75 for Case Study 2 (Table 12). These scores place Case studies 1 and 2 within the “Do not use ABC” and “Use ABC” categories, respectively, suggesting that under use of the base criteria and the predetermined weights, ABC would not be advisable for Case study 1 but would for Case Study 2 [27].
Table 12. ABC rating for Case Study 1 (CS1) and Case Study 2 (CS2) in Scenario 1 (using the base criteria only).
Table 12. ABC rating for Case Study 1 (CS1) and Case Study 2 (CS2) in Scenario 1 (using the base criteria only).
ScorePredetermined WeightsWeighted Score Maximum Possible ScoreMaximum Possible Weighted Score
CS1CS2 CS1CS2
Average Daily Traffic2.03.0102030550
User Impact Reduction1.04.030301205150
Bridge Location1.04.05520525
Use of Typical Details4.04.052020525
Work Zone Geometry3.03.082424540
Site Conditions3.03.051515525
Railroad ImpactsN/AN/AN/AN/AN/AN/AN/A
Cost Analysis3.04.030901205150
Env./Water HandlingN/AN/AN/AN/AN/AN/AN/A
Waterway LimitationsN/AN/AN/AN/AN/AN/AN/A
Safety BenefitsN/AN/AN/AN/AN/AN/AN/A
SEEJ IndexN/AN/AN/AN/AN/AN/AN/A
Total Score204349Max. Score465
ABC Rating4475

3.5.2. Scenario 2: Base Criteria and Safety

In Scenario 2, the addition of safety benefits to the base criteria in Scenario 1 resulted in an ABC Rating of 58 (Table 13) for Case Study 1, transitioning from “Do not use ABC” into “Consider ABC”. Here, the benefits of using ABC are more balanced, suggesting that further analysis of the suggested ABC method and consideration of safety benefits might change the ABC Rating score. This adjustment highlights that projects with substantial safety advantages may be well-suited for ABC implementation. For Case Study 2, the initial evaluation using Scenario 1 yielded an ABC Rating of 75, placing the project in the “Use ABC” category. After incorporating Scenario 2, which added safety benefits to the evaluation criteria, the ABC rating increased to 81 (Table 13), maintaining the “Use ABC” classification.
Table 13. ABC rating for Case Study 1 (CS1) and Case Study 2 (CS2) in Scenario 2 (using the base criteria and safety).
Table 13. ABC rating for Case Study 1 (CS1) and Case Study 2 (CS2) in Scenario 2 (using the base criteria and safety).
ScorePredetermined WeightsWeighted Score Maximum Possible ScoreMaximum Possible Weighted Score
CS1CS2 CS1CS2
Average Daily Traffic2.03.0102030550
User Impact Reduction1.04.030301205150
Bridge Location1.04.05520525
Use of Typical Details4.04.052020525
Work Zone Geometry3.03.082424540
Site Conditions3.03.051515525
Railroad ImpactsN/AN/AN/AN/AN/AN/AN/A
Cost Analysis3.04.030901205150
Env./Water HandlingN/AN/AN/AN/AN/AN/AN/A
Waterway LimitationsN/AN/AN/AN/AN/AN/AN/A
Safety Benefits5.05.0301501505150
SEEJ IndexN/AN/AN/AN/AN/AN/AN/A
Total Score354499Max. Score615
ABC Rating5881

3.5.3. Scenario 3: Base Criteria, Safety, and SEEJ

Scenario 3 includes both safety benefits and SEEJ in addition to all the base criteria from Scenario 1. Hence, it demonstrates the comprehensive approach of the FIU ABC DST. This resulted in an ABC rating of 60 for Case study 1 (Table 14), recommending “Use ABC” for this project. Scenario 3 exemplifies situations where safety benefits, SE, and EJ are important factors that can substantially change the decision-making outcome. For Case Study 2, the ABC rating in Scenario 3 slightly decreased from 81 in Scenario 2 to 78 (Table 14) due to the inclusion of SEEJ-related considerations. Despite this small reduction, the project still remains within the “Use ABC” category (ABC Rating of 60–100).
Table 14. ABC Rating for Case Study 1 (CS1) and Case Study 2 (CS2) in Scenario 3 (using the base criteria, safety, and SEEJ).
Table 14. ABC Rating for Case Study 1 (CS1) and Case Study 2 (CS2) in Scenario 3 (using the base criteria, safety, and SEEJ).
ScorePredetermined WeightsWeighted Score Maximum Possible ScoreMaximum Possible Weighted Score
CS1CS2 CS1CS2
Average Daily Traffic2.03.0102030550
User Impact Reduction1.04.030301205150
Bridge Location1.04.05520525
Use of Typical Details4.04.052020525
Work Zone Geometry3.03.082424540
Site Conditions3.03.051515525
Railroad ImpactsN/AN/AN/AN/AN/AN/AN/A
Cost Analysis3.04.030901205150
Env./Water HandlingN/AN/AN/AN/AN/AN/AN/A
Waterway LimitationsN/AN/AN/AN/AN/AN/AN/A
Safety Benefits5.05.0301501505150
SEEJ Index3.753.02075605100
Total Score429559Max. Score715
ABC Rating6078

4. Discussion

For Bridge 03469 on I-395 (Case Study 1), a comparative analysis of the impact on users during the conventional and ABC methods [27] showed that in conventional construction (two stages), the first stage does not present significant issues. However, during the second stage, users can expect delays. The construction duration for this approach is 75 days, with an average delay of 1.60 min per user. In contrast, the ABC method entailed closing the bridge completely to focus on swiftly building the superstructure and backfilling the remainder of the GRS within a concise time frame of 7 days. Although this method substantially reduces the overall construction time, it results in a more substantial average delay of 14.70 min per user when the bridge is closed. The user impact analysis for the conventional construction method, where there are no road closures anticipated, showed that users can expect an average delay of 6 s, which, while minimal, would be consistently experienced over the lengthy duration of 18 months. The ABC method, however, was planned for a single period of 7 days, during which road users will be detoured. The average delay during this period jumped to 8 min, a substantial increase over the conventional method but concentrated in a much shorter timeframe. Overall, for conventional construction, the total aggregate impact time was quantified as 1448 person-days. In contrast, the ABC method resulted in a total aggregate impact time of 1263 person-days. This data indicated that ABC reduces the overall impact on users by 13%, demonstrating a more efficient use of time in terms of the total delay experienced by all individuals affected by the construction [27]. The User Impact Reduction score of 1 (1–20%) indicates that ABC would not significantly improve user conditions compared to conventional methods, reducing the urgency for accelerated construction. Additionally, the Bridge Location score of 1 categorizes the bridge as rural near a town center, implying limited stakeholder opposition to staged construction. However, ABC benefits from a high Use of Typical Details score of 4, meaning prefabricated components can be efficiently used, potentially shortening construction time. A Work Zone Geometry score of 3 and Site Conditions score of 3 suggest moderate detour complexity and minor construction limitations related to utilities and right-of-way. Additionally, the project faces no railroad, waterway, or environmental restrictions, making permitting and approvals straightforward and giving a score of 0 [27]. While these factors support ABC implementation, the lack of significant user impact reduction and manageable conventional construction complexity indicate that a detailed cost–benefit analysis, incorporating safety, SE, and EJ, is necessary to justify an ABC decision. Cost analysis for Bridge 03469 showed long-term advantages for ABC. Crash cost savings alone were estimated at $405,000 due to the reduced duration of work zone exposure, which also lowered risks for both workers and road users.
In Case Study 1, the safety benefits of using the ABC method were substantial. The overall user impact was reduced by 13%, and the crash risk decreased due to the shortened exposure period. This improvement in safety translated to measurable crash cost savings, as ABC potentially avoided multiple crashes that could have occurred during an extended work zone. The average daily crash unit cost was estimated at approximately $275,485, highlighting the high cost of extended exposure to crash-prone conditions during conventional construction. Notably, the application of the ABC method led to a cost difference of $405,000, indicating significant savings attributed to reduced work zone duration and minimized crash exposure. This was calculated as a 62% safety benefit, demonstrating that ABC not only shortens project timelines but also provides considerable improvements in work zone safety and crash cost reduction. The shorter project duration of ABC minimizes work zone exposure, thereby reducing the likelihood of crashes and improving safety for both road users and construction workers.
SE and EJ considerations further supported ABC implementation. The SE score shows that while the community is not in the lowest-income bracket, financial constraints and economic resilience remain concerns. These factors underscore the importance of equitable infrastructure planning, ensuring that the project provides economic opportunities and enhances accessibility. Furthermore, the region’s extreme heat conditions posed health risks like heat stress, dehydration, and thermal discomfort for both laborers and the surrounding community. ABC reduced these issues. Overall, the SEEJ score was 3.75, suggesting moderate to high levels of SE and EJ concerns. In the context of ABC, this score underscores the importance of prioritizing worker safety and minimizing environmental risks. From a SE perspective, the moderate per capita income and low population density highlight ABC’s ability to minimize construction duration and reduce long-term disruptions, which can be helpful in maintaining economic stability, mobility for residents, and ensuring equitable transportation infrastructure decision-making.
For Bridge 00255 on Tracey Road (Case Study 2), the comparison between conventional and ABC methods also highlighted notable differences. Conventional construction spanned 18 months, causing a minimal but prolonged average delay of 6 s per user. Conversely, the ABC method required only 7 days, with an average delay of 8 min due to detours. Despite this higher short-term impact, the concentrated disruption reduced overall community burden. ABC implementation for this bridge reduced user delays by 61–80% compared to the conventional method. Located in an urban area near major interchanges, businesses, and job centers, minimizing disruption was crucial. ABC was more effective at managing congestion and limiting long-term community impacts.
The safety benefit–cost analysis for Bridge 00255 demonstrated that ABC provides substantial economic and safety advantages over conventional methods. The calculated benefit–cost ratio of 1.64 indicates that for every dollar invested in ABC, there was an estimated return of $1.64 in safety-related savings, primarily from reduced crash costs and user delays. By reducing construction duration and associated exposure to hazardous conditions, ABC achieved a 164% improvement in safety benefits, as reflected in the crash cost difference of $125,000. As a result, ABC was not only a technically feasible and time-efficient option, but also a cost-effective safety approach.
Case Study 2 showed a middle-income and moderately populated community with SE scores of 2. From a SE standpoint, these demographics suggest that minimizing construction duration through ABC can help local economic activities and daily mobility without long-term disruption. In contrast, the EJ assessment revealed higher concerns, primarily due to extreme weather conditions. Over a five-year period, the site experienced a HI of 52.6 °C, which falls into the EJ category of 4. These conditions can increase the risk of heat stress, dehydration, and reduced worker efficiency. Overall, a SEEJ score of 3.0 suggests moderate socioenvironmental concerns. By shortening construction timelines, ABC minimizes the duration of worker exposure to hazardous environmental conditions while simultaneously reducing disruption to vulnerable communities.
The ABC evaluation across the three scenarios revealed how the integration of safety and SEEJ can influence project feasibility. In Scenario 1, which shows the CTDOT base criteria without incorporating safety or SEEJ factors, Case Study 1 received an ABC rating of 44, placing it in the “Do Not Use ABC” category, whereas Case Study 2 achieved a rating of 75, falling in the “Use ABC” range. This scenario is illustrative of situations where the cost, risk, or other factors outweigh the potential benefits of ABC, leading to a lower ABC Rating and potentially missing out on the benefits that ABC can offer. In this scenario, projects that could potentially benefit from the speed and efficiency of ABC might be overlooked due to the lack of emphasis on safety and socioenvironmental factors, resulting in missed opportunities for timely and effective infrastructure improvements. When safety benefits were added in Scenario 2, Case Study 1’s score increased to 58, shifting it into the “Consider ABC” category, while Case Study 2’s score rose to 81. Thus, safety strengthened the recommendation, providing a clearer, more defensible justification for proceeding with ABC. This scenario highlights that incorporating safety data, such as reduced crash risk and work zone exposure, can meaningfully shift the decision. In Scenario 3, which included both safety and SEEJ, Case Study 1’s rating rose slightly to 60, moving into the “Use ABC” category, affirming the project’s viability when broader societal impacts are considered. Case Study 2’s rating, meanwhile, decreased to 78, but remained well within the “Use ABC” zone. These findings emphasize the value of a comprehensive, multidimensional evaluation framework like the FIU ABC DST. This outcome underscores the importance of balancing technical, economic, safety, and SEEJ factors in infrastructure decisions, ensuring that projects are not only feasible but also socially and environmentally responsible. The following sections provide a discussion on various sensitivity analyses regarding relative weights of the factors used in the FIU ABC DST.

4.1. SEEJ Index Sensitivity Analysis

We used equal weights for the SEEJ Index to maintain simplicity and usability for state DOTs. Equal weighting is a widely used baseline in MCDM, especially when no consensus exists on relative importance across regions and stakeholders. Many composite indexes, such as the Sustainable Society Index (SSI) and CDC’s Social Vulnerability Index (SVI), also apply equal weighting for interpretability and ease of comparison [41,42]. Furthermore, since this is the first integration of a quantified SE and EJ index into an ABC decision support tool, keeping the tool simple and straightforward was a key consideration. To evaluate the impact of weight variations, a sensitivity analysis was conducted by adjusting the SE and EJ weights from 0 to 1 (with equal weighting at 0.5). The SEEJ Index was recalculated for each scenario and compared to the baseline across two case studies. Results for Bridges 03469 and 0025 (Figure 6) indicate a linear change in the SEEJ Index. In both case studies, the SEEJ scores increased as more weight was given to EJ. This was because the EJ score was higher than the SE score for both bridges. Since the SEEJ Index is a weighted average, giving more weight to the higher number (EJ) makes the overall score go up.

4.2. ABC Rating Sensitivity Analysis

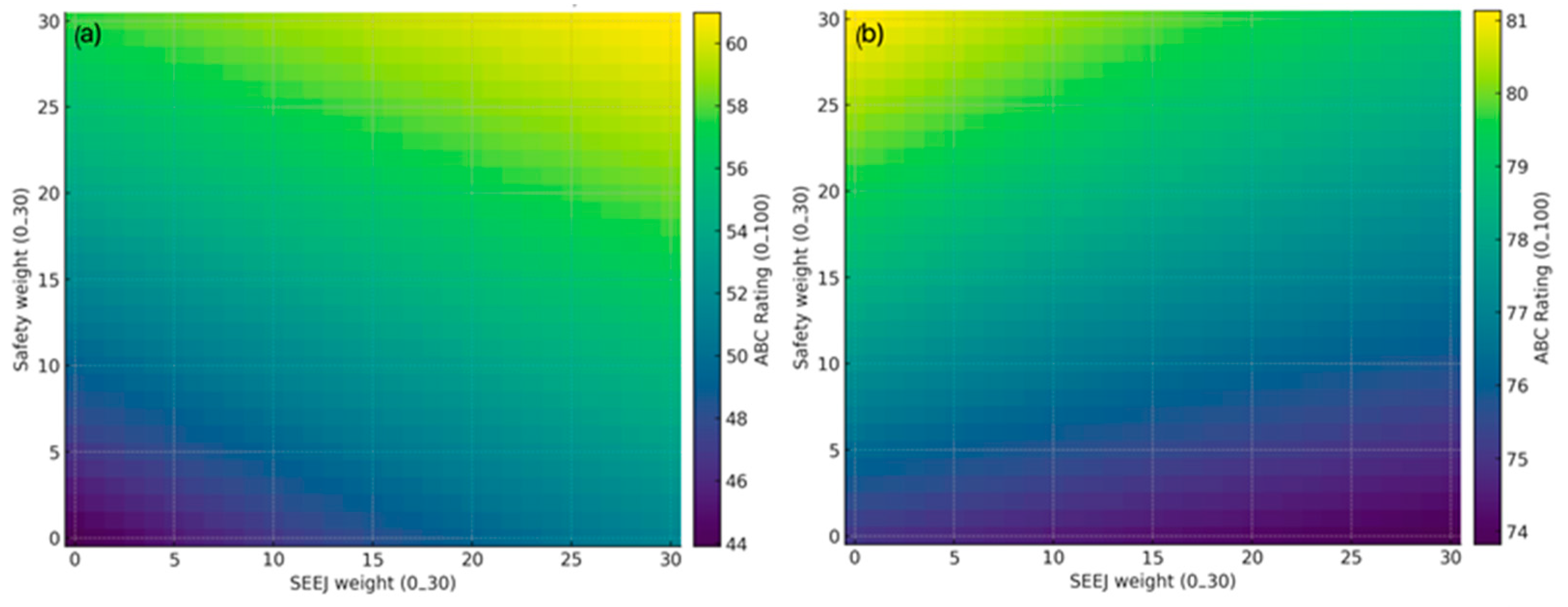
A sensitivity analysis was conducted to examine how variations in the weights assigned to safety and SEEJ affect the final ABC rating. Figure 7 presents 2D heatmaps showing the ABC Rating as a function of safety and SEEJ weights for both case studies. In Case Study 1 (Figure 7a), the safety weight is the dominant factor; higher values substantially increase the ABC rating, shifting the project from “Do Not Use ABC” to “Consider ABC,” and eventually to “Use ABC” only when safety receives a high weight. While SEEJ contributes positively, it is insufficient by itself to substantially alter the decision. In Case Study 2 (Figure 7b), the baseline rating already falls within the “Use ABC” category. Here, increasing safety further supports the ABC recommendation, while variations in the SEEJ weight have a minor effect and do not substantially change the final ABC rating.

5. Summary, Conclusions, and Future Directions

5.1. Summary and Conclusions

The CTDOT decision matrix is a systematic and practical, yet relatively simple, tool for evaluating the suitability of ABC techniques in bridge construction projects that have been well received and applied by the bridge construction community. While work zone safety and socioenvironmental considerations are addressed in CTDOT’s broader project development process, these factors are not explicitly quantified within the matrix’s scoring framework. This study builds on the CTDOT framework by proposing enhancements that integrate quantified safety, SE, and EJ indicators directly into the decision analysis in a systematic manner. One reason we chose to base our tool on the CTDOT matrix was to reduce potential barriers to implementation. Since the CTDOT tool is well received and used in practice, it helps reduce training requirements, institutional resistance, and integration challenges within existing DOT workflows. The proposed FIU ABC DST retains the usability and logic of the CTDOT matrix while offering a more quantified, detailed, and adaptable extension for evaluating ABC suitability. This helps agencies take safety and community needs into account more directly and align projects with broader social and environmental goals when needed. Furthermore, the FIU ABC tool provides an option for determining the weights of criteria by the AHP method in addition to predetermined weights. Unlike fixed weights, it lets agencies adjust priorities for each project and update them over time based on the agencies’ updated priorities. The FIU ABC DST offers a more comprehensive and equitable framework compared to the existing tools developed by FHWA, CTDOT, and AASHTO. Unlike the existing ABC decision tools, which primarily emphasize cost, schedule, and basic user impact considerations, the FIU tool quantifies and integrates broader criteria including safety benefits, SE, and EJ. The FIU ABC tool is designed to be applicable across all U.S. states by relying on readily available, nationally consistent data, which avoids the need for extensive customization and makes the tool scalable and accessible. The relative importance (weights) of decision criteria can shift over time due to changes in policy, budget constraints, or evolving project goals. The FIU ABC tool helps address this need by allowing flexible weight adjustments, ensuring that the decision-making stays adaptive and inclusive. Potential end users of the tool are all the DOTs in the U.S. in addition to other decision makers, planners, engineers, and stakeholders involved in infrastructure planning and development.

5.2. Limitations

This study identified some limitations. One limitation is the reliance on a qualitative scoring system ranging from 0 to 5 for evaluating decision criteria. While this approach ensures ease of use and transparency, it also oversimplifies complex, variable inputs by reducing them to fixed numeric scores. As a result, the unique characteristics and relative influence of each criterion may not be fully captured or distinguished. Also, to ensure the tool’s simplicity, the SE and EJ components were limited to a few readily available indicators (population density and per capita income for SE, and heat/wind chill index for EJ). While practical, this limited scope constrains the ability to identify other factors related to community vulnerability and environmental health. In estimating the safety benefits, this study assumes that crash risk decreases in direct proportion to the duration of the work zone. This means that shorter construction periods, because of ABC, are expected to result in fewer crashes. Based on this assumption, the safety benefit values are presented as a conservative, planning-level estimate. Additionally, we attribute all safety improvements to the implementation of ABC. However, in real-world settings, other factors (such as traffic control measures or site-specific conditions) may also contribute to crash reduction.

5.3. Directions for Future Studies

Future research can address limitations and opportunities for enhancing the current decision support tool. One promising direction is the improvement of the scoring system. While the current tool uses a simple 0–5 qualitative scale for evaluating criteria, alternative approaches such as normalization, percentile ranking, or utility functions could provide a more detailed picture by preserving more of the underlying variation in the data. That would give decision makers a more detailed picture of how projects compare. Additionally, future versions of the tool could integrate a hybrid scoring system, where quantitative data (e.g., ADT, costs, and crash), qualitative inputs, and expert scoring are combined. Then, the tool would assign a composite score for decision-making.
The scope of SE and EJ indicators can also be expanded. Future work could expand the scope of these criteria by integrating additional indicators into the ABC decision-making process. For example, by incorporating ecological data and predictive models concerning wildlife, particularly in aquatic environments affected by bridge construction, the tool could provide a comprehensive analysis of potential environmental impacts. Furthermore, evaluating the reduction in greenhouse gas emissions as a result of using ABC techniques would be a valuable addition. By optimizing construction processes and reducing the need for extended project timelines, ABC methods could contribute to lower overall emissions, supporting environmental sustainability and resilience alongside efficiency and cost-effectiveness.
Another important enhancement involves improving the accuracy and flexibility of safety benefits estimation. Future studies could incorporate non-linear crash risk functions that account for factors such as high ADT, extended traffic queues, nighttime construction, and uncertainty in crash frequency to better understand how these variables influence overall safety benefits. Furthermore, crash costs can vary from one state to another due to differences in medical costs, income levels, and estimation methods. To address this issue, the tool could integrate probabilistic or scenario-based modeling techniques in the future. This would allow the representation of crash costs as a range or distribution rather than a fixed-point estimate.
Future work may also focus on validating the tool’s recommendations against historical project decisions to quantify false positives and false negatives, particularly in relation to the inclusion of safety and SEEJ factors. Access to a large dataset of completed bridge projects with known outcomes would enable this assessment. For the purpose of this study, only a limited survey (not to cover every state) was needed to obtain insights into how different state DOTs handle crash data and how they calculate crash costs in practice; however, a full survey dataset may be useful for researchers, DOT decision makers, or policymakers who need to examine state-by-state practices in more detail or extend this work for other future applications.
Looking toward the future, enhancing the ABC tool could also be continued by applying the framework to more examples in different states, international applications, and the development of an online platform. The tool can be applied and tested in diverse geographic settings, both within the U.S. and internationally. An online tool could offer dynamic updates and real-time data integration, allowing for more accurate and streamlined evaluations. Finally, future work could focus on integrating artificial intelligence algorithms (e.g., ML) to make decisions about the suitability of ABC techniques in bridge constructions projects more accurately based on historical data and trends.

Supplementary Materials

The following supporting information can be downloaded at: https://www.mdpi.com/article/10.3390/infrastructures10100265/s1. Tables S1–S5 and Figures S1–S8.

Author Contributions

Conceptualization, A.E.; Methodology, A.E. and N.M.; Software, N.M.; Validation, A.E. and N.M.; Formal Analysis, N.M.; Investigation, N.M.; Data Curation, N.M.; Writing—Original Draft Preparation, N.M. and A.E.; Writing—Review and Editing, A.E.; Supervision, A.E.; Project Administration, A.E.; Funding Acquisition, A.E. All authors have read and agreed to the published version of the manuscript.

Funding

This research was supported by the Accelerated Bridge Construction-University Transportation Center (ABC-UTC) through funding from the U.S. Department of Transportation.

Data Availability Statement

Data sources and dataset links are provided within the text.

Acknowledgments

This research was funded by the U.S. Department of Transportation through a grant from Accelerated Bridge Construction-University Transportation Center (ABC-UTC). The study was supported by a Research Advisory Panel (RAP) including members from nine DOTs across the U.S. as follows: James Barrows, Connecticut DOT; Fouad Jaber, Nebraska DOT; Hongfen Li, South Carolina DOT; Amy Leland, Washington DOT; James Nelson, Iowa DOT; Don Nguyen-Tan, California DOT; Aaron Bonk, Wisconsin DOT; Ashley Jacobson, Minnesota DOT; and Loretta Doughty, New Hampshire DOT. The RAP members reviewed the study outputs and provided feedback. The authors would like to acknowledge the contributions from RAP members and technical support from Islam Mantawy of Rowan University and Atorod Azizinamini, Mary Lou Ralls Newman, and Bijan Khaleghi of ABC-UTC.

Conflicts of Interest

The authors declare no conflicts of interest.

References

  1. American Road and Transportation Builders Association (ARTBA). ARTBA Bridge Report. 2024. Available online: https://artbabridgereport.org/ (accessed on 5 October 2025).
  2. Cook, W. Bridge Failure Rates, Consequences, and Predictive Trends. Ph.D. Dissertation, Utah State University, Logan, UT, USA, 2014. Available online: https://digitalcommons.usu.edu/etd/2163/ (accessed on 5 October 2025).
  3. Khan, M.A. Accelerated Bridge Construction: Best Practices and Techniques, 1st ed.; Elsevier: Amsterdam, The Netherlands, 2014. [Google Scholar]
  4. Culmo, M.P.; Boyle, H.; Nettleton, S.; Chandra, V.; Tadros, M.K.; Mallela, J. Engineering Design, Fabrication and Erection of Prefabricated Bridge Elements and Systems; Report No. FHWA-HIF-17-019; Federal Highway Administration: Washington, DC, USA, 2013. [Google Scholar]
  5. Culmo, M.P.; Lord, B.; Huie, M.; Beerman, B. Accelerated Bridge Construction: Experience in Design, Fabrication and Erection of Prefabricated Bridge Elements and Systems: Final Manual; Report No. FHWA-HIF-12-013; Federal Highway Administration. Office of Bridge Technology: McLean, VA, USA, 2011. [Google Scholar]
  6. Basu, B. Accelerated Construction and Rehabilitation of Bridges. Ph.D. Dissertation, University of Cincinnati, Cincinnati, OH, USA, 2005. [Google Scholar]
  7. Blincoe, L.; Miller, T.R.; Wang, J.S.; Swedler, D.; Coughlin, T.; Lawrence, B.; Guo, F.; Klauer, S.; Dingus, T. The Economic and Societal Impact of Motor Vehicle Crashes; Report No. DOT HS 813 403. 2022; National Highway Traffic Safety Administration: Washington, DC, USA, 2019. [Google Scholar]
  8. Associated General Contractors of America (AGCA). 2023 Work Zone Awareness Survey Results: National Results. 2024. Available online: https://www.agc.org/sites/default/files/users/user21902/2023_Work_Zone_Survey_National.pdf (accessed on 5 October 2025).
  9. Mohamadiazar, N.; Ebrahimian, A.; Azizinamini, A. Equitable Prioritization of Bridge Rehabilitation Projects Using a Spatial Multi-Criteria Decision Support Framework. Transp. Res. Rec. 2024, 2678, 2059–2076. [Google Scholar] [CrossRef]
  10. Zhu, X.; Meng, X.; Zhang, M. Application of multiple criteria decision making methods in construction: A systematic literature review. J. Civ. Eng. Manag. 2021, 27, 72–403. [Google Scholar] [CrossRef]
  11. Das, R.; Nakano, M. A multi-criteria decision-making model using socio-technical attributes for transportation bridge maintenance prioritisation. Int. J. Constr. Manag. 2023, 23, 579–585. [Google Scholar] [CrossRef]
  12. Contreras-Nieto, C.; Shan, Y.; Lewis, P.; Hartell, J.A. Bridge maintenance prioritization using analytic hierarchy process and fusion tables. Autom. Constr. 2019, 101, 99–110. [Google Scholar] [CrossRef]
  13. Shahrivar, F.; Sidiq, A.; Mahmoodian, M.; Jayasinghe, S.; Sun, Z.; Setunge, S. AI-based bridge maintenance management: A comprehensive review. Artif. Intell. Rev. 2025, 58, 135. [Google Scholar] [CrossRef]
  14. Jaafaru, H.; Agbelie, B. Bridge maintenance planning framework using machine learning, multi-criteria decision analysis and evolutionary optimization models. Autom. Constr. 2022, 143, 104585. [Google Scholar] [CrossRef]
  15. Ghafoori, M.; Abdallah, M.; Ozbek, M.E. Machine learning–based bridge maintenance optimization model for maximizing performance within available annual budgets. J. Bridge Eng. 2024, 29, 04024011. [Google Scholar] [CrossRef]
  16. Whelan, M.J.; Cavalline, T.L.; Alar, A.; Lane, K. Guidelines for Prioritization of Bridge Replacement, Rehabilitation, and Preservation Projects; North Carolina Department of Transportation: Raleigh, NC, USA, 2019. [Google Scholar]
  17. Gibson, B.; Van Dyke, C.; Palle, S.; Griffith, R.; Kreis, D. Bridge Project Prioritization; Report No. KTC-22-08/SPR21-599-1F; University of Kentucky Transportation Center: Lexington, KY, USA, 2022. [Google Scholar]
  18. American Association of State Highway and Transportation Officials (AASHTO). Load and Resistance Factor Design (LRFD) Guide Specifications for Accelerated Bridge Construction (ABC), 1st ed.; American Association of State Highway Transportation Officials: Washington, DC, USA, 2018. [Google Scholar]
  19. Gandy, C.A.; Armanios, D.E.; Samaras, C. Social Equity of Bridge Management. J. Manag. Eng. 2023, 39, 04023027. [Google Scholar] [CrossRef]
  20. Sampson, N.R.; Schulz, A.J.; Parker, E.A.; Israel, B.A. Improving Public Participation to Achieve Environmental Justice: Applying Lessons from Freight’s Frontline Communities. Environ. Justice 2014, 7, 45–54. [Google Scholar] [CrossRef]
  21. US Department of Labor, Bureau of Labor Statistics. Census of Fatal Occupational Injuries. 2023. Available online: https://www.bls.gov/opub/btn/volume-10/latency-in-fatal-occupational-injuries.htm (accessed on 5 October 2025).
  22. Doolen, T.; Saeedi, A.; Emami, S. Accelerated Bridge Construction (ABC) Decision Making and Economic Modeling Tool; Report No. FHWA-OR-TPF-12-06; Oregon Department of Transportation: Salem, OR, USA, 2011. [Google Scholar]
  23. Alipour, A.; Gransberg, D.D.; Zhang, N. An Integrated Project to Enterprise-Level Decision-Making Framework for Prioritization of Accelerated Bridge Construction; Report No. ABC-UTC-2013-C2-ISU02-Final; Accelerated Bridge Construction University Transportation Center (ABC-UTC): Miami, FL, USA, 2018. [Google Scholar]
  24. California Department of Transportation. Accelerated Bridge Construction Manual, 1st ed.; Caltrans: Sacramento, CA, USA, 2021. Available online: https://dot.ca.gov/-/media/dot-media/programs/engineering/documents/abc/ctabc-2021-06-30_a11y.pdf (accessed on 5 October 2025).
  25. Pei, S.; Wehbe, N.I.; McMullen, M. Implementation Guidance for Accelerated Bridge Construction in South Dakota; Report No. SD2012-03-F; South Dakota Department of Transportation: Pierre, SD, USA, 2014. [Google Scholar]
  26. Hammond, P.J. Washington State DOT’s Comprehensive Annual Analysis of State Highway System Performance (WSDOT 2012 Congestion Report), 11th ed.; Washington State DOT: Olympia, WA, USA, 2012. [Google Scholar]
  27. Fields, T.; Culmo, M. The 2021 In-Depth Web Training Features the Development and Implementation of the Connecticut Department of Transportation’s ABC Program. Module 5: Detailed Project Example 2—ABC Decision Process, with Negative ABC Decision. Florida International University Accelerated Bridge Construction-University Transportation Center. 2021. Available online: https://abc-utc.fiu.edu/mc-events/development-and-implementation-of-the-connecticut-dot-abc-program/?mc_id=665 (accessed on 5 October 2025).
  28. Meyer, M.D.; Flood, M. Integrating Extreme Weather into Transportation Asset Management Plans; Transportation Research Board (TRB): Washington, DC, USA, 2015; p. 80. [Google Scholar]
  29. Mokhtarimousavi, S.; Hadi, M.; Azizinamini, A. Work Zone Safety Analysis, Investigating Benefits from Accelerated Bridge Construction (ABC) on Roadway Safety; Report No. ABC-UTC-2016-C3-FIU03-Final; Florida International University Accelerated Bridge Construction-University Transportation Center: Miami, FL, USA, 2021. [Google Scholar]
  30. Mokhtarimousavi, S. Work Zone Safety Analysis, Investigating Benefits from Accelerated Bridge Construction (ABC) On Roadway Safety. Ph.D. Dissertation, Florida international University, Miami, FL, USA, 2020. [Google Scholar] [CrossRef]
  31. Harmon, T.; Bahar, G.B.; Gross, F.B. Crash Costs for Highway Safety Analysis; Report No. FHWA-SA-17-071; Federal Highway Administration: Washington, DC, USA, 2018. [Google Scholar]
  32. Mallela, J.; Sadasivam, S. Work Zone Road User Costs Concepts and Application; Report No. FHWA-HOP-12-005; U.S. Department of Transportation, Federal Highway Administration: Washington, DC, USA, 2011. [Google Scholar]
  33. National Weather Service (NWS). What Is the Heat Index? 2024. Available online: https://www.weather.gov/ama/heatindex (accessed on 5 October 2025).
  34. National Weather Service (NWS). Understanding Wind Chill. 2024. Available online: https://www.weather.gov/safety/cold-wind-chill-chart (accessed on 5 October 2025).
  35. Crook, G.; Mohney, C. Climate Change Vulnerability Assessment and Adaptation Options Study; Oregon Department of Transportation: Salem, OR, USA, 2014. [Google Scholar]
  36. Saaty, T.L. The Analytic Hierarchy Process: Planning, Priority Setting, Resource Allocation; McGraw-Hill: New York, NY, USA, 1980. [Google Scholar]
  37. Angelou, G.N.; Economides, A.A. A Decision Analysis Framework for Prioritizing a Portfolio of ICT Infrastructure Projects. IEEE Trans. Eng. Manag. 2008, 55, 479–495. [Google Scholar] [CrossRef]
  38. Aguarón, J.; Moreno-Jiménez, J.M. The Geometric Consistency Index: Approximated Thresholds. Eur. J. Oper. Res. 2003, 147, 137–145. [Google Scholar] [CrossRef]
  39. Connecticut DOT. Accelerated Bridge Construction (ABC) Decision Process. Available online: https://portal.ct.gov/dot/bureaus/engineering-and-construction/engineering/bridges/standard-practices?language=en_US (accessed on 5 October 2025).
  40. U.S. DOT Federal Highway Administration (FHWA). The Long-Term Bridge Performance (LTBP) InfoBridge. 2023. Available online: https://infobridge.fhwa.dot.gov/Data (accessed on 5 October 2025).
  41. Centers for Disease Control and Prevention, Agency for Toxic Substances and Disease Registry. Social Vulnerability Index. 2024. Available online: https://www.atsdr.cdc.gov/place-health/php/svi/index.html (accessed on 5 October 2025).
  42. Saisana, M.; Philippas, D. Sustainable Society Index (SSI): Taking societies’ pulse along social, environmental and economic issues. Environ. Impact Assess. Rev. 2012, 32, 94–106. [Google Scholar]
Figure 1. Flowchart of the proposed methodology for the FIU ABC tool.
Figure 1. Flowchart of the proposed methodology for the FIU ABC tool.
Infrastructures 10 00265 g001
Figure 2. Flowchart illustrating the procedure of safety benefits calculation.
Figure 2. Flowchart illustrating the procedure of safety benefits calculation.
Infrastructures 10 00265 g002
Figure 3. Organization of the data used in the FIU ABC DST.
Figure 3. Organization of the data used in the FIU ABC DST.
Infrastructures 10 00265 g003
Figure 4. Project location, Case study 1.
Figure 4. Project location, Case study 1.
Infrastructures 10 00265 g004
Figure 5. Project location, Case study 2.
Figure 5. Project location, Case study 2.
Infrastructures 10 00265 g005
Figure 6. Sensitivity analysis plots of the SEEJ Index to weighting for two case studies: (a) Case Study 1 (SE = 2.5, EJ = 5): equal weights give SEEJ = 3.75; (b) Case Study 2 (SE = 2.0, EJ = 4): equal weights give SEEJ = 3.00.
Figure 6. Sensitivity analysis plots of the SEEJ Index to weighting for two case studies: (a) Case Study 1 (SE = 2.5, EJ = 5): equal weights give SEEJ = 3.75; (b) Case Study 2 (SE = 2.0, EJ = 4): equal weights give SEEJ = 3.00.
Infrastructures 10 00265 g006
Figure 7. ABC rating sensitivity analysis to safety and SEEJ weights across two case studies: (a) Case Study 1; (b) Case Study 2.
Figure 7. ABC rating sensitivity analysis to safety and SEEJ weights across two case studies: (a) Case Study 1; (b) Case Study 2.
Infrastructures 10 00265 g007
Table 1. Data sources and links required for FIU ABC DST data entry.
Table 1. Data sources and links required for FIU ABC DST data entry.
DataDescriptionSource(s)
Base Calculation
Average Daily TrafficMeasures average number of vehicles that pass a location during 24 h time period, vehicles per day [39]National Bridge Inventory (https://infobridge.fhwa.dot.gov/Data/SelectedBridges) (accessed on 5 October 2025)
User Impact ReductionMeasures the percentage reduction in user delay time resulting from ABC implementation, % [39]Bridge design and site conditions
Bridge LocationConsiders the location of the bridge in rural, suburban, or urban areas in relation to the surrounding community [39]Bridge location
Use of Typical DetailsAssesses design complexity and geometry [39]Bridge design
Work Zone GeometryConsiders the detours quality and alternating traffic [38]Bridge design and site conditions
Site ConditionsAssesses site restrictions such as limited right-of-way and utility conflicts that may affect ABC feasibility [39]Site conditions
Railroad ImpactsConsiders the significance of rail operations, including the presence of high-volume rail corridors [39]Bridge design and site conditions
Cost AnalysisCompares total costs of ABC and conventional construction, $ [39]Bridge design and site conditions
Envi./Water HandlingEvaluates limitations for in-water construction and the impact on project schedules [39]Bridge design and site conditions
Waterway LimitationsAssesses how bridge construction affects waterways, including commercial and recreational water use [39]Bridge design and site conditions
Safety
Crash Unit CostMonetary cost associated with a single crash, including direct and indirect expenses, $ [32]U.S. DOT (https://rosap.ntl.bts.gov/view/dot/42858) (accessed on 5 October 2025)
Crash FrequencyThe total number of crashes occurring per year or at the bridge construction location [32]National Highway Traffic Safety Administration, State Traffic Safety Information (STSI) (https://cdan.dot.gov/STSI/stsi.htm) (accessed on 5 October 2025)
Social
Population DensityThe number of people living per unit of area, (persons/mi2)U.S. Census Bureau
(https://maps.geo.census.gov/ddmv/map.html) (accessed on 5 October 2025)
Per Capita IncomeThe average income earned per person in a specific area, ($/year)Bureau of Economic Analysis (BEA); U.S. Census Bureau
(https://www.bea.gov/itable/) (accessed on 5 October 2025)
Environmental
TemperatureThe air temperatures recorded at 2 m above ground level, °CNASA Power Data Access Viewer (DAV)
(https://power.larc.nasa.gov/data-access-viewer/) (accessed on 5 October 2025)
Relative HumidityThe percentage of moisture in the air at 2 m above ground level, %
Wind SpeedThe speed of wind measured at 2 m above ground level, (m/s)
Table 2. The U.S. annual average CPI, PCI for Connecticut, and crash frequency records in the study area.
Table 2. The U.S. annual average CPI, PCI for Connecticut, and crash frequency records in the study area.
YearCrash Frequency
Case Study 1
Crash Frequency
Case Study 2
The U.S. Annual Average CPIConnecticut PCI ($)
2016N/AN/A240.00777,810
202032258.81176,829
202132270.97081,131
202222292.65583,340
Table 3. An overview of Bridge 03469 (Case Study 1)’s structural and functional characteristics.
Table 3. An overview of Bridge 03469 (Case Study 1)’s structural and functional characteristics.
ItemValue/Description
Structure Number03469
Route Number00395
LocationI-395 Northbound over Tracy Road, Killingly, CT
Zip Code06241
OwnerState Highway Agency
Coordinates41°52′20.6″ N 71°53′29.8″ W
Type of Service on BridgeHighway
County, StateWindham County, Connecticut
Year Built2017
Lanes on the Structure3 Lanes
Lanes under the Structure2 Lanes
NBI Bridge ConditionGood
Waterway AdequacyBridge Not Over Waterway
Channel/Channel ProtectionNot Applicable
Scour Critical BridgesBridge Not Over Waterway
Table 4. An overview of Bridge 00255 (Case Study 2)’s structural and functional characteristics.
Table 4. An overview of Bridge 00255 (Case Study 2)’s structural and functional characteristics.
ItemValue/Description
Structure Number00255
Route Number00395
LocationI-395 over Route 85 in Waterford, CT
Zip Code06385
OwnerState Highway Agency
Coordinates41°23′44.6″ N 72°9′58.2″ W
Type of Service on BridgeHighway
County, StateNew London County, Connecticut
Year Built1958
Lanes on the Structure4 Lanes
Lanes under the Structure4 Lanes
NBI Bridge ConditionFair
Waterway AdequacyBridge Not Over Waterway
Channel/Channel ProtectionNot Applicable
Scour Critical BridgesBridge Not Over Waterway
Table 5. Detailed information of detour routes in project I-395 over route 85.
Table 5. Detailed information of detour routes in project I-395 over route 85.
DetourSegmentsADT (vehicles/day)Length (mile)Speed Limit (mph)Total Delay (min)
I-395Attawaugan Crossing<3000 per Lane0.303014.70
Route 12>8000 per Lane3.6040
Tracey RoadAttawaugan Crossing<3000 per Lane0.60308.20
Route 120.2040
Country Club Road0.9025
Table 6. ABC scoring analysis for Bridge 03469 based on the CTDOT ABC decision matrix criteria.
Table 6. ABC scoring analysis for Bridge 03469 based on the CTDOT ABC decision matrix criteria.
DataScore
ADT2
User Impact Reduction1
Bridge Location1
Use of Typical Details4
Work Zone Geometry3
Site Conditions3
Railroad Impacts0
Env./Water Handling0
Waterway limitations0
Table 7. ABC scoring analysis for Bridge 00255 based on the CTDOT ABC decision matrix criteria.
Table 7. ABC scoring analysis for Bridge 00255 based on the CTDOT ABC decision matrix criteria.
DataScore
ADT3
User Impact Reduction4
Bridge Location4
Use of Typical Details4
Work Zone Geometry3
Site Conditions3
Railroad Impacts0
Env./Water Handling0
Waterway limitations0
Table 8. FIU ABC DST crash cost estimation and safety benefits summary in Case study 1.
Table 8. FIU ABC DST crash cost estimation and safety benefits summary in Case study 1.
Item Year
202020212022
Crash Cost ($)18,689,718.2919,633,873.4117,783,563.16
Per Day Crash Unit Cost ($)275,485.21
Three-Year Total Crash Cost ($)56,107,154.86
Cost Difference ($)405,000
Safety Benefits (%)62%
Table 9. FIU ABC DST crash cost estimation and safety benefits summary in Case study 2.
Table 9. FIU ABC DST crash cost estimation and safety benefits summary in Case study 2.
Item Year
202020212022
Crash Cost ($)18,689,718.2919,633,873.4117,783,563.16
Per Day Crash Unit Cost ($)209,231.82
Three-Year Total Crash Cost ($)42,613,546.63
Cost Difference ($)125,000
Safety Benefits (%)164%
Table 10. FIU ABC DST EJ analysis report summary for Case study 1.
Table 10. FIU ABC DST EJ analysis report summary for Case study 1.
YearMax T (°C)Min T (°C)RH (%)Wind Speed (mps)
201838.58−26.1383.560.14
201932.86−20.7981.500.14
202035.15−17.2078.250.14
202134.12−18.5581.810.14
202237.09−19.3777.810.15
Annual Average35.56−20.4180.590.14
HI59.50
EJ Score5
Table 11. FIU ABC DST EJ analysis report summary for Case study 2.
Table 11. FIU ABC DST EJ analysis report summary for Case study 2.
YearMax T (°C)Min T (°C)RH (%)Wind Speed (mps)
201837.67−19.2983.310.98
201931.87−17.3581.620.98
202033.38−12.8479.040.98
202132.68−14.2380.760.95
202234.40−14.3178.490.95
Annual Average34.00−15.6080.640.97
HI52.60
EJ Score4
Disclaimer/Publisher’s Note: The statements, opinions and data contained in all publications are solely those of the individual author(s) and contributor(s) and not of MDPI and/or the editor(s). MDPI and/or the editor(s) disclaim responsibility for any injury to people or property resulting from any ideas, methods, instructions or products referred to in the content.

Share and Cite

MDPI and ACS Style

Mohamadiazar, N.; Ebrahimian, A. A Comprehensive Decision Support Tool for Accelerated Bridge Construction. Infrastructures 2025, 10, 265. https://doi.org/10.3390/infrastructures10100265

AMA Style

Mohamadiazar N, Ebrahimian A. A Comprehensive Decision Support Tool for Accelerated Bridge Construction. Infrastructures. 2025; 10(10):265. https://doi.org/10.3390/infrastructures10100265

Chicago/Turabian Style

Mohamadiazar, Nasim, and Ali Ebrahimian. 2025. "A Comprehensive Decision Support Tool for Accelerated Bridge Construction" Infrastructures 10, no. 10: 265. https://doi.org/10.3390/infrastructures10100265

APA Style

Mohamadiazar, N., & Ebrahimian, A. (2025). A Comprehensive Decision Support Tool for Accelerated Bridge Construction. Infrastructures, 10(10), 265. https://doi.org/10.3390/infrastructures10100265

Article Metrics

Back to TopTop