Ultrafast Image Categorization in Biology and Neural Models
Abstract
1. Introduction
1.1. Biological Vision and Ultrafast Image Categorization
1.2. Feed-Forward Models of Ultrafast Image Categorization
1.3. Related Work
1.4. Main Contributions
2. Methods
2.1. Building the Dataset Maker Library Using the WordNet Hierarchy
2.2. Transfer Learning
2.3. Pruning
2.4. Accuracy
3. Results
3.1. Performances on Natural Scenes Containing Animals without Transfer Learning
3.2. Performances on Natural Scenes Containing Animals with Transfer Learning
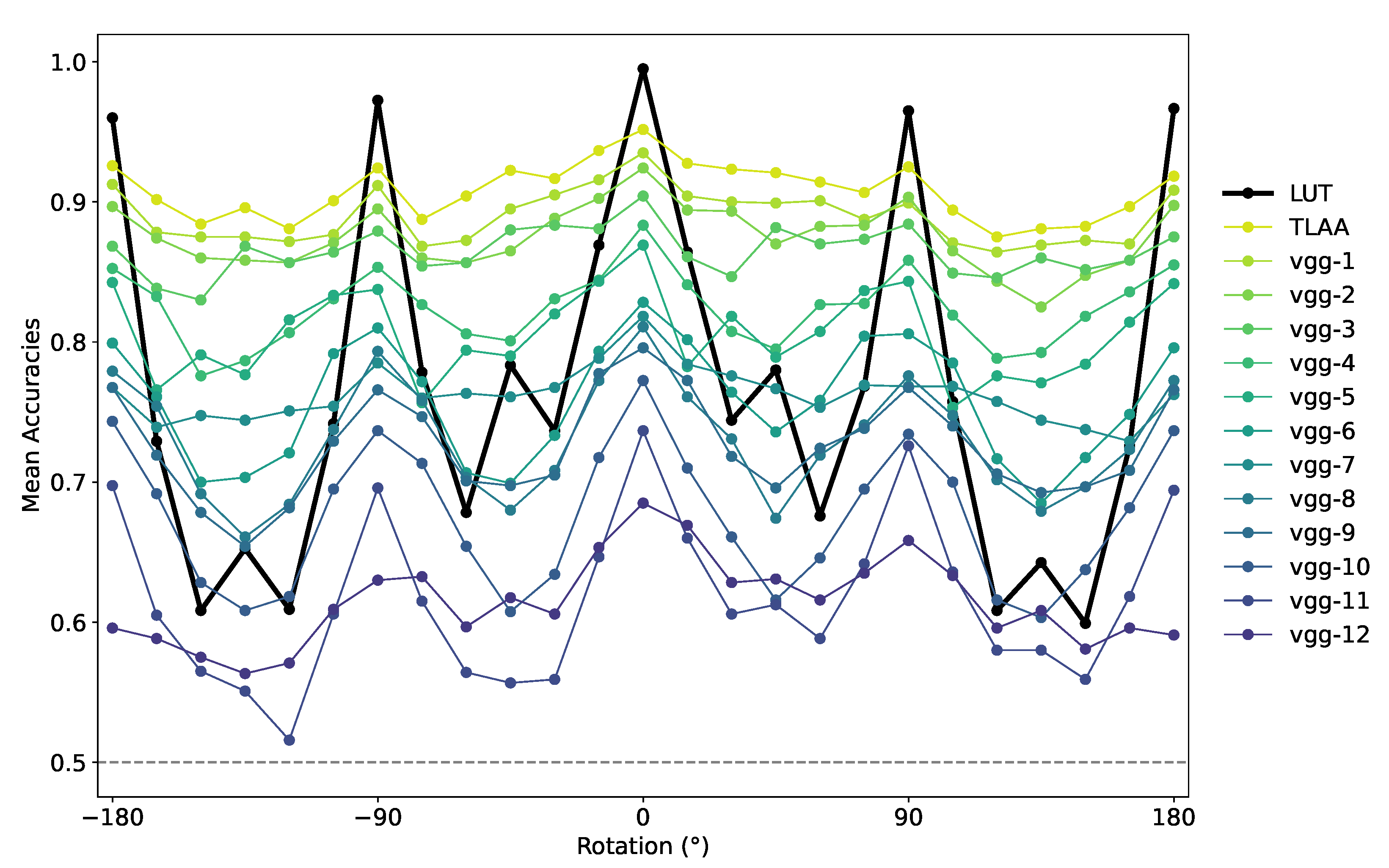
3.3. Robustness of the Categorization with Different Geometric Transformations
3.4. What Features Are Necessary to Achieve the Task?
3.5. Dependence of Accuracy Scores between the Two Tasks
4. Discussion
5. Perspectives
Author Contributions
Funding
Institutional Review Board Statement
Informed Consent Statement
Data Availability Statement
Acknowledgments
Conflicts of Interest
Abbreviations
| (D)CNN | (Deep) Convolutional Neural Network |
| LUT | Look Up Table |
| MNIST | Modified or Mixed National Institute of Standards and Technology |
| SLS | Supervised Learning from Scratch |
| TLA | Transfer Learning on All layers |
| TLAA | Transfer Learning with Auto Augment function |
| TLC | Transfer Learning on Classification layers |
| TLDA | Transfer Learning with Data Augmentation |
| VGG | Vision Geometry Group |
References
- Cristóbal, G.; Perrinet, L.U.; Keil, M.S. Biologically Inspired Computer Vision; Wiley-VCH Verlag GmbH and Co. KGaA: Weinheim, Germany, 2015. [Google Scholar] [CrossRef]
- Fabre-Thorpe, M. The Characteristics and Limits of Rapid Visual Categorization. Front. Psychol. 2011, 2, 243. [Google Scholar] [CrossRef] [PubMed]
- Thorpe, S.; Fize, D.; Marlot, C. Speed of Processing in the Human Visual System. Nature 1996, 381, 520–522. [Google Scholar] [CrossRef] [PubMed]
- Fabre-Thorpe, M.; Richard, G.; Thorpe, S.J. Rapid Categorization of Natural Images by Rhesus Monkeys. Neuroreport 1998, 9, 303–308. [Google Scholar] [CrossRef] [PubMed]
- Delorme, A. Go-Nogo Categorization and Detection Task 2021. OpenNeuro Dataset. Available online: https://openneuro.org/datasets/ds002680/versions/1.2.0 (accessed on 15 March 2023).
- Freedman, D.J.; Riesenhuber, M.; Poggio, T.; Miller, E.K. Categorical Representation of Visual Stimuli in the Primate Prefrontal Cortex. Science 2001, 291, 312–316. [Google Scholar] [CrossRef]
- Rousselet, G.A.; Macé, M.J.M.; Fabre-Thorpe, M. Is It an Animal? Is It a Human Face? Fast Processing in Upright and Inverted Natural Scenes. J. Vis. 2003, 3, 440–455. [Google Scholar] [CrossRef]
- Kirchner, H.; Thorpe, S.J. Ultra-Rapid Object Detection with Saccadic Eye Movements: Visual Processing Speed Revisited. Vis. Res. 2006, 46, 1762–1776. [Google Scholar] [CrossRef]
- Mirzaei, A.; Khaligh-Razavi, S.M.; Ghodrati, M.; Zabbah, S.; Ebrahimpour, R. Predicting the Human Reaction Time Based on Natural Image Statistics in a Rapid Categorization Task. Vis. Res. 2013, 81, 36–44. [Google Scholar] [CrossRef]
- Zhu, W.; Drewes, J.; Gegenfurtner, K.R. Animal Detection in Natural Images: Effects of Color and Image Database. PLoS ONE 2013, 8, e75816. [Google Scholar] [CrossRef]
- Thorpe, S.J.; Gegenfurtner, K.R.; Fabre-Thorpe, M.; Bülthoff, H.H. Detection of Animals in Natural Images Using Far Peripheral Vision. Eur. J. Neurosci. 2001, 14, 869–876. [Google Scholar] [CrossRef]
- Drewes, J.; Trommershäuser, J.; Gegenfurtner, K.R. Parallel Visual Search and Rapid Animal Detection in Natural Scenes. J. Vis. 2011, 11, 20. [Google Scholar] [CrossRef]
- Fabre-Thorpe, M.; Delorme, A.; Marlot, C.; Thorpe, S. A Limit to the Speed of Processing in Ultra-Rapid Visual Categorization of Novel Natural Scenes. J. Cogn. Neurosci. 2001, 13, 171–180. [Google Scholar] [CrossRef] [PubMed]
- Crouzet, S.M. What Are the Visual Features Underlying Rapid Object Recognition? Front. Psychol. 2011, 2, 326. [Google Scholar] [CrossRef]
- Perrinet, L.U.; Adams, R.A.; Friston, K.J. Active Inference, Eye Movements and Oculomotor Delays. Biol. Cybern. 2014, 108, 777–801. [Google Scholar] [CrossRef] [PubMed]
- Thorpe, S.; Fabre-Thorpe, M. Seeking Categories in the Brain. Science 2001, 291, 260–263. [Google Scholar] [CrossRef] [PubMed]
- Delorme, A.; Rousselet, G.A.; Macé, M.J.M.; Fabre-Thorpe, M. Interaction of Top-down and Bottom-up Processing in the Fast Visual Analysis of Natural Scenes. Cogn. Brain Res. 2004, 19, 103–113. [Google Scholar] [CrossRef][Green Version]
- Delorme, A.; Richard, G.; Fabre-Thorpe, M. Key Visual Features for Rapid Categorization of Animals in Natural Scenes. Front. Psychol. 2010, 1, 21. [Google Scholar] [CrossRef]
- Serre, T.; Oliva, A.; Poggio, T. A Feedforward Architecture Accounts for Rapid Categorization. Proc. Natl. Acad. Sci. USA 2007, 104, 6424–6429. [Google Scholar] [CrossRef]
- Lecun, Y.; Bottou, L.; Bengio, Y.; Haffner, P. Gradient-Based Learning Applied to Document Recognition. Proc. IEEE 1998, 86, 2278–2324. [Google Scholar] [CrossRef]
- Rangdal, M.B.; Hanchate, D.B. Animal Detection Using Histogram Orinted Gradient. Int. J. Recent Innov. Trends Comput. Commun. 2014, 2, 7. [Google Scholar]
- Grimaldi, A.; Gruel, A.; Besnainou, C.; Martinet, J.; Perrinet, L.U. Precise Spiking Motifs in Neurobiological and Neuromorphic Data. Brain Sci. 2022, 13, 68. [Google Scholar] [CrossRef]
- Everingham, M.; Eslami, S.M.A.; Van Gool, L.; Williams, C.K.I.; Winn, J.; Zisserman, A. The PASCAL Visual Object Classes Challenge: A Retrospective. Int. J. Comput. Vis. 2015, 111, 98–136. [Google Scholar] [CrossRef]
- Russakovsky, O.; Deng, J.; Su, H.; Krause, J.; Satheesh, S.; Ma, S.; Huang, Z.; Karpathy, A.; Khosla, A.; Bernstein, M.; et al. ImageNet Large Scale Visual Recognition Challenge. Int. J. Comput. Vis. (IJCV) 2015, 115, 211–252. [Google Scholar] [CrossRef]
- Simonyan, K.; Zisserman, A. Very Deep Convolutional Networks for Large-Scale Image Recognition. arXiv 2015, arXiv:1409.1556. [Google Scholar]
- Yosinski, J.; Clune, J.; Bengio, Y.; Lipson, H. How Transferable Are Features in Deep Neural Networks? Adv. Neural Inf. Process. Syst. 2014, 27, 3320–3328. [Google Scholar] [CrossRef]
- Cichy, R.M.; Khosla, A.; Pantazis, D.; Torralba, A.; Oliva, A. Comparison of Deep Neural Networks to Spatio-Temporal Cortical Dynamics of Human Visual Object Recognition Reveals Hierarchical Correspondence. Sci. Rep. 2016, 6, 27755. [Google Scholar] [CrossRef]
- Joubert, O.R.; Rousselet, G.A.; Fize, D.; Fabre-Thorpe, M. Processing Scene Context: Fast Categorization and Object Interference. Vis. Res. 2007, 47, 3286–3297. [Google Scholar] [CrossRef]
- Kriegeskorte, N.; Mur, M.; Ruff, D.A.; Kiani, R.; Bodurka, J.; Esteky, H.; Tanaka, K.; Bandettini, P.A. Matching Categorical Object Representations in Inferior Temporal Cortex of Man and Monkey. Neuron 2008, 60, 1126–1141. [Google Scholar] [CrossRef]
- Bao, P.; She, L.; McGill, M.; Tsao, D.Y. A Map of Object Space in Primate Inferotemporal Cortex. Nature 2020, 583, 103–108. [Google Scholar] [CrossRef]
- Macé, M.J.M.; Joubert, O.R.; Nespoulous, J.L.; Fabre-Thorpe, M. The Time-Course of Visual Categorizations: You Spot the Animal Faster than the Bird. PLoS ONE 2009, 4, e5927. [Google Scholar] [CrossRef]
- Mack, M.L.; Palmeri, T.J. The Dynamics of Categorization: Unraveling Rapid Categorization. J. Exp. Psychol. Gen. 2015, 144, 551–569. [Google Scholar] [CrossRef]
- Fellbaum, C. (Ed.) WordNet: An Electronic Lexical Database; Language, Speech, and Communication, A Bradford Book; MIT Press: Cambridge, MA, USA, 1998. [Google Scholar]
- Perrinet, L.U.; Bednar, J.A. Edge Co-Occurrences Can Account for Rapid Categorization of Natural versus Animal Images. Sci. Rep. 2015, 5, 11400. [Google Scholar] [CrossRef] [PubMed]
- Drewes, J.; Wichmann, F.; Gegenfurtner, K.R. Classification of Natural Scenes Using Global Image Statistics. J. Vis. 2005, 5, 602. [Google Scholar] [CrossRef]
- Wichmann, F.A.; Drewes, J.; Rosas, P.; Gegenfurtner, K.R. Animal Detection in Natural Scenes: Critical Features Revisited. J. Vis. 2010, 10, 6. [Google Scholar] [CrossRef] [PubMed]
- Jérémie, J.N. Online GitHub Repository: Data Set Maker, 2022. Available online: https://github.com/SpikeAI/DataSetMaker (accessed on 15 March 2023).
- Paszke, A.; Gross, S.; Massa, F.; Lerer, A.; Bradbury, J.; Chanan, G.; Killeen, T.; Lin, Z.; Gimelshein, N.; Antiga, L.; et al. PyTorch: An Imperative Style, High-Performance Deep Learning Library. In Advances in Neural Information Processing Systems 32; Wallach, H., Larochelle, H., Beygelzimer, A., dAlché-Buc, F., Fox, E., Garnett, R., Eds.; Curran Associates, Inc.: Red Hook, NY, USA, 2019; pp. 8024–8035. [Google Scholar]
- Jérémie, J.N.; Perrinet, L.U. Experimenting with Transfer Learning for Visual Categorization, 2021. Available online: https://laurentperrinet.github.io/sciblog/posts/2021-04-28-experimenting-with-transfer-learning-for-visual-categorization.html (accessed on 15 March 2023).
- Schrimpf, M.; Kubilius, J.; Hong, H.; Majaj, N.J.; Rajalingham, R.; Issa, E.B.; Kar, K.; Bashivan, P.; Prescott-Roy, J.; Geiger, F.; et al. Brain-Score: Which Artificial Neural Network for Object Recognition Is Most Brain-Like? bioRxiv Prepr. Serv. Biol. 2020. Available online: https://www.biorxiv.org/content/early/2020/01/02/407007.full.pdf (accessed on 15 March 2023). [CrossRef]
- Cubuk, E.D.; Zoph, B.; Mane, D.; Vasudevan, V.; Le, Q.V. AutoAugment: Learning Augmentation Policies from Data. arXiv 2019, arXiv:1805.09501. [Google Scholar]
- Guyonneau, R.; Kirchner, H.; Thorpe, S.J. Animals Roll around the Clock: The Rotation Invariance of Ultrarapid Visual Processing. J. Vis. 2006, 6, 1. [Google Scholar] [CrossRef]
- Biederman, I. Perceiving Real-World Scenes. Science 1972, 177, 77–80. [Google Scholar] [CrossRef]
- Vanmarcke, S.; Van Der Hallen, R.; Evers, K.; Noens, I.; Steyaert, J.; Wagemans, J. Ultra-Rapid Categorization of Meaningful Real-Life Scenes in Adults With and Without ASD. J. Autism Dev. Disord. 2016, 46, 450–466. [Google Scholar] [CrossRef]
- Bogadhi, A.R.; Buonocore, A.; Hafed, Z.M. Task-Irrelevant Visual Forms Facilitate Covert and Overt Spatial Selection. J. Neurosci. Off. J. Soc. Neurosci. 2020, 40, 9496–9506. [Google Scholar] [CrossRef]
- Xu, B.; Kankanhalli, M.S.; Zhao, Q. Ultra-Rapid Object Categorization in Real-World Scenes with Top-down Manipulations. PLoS ONE 2019, 14, e0214444. [Google Scholar] [CrossRef]
- Mehrer, J.; Spoerer, C.J.; Jones, E.C.; Kriegeskorte, N.; Kietzmann, T.C. An Ecologically Motivated Image Dataset for Deep Learning Yields Better Models of Human Vision. Proc. Natl. Acad. Sci. USA 2021, 118, e2011417118. [Google Scholar] [CrossRef]
- Liu, W.; Anguelov, D.; Erhan, D.; Szegedy, C.; Reed, S.; Fu, C.Y.; Berg, A.C. SSD: Single Shot MultiBox Detector. arXiv 2016, 9905, 21–37. [Google Scholar] [CrossRef]
- Ren, S.; He, K.; Girshick, R.; Sun, J. Faster R-CNN: Towards Real-Time Object Detection with Region Proposal Networks. arXiv 2016, arXiv:1506.01497. [Google Scholar] [CrossRef]
- Mishkin, M.; Ungerleider, L. Object Vision and Spatial Vision: Two Cortical Pathways. Trends Neurosci. 1983, 6, 414–417. [Google Scholar] [CrossRef]
- Daucé, E.; Albigès, P.; Perrinet, L.U. A Dual Foveal-Peripheral Visual Processing Model Implements Efficient Saccade Selection. J. Vis. 2020, 20, 22. [Google Scholar] [CrossRef]
- Yarbus, A. Eye Movements during the Examination of Complicated Objects. Biofizika 1961, 6, 52–56. [Google Scholar]
- New, J.; Cosmides, L.; Tooby, J. Category-Specific Attention for Animals Reflects Ancestral Priorities, Not Expertise. Proc. Natl. Acad. Sci. USA 2007, 104, 16598–16603. [Google Scholar] [CrossRef]
- Wiecek, E.; Pasquale, L.; Fiser, J.; Dakin, S.; Bex, P. Effects of Peripheral Visual Field Loss on Eye Movements During Visual Search. Front. Psychol. 2012, 3, 472. [Google Scholar] [CrossRef]
- Jérémie, J.N.; Perrinet, L.U. Online GitHub repository: SpikeAI/2022-09_UltraFastCat: Ultra-fast Categorization of Image Containing Animals in Biology and Neural Models, 2022. Available online: https://github.com/SpikeAI/2022-09_UltraFastCat (accessed on 15 March 2023).











| Dataset Built with Dataset Maker, Synset: Animal | |||||||
|---|---|---|---|---|---|---|---|
| LUT | TLC | TLA | TLDA | TLAA | SLS | ||
| Accuracy | 0.99 | 0.97 | 0.96 | 0.97 | 0.95 | 0.64 | |
| Dataset from Serre et al. [19] | |||||||
| LUT | TLC | TLA | TLDA | TLAA | Serre et al.’s model | Human | |
| Accuracy | 0.95 | 0.94 | 0.92 | 0.91 | 0.88 | 0.84 | 0.80 |
| LUT | TLC | TLA | TLDA | TLAA | |
|---|---|---|---|---|---|
| Vertical flip | |||||
| Accuracy | 0.96 | 0.94 | 0.94 | 0.95 | 0.93 |
| Horizontal flip | |||||
| Accuracy | 0.99 | 0.97 | 0.96 | 0.97 | 0.95 |
| Grayscale filter | |||||
| Accuracy | 0.96 | 0.95 | 0.93 | 0.95 | 0.93 |
| Mean Time (s) | ||||
|---|---|---|---|---|
| Vgg TLAA | Vgg-1 | Vgg-2 | Vgg-3 | Vgg-4 |
| Vgg-5 | Vgg-6 | Vgg-7 | Vgg-8 | Vgg-9 |
| Vgg-10 | Vgg-11 | Vgg-12 | ||
Disclaimer/Publisher’s Note: The statements, opinions and data contained in all publications are solely those of the individual author(s) and contributor(s) and not of MDPI and/or the editor(s). MDPI and/or the editor(s) disclaim responsibility for any injury to people or property resulting from any ideas, methods, instructions or products referred to in the content. |
© 2023 by the authors. Licensee MDPI, Basel, Switzerland. This article is an open access article distributed under the terms and conditions of the Creative Commons Attribution (CC BY) license (https://creativecommons.org/licenses/by/4.0/).
Share and Cite
Jérémie, J.-N.; Perrinet, L.U. Ultrafast Image Categorization in Biology and Neural Models. Vision 2023, 7, 29. https://doi.org/10.3390/vision7020029
Jérémie J-N, Perrinet LU. Ultrafast Image Categorization in Biology and Neural Models. Vision. 2023; 7(2):29. https://doi.org/10.3390/vision7020029
Chicago/Turabian StyleJérémie, Jean-Nicolas, and Laurent U. Perrinet. 2023. "Ultrafast Image Categorization in Biology and Neural Models" Vision 7, no. 2: 29. https://doi.org/10.3390/vision7020029
APA StyleJérémie, J.-N., & Perrinet, L. U. (2023). Ultrafast Image Categorization in Biology and Neural Models. Vision, 7(2), 29. https://doi.org/10.3390/vision7020029

