Can We Improve the Functional Threshold Power Test by Adding High-Intensity Priming Arm-Crank?
Abstract
:1. Introduction
2. Materials and Methods
2.1. Participants
2.2. Experimental Overview
2.3. Incremental Test
2.4. Experimental Tests
2.5. Statistical Analyses
3. Results
3.1. Self-Paced Finish
3.2. Blood Lactate Concentration
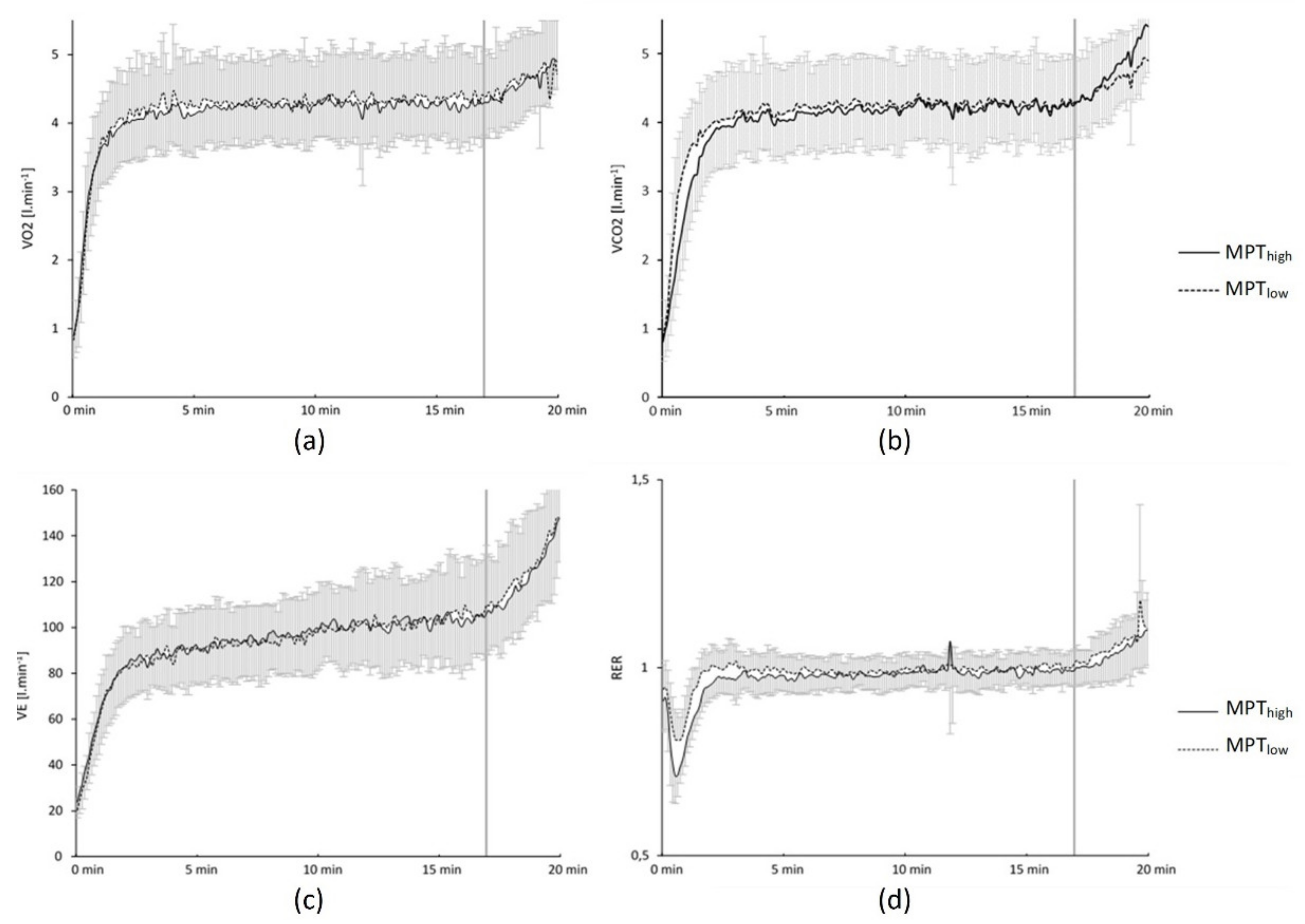
3.3. Spirometry
3.4. Perceived Exertion
4. Discussion
5. Conclusions
Author Contributions
Funding
Institutional Review Board Statement
Informed Consent Statement
Data Availability Statement
Conflicts of Interest
References
- McGowan, C.J.; Pyne, D.B.; Thompson, K.G.; Rattray, B. Warm-Up Strategies for Sport and Exercise: Mechanisms and Applications. Sports Med. Auckl. N. Z. 2015, 45, 1523–1546. [Google Scholar] [CrossRef] [PubMed]
- Hodgson, M.; Docherty, D.; Robbins, D. Post-Activation Potentiation: Underlying Physiology and Implications for Motor Performance. Sports Med. 2005, 35, 585–595. [Google Scholar] [CrossRef]
- Seitz, L.B.; Haff, G.G. Factors Modulating Post-Activation Potentiation of Jump, Sprint, Throw, and Upper-Body Ballistic Performances: A Systematic Review with Meta-Analysis. Sports Med. 2016, 46, 231–240. [Google Scholar] [CrossRef]
- Müller, A.; Tschakert, G.; Moser, O.; Gröschl, W.; Hofmann, P. High-Intensity Exercise Warm-up, Inhibition of Glycolysis, and Its Practical Consequences. Sci. Ski. IV 2013, 4, 224–230. [Google Scholar]
- Birnbaumer, P.; Müller, A.; Tschakert, G.; Sattler, M.C.; Hofmann, P. Performance Enhancing Effect of Metabolic Pre-Conditioning on Upper-Body Strength-Endurance Exercise. Front. Physiol. 2018, 9, 963. [Google Scholar] [CrossRef] [PubMed] [Green Version]
- Bogdanis, G.C.; Nevill, M.E.; Lakomy, H.K. Effects of Previous Dynamic Arm Exercise on Power Output during Repeated Maximal Sprint Cycling. J. Sports Sci. 1994, 12, 363–370. [Google Scholar] [CrossRef] [PubMed]
- Bohnert, B.; Ward, S.A.; Whipp, B.J. Effects of Prior Arm Exercise on Pulmonary Gas Exchange Kinetics during High-Intensity Leg Exercise in Humans. Exp. Physiol. 1998, 83, 557–570. [Google Scholar] [CrossRef]
- Burnley, M.; Doust, J.H.; Jones, A.M. Time Required for the Restoration of Normal Heavy Exercise VO2 Kinetics Following Prior Heavy Exercise. J. Appl. Physiol. 2006, 101, 1320–1327. [Google Scholar] [CrossRef] [PubMed] [Green Version]
- Purge, P.; Hofmann, P.; Merisaar, R.; Mueller, A.; Tschakert, G.; Mäestu, J.; Jürimäe, J. The Effect of Upper Body Anaerobic Pre-Loading on 2000-m Ergometer-Rowing Performance in College Level Male Rowers. J. Sports Sci. Med. 2017, 16, 264–271. [Google Scholar]
- Valiulin, D.; Purge, P.; Hofmann, P.; Mäestu, J.; Jürimäe, J. Effect of Short-Duration High-Intensity Upper-Body Pre-Load Component on Performance among High-Level Cyclists. Sci. Sports 2021. under review. [Google Scholar]
- Ghosh, A.K. Anaerobic Threshold: Its Concept and Role in Endurance Sport. Malays. J. Med. Sci. 2004, 11, 24–36. [Google Scholar]
- Morgan, D.W.; Baldini, F.D.; Martin, P.E.; Kohrt, W.M. Ten Kilometer Performance and Predicted Velocity at VO2max among Well-Trained Male Runners. Med. Sci. Sports Exerc. 1989, 21, 78–83. [Google Scholar] [CrossRef] [PubMed]
- Allen, W.K.; Seals, D.R.; Hurley, B.F.; Ehsani, A.A.; Hagberg, J.M. Lactate Threshold and Distance-Running Performance in Young and Older Endurance Athletes. J. Appl. Physiol. 1985, 58, 1281–1284. [Google Scholar] [CrossRef]
- Tschakert, G.; Hofmann, P. High-Intensity Intermittent Exercise: Methodological and Physiological Aspects. Int. J. Sports Physiol. Perform. 2013, 8, 600–610. [Google Scholar] [CrossRef] [PubMed] [Green Version]
- Bacon, A.P.; Carter, R.E.; Ogle, E.A.; Joyner, M.J. VO2max Trainability and High Intensity Interval Training in Humans: A Meta-Analysis. PLoS ONE 2013, 8, e73182. [Google Scholar] [CrossRef] [PubMed]
- Gavin, T.P.; Van Meter, J.B.; Brophy, P.M.; Dubis, G.S.; Potts, K.N.; Hickner, R.C. Comparison of a Field-Based Test to Estimate Functional Threshold Power and Power Output at Lactate Threshold. J. Strength Cond. Res. 2012, 26, 416–421. [Google Scholar] [CrossRef] [PubMed]
- Morgan, P.T.; Black, M.I.; Bailey, S.J.; Jones, A.M.; Vanhatalo, A. Road Cycle TT Performance: Relationship to the Power-Duration Model and Association with FTP. J. Sports Sci. 2018, 37, 902–910. [Google Scholar] [CrossRef] [Green Version]
- Jones, A.M.; Burnley, M.; Black, M.I.; Poole, D.C.; Vanhatalo, A. The Maximal Metabolic Steady State: Redefining the ‘Gold Standard’. Physiol. Rep. 2019, 7, e14098. [Google Scholar] [CrossRef] [PubMed] [Green Version]
- Bailey, S.J.; Vanhatalo, A.; Wilkerson, D.P.; Dimenna, F.J.; Jones, A.M. Optimizing the “Priming” Effect: Influence of Prior Exercise Intensity and Recovery Duration on O2 Uptake Kinetics and Severe-Intensity Exercise Tolerance. J. Appl. Physiol. 2009, 107, 1743–1756. [Google Scholar] [CrossRef] [Green Version]
- Burnley, M.; Davison, G.; Baker, J.R. Effects of Priming Exercise on VO2 Kinetics and the Power-Duration Relationship. Med. Sci. Sports Exerc. 2011, 43, 2171–2179. [Google Scholar] [CrossRef] [PubMed]
- Denham, J.; Scott-Hamilton, J.; Hagstrom, A.D.; Gray, A.J. Cycling Power Outputs Predict Functional Threshold Power And Maximum Oxygen Uptake. J. Strength Cond. Res. 2020, 34, 3489–3497. [Google Scholar] [CrossRef] [PubMed]
- Sørensen, A.; Aune, T.K.; Rangul, V.; Dalen, T. The Validity of Functional Threshold Power and Maximal Oxygen Uptake for Cycling Performance in Moderately Trained Cyclists. Sports 2019, 7, 217. [Google Scholar] [CrossRef] [PubMed] [Green Version]
- Borg, G. Subjective Aspects of Physical and Mental Load. Ergonomics 1978, 21, 215–220. [Google Scholar] [CrossRef]
- Mukaka, M. A Guide to Appropriate Use of Correlation Coefficient in Medical Research. Malawi Med. J. 2012, 24, 69–71. [Google Scholar] [PubMed]
- Cohen, J. Statistical Power Analysis for the Behavioral Sciences, 2nd ed.; Lawrence Erlbaum Associates: New York, NY, USA, 1988. [Google Scholar]
- Ferguson, C.J. An Effect Size Primer: A Guide for Clinicians and Researchers. Prof. Psychol. Res. Pract. 2009, 40, 532–538. [Google Scholar] [CrossRef] [Green Version]
- Jones, A.M.; Wilkerson, D.P.; Burnley, M.; Koppo, K. Prior Heavy Exercise Enhances Performance during Subsequent Perimaximal Exercise. Med. Sci. Sports Exerc. 2003, 35, 2085–2092. [Google Scholar] [CrossRef] [PubMed]
- Baker, J.S.; McCormick, M.C.; Robergs, R.A. Interaction among Skeletal Muscle Metabolic Energy Systems during Intense Exercise. J. Nutr. Metab. 2010, 2010, 905612. [Google Scholar] [CrossRef] [PubMed] [Green Version]
- Gerbino, A.; Ward, S.A.; Whipp, B.J. Effects of Prior Exercise on Pulmonary Gas-Exchange Kinetics during High-Intensity Exercise in Humans. J. Appl. Physiol. 1996, 80, 99–107. [Google Scholar] [CrossRef] [PubMed]
- Carter, H.; Grice, Y.; Dekerle, J.; Brickley, G.; Hammond, A.J.P.; Pringle, J.S.M. Effect of Prior Exercise above and below Critical Power on Exercise to Exhaustion. Med. Sci. Sports Exerc. 2005, 37, 775–781. [Google Scholar] [CrossRef] [PubMed]





| Characteristic | Mean ± SD |
|---|---|
| Age (years) | 18.8 ± 0.9 |
| Height (m) | 1.8 ± 0.0 |
| Weight (kg) | 73.0 ± 6.6 |
| Total lean mass (kg) | 57.5 ± 4.9 |
| Leg lean mass (kg) | 20.8 ± 2.1 |
| BMI (kg·m−2) | 22.0 ± 1.9 |
| V˙O2max (mL·kg−1·min−1) | 67.9 ± 5.1 |
| V˙O2max (L·min−1) | 5.0 ± 0.6 |
| Pmax (W) | 369.0 ± 47.9 |
| Ventilatory threshold VT1 (W) | 181.4 ± 43.3 |
| Ventilatory threshold VT2 (W) | 295.6 ± 39.9 |
| Stage | Parameter | MPTlow | MPThigh | p-Value | Effect Size (95% CI) |
|---|---|---|---|---|---|
| Warm-up | Mean power (W·kg−1) | 147.6 ± 19.1 | 147.6 ± 19.1 | ||
| Recovery time (s) | 813 ± 138 | 958 ± 226 | 0.011 * | 0.94 (41.7 to 249.2) | |
| Before start | V˙O2 (L·min−1) | 0.6 ± 0.1 | 0.6 ± 0.1 | 0.640 | 0.14 (−0.1 to 0.2) |
| V˙CO2 (L·min−1) | 0.5 ± 0.1 | 0.5 ± 0.1 | 0.955 | 0.02 (−0.1 to 0.1) | |
| [La] (mmol·L−1) | 1.1 ± 0.4 | 5.6 ± 1.7 | < 0.001 ** | 2.67 (3.4 to 5.7) | |
| MPT 5′ | V˙O2 (L·min−1) | 3.7 ± 0.6 | 3.7 ± 0.5 | 0.434 | 0.25 (−0.1 to 0.3) |
| V˙CO2 (L·min−1) | 3.9 ± 0.8 | 3.4 ± 0.5 | 0.098 | 0.55 (−0.1 to 1.1) | |
| [La] (mmol·L−1) | 5.2 ± 0.8 | 6.8 ± 1.1 | < 0.001 ** | 1.55 (0.9 to 2.4) | |
| Net [La] increase (mmol·L−1) | 4.0 ± 0.8 | 1.2 ± 0.7 | < 0.001 ** | 1.72 (1.7 to 4.0) | |
| MPT 10′ | V˙O2 (L·min−1) | 4.3 ± 0.6 | 4.2 ± 0.5 | 0.580 | 0.17 (−0.1 to 0.2) |
| V˙CO2 (L·min−1) | 4.2 ± 0.6 | 4.2 ± 0.5 | 0.413 | 0.26 (−0.1 to 0.3) | |
| [La] (mmol·L−1) | 6.2 ± 1.1 | 6.6 ± 1.8 | 0.191 | 0.42 (−0.3 to 1.2) | |
| Net [La] increase (mmol·L−1) | 1.2 ± 0.2 | −0.2 ± 1.6 | 0.011 * | 0.93 (0.4 to 2.4) | |
| MPT 15′ | V˙O2 (L·min−1) | 4.3 ± 0.7 | 4.3 ± 0.5 | 0.451 | 0.23 (−0.1 to 0.3) |
| V˙CO2 (L·min−1) | 4.3 ± 0.7 | 4.2 ± 0.5 | 0.331 | 0.31 (−0.1 to 0.3) | |
| [La] (mmol·L−1) | 6.6 ± 1.5 | 6.9 ± 2.1 | 0.530 | 0.20 (−0.7 to 1.3) | |
| Net [La] increase (mmol·L−1) | 0.4 ± 0.8 | 0.2 ± 0.9 | 0.713 | 0.11 (−0.8 to 1.1) | |
| MPT 20′ | V˙O2 (L·min−1) | 4.6 ± 0.6 | 4.6 ± 0.5 | 0.804 | 0.08 (−0.2 to 0.3) |
| V˙CO2 (L·min−1) | 4.9 ± 0.6 | 4.8 ± 0.6 | 0.456 | 0.23 (−0.2 to 0.4) | |
| [La] (mmol·L−1) | 11.6 ± 2.7 | 9.8 ± 3.4 | 0.073 | 0.60 (−0.2 to 3.8) | |
| Net [La] increase (mmol·L−1) | 5.0 ± 2.1 | 2.9 ± 2.3 | 0.015 * | 0.88 (0.5 to 3.7) | |
| Performance | Average powersteady (W·kg−1) | 4.2 ± 0.5 | 4.2 ± 0.5 | ||
| Average powerall-out (W·kg−1) | 4.94 ± 0.27 | 4.85 ± 0.39 | 0.308 | 0.32 (0.1 to 0.3) | |
| [Lanet] (mmol·L−1) | 10.8 ± 2.9 | 5.4 ± 2.6 | < 0.001 ** | 2.16 (−7.1 to−3.7) | |
| [Lamax] (mmol·L−1) | 11.9 ± 2.8 | 11.1 ± 2.7 | 0.200 | 0.41 (−0.5 to 2.3) |
Publisher’s Note: MDPI stays neutral with regard to jurisdictional claims in published maps and institutional affiliations. |
© 2021 by the authors. Licensee MDPI, Basel, Switzerland. This article is an open access article distributed under the terms and conditions of the Creative Commons Attribution (CC BY) license (https://creativecommons.org/licenses/by/4.0/).
Share and Cite
Valiulin, D.; Purge, P.; Hofmann, P.; Mäestu, J.; Jürimäe, J. Can We Improve the Functional Threshold Power Test by Adding High-Intensity Priming Arm-Crank? J. Funct. Morphol. Kinesiol. 2021, 6, 88. https://doi.org/10.3390/jfmk6040088
Valiulin D, Purge P, Hofmann P, Mäestu J, Jürimäe J. Can We Improve the Functional Threshold Power Test by Adding High-Intensity Priming Arm-Crank? Journal of Functional Morphology and Kinesiology. 2021; 6(4):88. https://doi.org/10.3390/jfmk6040088
Chicago/Turabian StyleValiulin, Dmitri, Priit Purge, Peter Hofmann, Jarek Mäestu, and Jaak Jürimäe. 2021. "Can We Improve the Functional Threshold Power Test by Adding High-Intensity Priming Arm-Crank?" Journal of Functional Morphology and Kinesiology 6, no. 4: 88. https://doi.org/10.3390/jfmk6040088
APA StyleValiulin, D., Purge, P., Hofmann, P., Mäestu, J., & Jürimäe, J. (2021). Can We Improve the Functional Threshold Power Test by Adding High-Intensity Priming Arm-Crank? Journal of Functional Morphology and Kinesiology, 6(4), 88. https://doi.org/10.3390/jfmk6040088

