Effectiveness of On-Court Resistive Warm-Ups on Change of Direction Speed and Smash Velocity during a Simulated Badminton Match Play in Well-Trained Players
Abstract
:1. Introduction
2. Materials and Methods
2.1. Participants
2.2. Experimental Approach
2.3. Warm-Up Protocols
2.4. Simulated Match Play
2.5. Change of Direction Speed and Smash Velocity
2.6. Statistical Analysis
3. Results
4. Discussion
5. Conclusions
6. Practical Implications
Author Contributions
Funding
Institutional Review Board Statement
Informed Consent Statement
Data Availability Statement
Acknowledgments
Conflicts of Interest
References
- Phomsoupha, M.; Laffaye, G. The science of badminton: Game characteristics, anthropometry, physiology, visual fitness and biomechanics. Sports Med. 2014, 45, 473–495. [Google Scholar] [CrossRef]
- Hughes, M.G.; Cosgrove, M. Badminton. In Sport and Exercise Physiology Testing Guidelines: The British Association of Sport and Exercise Science Guide; Winter, E.M., Jones, A.M., Davison, R.C., Bromley, P.D., Mercer, T.M., Eds.; Routledge: London, UK, 2006; pp. 214–219. [Google Scholar]
- Sturgess, S.; Newton, R.U. Design and implementation of a specific strength program for badminton. Strength Cond. J. 2008, 30, 34–41. [Google Scholar] [CrossRef] [Green Version]
- Tiwari, L.M.; Rai, V.; Srinet, S. Relationship of selected motor fitness components with the performance of badminton player. Asian J. Phys. Educ. Comput. Sci. Sports 2011, 5, 88–91. [Google Scholar]
- Chang, T.K.; Chan, K.Y.; Spowage, A.C. Local sensor system for badminton smash analysis. In Proceedings of the 2009 IEEE Intrumentation and Measurement Technology Conference, Singapore, 5–7 May 2009. [Google Scholar] [CrossRef]
- Bishop, D. Warm up II. Sports Med. 2003, 33, 483–498. [Google Scholar] [CrossRef]
- Kilduff, L.; Finn, C.; Baker, J.; Cook, C.; West, D. Preconditioning strategies to enhance physical performance on the day of competition. Int. J. Sports Physiol. Perform. 2013, 8, 677–681. [Google Scholar] [CrossRef]
- Tillin, N.; Bishop, D. Factors modulating post-activation potentiation and its effect on performance of subsequent explosive activities. Sports Med. 2009, 39, 147–166. [Google Scholar] [CrossRef]
- Sale, D. Postactivation potentiation: Role in human performance. Exerc. Sport Sci. Rev. 2002, 30, 138–143. [Google Scholar] [CrossRef] [PubMed]
- Cuenca-Fernández, F.; Smith, I.; Jordan, M.; MacIntosh, B.; López-Contreras, G.; Arellano, R.; Herzog, W. Nonlocalized postactivation performance enhancement (PAPE) effects in trained athletes: A pilot study. Appl. Physiol. Nutr. Metab. 2017, 42, 1122–1125. [Google Scholar] [CrossRef] [PubMed]
- Blazevich, A.; Babault, N. Post-activation potentiation versus post-activation performance enhancement in humans: Historical perspective, underlying mechanisms, and current issues. Front. Physiol. 2019, 10, 1359. [Google Scholar] [CrossRef] [PubMed] [Green Version]
- Zois, J.; Bishop, D.; Ball, K.; Aughey, R. High-intensity warm-ups elicit superior performance to a current soccer warm-up routine. J. Sci. Med. Sport 2011, 14, 522–528. [Google Scholar] [CrossRef]
- Aandahl, H.; Von Heimburg, E.; Van den Tillaar, R. Effect of postactivation potentiation induced by elastic resistance on kinematics and performance in a roundhouse kick of trained martial arts practitioners. J. Strength Cond. Res. 2018, 32, 990–996. [Google Scholar] [CrossRef] [Green Version]
- Lum, D. Effects of various warm-up protocol on special Judo fitness test performance. J. Strength Cond. Res. 2019, 33, 459–465. [Google Scholar] [CrossRef]
- Maloney, S.; Turner, A.; Miller, S. Acute effects of a loaded warm-up protocol on change of direction speed in professional badminton players. J. Appl. Biomech. 2014, 30, 637–642. [Google Scholar] [CrossRef] [PubMed]
- Thompsen, A.; Kackley, T.; Palumbo, M.; Faigenbaum, A. Acute effects of different warm-up protocols with and without a weighted vest on jumping performance in athletic women. J. Strength Cond. Res. 2007, 21, 52–56. [Google Scholar] [CrossRef] [PubMed]
- Lum, D.; Chen, S.E. Comparison of loaded countermovement jump with different variable resistance intensities on inducing post-activation potentiation. J. Sci. Sport Exerc. 2020, 2, 167–172. [Google Scholar] [CrossRef] [Green Version]
- Phomsoupha, M.; Berger, Q.; Laffaye, G. Multiple repeated sprint ability test for badminton players involving four changes of direction: Validity and Reliability (part 1). J. Strength Cond. Res. 2018, 32, 423–431. [Google Scholar] [CrossRef] [PubMed]
- Phomsoupha, M.; Laffaye, G. Shuttlecock velocity during a smash stroke in badminton evolves linearly with skill level. Comput. Methods Biomech. Biomed. Eng. 2014, 17 (Suppl. S1), 140–141. [Google Scholar] [CrossRef]
- Lachenbruch, P.; Cohen, J. Statistical power analysis for the behavioral sciences (2nd ed.). J. Am. Stat. Assoc. 1989, 84, 1096. [Google Scholar] [CrossRef]
- Hedges, L.V. Distribution theory for glass’s estimator of effect size and related estimators. J. Educ. Stat. 1981, 6, 107. [Google Scholar] [CrossRef]
- Hopkins, W.G. Measures of reliability in sports medicine and science. Sports Med. 2000, 30, 1–15. [Google Scholar] [CrossRef] [Green Version]
- Turki, O.; Dhahbi, W.; Gueid, S.; Hmaied, S.; Souaifi, M.; Khalifa, R. Dynamic warm-up with a weighted vest: Improvement of repeated change-of-direction performance in young male soccer layers. Int. J. Sports Physiol. Perform. 2020, 15, 196–203. [Google Scholar] [CrossRef]
- Reiman, M.; Peintner, A.; Boehner, A.; Cameron, C.; Murphy, J.; Carter, J. Effects of dynamic warm-up with and without a weighted vest on lower extremity power performance of high school male athletes. J. Strength Cond. Res. 2010, 24, 3387–3395. [Google Scholar] [CrossRef] [Green Version]
- Barreira, J.; Chiminazzo, J.G.C.; Fernandes, P.T. Analysis of point difference established by winners and losers in games of badminton. Int. J. Perform. Anal. Sport 2016, 16, 687–694. [Google Scholar] [CrossRef]
- Ariff, H.M.; Rambely, A.S. Determination of torques at upper limb joints during jumping in badminton smash via Kane’s method. In Proceedings of the 26th International Conference of Biomechanics in Sports, Seoul, Korea, 14–18 July 2008; Kwon, Y.H., Shim, J., Shim, J.K., Shin, I.S., Eds.; pp. 73–76. [Google Scholar]
- Ramasamy, Y.; Usman, J.; Sundar, V. Ground reaction force and kinematics of forehand jumping smash among elite Malaysian badminton players. ISBS Proc. Arch. 2019, 37, 173. [Google Scholar]
- Li, S.; Zhang, Z.; Wan, B.; Wilde, B.; Shan, G. The relevance of body positioning and its training effect on badminton smash. J. Sports Sci. 2016, 35, 310–316. [Google Scholar] [CrossRef] [PubMed]
- Badminton World Federation. Level 2—BWF Development. Retrieved 2 June 2021. Available online: https://development.bwfbadminton.com/coaches/level-2 (accessed on 2 June 2021).
- Abian-Vicen, J.; Castanedo, A.; Abian, P.; Gonzalez-Millan, C.; Salinero, J.J.; Coso, J.D. Influence of successive badminton matches on muscle strength, power, and body-fluid balance in elite players. Int. J. Sports Physiol. Perform. 2014, 9, 689–694. [Google Scholar] [CrossRef] [PubMed]
- Abián, P.; Coso, J.D.; Salinero, J.J.; Gallo-Salazar, C.; Areces, F.; Ruiz-Vicente, D.; Abián-Vicén, J. Muscle damage produced during a simulated badminton match in competitive male players. Res. Sports Med. 2015, 24, 104–117. [Google Scholar] [CrossRef] [PubMed]
- Girard, O.; Brocherie, F.; Ihsan, M. Does ischemic pre-conditioning during the recovery period between two successive matches preserve physical performance in badminton doubles players? Int. J. Racket Sports Sci. 2020, 2, 1–8. [Google Scholar]
- Harris, R.C.; Edwards, R.H.; Hultman, E.; Nordesjo, L.O.; Nylind, B.; Sahlin, K. The time course of phosphorylcreatine resynthesis during recovery of the quadriceps muscle in man. Pflug. Arch. Eur. J. Physiol. 1976, 367, 137–142. [Google Scholar] [CrossRef] [PubMed]
- Newton, R.; Murphy, A.; Humphries, B.; Wilson, G.; Kraemer, W.; Häkkinen, K. Influence of load and stretch shortening cycle on the kinematics, kinetics and muscle activation that occurs during explosive upper-body movements. Eur. J. Appl. Physiol. 1997, 75, 333–342. [Google Scholar] [CrossRef]
- Gabbett, T.; Jenkins, D.; Abernethy, B. Relative importance of physiological, anthropometric, and skill qualities to team selection in professional rugby league. J. Sports Sci. 2011, 29, 1453–1461. [Google Scholar] [CrossRef] [PubMed]
- Paterson, S.; McMaster, D.T.; Cronin, J. Assessing change of direction ability in badminton athletes. Strength Cond. J. 2016, 38, 18–30. [Google Scholar] [CrossRef] [Green Version]





| Phases | Exercises | Repetitions/Distance |
|---|---|---|
| General mobility— Exercises 1 to 6 Dynamic stretching and activation— Exercises 7 to 19 Sport-specific plyometric— Exercises 20 to 24 |
| 4 × 10 m 4 × 10 m 4 × 10 m 2 × 10 m 2 × 10 m 2 × 10 m 2 × 10 m 2 × 10 m 2 × 10 m 2 × 10 m 2 × 10 m 5 reps per leg 10 reps per leg 10 reps per leg 5 reps per leg 10 reps 10 reps 10 reps 1 × 10 m 2 × 5 reps 2 × 5 reps 5 reps 3 reps per leg 2 × 2 rounds |
| Warm-Up Conditions | |||
|---|---|---|---|
| CON | WWR | BVR | |
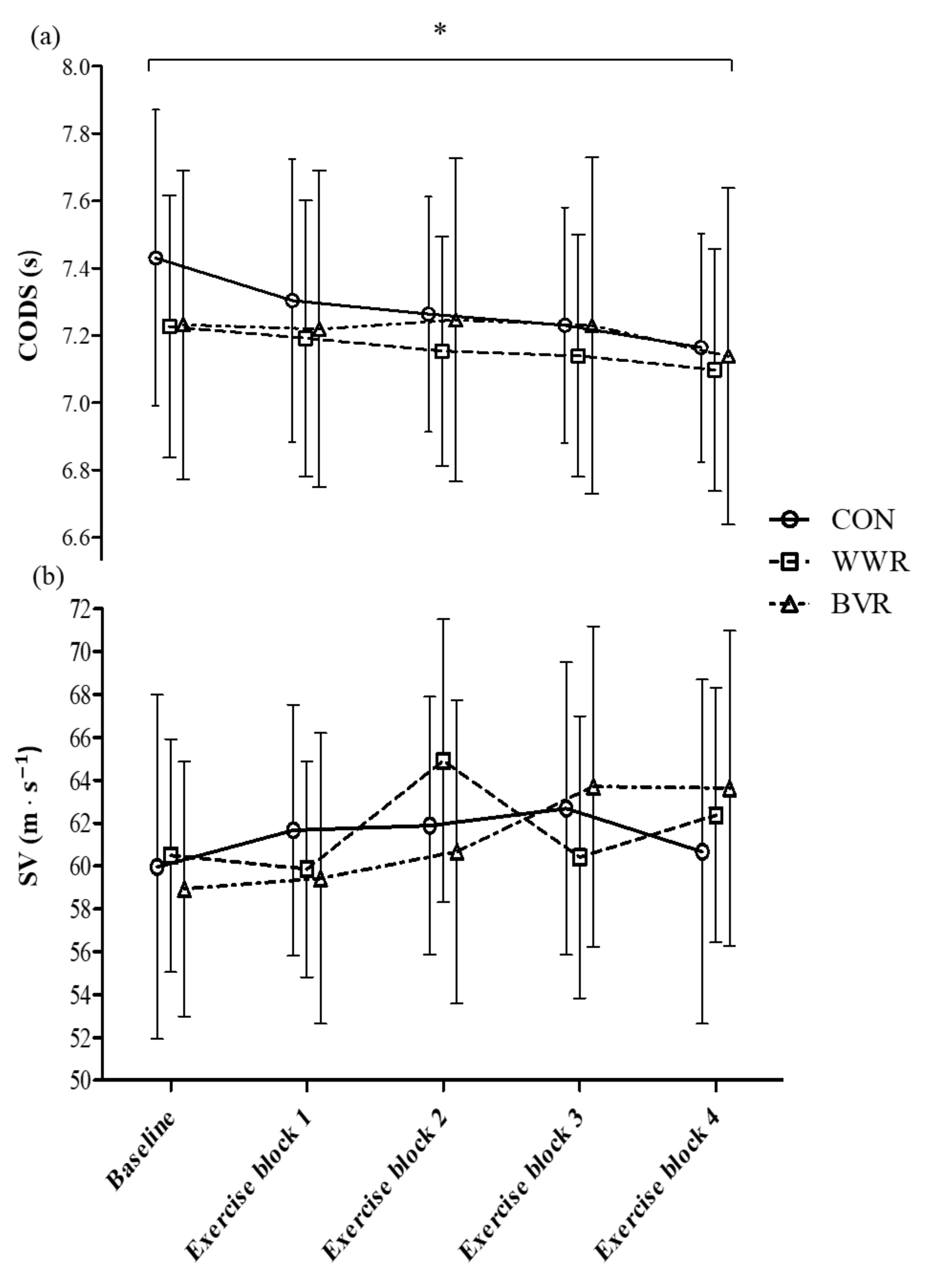
| Change of direction speed, CODS (s) | |||
| Baseline | 7.43 ± 0.44 | 7.23 ± 0.39 | 7.23 ± 0.46 |
| Exercise block 1 | 7.30 ± 0.42 | 7.19 ± 0.41 | 7.22 ± 0.47 |
| Exercise block 2 | 7.26 ± 0.35 | 7.15 ± 0.34 | 7.26 ± 0.48 |
| Exercise block 3 | 7.23 ± 0.35 | 7.14 ± 0.36 | 7.23 ± 0.50 |
| Exercise block 4 | 7.16 ± 0.34 | 7.10 ± 0.36 | 7.15 ± 0.50 |
| Mean (of exercise blocks 1 to 4) | 7.24 ± 0.38 | 7.14 ± 0.38 | 7.21 ± 0.52 |
| Mean (of all five timepoints) * | 7.28 ± 0.38 | 7.16 ± 0.37 | 7.21 ± 0.48 |
| Smash velocity, SV () | |||
| Baseline | 60.0 ± 8.0 | 60.5 ± 5.4 | 58.9 ± 6.0 |
| Exercise block 1 | 61.7 ± 5.9 | 59.9 ± 5.0 | 59.4 ± 6.8 |
| Exercise block 2 | 61.9 ± 6.0 | 64.9 ± 6.6 | 60.7 ± 7.1 |
| Exercise block 3 | 62.7 ± 6.8 | 60.4 ± 6.6 | 63.7 ± 7.5 |
| Exercise block 4 | 60.7 ± 8.0 | 62.6 ± 6.0 | 63.6 ± 7.4 |
| Mean (of exercise blocks 1 to 4) | 61.5 ± 6.2 | 62.0 ± 5.3 | 61.6 ± 6.7 |
| Mean (of all five timepoints) * | 61.4 ± 4.0 | 61.6 ± 6.0 | 61.3 ± 7.0 |
Publisher’s Note: MDPI stays neutral with regard to jurisdictional claims in published maps and institutional affiliations. |
© 2021 by the authors. Licensee MDPI, Basel, Switzerland. This article is an open access article distributed under the terms and conditions of the Creative Commons Attribution (CC BY) license (https://creativecommons.org/licenses/by/4.0/).
Share and Cite
Chua, M.T.; Chow, K.M.; Lum, D.; Tay, A.W.H.; Goh, W.X.; Ihsan, M.; Aziz, A.R. Effectiveness of On-Court Resistive Warm-Ups on Change of Direction Speed and Smash Velocity during a Simulated Badminton Match Play in Well-Trained Players. J. Funct. Morphol. Kinesiol. 2021, 6, 81. https://doi.org/10.3390/jfmk6040081
Chua MT, Chow KM, Lum D, Tay AWH, Goh WX, Ihsan M, Aziz AR. Effectiveness of On-Court Resistive Warm-Ups on Change of Direction Speed and Smash Velocity during a Simulated Badminton Match Play in Well-Trained Players. Journal of Functional Morphology and Kinesiology. 2021; 6(4):81. https://doi.org/10.3390/jfmk6040081
Chicago/Turabian StyleChua, Man Tong, Kin Ming Chow, Danny Lum, Andrew Wei Han Tay, Wan Xiu Goh, Mohammed Ihsan, and Abdul Rashid Aziz. 2021. "Effectiveness of On-Court Resistive Warm-Ups on Change of Direction Speed and Smash Velocity during a Simulated Badminton Match Play in Well-Trained Players" Journal of Functional Morphology and Kinesiology 6, no. 4: 81. https://doi.org/10.3390/jfmk6040081
APA StyleChua, M. T., Chow, K. M., Lum, D., Tay, A. W. H., Goh, W. X., Ihsan, M., & Aziz, A. R. (2021). Effectiveness of On-Court Resistive Warm-Ups on Change of Direction Speed and Smash Velocity during a Simulated Badminton Match Play in Well-Trained Players. Journal of Functional Morphology and Kinesiology, 6(4), 81. https://doi.org/10.3390/jfmk6040081

