Medium- and Long-Term Effectiveness of Custom Insoles for Cavus Foot: A Surface Electromyography Study
Abstract
1. Introduction
2. Materials and Methods
2.1. Study Design and Participant Recruitment
- •
- Sex and age: Male and female participants over 18 years old.
- •
- Condition: Diagnosis of cavus feet, confirmed through pressure platform analysis and visual inspection of elevated plantar arches during a biomechanical assessment [29].
- •
- Health: No presence of conditions that could influence the structures under evaluation in the study, such as peripheral and central nervous system neuropathies, polymyositis, poliomyelitis, muscular dystrophy, herniated disc, myasthenia gravis, Guillain-Barré syndrome, Charcot-Marie-Tooth disease, amyotrophic lateral sclerosis, or multiple sclerosis.
- •
- Footwear: Consistent use of the same participant’s personal casual walking footwear during all evaluation sessions.
- •
- Treatment adherence: Wearing the treatment for more than 5 days/week and for at least 8 h/day.
2.2. Assessment of Treatment Effectiveness Through Muscle Electrical Activity During Gait
- •
- First assessment: After 36.7 ± 9.7 days of treatment use, muscle electrical activity was assessed under two conditions: First, footwear without insoles and second, footwear with insoles.
- •
- Second assessment: After 162.2 ± 42.3 days of treatment use, muscle electrical activity was assessed under the same two conditions: First, footwear without insoles and second, footwear with insoles.
2.3. Assessment of Sociodemographic and Health Factors
2.4. Statistical Analysis
3. Results
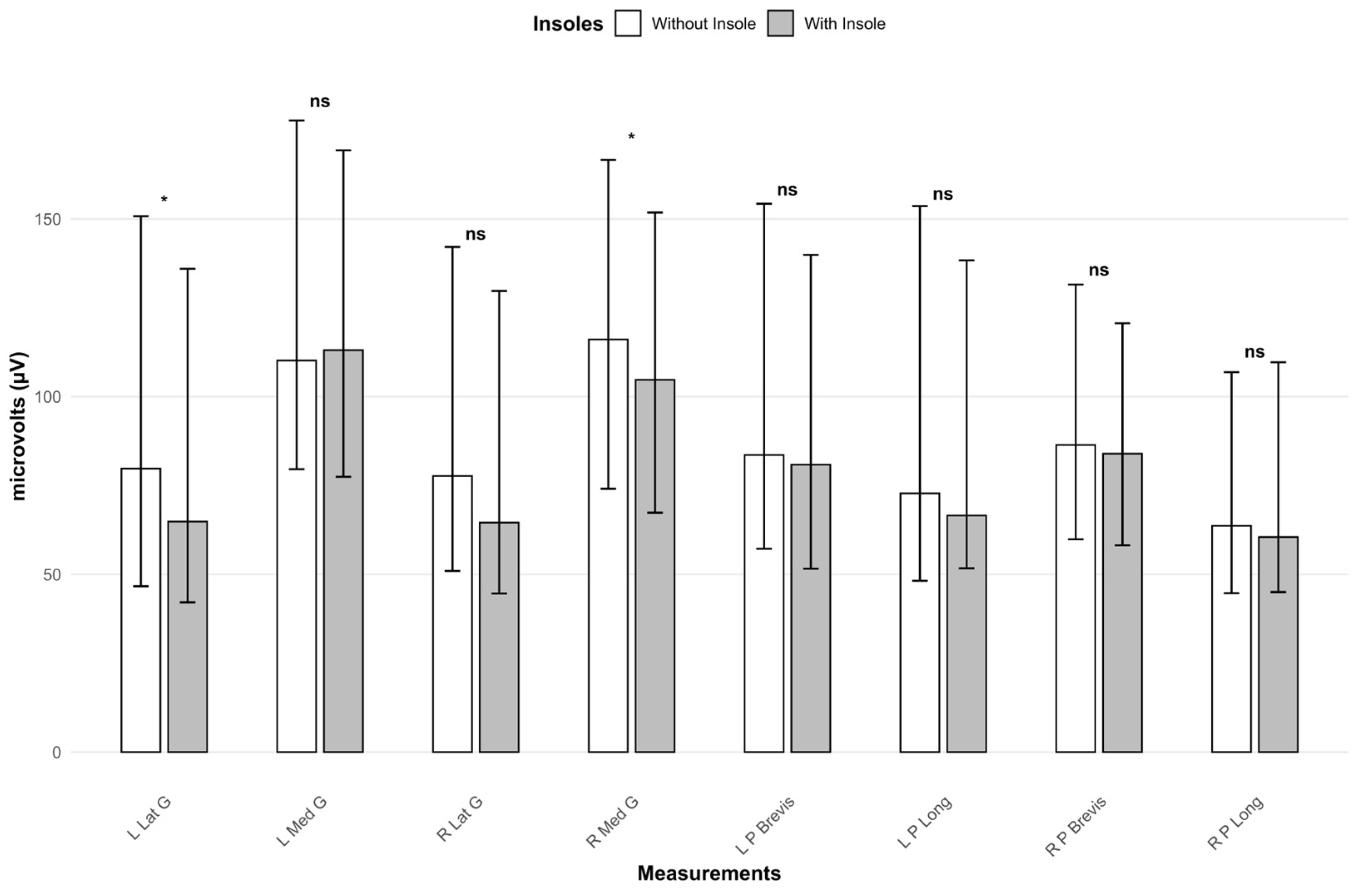
3.1. Medium Term Effectiveness of the Treatment
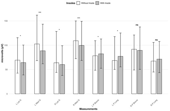
3.2. Long Term Effectiveness of the Treatment
3.3. Electrical Activity Evolution Without Treatment
4. Discussion
5. Conclusions
Author Contributions
Funding
Institutional Review Board Statement
Informed Consent Statement
Data Availability Statement
Acknowledgments
Conflicts of Interest
Abbreviations
| sEMG | Surface electromyography |
| CEICA | Ethics Committee of Aragón |
| L Lat G | Left lateral gastrocnemius |
| L Med G | Left medial gastrocnemius |
| R Lat G | Right lateral gastrocnemius |
| R Med G | Right medial gastrocnemius |
| L P Brevis | Left peroneus brevis |
| L P Long | Left peroneus longus |
| R P Brevis | Right peroneus brevis |
| R P Long | Right peroneus longus |
| ANOVA | Analysis of variance |
| AT | Achilles tendinopathy |
References
- Delagoutte, J.-P. Pies cavos, etiopatogenia y enfoque terapéutico. EMC Apar. Locomot. 2014, 47, 1–10. [Google Scholar] [CrossRef]
- Troiano, G.; Nante, N.; Citarelli, G.L. Pes planus and pes cavus in Southern Italy: A 5 years study. Ann. Ist. Super. Sanità 2017, 53, 142–145. [Google Scholar] [CrossRef]
- Harrasser, N.; Lenze, F.; Hamel, J. Ballenhohlfuß. Orthopäde 2021, 50, 75–85. [Google Scholar] [CrossRef]
- Nogueira, M.P.; Farcetta, F.; Zuccon, A. Cavus Foot. Foot Ankle Clin. 2015, 20, 645–656. [Google Scholar] [CrossRef]
- Qin, B.; Wu, S.; Zhang, H. Evaluation and Management of Cavus Foot in Adults: A Narrative Review. J. Clin. Med. 2022, 11, 3679. [Google Scholar] [CrossRef]
- Röhrle, O.; Yavuz, U.Ş.; Klotz, T.; Negro, F.; Heidlauf, T. Multiscale modeling of the neuromuscular system: Coupling neurophysiology and skeletal muscle mechanics. WIREs Syst. Biol. Med. 2019, 11, e1457. [Google Scholar] [CrossRef] [PubMed]
- Manoli, A.; Graham, B. The Subtle Cavus Foot, “the Underpronator,” a Review. Foot Ankle Int. 2005, 26, 256–263. [Google Scholar] [CrossRef]
- Kruger, K.M.; Graf, A.; Flanagan, A.; McHenry, B.D.; Altiok, H.; Smith, P.A.; Harris, G.F.; Krzak, J.J. Segmental foot and ankle kinematic differences between rectus, planus, and cavus foot types. J. Biomech. 2019, 94, 180–186. [Google Scholar] [CrossRef] [PubMed]
- Rosenbaum, A.J.; Lisella, J.; Patel, N.; Phillips, N. The cavus foot. Med. Clin. N. Am. 2014, 98, 301–312. [Google Scholar] [CrossRef] [PubMed]
- VanderHave, K.L.; Hensinger, R.N.; King, B.W. Flexible cavovarus foot in children and adolescents. Foot Ankle Clin. 2013, 18, 715–726. [Google Scholar] [CrossRef]
- Burns, J.; Crosbie, J.; Ouvrier, R.; Hunt, A. Effective Orthotic Therapy for the Painful Cavus Foot. J. Am. Podiatr. Med. Assoc. 2006, 96, 205–211. [Google Scholar] [CrossRef] [PubMed]
- Chowdhury, R.; Reaz, M.; Ali, M.; Bakar, A.; Chellappan, K.; Chang, T. Surface Electromyography Signal Processing and Classification Techniques. Sensors 2013, 13, 12431–12466. [Google Scholar] [CrossRef]
- Papagiannis, G.I.; Triantafyllou, A.I.; Roumpelakis, I.M.; Zampeli, F.; Garyfallia Eleni, P.; Koulouvaris, P.; Papadopoulos, E.C.; Papagelopoulos, P.J.; Babis, G.C. Methodology of surface electromyography in gait analysis: Review of the literature. J. Med. Eng. Technol. 2019, 43, 59–65. [Google Scholar] [CrossRef]
- Merletti, R.; Muceli, S. Tutorial. Surface EMG detection in space and time: Best practices. J. Electromyogr. Kinesiol. 2019, 49, 102363. [Google Scholar] [CrossRef]
- Alcan, V.; Zinnuroğlu, M. Current developments in surface electromyography. Turk. J. Med. Sci. 2023, 53, 1019–1031. [Google Scholar] [CrossRef] [PubMed]
- Molina-Molina, A.; Ruiz-Malagón, E.J.; Carrillo-Pérez, F.; Roche-Seruendo, L.E.; Damas, M.; Banos, O.; García-Pinillos, F. Validation of mDurance, A Wearable Surface Electromyography System for Muscle Activity Assessment. Front. Physiol. 2020, 11, 606287. [Google Scholar] [CrossRef]
- Banos, O.; Moral-Munoz, J.; Diaz-Reyes, I.; Arroyo-Morales, M.; Damas, M.; Herrera-Viedma, E.; Hong, C.S.; Lee, S.; Pomares, H.; Rojas, I.; et al. mDurance: A Novel Mobile Health System to Support Trunk Endurance Assessment. Sensors 2015, 15, 13159–13183. [Google Scholar] [CrossRef]
- Biomedical Health and Research Program (BIOMED II) of the European Union. SENIAM (Surface ElectroMyoGraphy for the Non-Invasive Assessment of Muscle). Available online: http://seniam.org/ (accessed on 11 November 2025).
- Yung-Hui, L.; Wei-Hsien, H. Effects of shoe inserts and heel height on foot pressure, impact force, and perceived comfort during walking. Appl. Ergon. 2005, 36, 355–362. [Google Scholar] [CrossRef]
- Moisan, G.; Descarreaux, M.; Cantin, V. Biomechanical effects of foot orthoses with and without a lateral bar in individuals with cavus feet during comfortable and fast walking. PLoS ONE 2021, 16, e0248658. [Google Scholar] [CrossRef] [PubMed]
- Rosenbaum, A.J.; DiPreta, J.A.; Misener, D. Plantar Heel Pain. Med. Clin. N. Am. 2014, 98, 339–352. [Google Scholar] [CrossRef]
- Wicart, P. Cavus foot, from neonates to adolescents. Orthop. Traumatol. Surg. Res. 2012, 98, 813–828. [Google Scholar] [CrossRef]
- Hong, W.-H.; Lee, Y.-H.; Lin, Y.-H.; Tang, S.F.T.; Chen, H.-C. Effect of Shoe Heel Height and Total-Contact Insert on Muscle Loading and Foot Stability While Walking. Foot Ankle Int. 2013, 34, 273–281. [Google Scholar] [CrossRef]
- Luca, C.J.D. The Use of Surface Electromyography in Biomechanics. J. Appl. Biomech. 1997, 13, 135–163. [Google Scholar] [CrossRef]
- Choi, J.-K.; Cha, E.-J.; Kim, K.-A.; Won, Y.; Kim, J.-J. Effects of custom-made insoles on idiopathic pes cavus foot during walking. Bio-Med. Mater. Eng. 2015, 26, S705–S715. [Google Scholar] [CrossRef]
- Kelly, A.; Robb, S.D.P. The importance of foot posture when recording lower leg electromyography when walking in non-textured and textured foot orthoses. J. Biomech. 2024, 165, 111999. [Google Scholar] [CrossRef] [PubMed]
- Robb, K.A.; Perry, S.D. The suppression of lower leg electromyography when walking in textured foot orthoses. Exp. Brain Res. 2024, 242, 2367–2380. [Google Scholar] [CrossRef] [PubMed]
- Moisan, G.; Descarreaux, M.; Cantin, V. Muscle activation during fast walking with two types of foot orthoses in participants with cavus feet. J. Electromyogr. Kinesiol. 2018, 43, 7–13. [Google Scholar] [CrossRef]
- Alfaro-Santafé, J.-V.; Gómez-Bernal, A.; Almenar-Arasanz, A.-J.; Alfaro-Santafé, J. Reliability and Repeatability of the Footwork Plantar Pressure Plate System. J. Am. Podiatr. Med. Assoc. 2021, 111, 7. [Google Scholar] [CrossRef]
- Holstila, E.; Vallittu, A.; Ranto, S.; Lahti, T.; Manninen, A. World Medical Association Declaration of Helsinki. JAMA 2013, 310, 2191. [Google Scholar] [CrossRef]
- Lux, R.L.; Sower, C.T.; Allen, N.; Etheridge, S.P.; Tristani-Firouzi, M.; Saarel, E.V. The Application of Root Mean Square Electrocardiography (RMS ECG) for the Detection of Acquired and Congenital Long QT Syndrome. PLoS ONE 2014, 9, e85689. [Google Scholar] [CrossRef][Green Version]
- Cavanagh, P.R.; Rodgers, M.M. The arch index: A useful measure from footprints. J. Biomech. 1987, 20, 547–551. [Google Scholar] [CrossRef] [PubMed]
- Ludwig, O.; Kelm, J.; Fröhlich, M. The influence of insoles with a peroneal pressure point on the electromyographic activity of tibialis anterior and peroneus longus during gait. J. Foot Ankle Res. 2016, 9, 33. [Google Scholar] [CrossRef] [PubMed]
- Sadler, S.; Spink, M.; De Jonge, X.J.; Chuter, V. An exploratory study investigating the effect of foot type and foot orthoses on gluteus medius muscle activity. BMC Musculoskelet. Disord. 2020, 21, 655. [Google Scholar] [CrossRef] [PubMed]



| Overall | Cavus Grade 1 | Cavus Grade 2 | Cavus Grade 3 | p Value | |
|---|---|---|---|---|---|
| Number of participants, % | 100 (71) | 39.44 (28) | 32.39 (23) | 28.17 (20) | |
| Age, years | 46.0 (28.0, 59.0) | 42.0 (23.0, 60.0) | 46.0 (25.0, 59.0) | 47.0 (35.0, 58.0) | 0.5 1 |
| Weight, kg | 71.61 (14.26) | 77.96 (15.48) | 70.57 (10.66) | 63.90 (12.40) | 0.002 2 |
| Height, cm | 171.28 (10.81) | 172.21 (10.21) | 172.30 (11.11) | 168.80 (11.40) | 0.5 2 |
| Injuries in the last year, % | |||||
| None | 49.3 (35) | 53.6 (15) | 43.5 (10) | 50.0 (10) | 0.8 2 |
| Plantar fasciitis | 4.2 (3) | 7.1 (2) | 0.0 (0) | 5.0 (1) | 0.6 3 |
| Knee pain | 19.7 (14) | 21.4 (6) | 26.1 (6) | 10.0 (2) | 0.5 3 |
| Hip pain | 5.6 (4) | 0.0 (0) | 17.4 (4) | 0.0 (0) | 0.014 3 |
| Cervical and lumbar pain | 4.2 (3) | 3.6 (1) | 4.3 (1) | 5.0 (1) | >0.9 3 |
| Calf/soleus overload and AT | 5.6 (4) | 3.6 (1) | 8.7 (2) | 5.0 (1) | 0.8 3 |
| Peroneal muscle overload | 2.8 (2) | 3.6 (1) | 0.0 (0) | 5.0 (1) | 0.7 3 |
| Mechanical metatarsalgia | 8.5 (6) | 3.6 (1) | 8.7 (2) | 15.0 (3) | 0.4 3 |
| Posterior tibial tendinopathy | 2.8 (2) | 3.6 (1) | 0.0 (0) | 5.0 (1) | 0.7 3 |
| Other injuries | 14.1 (10) | 10.7 (3) | 17.4 (4) | 15.0 (3) | 0.8 3 |
| Current injuries, % | |||||
| None | 100 (71) | ||||
| Plantar fasciitis | 14.1 (10) | 14.3 (4) | 8.7 (2) | 20.0 (4) | 0.6 2 |
| Knee pain | 14.1 (10) | 17.9 (5) | 17.4 (4) | 5.0 (1) | 0.4 2 |
| Hip pain | 2.8 (2) | 3.6 (1) | 4.3 (1) | 0.0 (0) | >0.9 2 |
| Cervical and lumbar pain | 2.8 (2) | 3.6 (1) | 4.3 (1) | 0.0 (0) | >0.9 2 |
| Calf/soleus overload and AT | 38.0 (27) | 35.7 (10) | 34.8 (8) | 45.0 (9) | 0.7 3 |
| Peroneal muscle overload | 11.3 (8) | 17.9 (5) | 8.7 (2) | 5.0 (1) | 0.4 2 |
| Mechanical metatarsalgia | 26.8 (19) | 17.9 (5) | 21.7 (5) | 45.0 (9) | 0.090 3 |
| Posterior tibial tendinopathy | 9.9 (7) | 7.1 (2) | 13.0 (3) | 10.0 (2) | 0.9 2 |
| Other injuries | 16.9 (12) | 17.9 (5) | 21.7 (5) | 10.0 (2) | 0.6 2 |
| Pain and location, % | |||||
| None | 18.3 (13) | 17.9 (5) | 30.4 (7) | 5.0 (1) | 0.11 2 |
| Forefoot and toes | 32.4 (23) | 25.0 (7) | 30.4 (7) | 45.0 (9) | 0.3 3 |
| Foot arch | 22.5 (16) | 14.3 (4) | 21.7 (5) | 35.0 (7) | 0.2 2 |
| Foot lateral | 9.9 (7) | 17.9 (5) | 8.7 (2) | 0.0 (0) | 0.14 2 |
| Inner heel and inner ankle | 26.8 (19) | 25.0 (7) | 13.0 (3) | 45.0 (9) | 0.059 3 |
| Outer heel and outer ankle | 5.6 (4) | 7.1 (2) | 4.3 (1) | 5.0 (1) | >0.9 2 |
| Back of the ankle | 15.5 (11) | 14.3 (4) | 8.7 (2) | 25.0 (5) | 0.4 2 |
| Plantar surface | 4.2 (3) | 7.1 (2) | 4.3 (1) | 0.0 (0) | 0.8 2 |
| Top of the foot | 4.2 (3) | 7.1 (2) | 4.3 (1) | 0.0 (0) | 0.8 2 |
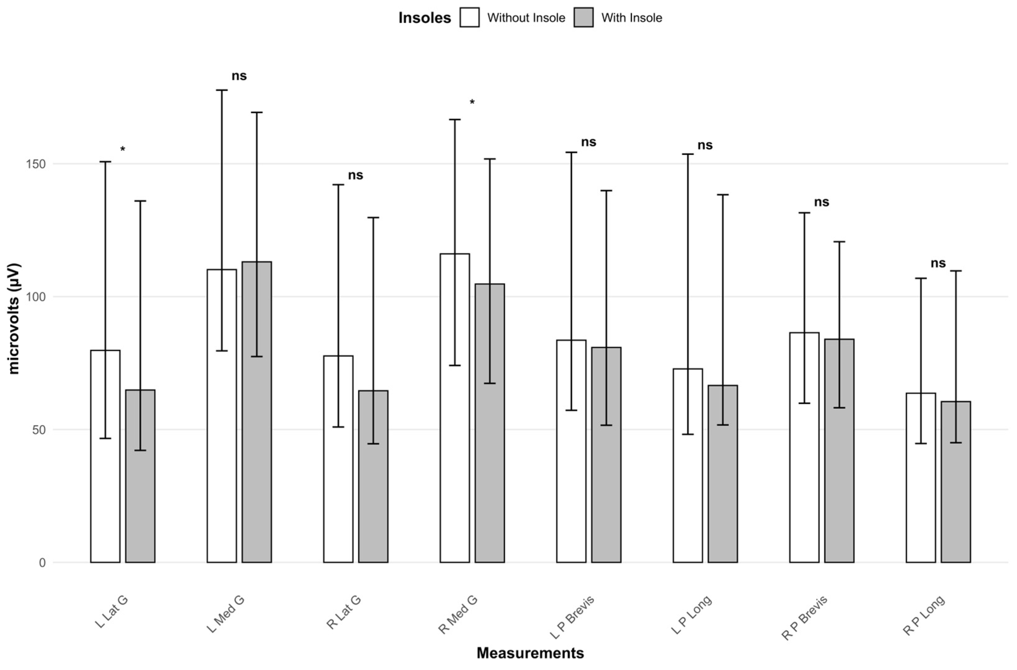
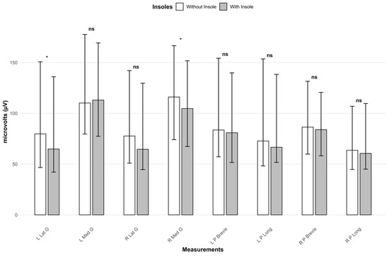
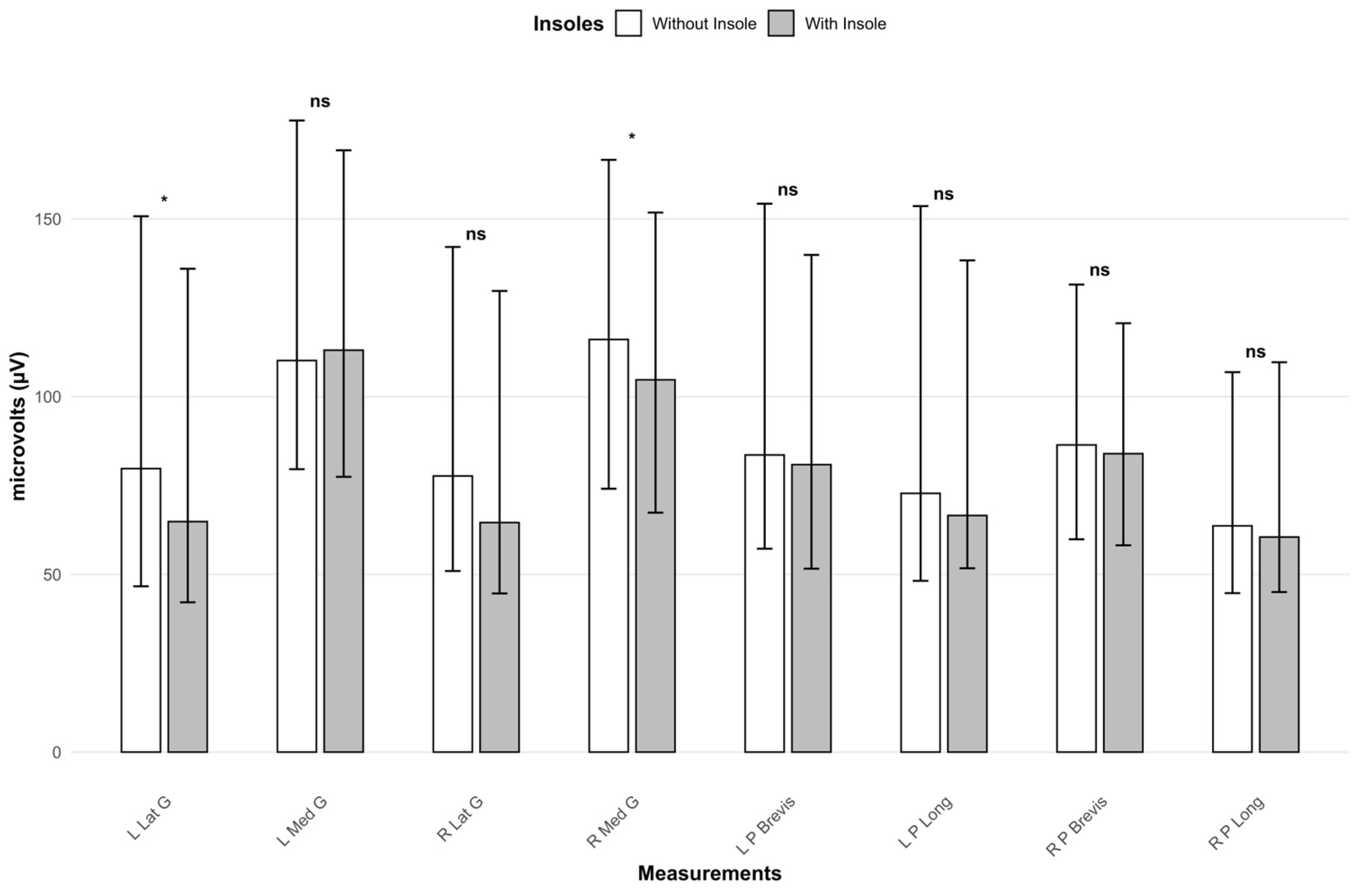
| With Insoles | Without Insoles | p-Value | Eff Size | |
|---|---|---|---|---|
| L Lat G | 64.85 (42.14, 135.98) | 79.76 (46.65, 150.76) | 0.021 | 0.246 |
| L Med G | 113.08 (77.45, 169.31) | 110.17 (79.59, 177.69) | 0.470 | 0.077 |
| R Lat G | 64.58 (44.63, 129.74) | 77.68 (50.95, 142.12) | 0.090 | 0.181 |
| R Med G | 104.74 (67.36, 151.80) | 116.08 (74.10, 166.63) | 0.024 | 0.241 |
| L P Brevis | 80.88 (51.60, 139.88) | 83.59 (57.22, 154.29) | 0.125 | 0.164 |
| L P Long | 66.57 (51.71, 138.33) | 72.80 (48.18, 153.61) | 0.195 | 0.138 |
| R P Brevis | 83.96 (58.18, 120.65) | 86.41 (59.87, 131.54) | 0.465 | 0.078 |
| R P Long | 60.51 (45.02, 109.68) | 63.65 (44.73, 106.89) | 0.858 | 0.019 |
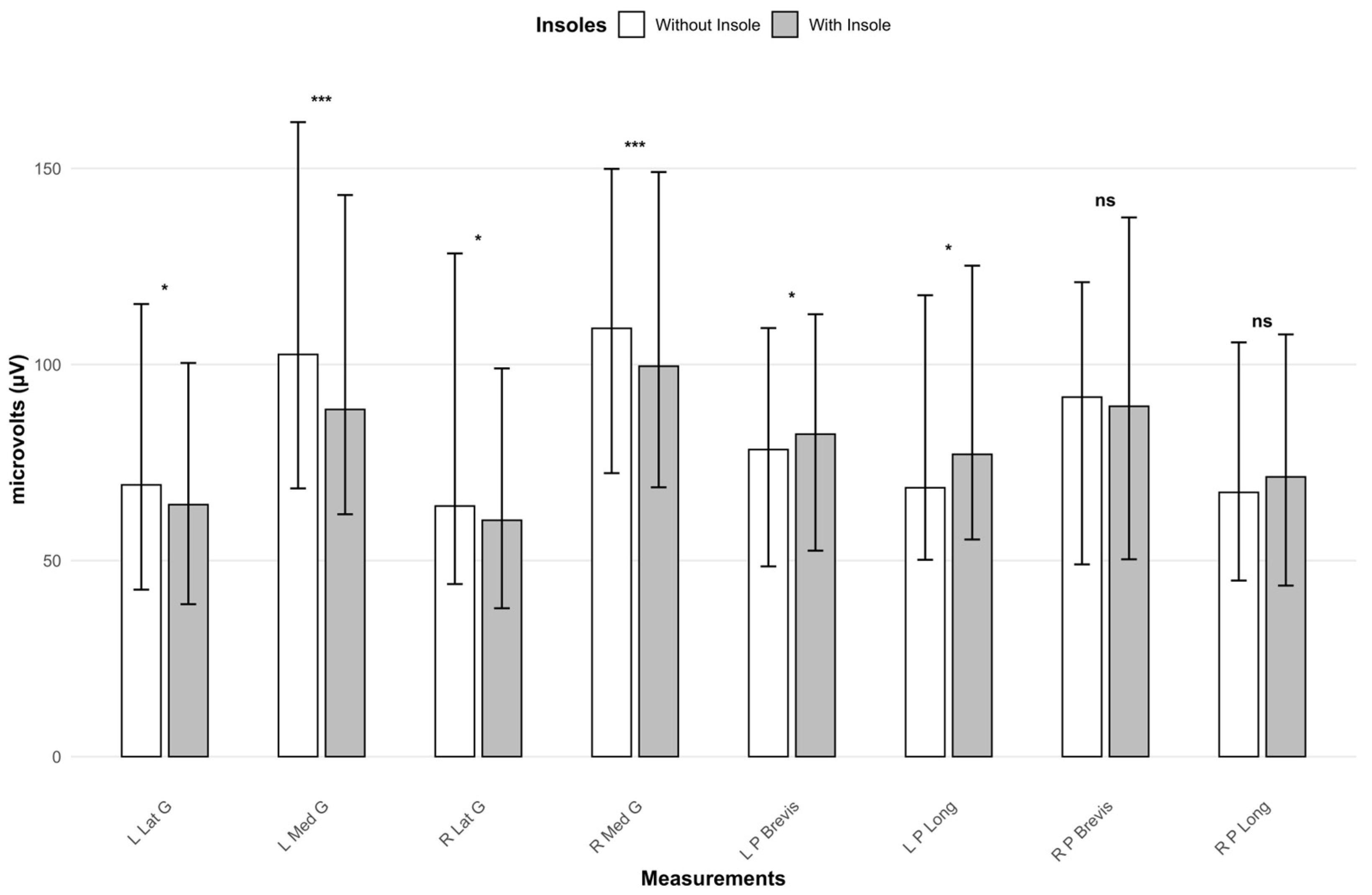
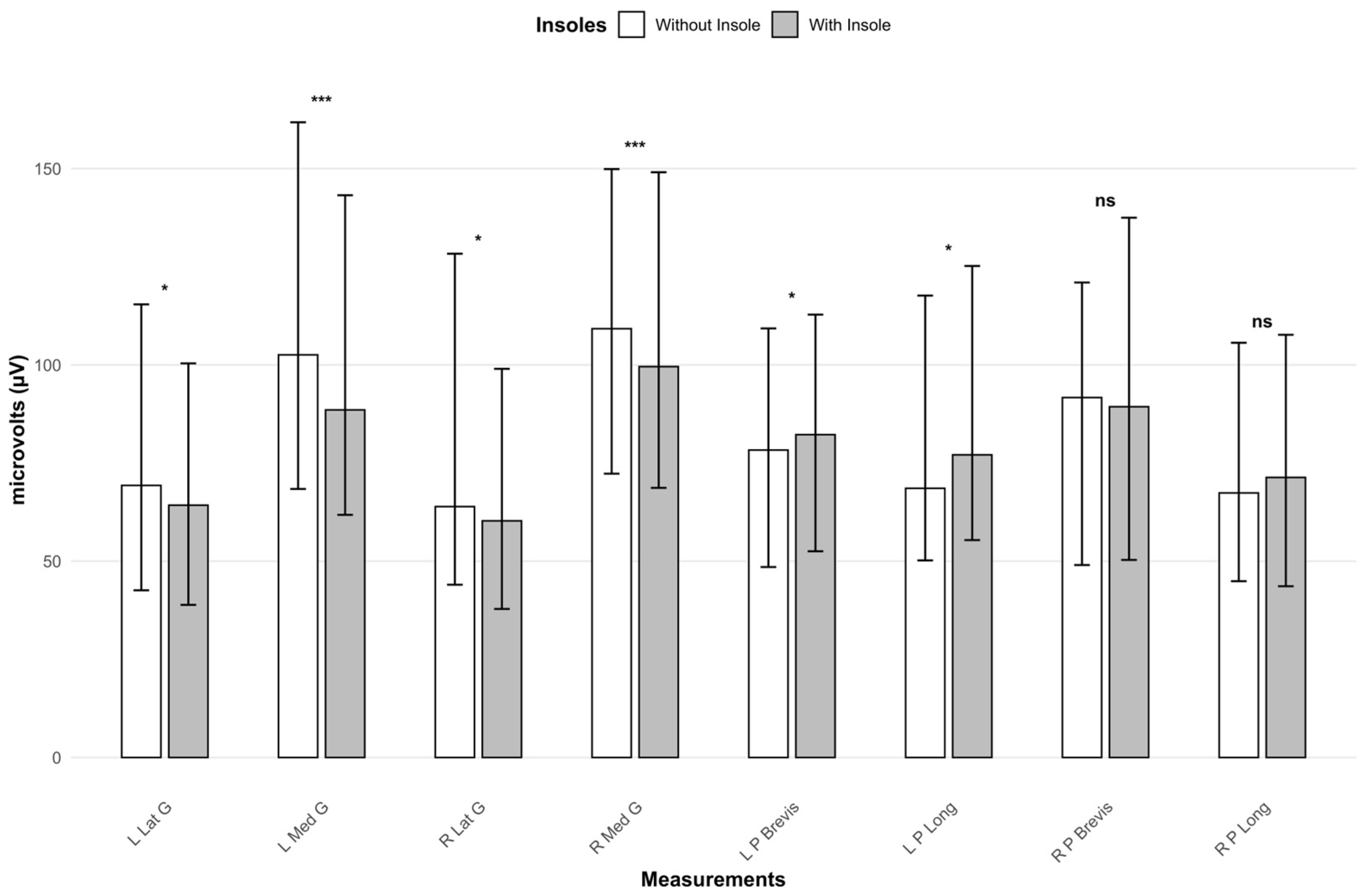
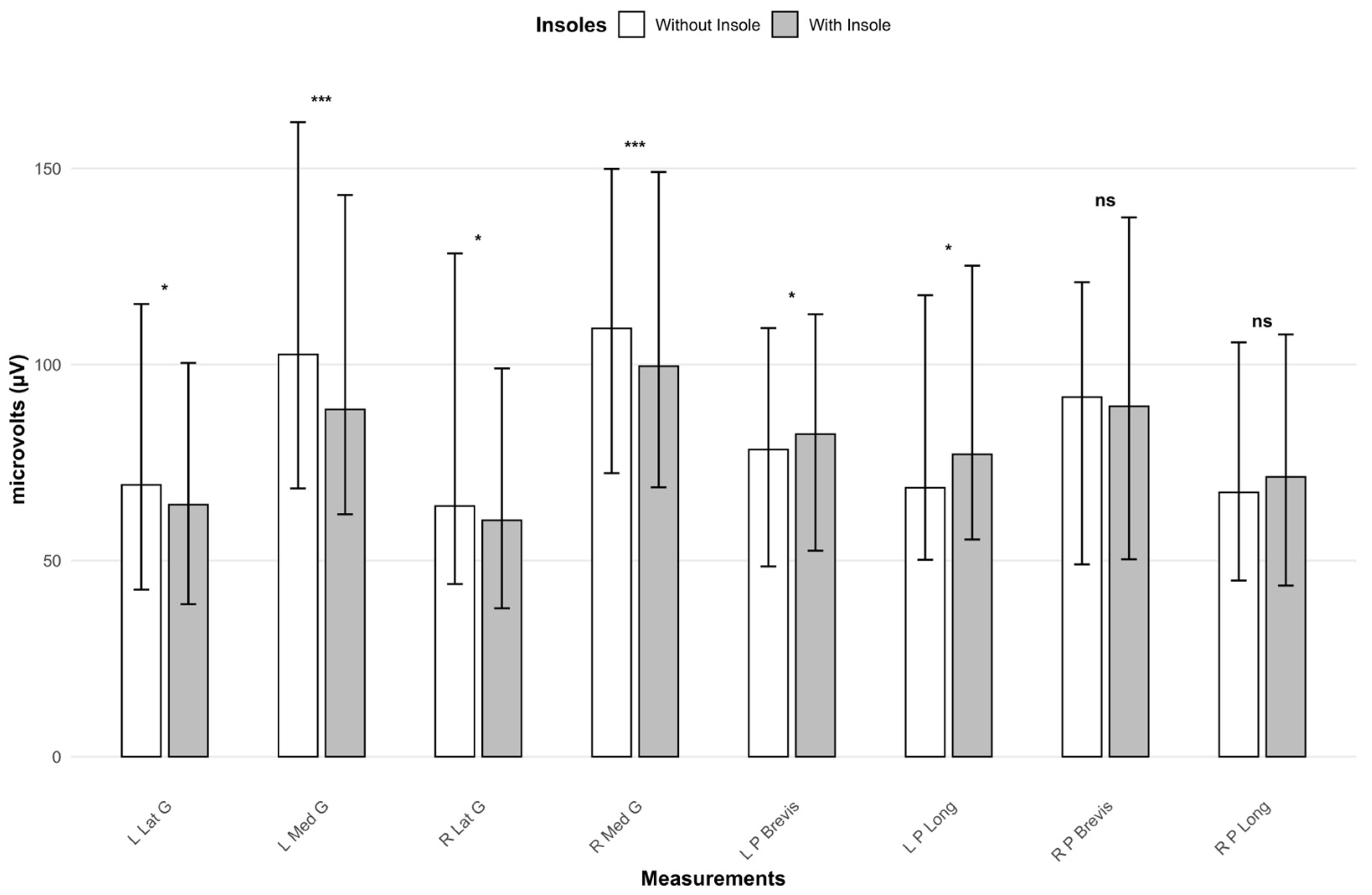
| With Insoles | Without Insoles | p-Value | Eff Size | |
|---|---|---|---|---|
| L Lat G | 64.27 (38.88, 100.4) | 69.30 (42.59, 115.43) | 0.013 | 0.295 |
| L Med G | 88.54 (61.81, 143.22) | 102.56 (68.41, 161.81) | <0.001 | 0.415 |
| R Lat G | 60.28 (37.84, 99.01) | 63.91 (44.02, 128.32) | 0.013 | 0.296 |
| R Med G | 99.57 (68.69, 149.08) | 109.22 (72.29, 149.89) | <0.001 | 0.407 |
| L P Brevis | 82.24 (52.53, 112.81) | 78.31 (48.52, 109.29) | 0.021 | 0.273 |
| L P Long | 77.09 (55.39, 125.2) | 68.57 (50.2, 117.66) | 0.044 | 0.239 |
| R P Brevis | 89.35 (50.33, 137.50) | 91.69 (49.03, 120.99) | 0.320 | 0.118 |
| R P Long | 71.34 (43.63, 107.68) | 67.39 (44.91, 105.65) | 0.152 | 0.170 |
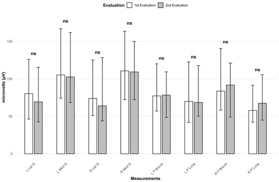
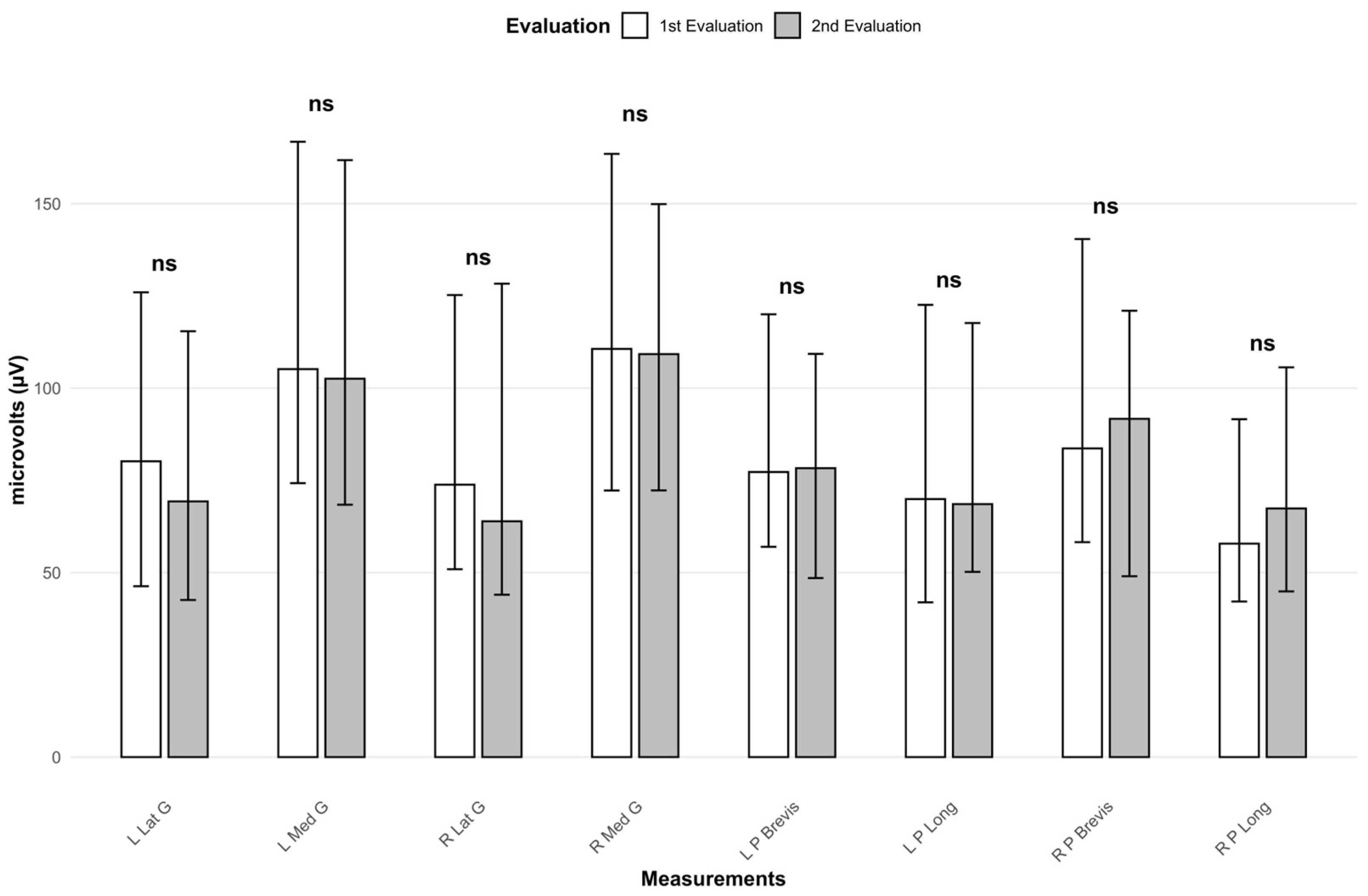
| 1st Evaluation | 2nd Evaluation | p-Value | Eff Size | |
|---|---|---|---|---|
| L Lat G | 80.18 (46.31, 125.99) | 69.30 (42.59, 115.43) | 0.154 | 0.169 |
| L Med G | 105.16 (74.25, 166.79) | 102.56 (68.41, 161.81) | 0.848 | 0.023 |
| R Lat G | 73.84 (50.93, 125.24) | 63.91 (44.02, 128.32) | 0.331 | 0.116 |
| R Med G | 110.64 (72.26, 163.5) | 109.22 (72.29, 149.89) | 0.512 | 0.078 |
| L P Brevis | 77.27 (57, 120.02) | 78.31 (48.52, 109.29) | 0.229 | 0.143 |
| L P Long | 69.93 (41.95, 122.58) | 68.57 (50.2, 117.66) | 0.686 | 0.048 |
| R P Brevis | 83.66 (58.26, 140.42) | 91.69 (49.03, 120.99) | 0.600 | 0.063 |
| R P Long | 57.85 (42.17, 91.58) | 67.39 (44.91, 105.65) | 0.893 | 0.016 |
Disclaimer/Publisher’s Note: The statements, opinions and data contained in all publications are solely those of the individual author(s) and contributor(s) and not of MDPI and/or the editor(s). MDPI and/or the editor(s) disclaim responsibility for any injury to people or property resulting from any ideas, methods, instructions or products referred to in the content. |
© 2025 by the authors. Licensee MDPI, Basel, Switzerland. This article is an open access article distributed under the terms and conditions of the Creative Commons Attribution (CC BY) license (https://creativecommons.org/licenses/by/4.0/).
Share and Cite
García-Bautista, S.; Gómez-Bernal, A.; Alfaro-Santafé, J.; Perez-Lasierra, J.L. Medium- and Long-Term Effectiveness of Custom Insoles for Cavus Foot: A Surface Electromyography Study. J. Funct. Morphol. Kinesiol. 2025, 10, 461. https://doi.org/10.3390/jfmk10040461
García-Bautista S, Gómez-Bernal A, Alfaro-Santafé J, Perez-Lasierra JL. Medium- and Long-Term Effectiveness of Custom Insoles for Cavus Foot: A Surface Electromyography Study. Journal of Functional Morphology and Kinesiology. 2025; 10(4):461. https://doi.org/10.3390/jfmk10040461
Chicago/Turabian StyleGarcía-Bautista, Sara, Antonio Gómez-Bernal, Javier Alfaro-Santafé, and Jose Luis Perez-Lasierra. 2025. "Medium- and Long-Term Effectiveness of Custom Insoles for Cavus Foot: A Surface Electromyography Study" Journal of Functional Morphology and Kinesiology 10, no. 4: 461. https://doi.org/10.3390/jfmk10040461
APA StyleGarcía-Bautista, S., Gómez-Bernal, A., Alfaro-Santafé, J., & Perez-Lasierra, J. L. (2025). Medium- and Long-Term Effectiveness of Custom Insoles for Cavus Foot: A Surface Electromyography Study. Journal of Functional Morphology and Kinesiology, 10(4), 461. https://doi.org/10.3390/jfmk10040461

