Effects of Censoring Explicit Language in Music on Resistance Exercise Performance
Abstract
1. Introduction
2. Materials and Methods
2.1. Study Design
2.2. Participants
2.3. One-Repetition Maximum (1-RM) and Familiarization
2.4. Explicit and Censored Music
2.5. Procedures
2.6. Data Analysis
3. Results
3.1. Repetitions and Mean Velocity
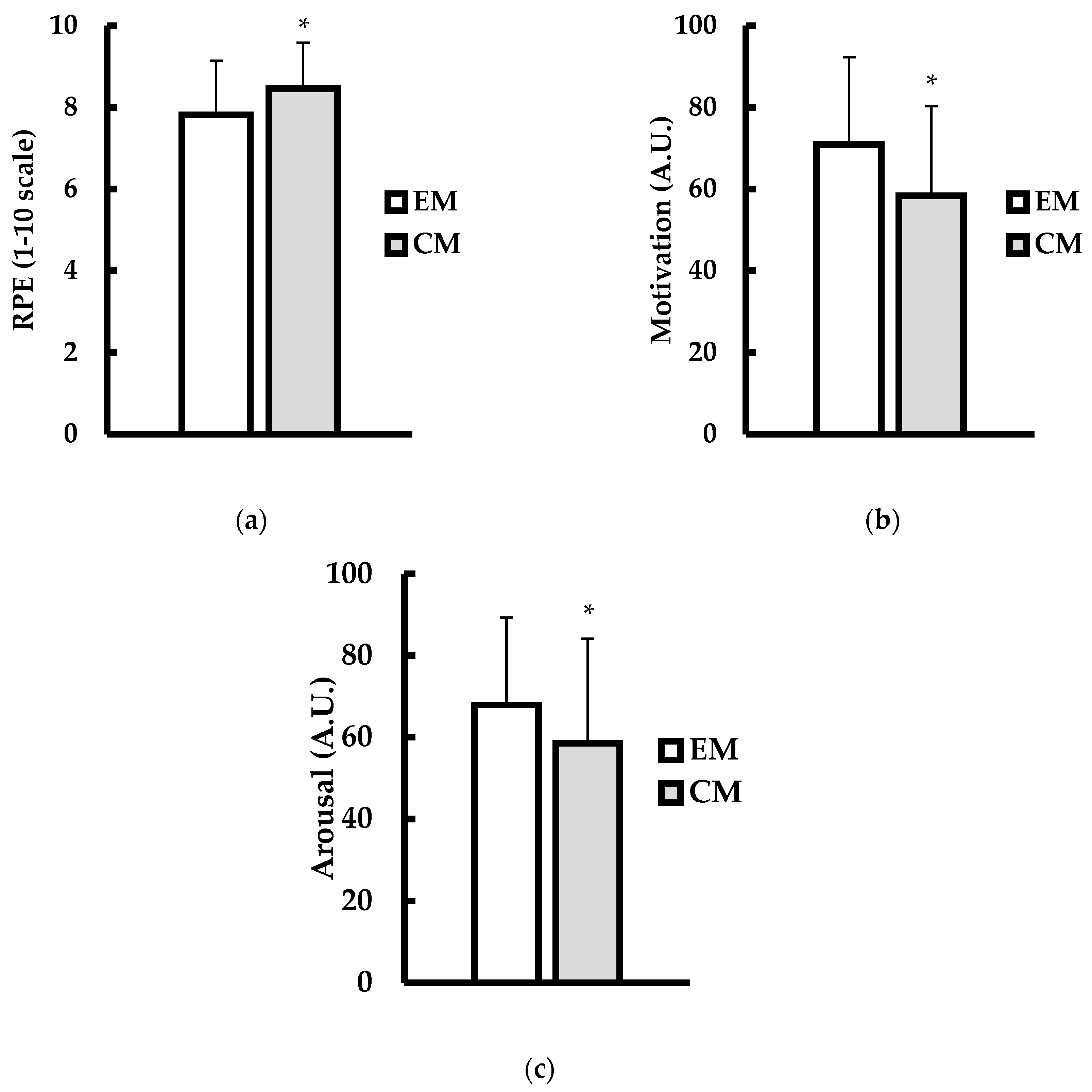
3.2. Rating of Perceived Exertion, Motivation, and Arousal
4. Discussion
5. Conclusions
Author Contributions
Funding
Institutional Review Board Statement
Informed Consent Statement
Data Availability Statement
Conflicts of Interest
References
- Ballmann, C.G. The Influence of Music Preference on Exercise Responses and Performance: A Review. J. Funct. Morphol. Kinesiol. 2021, 6, 33. [Google Scholar] [CrossRef] [PubMed]
- Karageorghis, C.I.; Priest, D.-L. Music in the exercise domain: A review and synthesis (Part I). Int. Rev. Sport Exerc. Psychol. 2012, 5, 44–66. [Google Scholar] [CrossRef] [PubMed]
- Terry, P.C.; Karageorghis, C.I.; Curran, M.L.; Martin, O.V.; Parsons-Smith, R.L. Effects of music in exercise and sport: A meta-analytic review. Psychol. Bull. 2020, 146, 91. [Google Scholar] [CrossRef] [PubMed]
- Thakur, A.M.; Yardi, S.S. Effect of different types of music on exercise performance in normal individuals. Indian J. Physiol. Pharmacol. 2013, 57, 448–451. [Google Scholar]
- Moss, S.L.; Enright, K.; Cushman, S. The influence of music genre on explosive power, repetitions to failure and mood responses during resistance exercise. Psychol. Sport Exerc. 2018, 37, 128–138. [Google Scholar] [CrossRef]
- Edworthy, J.; Waring, H. The effects of music tempo and loudness level on treadmill exercise. Ergonomics 2006, 49, 1597–1610. [Google Scholar] [CrossRef]
- Washmuth, N.B.; Stephens, R.; Ballmann, C.G. Effect of swearing on physical performance: A mini-review. Front. Psychol. 2024, 15, 1445175. [Google Scholar] [CrossRef] [PubMed]
- Stephens, R.; Spierer, D.K.; Katehis, E. Effect of swearing on strength and power performance. Psychol. Sport Exerc. 2018, 35, 111–117. [Google Scholar] [CrossRef]
- Furer, K.S. Warning: Explicit Language Contained Obscenity and Music. NYL Sch. J. Hum. Rts. 1991, 9, 461. [Google Scholar]
- Bartolomei, S.; Michele, R.D.; Merni, F. Effects of self-selected music on maximal bench press strength and strength endurance. Percept. Mot. Ski. 2015, 120, 714–721. [Google Scholar] [CrossRef]
- Köse, B. Does Motivational Music Influence Maximal Bench Press Strength and Strength Endurance? Asian J. Educ. Train. 2018, 4, 197–200. [Google Scholar] [CrossRef]
- Rhea, C.; Butcher-Mokha, M.; Ludwig, K. Influence of up-tempo music on arousal and selected biomechanics during a near maximum bench press. Res. Q. Exerc. Sport 2004, 75, A2–A3. [Google Scholar]
- Ballmann, C.G.; Favre, M.L.; Phillips, M.T.; Rogers, R.R.; Pederson, J.A.; Williams, T.D. Effect of Pre-Exercise Music on Bench Press Power, Velocity, and Repetition Volume. Percept. Mot. Ski. 2021, 128, 1183–1196. [Google Scholar] [CrossRef]
- Ballmann, C.G.; Cook, G.D.; Hester, Z.T.; Kopec, T.J.; Williams, T.D.; Rogers, R.R. Effects of Preferred and Non-Preferred Warm-Up Music on Resistance Exercise Performance. J. Funct. Morphol. Kinesiol. 2020, 6, 3. [Google Scholar] [CrossRef] [PubMed]
- Rogers, R.R.; Williams, T.D.; Nester, E.B.; Owens, G.M.; Ballmann, C.G. The Influence of Music Preference on Countermovement Jump and Maximal Isometric Performance in Active Females. J. Funct. Morphol. Kinesiol. 2023, 8, 34. [Google Scholar] [CrossRef]
- Stephens, R.; Dowber, H.; Barrie, A.; Almeida, S.; Atkins, K. Effect of swearing on strength: Disinhibition as a potential mediator. Q. J. Exp. Psychol. 2023, 76, 305–318. [Google Scholar] [CrossRef]
- Jiannine, L.; Antonio, J. The Effects of Cursing on Exercise Performance. J. Exerc. Physiol. Online 2023, 26, 81–87. [Google Scholar]
- Stapleton, K.; Fägersten, K.B.; Stephens, R.; Loveday, C. The power of swearing: What we know and what we don’t. Lingua 2022, 277, 103406. [Google Scholar] [CrossRef]
- Stephens, R.; Robertson, O. Swearing as a response to pain: Assessing hypoalgesic effects of novel “swear” words. Front. Psychol. 2020, 11, 723. [Google Scholar] [CrossRef]
- Zareıan, E.; Pooraghaeı, Z.; Baranı, K. The role of lyrics in music–exercise performance on perceived exertion. Turk. J. Sport Exerc. 2015, 17, 16–22. [Google Scholar] [CrossRef]
- Sanchez, X.; Moss, S.L.; Twist, C.; Karageorghis, C.I. On the role of lyrics in the music–exercise performance relationship. Psychol. Sport Exerc. 2014, 15, 132–138. [Google Scholar] [CrossRef][Green Version]
- Faul, F.; Erdfelder, E.; Lang, A.-G.; Buchner, A. G* Power 3: A flexible statistical power analysis program for the social, behavioral, and biomedical sciences. Behav. Res. Methods 2007, 39, 175–191. [Google Scholar] [CrossRef] [PubMed]
- Liguori, G.; American College of Sports Medicine. ACSM’s Guidelines for Exercise Testing and Prescription; Lippincott Williams & Wilkins: Philadelphia, PA, USA, 2020. [Google Scholar]
- US Federal Communications Commission. Obscene, Indecent and Profane Broadcasts; 47 CFR § 73.3999; US Federal Communications Commission: Washington, DC, USA, 1995. [Google Scholar]
- Karageorghis, C.I.; Priest, D.; Williams, L.; Hirani, R.; Lannon, K.; Bates, B. Ergogenic and psychological effects of synchronous music during circuit-type exercise. Psychol. Sport Exerc. 2010, 11, 551–559. [Google Scholar] [CrossRef]
- Karageorghis, C.; Priest, D.-L. Music in sport and exercise: An update on research and application. Sport J. 2008, 11, 1. [Google Scholar]
- Nixon, K.M.; Parker, M.G.; Elwell, C.C.; Pemberton, A.L.; Rogers, R.R.; Ballmann, C.G. Effects of Music Volume Preference on Endurance Exercise Performance. J. Funct. Morphol. Kinesiol. 2022, 7, 35. [Google Scholar] [CrossRef] [PubMed]
- Williams, T.D.; Boag, L.E.; Helton, C.L.; Middleton, M.L.; Rogers, R.R.; Sternenberg, L.H.; Ballmann, C.G. Effects of Acute Yohimbine Hydrochloride Ingestion on Bench Press Performance in Resistance-Trained Males. Muscles 2022, 1, 82–91. [Google Scholar] [CrossRef]
- Dorrell, H.F.; Moore, J.M.; Smith, M.F.; Gee, T.I. Validity and reliability of a linear positional transducer across commonly practised resistance training exercises. J. Sports Sci. 2019, 37, 67–73. [Google Scholar] [CrossRef]
- Orange, S.T.; Metcalfe, J.W.; Marshall, P.; Vince, R.V.; Madden, L.A.; Liefeith, A. Test-retest reliability of a commercial linear position transducer (GymAware PowerTool) to measure velocity and power in the back squat and bench press. J. Strength Cond. Res. 2020, 34, 728–737. [Google Scholar] [CrossRef]
- Rogers, R.R.; Beardsley, K.G.; Cumbie, P.E.; Ballmann, C.G. Ammonia inhalants enhance psychophysiological responses and performance during repeated high intensity exercise. Res. Q. Exerc. Sport 2023, 94, 1035–1041. [Google Scholar] [CrossRef]
- Monk, T.H. A visual analogue scale technique to measure global vigor and affect. Psychiatry Res. 1989, 27, 89–99. [Google Scholar] [CrossRef]
- Rhoads, K.J.; Sosa, S.R.; Rogers, R.R.; Kopec, T.J.; Ballmann, C.G. Sex differences in response to listening to self-selected music during repeated high-intensity sprint exercise. Sexes 2021, 2, 60–68. [Google Scholar] [CrossRef]
- Şahin, M.; Aybek, E. Jamovi: An easy to use statistical software for the social scientists. Int. J. Assess. Tools Educ. 2019, 6, 670–692. [Google Scholar] [CrossRef]
- Duthie, A.B. Fundamental Statistical Concepts and Techniques in the Biological and Environmental Sciences: With Jamovi; CRC Press: Boca Raton, FL, USA, 2025. [Google Scholar]
- Cohen, J. Statistical Power Analysis for the Behavioral Sciences, 2nd ed.; Routledge: Oxford, UK, 1988. [Google Scholar]
- Fritz, C.O.; Morris, P.E.; Richler, J.J. Effect size estimates: Current use, calculations, and interpretation. J. Exp. Psychol. Gen. 2012, 141, 2–18. [Google Scholar] [CrossRef]
- Nakamura, P.M.; Pereira, G.; Papini, C.B.; Nakamura, F.Y.; Kokubun, E. Effects of preferred and nonpreferred music on continuous cycling exercise performance. Percept. Mot. Ski. 2010, 110, 257–264. [Google Scholar] [CrossRef]
- RamezanPour, M.R.; Moghaddam, A.; Sadifar, E. Comparison of the effects of listening to three types of music during exercise on heart rate, blood pressure, rating of perceived exertion and fatigue onset time. Iran. J. Health Phys. Act. 2012, 3, 15–20. [Google Scholar]
- Silva, N.R.d.S.; Rizardi, F.G.; Fujita, R.A.; Villalba, M.M.; Gomes, M.M. Preferred music genre benefits during strength tests: Increased maximal strength and strength-endurance and reduced perceived exertion. Percept. Mot. Ski. 2021, 128, 324–337. [Google Scholar] [CrossRef]
- Husain, W.; Wasif, S.; Fatima, I. Profanity as a Self-Defense Mechanism and an Outlet for Emotional Catharsis in Stress, Anxiety, and Depression. Depress. Res. Treat. 2023, 2023, 8821517. [Google Scholar] [CrossRef]
- Smith, D.M.; Torregrossa, M.M. Valence encoding in the amygdala influences motivated behavior. Behav. Brain Res. 2021, 411, 113370. [Google Scholar] [CrossRef]
- Fontes, E.B.; Okano, A.H.; De Guio, F.; Schabort, E.J.; Min, L.L.; Basset, F.A.; Stein, D.J.; Noakes, T.D. Brain activity and perceived exertion during cycling exercise: An fMRI study. Br. J. Sports Med. 2015, 49, 556–560. [Google Scholar] [CrossRef]
- Koelsch, S.; Fritz, T.; Schlaug, G. Amygdala activity can be modulated by unexpected chord functions during music listening. Neuroreport 2008, 19, 1815–1819. [Google Scholar] [CrossRef]
- Stephens, R. The psychobiology underlying swearing and taboo language. In The Routledge International Handbook of Psychobiology; Routledge: Oxford, UK, 2018; pp. 269–281. [Google Scholar]
- Jahedi, S.; Méndez, F. On the advantages and disadvantages of subjective measures. J. Econ. Behav. Organ. 2014, 98, 97–114. [Google Scholar] [CrossRef]


| Descriptive Characteristics (n = 11) | Mean ± SD |
|---|---|
| Age (years) | 23.9 ± 3.8 |
| Height (cm) | 175.2 ± 6.2 |
| Body Mass (kg) | 83.9 ± 12.6 |
| RT Experiences (years) | 7.6 ± 2.9 |
| 1-RM (kg) | 122.5 ± 15.7 |
| Relative 1-RM (kg) | 1.5 ± 0.4 |
Disclaimer/Publisher’s Note: The statements, opinions and data contained in all publications are solely those of the individual author(s) and contributor(s) and not of MDPI and/or the editor(s). MDPI and/or the editor(s) disclaim responsibility for any injury to people or property resulting from any ideas, methods, instructions or products referred to in the content. |
© 2025 by the authors. Licensee MDPI, Basel, Switzerland. This article is an open access article distributed under the terms and conditions of the Creative Commons Attribution (CC BY) license (https://creativecommons.org/licenses/by/4.0/).
Share and Cite
Ballmann, C.G.; Porrill, S.L.; Rogers, R.R.; Ervin, Z.H.; Neal, B.R.; Nguyen, H.M.; Spears, P.N.; Strickland, J.E.; Zavala, J.; Washmuth, N.B. Effects of Censoring Explicit Language in Music on Resistance Exercise Performance. J. Funct. Morphol. Kinesiol. 2025, 10, 224. https://doi.org/10.3390/jfmk10020224
Ballmann CG, Porrill SL, Rogers RR, Ervin ZH, Neal BR, Nguyen HM, Spears PN, Strickland JE, Zavala J, Washmuth NB. Effects of Censoring Explicit Language in Music on Resistance Exercise Performance. Journal of Functional Morphology and Kinesiology. 2025; 10(2):224. https://doi.org/10.3390/jfmk10020224
Chicago/Turabian StyleBallmann, Christopher G., Sophia L. Porrill, Rebecca R. Rogers, Zachary H. Ervin, Brittany R. Neal, Haley M. Nguyen, Phoebe N. Spears, Jonathan E. Strickland, Jesus Zavala, and Nicholas B. Washmuth. 2025. "Effects of Censoring Explicit Language in Music on Resistance Exercise Performance" Journal of Functional Morphology and Kinesiology 10, no. 2: 224. https://doi.org/10.3390/jfmk10020224
APA StyleBallmann, C. G., Porrill, S. L., Rogers, R. R., Ervin, Z. H., Neal, B. R., Nguyen, H. M., Spears, P. N., Strickland, J. E., Zavala, J., & Washmuth, N. B. (2025). Effects of Censoring Explicit Language in Music on Resistance Exercise Performance. Journal of Functional Morphology and Kinesiology, 10(2), 224. https://doi.org/10.3390/jfmk10020224

