Velocity-Based Curve Differential Repeated Sprinting Training: A Novel Approach to Shape Physical Performance in Young Basketball Players
Abstract
1. Introduction
2. Materials and Methods
2.1. Study Design and Participants
2.2. Intervention
2.3. Testing
2.4. Statistical Analysis
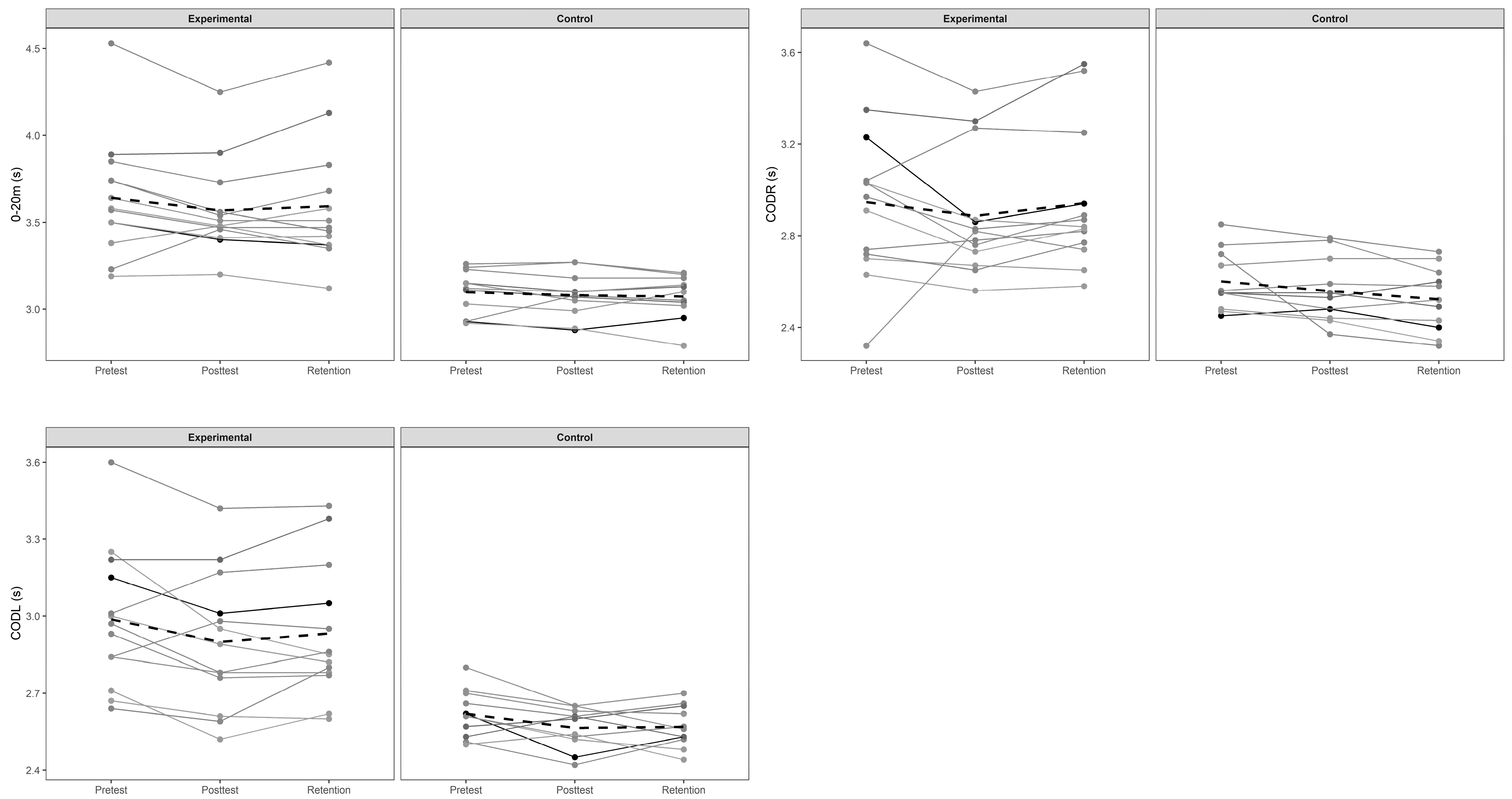
3. Results
4. Discussion
5. Conclusions
Author Contributions
Funding
Institutional Review Board Statement
Informed Consent Statement
Data Availability Statement
Conflicts of Interest
Abbreviations
| BF10 | Bayes factor |
| CI | Confidence interval |
| CMJ | Counter-movement jump |
| CMJASY | CMJ asymmetry index |
| CMJL | Counter-movement jump (left leg) |
| CMJR | Counter-movement jump (right leg) |
| COD | Change of direction |
| CODL | Change of direction (left leg) |
| CODR | Change of direction (right leg) |
| CV | Coefficient of variation |
| H0 | Null hypothesis |
| H1 | Alternative hypothesis |
| ICC | Intraclass correlation coefficient |
References
- Alonso, E.; Miranda, N.; Zhang, S.; Sosa, C.; Trapero, J.; Lorenzo, J.; Lorenzo, A. Peak Match Demands in Young Basketball Players: Approach and Applications. Int. J. Environ. Res. Public. Health 2020, 17, 2256. [Google Scholar] [CrossRef]
- García, F.; Castellano, J.; Reche, X.; Vázquez-Guerrero, J. Average Game Physical Demands and the Most Demanding Scenarios of Basketball Competition in Various Age Groups. J. Hum. Kinet. 2021, 79, 165–174. [Google Scholar] [CrossRef] [PubMed]
- Vázquez-Guerrero, J.; Suarez-Arrones, L.; Gómez, D.C.; Rodas, G. Comparing External Total Load, Acceleration and Deceleration Outputs in Elite Basketball Players across Positions during Match Play. Kinesiology 2018, 50, 228–234. [Google Scholar] [CrossRef]
- Ziv, G.; Lidor, R. Physical Attributes, Physiological Characteristics, On-Court Performances and Nutritional Strategies of Female and Male Basketball Players. Sports Med. 2016, 39, 547–568. [Google Scholar] [CrossRef] [PubMed]
- Schelling, X.; Torres-Ronda, L. An Integrative Approach to Strength and Neuromuscular Power Training for Basketball. Strength Cond. J. 2016, 38, 72–80. [Google Scholar] [CrossRef]
- Arede, J.; Leite, N.; Tous-Fajardo, J.; Bishop, C.; Gonzalo-Skok, O. Enhancing High-Intensity Actions During a Basketball Game After a Strength Training Program With Random Recovery Times Between Sets. J. Strength Cond. Res. 2021, 36, 1989–1997. [Google Scholar] [CrossRef] [PubMed]
- Gonzalo-Skok, O.; Sánchez-Sabaté, J.; Izquierdo-Lupón, L.; Sáez de Villarreal, E. Influence of Force-Vector and Force Application Plyometric Training in Young Elite Basketball Players. Eur. J. Sport Sci. 2019, 19, 305–314. [Google Scholar] [CrossRef]
- Gonzalo-Skok, O.; Sánchez-Sabaté, J.; Tous-Fajardo, J.; Mendez-Villanueva, A.; Bishop, C.; Piedrafita, E. Effects of Direction-Specific Training Interventions on Physical Performance and Inter-Limb Asymmetries. Int. J. Environ. Res. Public. Health 2022, 19, 1029. [Google Scholar] [CrossRef]
- Arede, J.; Vaz, R.; Franceschi, A.; Gonzalo-Skok, O.; Leite, N. Effects of a Combined Strength and Conditioning Training Program on Physical Abilities in Adolescent Male Basketball Players. J. Sports Med. Phys. Fit. 2019, 59, 1298–1305. [Google Scholar] [CrossRef]
- Buchheit, M.; Laursen, P.B. High-Intensity Interval Training, Solutions to the Programming Puzzle. Part II: Anaerobic Energy, Neuromuscular Load and Practical Applications. Sports Med. Auckl. NZ 2013, 43, 927–954. [Google Scholar] [CrossRef]
- Tassignon, B.; Verschueren, J.; Baeyens, J.P.; Benjaminse, A.; Gokeler, A.; Serrien, B.; Clijsen, R. An Exploratory Meta-Analytic Review on the Empirical Evidence of Differential Learning as an Enhanced Motor Learning Method. Front. Psychol. 2021, 12, 1186. [Google Scholar] [CrossRef] [PubMed]
- Schöllhorn, W. Application of System Dynamic Principles to Technique and Strength Training. Acta Acad. Olymp. Est. 2000, 8, 67–85. [Google Scholar]
- Schöllhorn, W. The Nonlinear Nature of Learning-A Differential Learning Approach. Open Sports Sci. J. 2012, 5, 100–112. [Google Scholar] [CrossRef]
- Santos, S.; Coutinho, D.; Gonçalves, B.; Schöllhorn, W.; Sampaio, J.; Leite, N. Differential Learning as a Key Training Approach to Improve Creative and Tactical Behavior in Soccer. Res. Q. Exerc. Sport 2018, 89, 11–24. [Google Scholar] [CrossRef]
- Apidogo, J.B.; Burdack, J.; Schöllhorn, W.I. Repetition without Repetition or Differential Learning of Multiple Techniques in Volleyball? Int. J. Environ. Res. Public Health 2021, 18, 10499. [Google Scholar] [CrossRef]
- Apidogo, J.B.; Burdack, J.; Schöllhorn, W.I. Learning Multiple Movements in Parallel—Accurately and in Random Order, or Each with Added Noise? Int. J. Environ. Res. Public Health 2022, 19, 10960. [Google Scholar] [CrossRef] [PubMed]
- Arede, J.; Fernandes, J.F.T.; Schöllhorn, W.I.; Leite, N. Differential Repeated Sprinting Training in Youth Basketball Players: An Analysis of Effects According to Maturity Status. Int. J. Environ. Res. Public Health 2022, 19, 12265. [Google Scholar] [CrossRef]
- Fuchs, P.X.; Fusco, A.; Bell, J.W.; von Duvillard, S.P.; Cortis, C.; Wagner, H. Effect of Differential Training on Female Volleyball Spike-Jump Technique and Performance. Int. J. Sports Physiol. Perform. 2020, 15, 1019–1025. [Google Scholar] [CrossRef]
- Arede, J.; Poureghbali, S.; Freitas, T.; Fernandes, J.; Schöllhorn, W.I.; Leite, N. The Effect of Differential Repeated Sprint Training on Physical Performance in Female Basketball Players: A Pilot Study. Int. J. Environ. Res. Public Health 2021, 18, 12616. [Google Scholar] [CrossRef]
- Arede, J.; Sevin, I.P.; Williams, M.; Mikolajec, K.; Birrento, R.; Schöllhorn, W. Velocity and Acceleration-Based Differential Plyometric Training Effects on Young Basketball Players. J. Hum. Kinet. 2025, 96, 145–161. [Google Scholar] [CrossRef]
- Baena-Raya, A.; Díez-Fernández, D.M.; López-Sagarra, A.; Martínez-Rubio, C.; Soriano-Maldonado, A.; Rodríguez-Pérez, M.A. Novel Curvilinear Sprint Test in Basketball: Reliability and Comparison with Linear Sprint. J. Strength Cond. Res. 2023, 37, E535–E540. [Google Scholar] [CrossRef] [PubMed]
- Brearley, S.; Bishop, C. Transfer of Training: How Specific Should We Be? Strength Cond. J. 2019, 41, 97. [Google Scholar] [CrossRef]
- Williams, M.D.; Liew, B.; Castro, F.; Davy, G.; Moran, J. A Comparison of Maximal Acceleration Between the “Tic Tac” Parkour Action, Drop Jump, and Lay-Up Shot in Youth Basketball Players: A Preliminary Study Toward the Donor Sport Concept. J. Mot. Learn. Dev. 2024, 13, 146–165. [Google Scholar] [CrossRef]
- Solleiro-Duran, D.; Cidre-Fuentes, P.; Rey, E.; Baena-Raya, A.; Filter, A.; Padrón-Cabo, A. Effects of Linear versus Curvilinear Sprint Training on Multidirectional Speed in Young Soccer Players: A Randomized Parallel-Group Trial. Biol. Sport 2025, 42, 89–97. [Google Scholar] [CrossRef] [PubMed]
- Filter, A.; Olivares-Jabalera, J.; Santalla, A.; Morente-Sánchez, J.; Robles-Rodríguez, J.; Requena, B.; Loturco, I. Curve Sprinting in Soccer: Kinematic and Neuromuscular Analysis. Int. J. Sports Med. 2020, 41, 744–750. [Google Scholar] [CrossRef]
- Loturco, I.; Pereira, L.A.; Fílter, A.; Olivares-Jabalera, J.; Reis, V.P.; Fernandes, V.; Freitas, T.T.; Requena, B. Curve Sprinting in Soccer: Relationship with Linear Sprints and Vertical Jump Performance. Biol. Sport 2020, 37, 277–283. [Google Scholar] [CrossRef]
- Haff, G.G.; Triplett, T. (Eds.) Essentials of Strength Training and Conditioning; Human Kinetics Publishers Inc.: St. Champaign, IL, USA, 2016. [Google Scholar]
- Bosco, C.; Luhtanen, P.; Komi, P.V. A Simple Method for Measurement of Mechanical Power in Jumping. Eur. J. Appl. Physiol. 1983, 50, 273–282. [Google Scholar] [CrossRef]
- Bishop, C.; Read, P.; Lake, J.; Chavda, S.; Turner, A. Interlimb Asymmetries: Understanding How to Calculate Differences From Bilateral and Unilateral Tests. Strength Cond. J. 2018, 40, 1–6. [Google Scholar] [CrossRef]
- Nimphius, S.; Callaghan, S.J.; Spiteri, T.; Lockie, R.G. Change of Direction Deficit: A More Isolated Measure of Change of Direction Performance Than Total 505 Time. J. Strength Cond. Res. 2016, 30, 3024–3032. [Google Scholar] [CrossRef]
- Koo, T.K.; Li, M.Y. A Guideline of Selecting and Reporting Intraclass Correlation Coefficients for Reliability Research. J. Chiropr. Med. 2016, 15, 155–163. [Google Scholar] [CrossRef]
- Cormack, S.J.; Newton, R.U.; McGuigan, M.R.; Doyle, T.L.A. Reliability of Measures Obtained During Single and Repeated Countermovement Jumps. Int. J. Sports Physiol. Perform. 2008, 3, 131–144. [Google Scholar] [CrossRef] [PubMed]
- Wagenmakers, E.J.; Marsman, M.; Jamil, T.; Ly, A.; Verhagen, J.; Love, J.; Selker, R.; Gronau, Q.F.; Šmíra, M.; Epskamp, S.; et al. Bayesian Inference for Psychology. Part I: Theoretical Advantages and Practical Ramifications. Psychon. Bull. Rev. 2018, 25, 35–57. [Google Scholar] [CrossRef] [PubMed]
- Schöllhorn, W.; Eekhoff, A.; Hegen, P. Systemdynamik und differenzielles Lernen. Sportwiss 2015, 45, 127–137. [Google Scholar] [CrossRef]
- Chang, Y.-H.; Kram, R. Limitations to Maximum Running Speed on Flat Curves. J. Exp. Biol. 2007, 210, 971–982. [Google Scholar] [CrossRef]
- Ishimura, K.; Sakurai, S. Asymmetry in Determinants of Running Speed During Curved Sprinting. J. Appl. Biomech. 2016, 32, 394–400. [Google Scholar] [CrossRef]
- Alt, T.; Heinrich, K.; Funken, J.; Potthast, W. Lower Extremity Kinematics of Athletics Curve Sprinting. J. Sports Sci. 2015, 33, 552–560. [Google Scholar] [CrossRef] [PubMed]
- Graham-Smith, P.; Atkinson, L.; Barlow, R.; Jones, P. Braking Characteristics and Load Distribution in 180 Degree Turns. In Proceedings of the 5th Annual UK Strength and Conditioning Association Conference, Wyboston Lakes, UK, 5–7 June 2009. [Google Scholar]
- Verkhoshansky, Y.; Siff, M.C. Supertraining; Verkhoshansky SSTM: Rome, Italy, 2009; ISBN 978-88-904038-1-1. [Google Scholar]
- Gheller, R.G.; Kons, R.L.; Pupo, J.D.; Detanico, D. Effect of Vertical Jump and Sprint Training on Power and Speed Performance Transfer. Mot. Control 2023, 27, 373–401. [Google Scholar] [CrossRef]
- Pandy, M.G.; Lai, A.K.M.; Schache, A.G.; Lin, Y.C. How Muscles Maximize Performance in Accelerated Sprinting. Scand. J. Med. Sci. Sports 2021, 31, 1882–1896. [Google Scholar] [CrossRef]
- Henz, D.; Schöllhorn, W. Differential Training Facilitates Early Consolidation in Motor Learning. Front. Behav. Neurosci. 2016, 10, 199. [Google Scholar] [CrossRef]
- John, A.; Schöllhorn, W.I. Acute Effects of Instructed and Self-Created Variable Rope Skipping on EEG Brain Activity and Heart Rate Variability. Front. Behav. Neurosci. 2018, 12, 311. [Google Scholar] [CrossRef]
- Horst, F.; Rupprecht, C.; Schmitt, M.; Hegen, P.; Schöllhorn, W.I. Muscular Activity in Conventional and Differential Back Squat Exercise. In Proceedings of the 20th Annual Congress of the European College of Sport Science, Malmö, Sweden, 24–27 June 2015. [Google Scholar]
- Kogan, E.; Lu, J.; Zuo, Y. Cortical Circuit Dynamics Underlying Motor Skill Learning: From Rodents to Humans. Front. Mol. Neurosci. 2023, 16, 1292685. [Google Scholar] [CrossRef] [PubMed]


| Group | Age (years) | Height (cm) | Body Mass (kg) | Training Experience (years) |
|---|---|---|---|---|
| Control | 15.6 ± 1.1 | 178.4 ± 11.9 | 71.3 ± 11.3 | 7.0 ± 2.9 |
| Experimental | 12.9 ± 0.7 | 162.9 ± 14.0 | 53.0 ± 14.4 | 5.1 ± 2.4 |
| Component | Fluctuations | Component | Fluctuations |
|---|---|---|---|
| Body part | Upper body slightly faster than lower body | Body joint | Right knee slightly faster than left |
| Upper body largely faster than lower body | Left knee slightly faster than right | ||
| Right side slightly faster than left side | Right knee largely faster than left | ||
| Left side slightly faster than right side | Left knee largely faster than right | ||
| Right side largely faster than left side | Ankles slightly faster than hips | ||
| Left side largely faster than right side | Ankles largely faster than hips | ||
| Upper body faster than lower body | Ankles slightly faster than knees | ||
| Right lower body slightly faster than left lower body | Ankles largely faster than knees | ||
| Left lower body slightly faster than right lower body | Knees slightly faster than hips | ||
| Right lower body largely faster than left lower body | Knees largely faster than hips | ||
| Left lower body largely faster than right lower body | Knees slightly faster than ankles | ||
| Body joint | Right arm slightly faster than left arm | Knees largely faster than ankles | |
| Left arm slightly faster than right arm | Hips slightly faster than knees | ||
| Right arm body largely faster than left arm | Hips largely faster than knees | ||
| Left arm largely faster than right arm | Hips slightly faster than ankles | ||
| Right ankle slightly faster than left | Hips largely faster than ankles | ||
| Left ankle slightly faster than right | Phase | Eccentric phase slightly faster than concentric phase | |
| Right ankle largely faster than left | Eccentric phase largely faster than concentric phase | ||
| Left ankle largely faster than right | Concentric phase slightly faster than eccentric phase | ||
| Right hip slightly faster than left | Concentric phase largely faster than eccentric phase | ||
| Left hip slightly faster than right | Full movement | Increasing velocity | |
| Right hip largely faster than left | Decreasing velocity | ||
| Left hip largely faster than right | Interchangeable velocity |
| Weeks | 1–3 | 4–6 | 7–9 | 10–12 |
|---|---|---|---|---|
| Starting types | 2-point | 3-point | 4-point | Flying |
| Sprinting type | Curve sprinting | Double curve sprinting | 180° curve sprinting | Curve sprinting |
| Test Variables | ICC (95% CL) | CV (%) (95% CL) |
|---|---|---|
| CMJ (cm) | 0.98 (0.96; 0.99) | 4.12 (2.82; 5.41) |
| CMJR (cm) | 0.98 (0.96; 0.99) | 6.85 (4.88; 8.82) |
| CMJL (cm) | 0.96 (0.92; 0.98) | 6.96 (5.04; 8.88) |
| 0–10 m (s) | 0.98 (0.95; 0.99) | 1.83 (1.33; 2.32) |
| 10–20 m (s) | 0.98 (0.95; 0.99) | 2.10 (1.47; 2.73) |
| 0–20 m (s) | 0.98 (0.96; 0.99) | 1.72 (1.21; 2.23) |
| CODR (s) | 0.91 (0.79; 0.96) | 3.09 (1.66; 4.52) |
| CODL (s) | 0.97 (0.92; 0.99) | 2.09 (1.51; 2.68) |
Disclaimer/Publisher’s Note: The statements, opinions and data contained in all publications are solely those of the individual author(s) and contributor(s) and not of MDPI and/or the editor(s). MDPI and/or the editor(s) disclaim responsibility for any injury to people or property resulting from any ideas, methods, instructions or products referred to in the content. |
© 2025 by the authors. Licensee MDPI, Basel, Switzerland. This article is an open access article distributed under the terms and conditions of the Creative Commons Attribution (CC BY) license (https://creativecommons.org/licenses/by/4.0/).
Share and Cite
Arede, J.; Wells, J.; Williams, M.; Garcia, F.; Schöllhorn, W. Velocity-Based Curve Differential Repeated Sprinting Training: A Novel Approach to Shape Physical Performance in Young Basketball Players. J. Funct. Morphol. Kinesiol. 2025, 10, 157. https://doi.org/10.3390/jfmk10020157
Arede J, Wells J, Williams M, Garcia F, Schöllhorn W. Velocity-Based Curve Differential Repeated Sprinting Training: A Novel Approach to Shape Physical Performance in Young Basketball Players. Journal of Functional Morphology and Kinesiology. 2025; 10(2):157. https://doi.org/10.3390/jfmk10020157
Chicago/Turabian StyleArede, Jorge, Jack Wells, Mark Williams, Franc Garcia, and Wolfgang Schöllhorn. 2025. "Velocity-Based Curve Differential Repeated Sprinting Training: A Novel Approach to Shape Physical Performance in Young Basketball Players" Journal of Functional Morphology and Kinesiology 10, no. 2: 157. https://doi.org/10.3390/jfmk10020157
APA StyleArede, J., Wells, J., Williams, M., Garcia, F., & Schöllhorn, W. (2025). Velocity-Based Curve Differential Repeated Sprinting Training: A Novel Approach to Shape Physical Performance in Young Basketball Players. Journal of Functional Morphology and Kinesiology, 10(2), 157. https://doi.org/10.3390/jfmk10020157

