How Body-Centering Improves the Effects of Core Stability Training on the Motor Skills in Adolescent Female Volleyball Players
Abstract
1. Introduction
2. Materials and Methods
2.1. Participants
- -
- To have a non-pathological medical history with no injuries in the six months before the beginning of the research;
- -
- To participate in at least three training sessions per week;
- -
- To have at least three years of elite volleyball training experience competing in the elite youth championships;
- -
- To have a BMI in the normal ranges [30].
- -
- The exclusion criteria were as follows:
- -
- Missing more than 10% of the training sessions during the assessed period;
- -
- Experiencing injuries during the assessed period.
2.2. Study Design
2.3. Training Protocols
2.4. Motor Skill Measurements
- Balance assessment:
- -
- Berg Balance Scale (BBS):
- -
- Stork balance stand test (SBST):
- Trunk control assessment:
- -
- Trunk Control test (TCT):
- Lower limb explosive strength assessment
- -
- Broad jump test (BJ):
- -
- Squat jump (SJ) and drop jump (DJ) tests:
2.5. Statistical Analysis
3. Results
3.1. Pre–Post-Intervention
3.2. Follow-Up Analysis
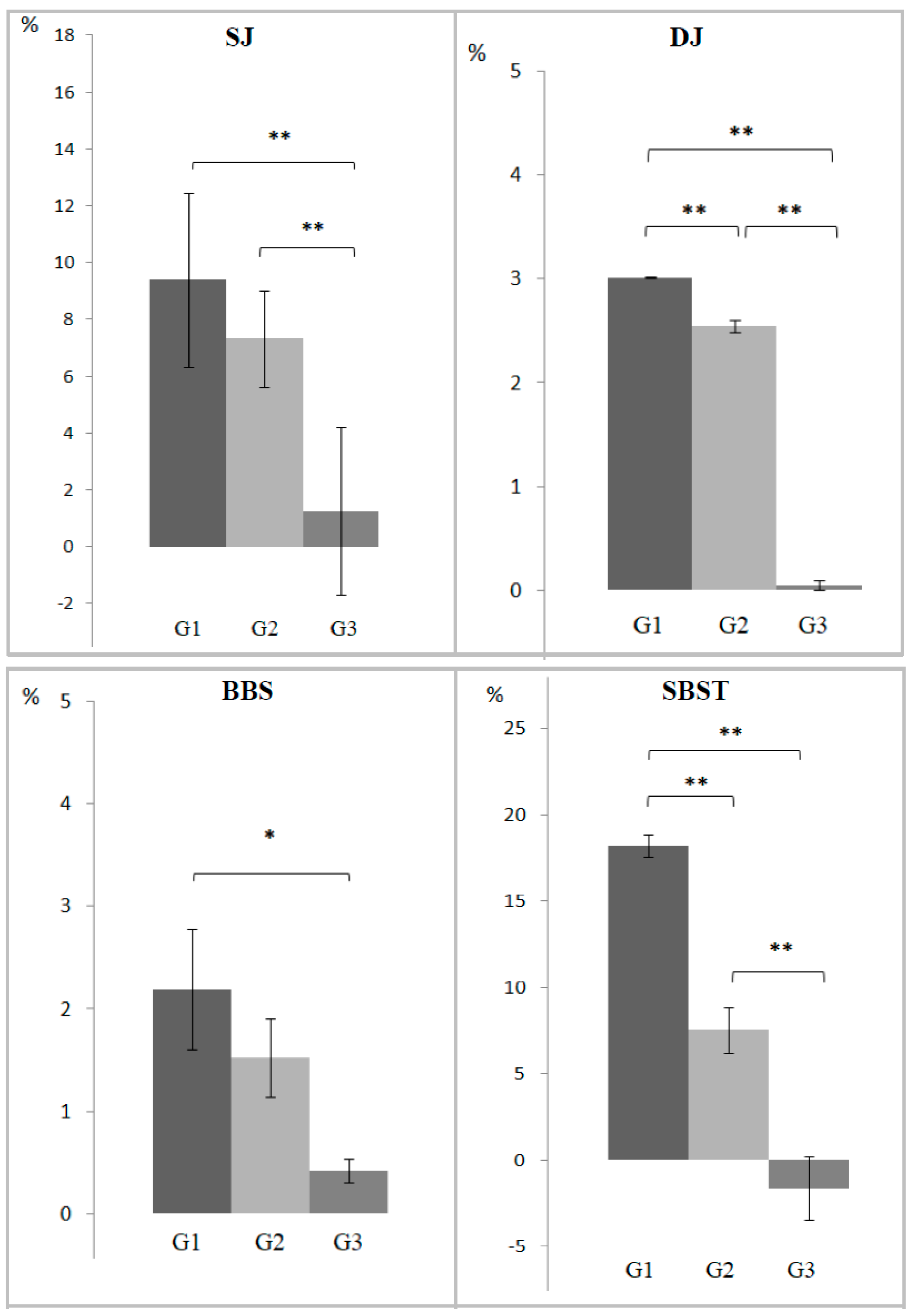
3.3. Delta Scores Group Comparisons
4. Discussion
4.1. Balance
4.2. Trunk Control
4.3. Jump Performance
4.4. Limitations of the Study
5. Conclusions
Supplementary Materials
Author Contributions
Funding
Institutional Review Board Statement
Informed Consent Statement
Data Availability Statement
Conflicts of Interest
References
- Akyüz, Ö. Effect of aerobic loading on static balance in young athletes. J. Educ. Train. Stud. 2017, 5, 154–159. [Google Scholar] [CrossRef][Green Version]
- Wang, F.; Dong, A.; Zhang, K.; Qian, D.; Tian, Y. A Quantitative Assessment Grading Study of Balance Performance Based on Lower Limb Dataset. Sensors 2023, 23, 33. [Google Scholar] [CrossRef] [PubMed]
- Garcia, S.; Delattre, N.; Berton, E.; Divrechy, G.; Rao, G. Comparison of landing kinematics and kinetics between experienced and novice volleyball players during block and spike jumps. BMC Sports Sci. Med. Rehabil. 2022, 14, 105. [Google Scholar] [CrossRef] [PubMed]
- Boichuk, R.; Iermakov, S.; Nosko, M.; Kovtsun, V.; Nosko, Y. Influence of motor coordination indicators on efficiency of game activity of volleyball players at the stage of specialized basic training. Phys. Educ. Stud. 2017, 21, 254–261. [Google Scholar] [CrossRef]
- Yoon, S.W.; Ha, G.C.; Ko, K.J.; Kim, J.D. The effect of proprioceptive training program on joint position senses, balance ability and agility of male volleyball players. Int. J. Hum. Mov. Sports Sci. 2022, 10, 1232–1244. [Google Scholar] [CrossRef]
- Kibler, W.B.; Press, J.; Sciascia, A. The role of core stability in athletic function. Sports Med. 2006, 36, 189–198. [Google Scholar] [CrossRef]
- Conley, D.S.; Fertig, T.A.; Huot, V.; Jacobsen, J.A.; Villwok, R.L.; Evetovich, T.; Engebretsen, B.; Todd, J. The best warm-up for optimal vertical jump performance in collegiate female volleyball athletes: 1438. Med. Sci. Sports Exerc. 2007, 39 (Suppl. S5), S322. [Google Scholar] [CrossRef]
- Voelzke, M.; Stutzig, N.; Thorhauer, H.A.; Granacher, U. Promoting lower extremity strength in elite volleyball players: Effects of two combined training methods. J. Sci. Med. Sport 2012, 15, 457–462. [Google Scholar] [CrossRef]
- Pardo-Ibáñez, A.; Bermejo, J.; Gandia, S.; Maitre, J.; Villarrasa-Sapiña, I.; Estevan, I.; García-Massó, X. Sensory reweighting during bipedal quiet standing in adolescents. Motor Control 2020, 24, 175–188. [Google Scholar] [CrossRef]
- Lykkegaard, C.R.; Andersen, H.S.; Wehberg, S.; Holden, S.; Waldorff, F.; Søndergaard, J.; Larsen, L.R.; Klakk, H.; Wedderkopp, N. The association between childhood motor performance and developmental trajectories of sport participation over 5 years in Danish students aged 6-16-year-old. Sci. Rep. 2023, 13, 4133. [Google Scholar] [CrossRef]
- Cengiz, C.O.; Oz, E.; Cengiz, E. Short-term plyometric and jump rope training effect on body profile and athletic performance in adolescent basketball players. Int. J. Sports Sci. Health 2022, 5, 132585–132586. [Google Scholar] [CrossRef]
- Brull-Muria, E.; Beltran-Garrido, J.V. Effects of a Specific Core Stability Program on the Sprint and Change-of-Direction Maneuverability Performance in Youth, Male Soccer Players. Int. J. Environ. Res. Public Health 2021, 18, 10116. [Google Scholar] [CrossRef]
- Christanto, D.A.; Adiputra, N.; Lesmana, S.; Sutjana, D.P.; Muliarta, M.; Wahyuddin. Penambahan latihan core stability pada program pelatihan atlet dayung untuk peningkatan kecepatan mendayung. Sport Perform. J. 2017, 5, 90–95. [Google Scholar] [CrossRef]
- Hibbs, A.E.; Thompson, K.G.; French, D.N.; Wrigley, A.; Spears, I.R. Optimizing performance by improving core stability and core strength. Sports Med. 2008, 38, 995–1008. [Google Scholar] [CrossRef] [PubMed]
- Willardson, J.M. Core stability training: Applications to sports conditioning programs. Strength Cond. J. 2007, 21, 979–985. [Google Scholar] [CrossRef]
- Mueller, J.; Hadzic, M.; Mugele, H.; Stoll, J.; Mueller, S.; Mayer, F. Effect of high-intensity perturbations during core-specific sensorimotor exercises on trunk muscle activation. J. Biomech. 2017, 67, 102–109. [Google Scholar] [CrossRef]
- Pérez-Gómez, J.; Adsuar, J.C.; Alcaraz, P.E.; Carlos-Vivas, J. Physical exercises for preventing injuries among adult male football players: A systematic review. J. Sport Health Sci. 2022, 11, 115–122. [Google Scholar] [CrossRef]
- Bagherian, S.; Ghasempoor, K.; Rahnama, N.; Wikstrom, E.A. The Effect of Core Stability Training on Functional Movement Patterns in College Athletes. J Sport Rehabil. 2019, 28, 444–449. [Google Scholar] [CrossRef]
- Sharma, A.; Geovinson, S.G.; Singh Sandhu, J. Effects of a nine-week core strengthening exercise program on vertical jump performances and static balance in volleyball players with trunk instability. J. Sports Med. Phys. Fit. 2012, 52, 606–615. [Google Scholar] [PubMed]
- Monastiridi, S.G.; Katartzi, E.; Kourtessis, T.; Vlachopoulos, S. A core stabilization program improves motor performance and health-related quality of life in adolescents with motor difficulties. Health Fit. J. Can. 2021, 14, 312–319. [Google Scholar] [CrossRef]
- Fredericson, M.; Moore, T. Muscular balance, core stability, and injury prevention for middle- and long-distance runners. Phys. Med. Rehabil. Clin. N. Am. 2005, 16, 669–689. [Google Scholar] [CrossRef] [PubMed]
- Hodges, P.W.; Eriksson, A.E.; Shirley, D.; Gandevia, S.C. Intra-abdominal pressure increases stiffness of the lumbar spine. J. Biomech. 2005, 38, 1873–1880. [Google Scholar] [CrossRef] [PubMed]
- Milanesi, R.; Caregnato, R.C.A. Einstein (Sao Paulo) Intra-abdominal pressure: An integrative review. Einstein 2016, 14, 423–430. [Google Scholar] [CrossRef]
- Madle, K.; Svoboda, P.; Stribrny, M.; Novak, J.; Kolar, P.; Busch, A.; Kobesova, A.; Bitnar, P. Abdominal wall tension increases using Dynamic Neuromuscular Stabilization principles in different postural positions. Musculoskelet. Sci. Pract. 2022, 62, 102655. [Google Scholar] [CrossRef]
- Ohya, T.; Yamanaka, R.; Hagiwara, M.; Oriishi, M.; Suzuki, Y. The 400- and 800-m Track Running Induces Inspiratory Muscle Fatigue in Trained Female Middle-Distance Runners. J. Strength Cond. Res. 2016, 30, 1433–1437. [Google Scholar] [CrossRef]
- Zemková, E.; Zapletalová, L. The Role of Neuromuscular Control of Postural and Core Stability in Functional Movement and Athlete Performance. Front. Physiol. 2022, 13, 796097. [Google Scholar] [CrossRef]
- Ambretti, A.; Fogliata, A.; Martiniello, L. Impact of centering in physical education on adolescents: A transdisciplinary approach to well-being. J. Incl. Methodol. Technol. Learn. Teach. 2023, 3, 1–9. [Google Scholar]
- Fogliata, A.; Borghini, R.; Ambretti, A. “Centering”: A fundamental instrument for teaching balance in competitive adolescents. J. Phys. Educ. Sport (JPES) 2023, 23, 1495–1500. [Google Scholar] [CrossRef]
- Rodríguez-Perea, Á.; Reyes-Ferrada, W.; Jerez-Mayorga, D.; Chirosa Ríos, L.; Van den Tillar, R.; Chirosa Ríos, I.; Martínez-García, D. Core training and performance: A systematic review with meta-analysis. Biol. Sport 2023, 40, 975–992. [Google Scholar] [CrossRef]
- Pavlović, R.; Savić, V.; Radulović, N.; Skrypchenko, I. Detection of female volleyball player body composition using bioelectric impedance analysis: Cross-sectional study. Health Sport Rehabil. 2022, 8, 28–38. [Google Scholar] [CrossRef]
- Lacey, S.; Bruce, J.; Brooks, S.; Griswald, J.; Ferguson, W.; Allen, J.; Jewett, T.; Karp, M.; Cooney, D. The relative merits of various methods of indirect measurement of intraabdominal pressure as a guide to closure of abdominal wall defects. J. Pediatr. Surg. 1987, 22, 1207–1211. [Google Scholar] [CrossRef]
- Cresswell, A.G.; Thorstensson, A. Changes in intra-abdominal pressure, trunk muscle activation and force during isokinetic lifting and lowering. Eur. J. Appl. Physiol. Occup. Physiol. 1994, 68, 315–321. [Google Scholar] [CrossRef]
- Miranda-Cantellops, N.; Tiu, T.K. Berg Balance Testing. In StatPearls; StatPearls Publishing: Treasure Island, FL, USA, 2023. [Google Scholar] [PubMed]
- Mujtaba, S.B.; Rehman, S.S.; Ikram, M.; Jalil, M.; Tariq, K. Effects of neuromuscular training on single limb stability in young female athletes. Turk. J. Physiother. Rehabil. 2022, 6, 130–138. [Google Scholar] [CrossRef]
- De Luca, A.; Squeri, V.; Barone, L.; Vernetti Mansin, H.; Ricci, S.; Pisu, I.; Cassiano, C.; Capra, C.; Lentino, C.; De Michieli, L.D.; et al. Dynamic Stability and Trunk Control Improvements Following Robotic Balance and Core Stability Training in Chronic Stroke Survivors: A Pilot Study. Front. Neurol. 2020, 11, 494. [Google Scholar] [CrossRef]
- Ghorpade, O.S.; Rizvi, M.R.; Sharma, A.; Almutairi, H.J.; Ahmad, F.; Hasan, S.; Shaik, A.R.; Seyam, M.K.; Uddin, S.; Nanjan, S.; et al. Enhancing physical attributes and performance in badminton players: Efficacy of backward walking training on treadmill. BMC Sports Sci. Med. Rehabil. 2024, 16, 170. [Google Scholar] [CrossRef]
- Santos, M.S.; Behm, D.G.; Barbado, D.; DeSantana, J.M.; Da Silva-Grigoletto, M.E. Core Endurance Relationships with Athletic and Functional Performance in Inactive People. Front. Physiol. 2019, 10, 1490. [Google Scholar] [CrossRef]
- Krishnan, A.; Sharma, D.; Bhatt, M.; Dixit, A.; Pradeep, P. Comparison between Standing Broad Jump test and Wingate test for assessing lower limb anaerobic power in elite sportsmen. Med. J. Armed. Forces India 2017, 73, 140–146. [Google Scholar] [CrossRef]
- De Blas Foix XPadullés, J.M.; López del Amo, J.L.; Guerra-Balic, M. Creation and validation of Chronojump-Boscosystem: A free tool to measure vertical jumps. Rev. Int. Cienc. Deporte 2012, 8, 334–356. [Google Scholar] [CrossRef]
- McMahon, J.J.; Lake, J.P.; Stratford, C.; Comfort, P. A Proposed Method for Evaluating Drop Jump Performance with One Force Platform. Biomechanics 2021, 1, 178–189. [Google Scholar] [CrossRef]
- Markovic, G.; Dizdar, D.; Jukic, I.; Cardinale, M. Reliability and factorial validity of squat and countermovement jump tests. J. Strength Cond. Res. 2004, 18, 551–555. [Google Scholar] [CrossRef] [PubMed]
- Tsai, Y.J.; Chia, C.C.; Lee, P.Y.; Lin, L.C.; Kuo, Y.L. Landing Kinematics, Sports Performance, and Isokinetic Strength in Adolescent Male Volleyball Athletes: Influence of Core Training. J. Sport Rehabil. 2020, 29, 65–72. [Google Scholar] [CrossRef] [PubMed]
- Çakir, M.; Ergin, E. The effect of core training on agility, explosive strength, and balance in young female volleyball players. J. Sports Sci. Res. 2022, 7, 213–223. [Google Scholar] [CrossRef]
- Oliver, G.D.; Di Brezzo, R. Functional balance training in collegiate women athletes. J. Strength Cond. Res. 2009, 23, 2124–2129. [Google Scholar] [CrossRef]
- Kavanaugh, A.A.; Mizuguchi, S.; Sands, W.A.; Ramsey, M.W.; Stone, M.H. Long-Term Changes in Jump Performance and Maximum Strength in a Cohort of National Collegiate Athletic Association Division I Women’s Volleyball Athletes. J. Strength Cond. Res. 2018, 32, 66–75. [Google Scholar] [CrossRef]
- Dafkou, K.; Sahinis, C.; Ellinoudis, A.; Kellis, E. Is the Integration of Additional Eccentric, Balance and Core Muscles Exercises into a Typical Soccer Program Effective in Improving Strength and Postural Stability? Sports 2021, 9, 147. [Google Scholar] [CrossRef]
- Pratama, I.G. Pengaruh Latihan Sirkuit Menggunakan Core Stability Static Exercise Terhadap Keseimbangan dan Daya Tahan Otot Perut. Briliant J. Ris. Konseptual 2020, 5, 56–64. [Google Scholar] [CrossRef][Green Version]
- Mueller, S.; Mueller, J.; Stoll, J.; Mayer, F. Effect of six-week resistance and sensorimotor training on trunk strength and stability in elite adolescent athletes: A randomized controlled pilot trial. Front. Physiol. 2022, 13, 802315. [Google Scholar] [CrossRef]
- Dewi, P.C.P.; Palgunadi, I. Pengaruh Latihan Core Stability terhadap Keseimbangan Atlet Panahan Usia 7-11 Tahun. J. Olahraga 2021, 6, 130–138. [Google Scholar] [CrossRef]
- Dong, K.; Yu, T.; Chun, B. Effects of Core Training on Sport-Specific Performance of Athletes: A Meta-Analysis of Randomized Controlled Trials. Behav. Sci. 2023, 13, 148. [Google Scholar] [CrossRef]
- Granacher, U.; Schellbach, J.; Klein, K.; Prieske, O.; Baeyens, J.-P.; Muehlbauer, T. Effects of core strength training using stable versus unstable surfaces on physical fitness in adolescents: A randomized controlled trial. BMC Sports Sci. Med. Rehabil. 2014, 6, 40. [Google Scholar] [CrossRef]
- Reed, C.A.; Ford, K.R.; Myer, G.D.; Hewett, T.E. The effects of isolated and integrated ‘core stability’ training on athletic performance measures: A systematic review. Sports Med. 2012, 42, 697–706. [Google Scholar] [CrossRef] [PubMed]
- Hill, J.; Leiszler, M. Review and Role of Plyometrics and Core Rehabilitation in Competitive Sport. J. Strength Cond. Res. 2011, 25, 3167–3175. [Google Scholar] [CrossRef] [PubMed]
- Hoshikawa, Y.; Iida, T.; Muramatsu, M.; Ii, N.; Nakajima, Y.; Chumank, K.; Kanehisa, H. Effects of stabilization training on trunk muscularity and physical performances in youth soccer players. J. Strength Cond. Res. 2013, 27, 3142–3149. [Google Scholar] [CrossRef] [PubMed]
- Ferri Caruana, A.M.; Pardo Ibáñez, A.; Cano Garrido, A.; Cabeza Ruiz, R. The effect of a core training program on jump performance in female handball players. Rev. Andal. Med. Deporte 2022, 15, 22–28. [Google Scholar] [CrossRef]
- Harman, E.A.; Frykman, P.N.; Clagett, E.R.; Kraemer, W.J. Intra-abdominal and intra-thoracic pressures during lifting and jumping. Med. Sci. Sports Exerc. 1988, 20, 195–201. [Google Scholar] [CrossRef]
- Saeterbakken, A.H.; Stien, N.; Andersen, V.; Scott, S.; Cumming, K.T.; Behm, D.G.; Granacher, U.; Prieske, O. The Effects of Trunk Muscle Training on Physical Fitness and Sport-Specific Performance in Young and Adult Athletes: A Systematic Review and Meta-Analysis. Sports Med. 2022, 52, 1599–1622. [Google Scholar] [CrossRef]


| Exercise | Sets | Reps |
|---|---|---|
| Plank | 3–5 | 30–60 s |
| Bird-dog | 3–5 | 10–12 reps |
| Russian Twist | 3–5 | 12–16 reps per side |
| Leg Raises | 3–5 | 10–12 reps |
| Dead Bug | 3–5 | 8–12 reps per side |
| Side Plank (both sides) | 3–5 | 30–45 s per side |
| Leg Bridge | 3–5 | 10–20 reps |
| Period | Type of Exercise | Specific Activities | Progression |
|---|---|---|---|
| Weeks 1–2 G3 | Aerobic (10′) Footwork drills (6′) Lower limb activation (6′) General mobility (8′) | - Steady-pace running - Basic locomotor drills - Static calf raises - Mobility for neck, shoulders, wrists, and fingers | Low-intensity activation. Focus on joint range of motion and basic motor control. |
| Weeks 3–4 G3 | Aerobic (10′) Footwork drills (6′) Lower limb activation (6′) General mobility (8′) | - Running with light directional changes - Alternating movement patterns - Dynamic calf raises - Broader range mobility exercises | Increased movement variability and amplitude. Slight rise in motor complexity. |
| Weeks 5–6 G3 | Aerobic (10′) Footwork drills (6′) Lower limb activation (6′) General mobility (8′) | - Running with tempo variations - Combined, faster drills - Calf raises with isometric holds - Fluid mobility sequences | Introduction of rhythm changes and enhanced neuromuscular control. |
| Weeks 7–8 G3 | Aerobic (10′) Footwork drills (6′) Lower limb activation (6′) General mobility (8′) | - Running and direction shifts - Articulated movement sequences - Advanced calf raise variations - Full-body joint mobility routines | Peak phase of dynamic work. Emphasis on coordinated multi-joint control. |
| Follow-up (G1–G2–G3) | General physical maintenance | - Cardiovascular drills and footwork-based movement games - Muscle work targeting shoulder and lower limb chains | No core stability or body-centering exercises included. |
| Movement | Description | Time | Score Criteria |
|---|---|---|---|
| Flexion | Lean forward from the trunk while keeping the back straight | 30″ | 0 = The individual is unable to perform the movement on their own. 1 = The individual is able to perform the movement with some difficulty or instability. 2 = The individual is able to perform the movement with minimal difficulty. 3 = The individual is able to perform the movement perfectly and without difficulty. |
| Extension | Arch the back backward while keeping the trunk stable | 30″ | |
| Lateral inclination | Tilt the trunk laterally from side to side | 30″ | |
| Rotation | Rotate the trunk from side to side | 30″ |
| Group 1-T0 | Group 1-T1 | Group 1-T2 | |
|---|---|---|---|
| Mean ± St-Dev | Mean ± St-Dev | Mean ± St-Dev | |
| BBS [score] | 39.93 ± 1.82 | 40.79 ± 1.67 ** | 40.71 ± 1.64 * |
| TCT [score] | 9.36 ± 1.15 | 9.79 ± 1.37 * | 9.71 ± 1.20 * |
| BJT [cm] | 243.21 ± 18.77 | 244.29 ± 18.69 | 241.43 ± 19.16 |
| SBST [s] | 11.14 ± 1.46 | 13.14 ± 1.46 ** | 13.00 ± 1.57 ** |
| SJ [watt] | 400.60 ± 54.84 | 436.36 ± 65.22 * | 400.27 ± 21.29 |
| DJ [watt] | 36,562.14 ± 11,169.28 | 37,663.79 ± 11,506.14 ** | 36,552.14 ± 11,169.29 |
| Group 2-T0 | Group 2-T1 | Group 2-T2 | |
| Mean ± St-Dev | Mean ± St-Dev | Mean ± St-Dev | |
| BBS [score] | 38.06 ± 2.35 | 38.63 ± 2.13 ** | 38.38 ± 2.33 * |
| TCT [score] | 8.44 ± 0.89 | 8.81 ± 1.05 * | 8.81 ± 1.11 * |
| BJT [cm] | 231.56 ± 16.71 | 232.50 ± 16.53 | 231.25 ± 15.86 |
| SBST [s] | 9.00 ± 1.15 | 9.69 ± 1.35 ** | 9.44 ± 1.15 ** |
| SJ [watt] | 394.17 ± 44.71 | 422.17 ± 46.38 | 388.04 ± 42.84 |
| DJ [watt] | 41,747.48 ± 1176.17 | 42,829.49 ± 1254.90 ** | 41,737.48 ± 1176.17 |
| Group 3-T0 | Group 3-T1 | Group 3-T2 | |
| Mean ± St-Dev | Mean ± St-Dev | Mean ± St-Dev | |
| BBS [score] | 36.93 ± 2.16 | 37.07 ± 2.02 | 37.00 ± 2.35 |
| TCT [score] | 9.07 ± 0.83 | 9.14 ± 1.35 | 8.64 ± 1.55 |
| BJT [cm] | 235.36 ± 18.02 | 236.43 ± 14.47 | 235.00 ± 10.92 |
| SBST [s] | 10.14 ± 2.68 | 9.93 ± 2.62 | 9.79 ± 2.61 |
| SJ [watt] | 381.11 ± 58.02 | 382.19 ± 47.82 | 389.44 ± 47.69 |
| DJ [watt] | 42,844.05 ± 4883.80 | 42,866.37 ± 4879.78 | 42,929.83 ± 4840.96 |
Disclaimer/Publisher’s Note: The statements, opinions and data contained in all publications are solely those of the individual author(s) and contributor(s) and not of MDPI and/or the editor(s). MDPI and/or the editor(s) disclaim responsibility for any injury to people or property resulting from any ideas, methods, instructions or products referred to in the content. |
© 2025 by the authors. Licensee MDPI, Basel, Switzerland. This article is an open access article distributed under the terms and conditions of the Creative Commons Attribution (CC BY) license (https://creativecommons.org/licenses/by/4.0/).
Share and Cite
Fogliata, A.; Silvestri, F.; Marcelli, L.; Gallotta, M.C.; Curzi, D. How Body-Centering Improves the Effects of Core Stability Training on the Motor Skills in Adolescent Female Volleyball Players. J. Funct. Morphol. Kinesiol. 2025, 10, 144. https://doi.org/10.3390/jfmk10020144
Fogliata A, Silvestri F, Marcelli L, Gallotta MC, Curzi D. How Body-Centering Improves the Effects of Core Stability Training on the Motor Skills in Adolescent Female Volleyball Players. Journal of Functional Morphology and Kinesiology. 2025; 10(2):144. https://doi.org/10.3390/jfmk10020144
Chicago/Turabian StyleFogliata, Arianna, Fioretta Silvestri, Lorenzo Marcelli, Maria Chiara Gallotta, and Davide Curzi. 2025. "How Body-Centering Improves the Effects of Core Stability Training on the Motor Skills in Adolescent Female Volleyball Players" Journal of Functional Morphology and Kinesiology 10, no. 2: 144. https://doi.org/10.3390/jfmk10020144
APA StyleFogliata, A., Silvestri, F., Marcelli, L., Gallotta, M. C., & Curzi, D. (2025). How Body-Centering Improves the Effects of Core Stability Training on the Motor Skills in Adolescent Female Volleyball Players. Journal of Functional Morphology and Kinesiology, 10(2), 144. https://doi.org/10.3390/jfmk10020144

