Abstract
In this work, we studied the light-output properties, efficiency function, as well as the pulse-shape discrimination (PSD) capability of p-Terphenyl scintillator. The selected solid cylindrical scintillation detector has a thickness of 45 mm and a diameter of 45 mm. Recently presented studies of light-output functions have only been measured for low-neutron energies. Our motivation has been to determine the light output function for p-Terphenyl scintillator more accurately over a wider neutron energy range. The measurements have been carried out with mono-energetic neutron beams in the wide energy range from 1.1 to 19 MeV. The neutron–gamma spectrometric system which we developed has been used for the measurement. The input analog signal from the detector was digitized with a fast 12-bits analog to digital converter with a sampling frequency of 1 GHz. Measured data from the detector are processed into the gamma and neutron spectra. The accurate light output function for the p-Therphenyl scintillator has been calculated. The pulse-shape discrimination capability, as well as the detection efficiency, of a p-Terphenyl scintillator are lower in comparison with a NE-213 equivalent detector.
1. Introduction
In this work, we aim to measure the response of the p-Therphenyl scintillator with a mono-energetic radiation source and determine the light output function. We were motivated by the fact that recently presented studies of light output functions [1,2] with the p-Therphenyl scintillator are measured only for neutron energies of up to 8 MeV, which is limiting for practical applications in neutron fields with higher energies, e.g., in particle accelerator laboratories.
Determining the scintillator's light output function accurately is crucial for Monte Carlo simulations of scintillation detector responses. It is well established that protons and electrons of the same energy produce light pulses of different intensities due to differences in ionization density. The light output function captures the nonlinear relationship between proton energy (MeV) and the scintillator's light output, typically expressed in terms of electron equivalent energy (MeVee), reflecting the scintillator's response as if the deposited energy were due to electrons.
The p-Therphenyl scintillator has been placed in a field of mono-energetic radiation over a wide energy range (1.1 to 19 MeV). In this energy range, a new, more accurate light output function has been determined. Furthermore, we carried out a comparison of the PSD capability between the p-Terphenyl scintillator and the well-known NE-213 scintillator. Detection efficiency functions for both scintillators were calculated by the Monte Carlo method.
2. Materials and Methods
2.1. Materials
A solid cylindrical scintillation detector p-Terphenyl of (diameter 45 mm × thickness 45 mm) with PSD properties has been studied in this work. The detector was mounted to a Hamamatsu R6231 photomultiplier tube with an effective diameter of 46 mm, using optical silicon rubber. The optical transmission of the interface was 90%. The photomultiplier was connected to an active voltage divider.
The p-Terphenyl, also known as 1,4-Diphenylbenzene or p-Diphenylbenzene, is a white crystalline solid that is highly soluble in organic solvents such as ethyl acetate, benzene and toluene.
The p-Terphenyl has a molecular formula of C6H5C6H4C6H5 (C18H14) and a molecular weight of 230.31 g/mol. The compound is derived from three phenyl groups connected by a single bond, giving it a linear structure. The p-Terphenyl product number CAS 92-94-4 is meticulously manufactured to ensure a purity level of 99.5%.
2.2. Digital Neutron–Gamma Spectrometer
The digital spectrometer (Figure 1) is built as a modular system, allowing for the use of different types of scintillation detectors. The preamplifier splits the signal from the detector into two branches. Each branch is differently amplified and digitized by a separate ADC. Different amplification increases the dynamic range of particles that the spectrometer is able to process.
Figure 1.
The scheme of digital spectrometer.
The input analog signal from the p-Terphenyl detector is digitized with a fast 12-bit analog to digital converter with a sampling frequency of 1 GHz. Digital signal processing is implemented into FPGA. FPGA is able to process all data flowing from the ADC (12 Gbits per second). The spectrometer is connected with a computer via an optical ethernet of 10 Gbit.
2.3. Experimental Setup
The first experimental measurements have been performed at the PTB Ion Accelerator Facility, where mono-energetic neutron fields are produced via selected reactions of proton and deuteron beams with light- or medium-weight target nuclei. The measurements were carried out in open geometry in the low-scattering hall, where the contribution of scattered neutrons is minimized by having grid floors [3,4].
Two neutron energies, 2.5 and 19 MeV, were used in this experimental campaign. The reactions 3H(p,n)3He and 3H(d,n)4He on a titanium tritium target with a density of 1831 μg/cm2 were used. The mean neutron energy was obtained at a neutron emission angle of zero degrees with respect to the direction of the incident beam. The experimental arrangement is shown in Figure 2.
Figure 2.
The experimental arrangement in the low-scatter hall of PTB laboratory. Position of the detector (on the (left)-side) and the beam target (on the (right)-side) as used for the measurements.
The second measurements have been carried out in the laboratory with experimental reactor LVR-15 at Research Center Rez (CVR), Prague. Well defined moderate neutron spectra with energies, see Table 1, have been measured at the end of the horizontal beam port. Thermal neutrons and gammas was reduced via filter composed of 6Li, Cd, Bi, Pb. The experimental arrangement at CVR is shown in Figure 3.
Table 1.
The overview of used neutron energies during the experimental measurements.
Figure 3.
The experimental arrangement in the laboratory with LVR-15 reactor at CVR. The detector was placed along the beam axis at a 1.5 m distance from the silicon filter target [5].
A 1 m wide silicon single crystal was used as moderator of the neutron spectra. The moderated spectrum has characteristic neutron energies; see Figure 4.
Figure 4.
The unfolded silicon moderated neutron spectrum measured with stilbene [5].
2.4. Methods
The digital spectrometer provides both neutron and photon spectra. The measured spectra are calibrated using gamma-ray sources in keVee units. Pulse integrals are discretely divided into measurement bins. The Compton edge method was used for energy calibration [6]. The position of the Compton edge can best be determined if the properly folded theoretical distribution is fitted to the experimental photon spectrum by a least square fit including only the region of the Compton edge. The linear transformation coefficients were derived from positions of the Compton edges in the spectra of two gamma-ray sources 137Cs and 60Co. Sources of activity 350 kBq have been placed on the center of the front face detector. Measurement time has been determined in accordance with count rates from the detectors. The surrounding background has been subtracted from the measured spectra.
Data were acquired over a time of 2 h for each measurement. Subsequently, these data have been used to calculate light-output parameters and the PSD matrix of the p-Terphenyl scintillator.
The digital spectrometer has incorporated the integration method [7] for recognition of neutron and photon pulses. The integration method is based on the principle of pulse charge comparison. The PSD parameter is calculated to recognize neutron and photon events:
where T0 corresponds to the beginning of the pulse, Ttail is an optimized beginning of the tail part of the pulse and Tend is an optimized end point of the pulse (see Figure 5). The optimized PSD parameters for the p-Terphenyl scintillator were set the same for all performed experiments, i.e., Ttail = 16 ns and Tend = 96 ns.
Figure 5.
The mechanism of pulse schape discrimination.
The experimental measurements of the scintillator response spectra were performed using the digital spectrometer in the laboratories CVR and PTB. The neutron response spectra have been identified employing the PSD method.
A summary of the incident neutron energies used in the experiments is given in Table 1. The edge with the highest equivalent electron energy in the neutron response spectrum corresponds to the maximum energy deposited in the scintillator by the neutron-reflected proton.
3. Results
The pulse-shape discrimination capability of the p-Terphenyl scintillator coupled to the fast digital spectrometer has been evaluated for selected energy of 14 MeV. We carried out the same measurement with the equivalent NE-213 detector. We studied the PSD capability (see Equation (1)) for each measured detector. Two-dimensional graphs have been created (see Figure 6).
Figure 6.
The 2D plot of the PSD matrix: (a) p-Terphenyl scintillator, (b) NE-213 scintillator.
Selected results of neutron/gamma discrimination quality are shown in Table 2. The critical value of Figure of Merit (FoM) 1.27 is an indicator of good neutron/gamma separation [8,9]. The gray fields indicate gamma energies where FoM values exceed the critical value. According to the combination of FoM and energy parameters, we can evaluate quality of neutron/gamma separation.
Table 2.
Selected critical values of FoM from investigated scintillators.
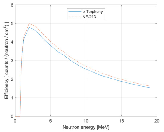
The detection efficiency calculations of the p-Terphenyl scintillator and an equivalent detector NE-213 has been performed using a Monte-Carlo MCNP 6.2 code [10]. The equivalent detector NE-213 has the same geometry as the p-Terphenyl scintillator. We use the tally F8 for charge particles. The efficiency curves for the p-Terphenyl and the NE-213 equivalent detector, with the same 100 keVee threshold, are shown in Figure 7.
Figure 7.
The calculated efficiency for p-Terphenyl scintillator and equivalent NE-213.
For neutron energies of less than 1 MeV, the p-Terphenyl scintillator has a slightly higher efficiency, no more than 4%, compared to the NE-213 detector. On the contrary, at higher neutron energies, the efficiency of the NE-213 detector is higher by up to 6%.
The normalized light-yield spectra for p-Therphenyl scintillator in selected mono-energetic neutron beams are shown in Figure 8 as well as the edges of the proton spectrum for each measured neutron energy. The proton edges give an overview of the equivalent energies that were used to calculate the light output parameters. An overview of the equivalent energies of the proton edges is given in Table 3.
Figure 8.
The normalized light-yield spectra for p-Therphenyl scintillator. The proton edges are labeled L(1) … L(10), the numerical values are listed in Table 3.
Table 3.
The overview of the equivalent energies of the proton edges.
The light output function is important for unfolding the neutron spectra from the pulse height distribution. The light output function is described by the following formula [11]:
where Ee is the electron energy in MeVee and L0, L1 are fitting parameters. The experimental data have been processed in the Matlab SW and the fit function was employed. Calculated fit parameters and their confidence bound of 95% are stated in Table 4.
Table 4.
The Light output parameters for investigated scintillator.
The light output function is shown in Figure 9 with 95% confidence bounds. There is a good agreement between the measured data and fitted function (R-Square = 0.9998 and Adjusted R-Square = 0.9998).
Figure 9.
The light output function for p-Therphenyl scintillator. The red dashed lines show 95% confidence bounds for the fitted function.
4. Discussion
The light output function and pulse-shape discrimination capability of the p-Therphenyl scintillator have been measured and evaluated over a much wider energy range than previously reported.
Light output parameters (see Table 4 of the p-Therphenyl scintillator) have been determined from the data fitted by the function described in Equation (2). Previous studies concerned with the same issue have reported the results of light output functions in their publications (see ref. [1,2]). The time of flights method was used in the publications [1,2]. In the case of results [2], the light output function was determined in the energy range of 0.8 to 4 MeV using the 252Cf source. In the study [2], the light output function was determined in the energy range of 0.2 to 8 MeV.
We compared our results with previously presented results of light output functions (see Figure 10). Our light output function was determined in the wide energy range (1.1–19) MeV. The results reported in study [1] are higher in comparison with our values, and, conversely, our values are higher than the results stated in study [2] for energies less than 8 MeV. The main contribution of our work is the overall refinement of the light output function for the p-Therphenyl scintillator.
Figure 10.
The comparison of the light output functions for p-Therphenyl scintillator. The light output functions were determined in the neutron energy intervals (1.1–19) MeV using Equation (2), (0.8–4) MeV in Ref. [1] (red line) and (0.2–8) MeV in Ref. [2] (blue line).
The ability of the p-terphenyl scintillator to recognize the pulse shape was compared with the equivalent neutron detector NE-213. As can be seen in Figure 6 and Table 2, the neutron–gamma separation is not nearly as sharp and sufficiently separated (separation parameter) as in the case of the NE-213 detector. The p-Therphenyl scintillator has worse properties in this respect than the NE-213 detector, which is to be expected. Some liquid scintillators are considered, although health and fire hazards make them unsuitable for certain applications. Solid-state scintillators like p-Therphenyl are usable for fast neutron detection in dosimetry and homeland security applications.
The results will be used in the future, especially in the design of new detectors and in simulations of radiation transport using a Monte Carlo code. Using the new light output function parameters (see Table 4) will ensure more accurate calculations and thus achieve more realistic results in practical applications.
Author Contributions
Conceptualization, A.J., Z.M. and M.K.; methodology, A.J. and Z.K.; software, Z.M.; validation, J.Č.; data curation, A.J., Z.K. and M.K.; formal analysis, A.J. and Z.K.; writing—original draft preparation, A.J.; supervision, Z.K. and Z.M.; project administration, A.J., Z.M. and M.K.; funding acquisition, A.J., Z.M. and M.K. All authors have read and agreed to the published version of the manuscript.
Funding
This research was funded by the Ministry of Education, Youth and Sports of the Czech Republic, project No. LM2018118 “VR-1—Support for reactor operation for research activities” and by use of the infrastructure Reactors LVR-15 and LR-0 project LM 2023041.
Data Availability Statement
Data will be made available upon request.
Acknowledgments
We are very grateful to the Physikalisch-Technische Bundesanstalt at Braunschweig for allowing the measurements in the laboratory with the Ion Accelerator.
Conflicts of Interest
Author Aleš Jančář, Zdeněk Kopecký and Jiří Čulen are employed by the company VF NUCLEAR. Michal Košťál is employed by the company Research Centre Řež Ltd. The remaining authors declare that the research was conducted in the absence of any commercial or financial relationships that could be construed as a potential conflict of interest.
References
- Matei, C.; Hambsch, F.-J.; Oberstedt, S. Proton light output function and neutron efficiency of a p-terphenyl detector using a 252Cf source. Nucl. Instrum. Methods 2012, 676, 135–139. [Google Scholar] [CrossRef]
- Sardet, A.; Varignon, C.; Laurent, B.; Granier, T.; Oberstedt, A. p-Terphenyl: An alternative to liquid scintillators for neutron detection. Nucl. Instrum. Methods 2015, 792, 74–80. [Google Scholar] [CrossRef]
- Nolte, R.; Thomas, D.J. Monoenergetic fast neutron reference fields: I. neutron production. Metrologia 2011, 48, S263S273. [Google Scholar] [CrossRef]
- Nolte, R.; Thomas, D.J. Monoenergetic fast neutron reference fields: II. field characterization. Metrologia 2011, 48, S274S291. [Google Scholar] [CrossRef]
- Košťál, M.; Schulc, M.; Šoltés, J.; Losa, E.; Viererbl, L.; Matěj, Z.; Cvachovec, F.; Rypar, V. Measurements of neutron transport of well defined silicon filtered beam in lead. Appl. Radiat. Isot. 2018, 142, 160–166. [Google Scholar] [CrossRef] [PubMed]
- Dietze, G.; Klein, H. Gamma-calibration of NE 213 scintillation counters. Nucl. Instrum. Methods 1982, 193, 549–556. [Google Scholar] [CrossRef]
- Brooks, F.D. A scintillation counter with neutron and gamma-ray discriminators. Nucl. Instrum. Methods 1959, 4, 151–163. [Google Scholar] [CrossRef]
- Zaitseva, N.; Benjamin, R.; PaweŁczak, I.; Glenn, A.; Martinez, P.; Carman, L.; Faust, M.; Cherepy, N.; Payne, S. Plastic scintillators with efficient neutron/gamma pulse shape discrimination. Nucl. Instrum. Methods 2012, 668, 88–93. [Google Scholar] [CrossRef]
- Scriven, D.; Christian, G.; Rogachev, G.; Parker, C.; Sobotka, L.; Ahn, S.; Chubarin, G.; Aboud, E.; Bishop, J.; Koschiy, E.; et al. A position and pulse shape discriminant p-terphenyl detector module. Nucl. Instrum. Methods 2021, 1010, 165492. [Google Scholar] [CrossRef]
- Werner, C.J.; Bull, J.S.; Solomon, C.J.; Brown, F.B.; McKinney, G.W.; Rising, M.E.; Dixon, D.A.; Martz, R.L.; Hughes, H.G.; Cox, L.J.; et al. MCNP6.2 Release Notes; LA-UR-18-20808; Los Alamos National Laboratory: Los Alamos, NM, USA, 2018. [Google Scholar]
- Kornilov, N.V.; Fabry, I.; Oberstedt, S.; Hambsch, F.-J. Total characterization of neutron detectors with a 252Cf source and a new light output determination. Nucl. Instrum. Methods 2009, 599, 226–233. [Google Scholar] [CrossRef]
Disclaimer/Publisher’s Note: The statements, opinions and data contained in all publications are solely those of the individual author(s) and contributor(s) and not of MDPI and/or the editor(s). MDPI and/or the editor(s) disclaim responsibility for any injury to people or property resulting from any ideas, methods, instructions or products referred to in the content. |
© 2024 by the authors. Licensee MDPI, Basel, Switzerland. This article is an open access article distributed under the terms and conditions of the Creative Commons Attribution (CC BY) license (https://creativecommons.org/licenses/by/4.0/).









