Shielded Pair Method for Beam Screen Surface Resistance Measurement at Cryogenic Temperature
Abstract
1. Introduction
2. Materials and Methods
2.1. Cryogenic Instrumentation
2.2. Rf Equipment
2.3. Data Analysis
2.4. Measurement Uncertainty
2.5. Sample Preparation
3. Results
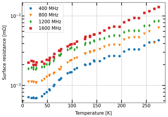
3.1. Standard Lhc Beam Screen
3.2. Amorphous Carbon-Coated Beam Screens
4. Discussion
5. Conclusions
Author Contributions
Funding
Data Availability Statement
Acknowledgments
Conflicts of Interest
Abbreviations
| a-C | Amorphous Carbon |
| ARPE | Algorithm for Resonator Parameter Extraction |
| ASE | Anomalous Skin Effect |
| FCC | Future Circular Collider |
| EIC | Electron Ion Collider |
| HL | High-Luminosity |
| HTS | High-Temperature Superconductor |
| LHC | Large Hadron Collider |
| LESS | Laser-Engineered Surface Structure |
| OFE | Oxygen-Free Copper |
| RRR | Residual Resistivity Ratio |
| RF | Radio Frequency |
| SEY | Secondary Electron Yield |
References
- Angerth, B.; Bertinelli, F.; Brunet, J.; Calder, R.; Caspers, F.; Gröbner, O.; Mathewson, A.; Poncet, A.; Reymermier, C.; Ruggiero, F.; et al. The LHC beam screen: Specification and design. In Proceedings of the Fourth European Particle Accelerator Conference, London, UK, 27 June–1 July 1994. [Google Scholar]
- Rumolo, G.; Ruggiero, F.; Zimmermann, F. Simulation of the electron-cloud build up and its consequences on heat load, beam stability, and diagnostics. Phys. Rev. ST Accel. Beams 2001, 4, 012801. [Google Scholar] [CrossRef]
- Costa Pinto, P.; Calatroni, S.; Neupert, H.; Letant-Delrieux, D.; Edwards, P.; Chiggiato, P.; Taborelli, M.; Vollenberg, W.; Yin-Vallgren, C.; Colaux, J.L.; et al. Carbon coatings with low secondary electron yield. Vacuum 2013, 98, 29–36. [Google Scholar] [CrossRef]
- Verdú-Andrés, S.; Blaskiewicz, M.; Brennan, J.; Gu, X.; Gupta, R.; Hershcovitch, A.; Mapes, M.; McIntyre, G.; Muratore, J.; Nayak, S.; et al. A Beam Screen to Prepare the RHIC Vacuum Chamber for EIC Hadron Beams: Conceptual Design and Requirements. In Proceedings of the International Particle Accelerator Conference, Campinas, Brazil, 24–28 May 2021. [Google Scholar] [CrossRef]
- Calatroni, S.; Bellingeri, E.; Ferdeghini, C.; Putti, M.; Vaglio, R.; Baumgartner, T.; Eisterer, M. Thallium-based high-temperature superconductors for beam impedance mitigation in the Future Circular Collider. Supercond. Sci. Technol. 2017, 30, 075002. [Google Scholar] [CrossRef]
- Verweij, A.; Genest, J.; Knezovic, A.; Leroy, D.; Marzolf, J.P.; Oberli, L. 1.9 K test facility for the reception of the superconducting cables for the LHC. IEEE Trans. Appl. Supercond. 1999, 9, 153–156. [Google Scholar] [CrossRef]
- Caspers, F. Impedance Determination from Bench Measurements. 2000. Available online: https://cds.cern.ch/record/437306 (accessed on 20 August 2024).
- Antuono, C. Improved Simulations in Frequency Domain of the Beam Coupling Impedance in Particle Accelerators. Master’s Thesis, Sapienza University, Roma, Italy, 2021. Available online: https://cds.cern.ch/record/2760024 (accessed on 3 September 2024).
- Caspers, F.; Morvillo, M.; Ruggiero, F.; Tan, J. Surface Resistance Measurements and Estimate of the Beam-Induced Resistive Wall Heating of the LHC Dipole Beam Screen; Technical Report LHC-Project-Report-307, CERN-LHC-Project-Report-307; CERN: Geneva, Switzerland, 1999; Available online: https://cds.cern.ch/record/400683 (accessed on 20 November 2023).
- Caspers, F.; Morvillo, M.; Ruggiero, F.; Tan, J.; Tsutsui, H. Surface Resistance Measurements of LHC Dipole Beam Screen Samples. In Proceedings of the 7th European Particle Accelerator Conference, Vienna, Austria, 26–30 June 2000. [Google Scholar]
- Lebrun, P.; Tavian, L. Beyond the Large Hadron Collider: A First Look at Cryogenics for CERN Future Circular Colliders. Phys. Procedia 2015, 67, 768–775. [Google Scholar] [CrossRef]
- Smith, G.; Nordgard, J. On the Design and Optimization of the Shielded-Pair Transmission Line. IEEE Trans. Microwave Theory Tech. 1980, 28, 887–893. [Google Scholar] [CrossRef]
- Tan, J. Technical and Practical Information on the Surface Resistance Measurement Bench Using the Shielded Pair Method: Application to the LHC Beam Screen; Technical Report CERN-SL-2000-002-AP; CERN: Geneva, Switzerland, 2000; Available online: https://cds.cern.ch/record/426232 (accessed on 1 June 2024).
- Krkotić, P.; Gallardo, Q.; Tagdulang, N.D.; Pont, M.; O’Callaghan, J.M. Algorithm for Resonator Parameter Extraction From Symmetrical and Asymmetrical Transmission Responses. IEEE Trans. Microw. Theory Tech. 2021, 69, 3917–3926. Available online: www.arpe.upc.edu (accessed on 7 December 2023). [CrossRef]
- GmbH, R.S. ZNB/ZNBT User Manual. Available online: https://www.rohde-schwarz.com/ch-en/manual/r-s-znb-znbt-user-manual-manuals_78701-29151.html (accessed on 1 January 2024).
- Teflon (PTFE) Properties Handbook, DU PONT. Available online: http://www.rjchase.com/ptfe_handbook.pdf (accessed on 1 July 2024).
- Zhang, Y.; Wang, Z. Measurement of dielectric loss tangent at cryogenic temperature using superconducting film resonator. J. Theor. Appl. Phys. 2016, 10, 27–32. [Google Scholar] [CrossRef]
- Brunner, K.; Krkotić, P.; Pinto, P.C.; Diaz-Rato, E.G.; Pfeiffer, S.; Vollenberg, W.; Calatroni, S.; Barna, D.; Pont, M.; O’Callaghan, J. Dielectric resonator to measure surface resistance of accelerator components at room temperature and 77 K. Phys. Rev. Accel. Beams 2023, 26, 083101. [Google Scholar] [CrossRef]
- Métral, E. RF heating from wake losses in diagnostics structures. In Proceedings of the 2nd International Beam Instrumentation Conference, Oxford, UK, 16–19 September 2013. [Google Scholar]
- Granadeiro Costa, A. In-Situ Amorphous Carbon Coating of Q5L8 Standalone Magnet (v.1); Technical Report EDMS 2441196; CERN: Geneva, Switzerland, 2020; Available online: https://edms.cern.ch/document/2441196/1 (accessed on 23 July 2024).
- Costa Pinto, P.; Taborelli, M. Amorphous Carbon Coating in Standalone Magnets of the LHC in IR2 and IR8 during LS2 2019–2020; Technical Report EDMS 1983116; CERN: Geneva, Switzerland, 2022; Not publicly available. Internal report. [Google Scholar]
- Costa Pinto, P.; Baglin, V.; Calatroni, S.; Chiggiato, P.; Cruikshank, P.; Demolon, P.; Fjierli, H.; Garion, C.; Girolamo, B.D.; Leggiero, L.; et al. In-situ a-C coating performance and status of LESS & tunnel implementation. In Proceedings of the 7th HL-LHC Collaboration Meeting, Madrid, Spain, 13–16 November 2017; Available online: https://indico.cern.ch/event/647714/contributions/2633173/attachments/1559499/2454409/7thHiLumi_pedro_carbon_coatings.pdf (accessed on 21 April 2024).
- Reuter, G.E.H.; Sondheimer, E.H.; Wilson, A.H. The theory of the anomalous skin effect in metals. Proc. R. Soc. Lond. Ser. A 1948, 195, 336–364. [Google Scholar] [CrossRef]
- Calatroni, S. A Mathematica Notebook for the Calculation of the Anomalous Skin Effect in Copper. CERN Document Server. 2020. Available online: http://cds.cern.ch/record/2718002 (accessed on 2 June 2024).
- Cruikshank, P.; Artoos, K.; Bertinelli, F.; Brunet, J.C.; Calder, R.; Campedel, C.; Collins, I.; Dalin, J.M.; Feral, B.; Grobner, O.; et al. Mechanical design aspects of the LHC beam screen. In Proceedings of the 1997 Particle Accelerator Conference (Cat. No. 97CH36167), Vancouver, BC, Canada, 12–16 May 1997. [Google Scholar] [CrossRef]
- Lain Amador, L. Production of Ultra-High-Vacuum Chambers with Integrated Getter Thin-Film Coatings by Electroforming. Ph.D. Thesis, Université Bourgogne-Franche-Comté, Besançon, France, 2019. [Google Scholar] [CrossRef]
- Antipov, S. Impact of a-C coating on impedance. In Proceedings of the 124th HiLumi WP2 Meeting, Geneva, Switzerland, 3 July 2018; Available online: https://indico.cern.ch/event/741104/contributions/3059804/attachments/1679470/2697601/Impedance_effects_of_the_HL-LHC_coated_inner_triplets_WP2.pptx (accessed on 25 July 2024).
- Aberle, O.; Béjar Alonso, I.; Brüning, O.; Fessia, P.; Rossi, L.; Tavian, L.; Zerlauth, M.; Adorisio, C.; Adraktas, A.; Ady, M.; et al. High-Luminosity Large Hadron Collider (HL-LHC): Technical Design Report; Technical Report; Series: CERN Yellow Reports: Monographs; CERN: Geneva, Switzerland, 2020. [Google Scholar] [CrossRef]
- Calatroni, S. HTS Coatings for Impedance Reduction in Particle Accelerators: Case Study for the FCC at CERN. IEEE Trans. Appl. Supercond. 2016, 26, 1–4. [Google Scholar] [CrossRef]










Disclaimer/Publisher’s Note: The statements, opinions and data contained in all publications are solely those of the individual author(s) and contributor(s) and not of MDPI and/or the editor(s). MDPI and/or the editor(s) disclaim responsibility for any injury to people or property resulting from any ideas, methods, instructions or products referred to in the content. |
© 2024 by the authors. Licensee MDPI, Basel, Switzerland. This article is an open access article distributed under the terms and conditions of the Creative Commons Attribution (CC BY) license (https://creativecommons.org/licenses/by/4.0/).
Share and Cite
Brunner, K.; Krkotić, P.; Calatroni, S.; Barna, D. Shielded Pair Method for Beam Screen Surface Resistance Measurement at Cryogenic Temperature. Instruments 2024, 8, 43. https://doi.org/10.3390/instruments8030043
Brunner K, Krkotić P, Calatroni S, Barna D. Shielded Pair Method for Beam Screen Surface Resistance Measurement at Cryogenic Temperature. Instruments. 2024; 8(3):43. https://doi.org/10.3390/instruments8030043
Chicago/Turabian StyleBrunner, Kristóf, Patrick Krkotić, Sergio Calatroni, and Dániel Barna. 2024. "Shielded Pair Method for Beam Screen Surface Resistance Measurement at Cryogenic Temperature" Instruments 8, no. 3: 43. https://doi.org/10.3390/instruments8030043
APA StyleBrunner, K., Krkotić, P., Calatroni, S., & Barna, D. (2024). Shielded Pair Method for Beam Screen Surface Resistance Measurement at Cryogenic Temperature. Instruments, 8(3), 43. https://doi.org/10.3390/instruments8030043

