Next Article in Journal
The Electron–Phonon Interaction in Non-Stoichiometric Bi2Sr2CaCu2O8+δ Superconductor Obtained from the Diffuse Elastic Scattering of Helium Atoms
Previous Article in Journal
Fe3O4@SiO2-NH2 Functionalized Nanoparticles as a Potential Contrast Agent in Magnetic Resonance
Previous Article in Special Issue
The Effective Potential of Scalar Pseudo-Quantum Electrodynamics in (2 + 1)D
 
 
Font Type:
Arial Georgia Verdana
Font Size:
Aa Aa Aa
Line Spacing:
Column Width:
Background:
Article

Renormalization of Fermi Velocity and Band Gap in a Two-Dimensional System near a Conducting Plate at Finite Temperature

by
Jeferson Danilo L. Silva
1,*,
Alessandra N. Braga
2,
Wagner P. Pires
3,
Danilo T. Alves
4 and
Van Sérgio Alves
4
1
Faculdade de Engenharia da Computação e Telecomunicações, Instituto de Tecnologia, Universidade Federal do Pará, Belém 66075-110, Pará, Brazil
2
Faculdade de Física, Campus de Ananindeua, Universidade Federal do Pará, Ananindeua 67130-660, Pará, Brazil
3
Instituto de Ciências da Educação, Universidade Federal do Oeste do Pará, Santarém 68040-255, Pará, Brazil
4
Faculdade de Física, Universidade Federal do Pará, Belém 66075-110, Pará, Brazil
*
Author to whom correspondence should be addressed.
Condens. Matter 2024, 9(4), 50; https://doi.org/10.3390/condmat9040050
Submission received: 1 October 2024 / Revised: 22 November 2024 / Accepted: 22 November 2024 / Published: 24 November 2024
(This article belongs to the Special Issue PQED: 30 Years of Reduced Quantum Electrodynamics)

Abstract

In a recent work, it was demonstrated within the framework of Pseudo Quantum Electro-dynamics (PQED) at zero temperature that the logarithmic renormalization of the Fermi velocity in a graphene sheet is inhibited by the presence of a single parallel conducting plate. In the present study, aiming for a more general and realistic approach, we explore the renormalization of the Fermi velocity and mass (band gap) in a two-dimensional system influenced by a conducting plate at finite temperature, also in the context of PQED. Our findings refine previous results in the literature and provide valuable insights for future investigations on the effects of external conditions within PQED.

1. Introduction

A few years ago, the renormalization of the Fermi velocity in a plane graphene sheet in the presence of a parallel conducting plate was investigated within the framework of Pseudo Quantum Electrodynamics (PQED) at zero temperature [1]. The PQED was used to describe the Coulombian interaction between the electrons, taking into account the fact that the interaction is changed by the conducting plate. Incorporating the influence of the conducting plate into the gauge field, the corresponding photon propagator and electron self-energy were obtained, and it was shown that the logarithmic renormalization of the Fermi velocity is inhibited by the presence of the plate [1], with this considered as an alternative way to control the electronic properties of graphene. In the literature, the addition of a metallic plate near a 2D material is often used with different purposes. For instance, in Ref. [2] a metal plate was added under a monolayer WS 2 (in conjunction with a negative electric gate bias) in order to enhance the quantum yield of the material and suppress the exciton–exciton annihilation by screening Coulomb interactions. In Ref. [3], a system composed of graphene on top of multiple layers of transition metal dichalcogenides (TMDs) heterostructures is considered, and it is shown that the presence of a nearby metal enhances, for instance, the coupling strength between acoustic plasmons and the TMD phonons.
Recently, the effects of finite temperature on the renormalization of the Fermi velocity were also investigated within the framework of PQED, as were the effects on the renormalization of the mass (band gap) [4]. It was shown that the temperature also inhibits both the renormalization of the Fermi velocity and the mass.
In the present paper, we extend the calculations in Ref. [1] in three aspects: we include thermal effects; we consider a general two-dimensional material [which enable us to investigate, for example, graphene, silicene, and TMDs]; and we also investigate the renormalization of the band gap. Additionally, the present paper can be seen as an extension of the calculations in Ref. [4], with the inclusion of the effects generated by the presence of a conducting plate.
The present paper is organized as follows. In Section 2, we present the considered model. In Section 3, we investigate the effects of finite temperature with the presence of a conducting plate. In Section 4, we present our conclusions and final remarks.

2. The Model and Preliminary Observations

Let us start by defining the model, which is given by the following Lagrangian density
L PQED = 1 2 F μ ν F μ ν ( ) 1 / 2 + L D + j μ A μ ξ 2 A μ μ ν ( ) 1 / 2 A ν ,
where F μ ν = μ A ν ν A μ is the usual electromagnetic field tensor, □ is the d’Alembertian operator, L D stands for the Dirac’s Lagrangian, and the last term corresponds to the gauge fixing term. We are considering the convention c = = k B = 1 . The model given by Equation (1) is denominated Pseudo Quantum Electrodynamics (PQED) [5], also known as Reduced Quantum Electrodynamics [6]. The theory reproduces the static Coulombian potential (instead of the logarithmic potential from QED in 2 + 1 dimensions), satisfies causality (despite the nonlocality of the Maxwell term) and the Huygens principle, preserves unitarity, and has been successfully applied to describe the electronic properties of two-dimensional condensed matter systems (see Ref. [7] and references therein).
From Equation (1), the free photon propagator is
Δ μ ν ( 0 ) ( k ) = 1 2 ϵ k 2 δ μ ν 1 1 ξ k μ k ν k 2 ,
where k μ = ( k 0 , k ) . Considering the Feynman gauge, where ξ = 1 , and the nonretarded regime (where k 0 0 ), it becomes
Δ 00 ( 0 ) ( k ) = 1 2 ϵ | k | ,
which leads to the Coulombian interaction for static charges. In this regime, the electron self-energy at one-loop (see Figure 1) was calculated in Ref. [8] for a graphene sheet (a massless Dirac Lagrangian), and the result is given by
Σ 0 ( p ) = α F 4 v F ( p · γ ) ln Λ | p | ,
where α F = e 2 / ( 4 π ϵ v F ) is the fine structure constant, e is the nonrenormalized coupling constant, v F is the bare Fermi velocity, and Λ is an ultraviolet cutoff introduced in the momentum integrals. From this last equation, the renormalized Fermi velocity v F R ( | p | ) with external momentum p reads [8]
v F R ( | p | ) v F = 1 + α F 4 ln Λ | p | ,
which is in good agreement with the experimental results found in Ref. [9].
In a previous paper, we obtained the Fermi velocity renormalization for a graphene sheet near to a parallel conducting plate separated by a distance z 0 from each other. For this case, we obtained that the photon propagator is modified to [1]
Δ 00 ( 0 ) ( | k | , z 0 ) = 1 2 ϵ | k | 1 exp ( 2 z 0 | k | ) .
In the limit z 0 , this result recovers Equation (3). Our results for z 0 | p | 1 were [1]
v F R ( | p | , z 0 ) v F = 1 + α F 4 ln Λ | p | + ln ( | p | z 0 ) 1 z 0 2 | p | 2 4 + O z 0 2 | p | 2 ,
and for z 0 | p | 1 were
v F R ( | p | , z 0 ) v F = 1 + α F 4 ln Λ | p | I 0 ( | p | z 0 ) K 0 ( | p | z 0 ) I 1 ( | p | z 0 ) K 1 ( | p | z 0 ) ,
where I ν and K ν are the modified Bessel functions of first and second kind, respectively. We also obtained numerical results for any values of z 0 .
The finite temperature effects for the model whose propagator is given by Equation (3) were investigated in Ref. [4]. In the case of the renormalization of the Fermi velocity, the thermal effects in the low temperature regime are given by
v F R ( | p | , T ) v F = 1 + α F 1 4 ln Λ | p | 3 ζ ( 3 ) 4 T v F | p | 3 + O T v F | p | 5 ,
where ζ ( 3 ) 1.202 is the zeta function. The authors also obtained numerical results for any temperature value.
To illustrate the effects of finite temperature or the presence of a metallic plate predicted by the Formulas (7)–(9), let us consider the case of a graphene sheet suspended in vacuum with realistic values of parameters involved. For this particular case, α F 2.2 and v F 10 6 m/s (see, for instance, Ref. [10]). Physically, the cutoff Λ is of the order of the inverse lattice parameter of graphene, and a fit for its value including the presence of interacting electrons is given by Λ 1.75 Å 1 in Ref. [11]. Also, a typical scale for the momenta considered in experimental studies is | p | 10 6 cm 1 (so that | p | Λ / 100 ). Furthermore, in the setup considered in Ref. [9] a metallic gate is placed 300 nm below the graphene sheet, and in Ref. [12] the graphene sheet is 20– 30 nm separated from a metal plate. Therefore, a typical value for z 0 is of the order of tens or hundreds of nanometers. To account for the finite temperature effects, we shall recover the Boltzmann and Planck constants into Equation (9). Then, considering the appropriate physical units, the term T / ( v F | p | ) in Equation (9) becomes 1.31 × 10 3 × ( T / | p | ) , where T is given in Kelvin and | p | in units of 10 6 cm 1 [at this momentum scale, the first finite temperature correction term in Equation (9) holds up reasonably well for T 100 K ]. Taking these realistic values of parameters into Equation (8), one obtains the results shown in Figure 2a for suspended graphene in the presence of a conducting plate with zero temperature. The finite temperature effects (in the absence of plate) considering the same parameters are shown in Figure 2b. We can see that for z 0 = 300 nm , the effect of the plate is almost completely negligible (see dashed red line in Figure 2a). However, for closer distances, such as z 0 = 30 nm or z 0 = 20 nm , a noticeable inhibition (about 10 % or 15 % for the smaller values of | p | ) occurs (see dot-dashed green and short-dashed pink lines in Figure 2a). From Figure 2b where T = 100 K was considered, we can see that temperature effects have minimal influence for greater values of | p | , but for smaller values of | p | a non-negligible inhibition is noticed. In summary, the inhibition of the Fermi velocity renormalization in graphene caused by the presence of a conducting plate or by finite temperature effects predicted by Equations (8) and (9) is noticeable when typical realistic parameters are considered.
The renormalization of the band gap considering finite temperature was obtained in Ref. [4]. In the regime of low temperature, the result is given by
m R ( | p | , T ) m = 1 + α F 1 2 ln Λ | p | T ln 2 v F | p | + O T v F | p | 3 ,
where m is the bare fermion mass and m R is the renormalized mass (band gap). The authors also obtained results numerically for any temperature value.
For the case of zero temperature, the behavior of the band gap renormalization is quite similar to v F R / v F [Equation (5)], differing only by a factor of 2 in the logarithm term. In contrast, the temperature correction at the first order contributes linearly to the band gap renormalization, whereas for Fermi velocity the first-order correction is proportional to T 3 . In this regime, the relative effect of finite temperature on the band gap renormalization can be computed by the formula [4]
Δ m R ( | p | , T ) m = m R ( | p | , T ) m m = α F 1 2 ln Λ | p | T ln 2 v F | p | .
Taking into account the same typical realistic parameters considered above, namely, | p | Λ / 100 = 10 6 cm 1 and T 100 K , we can estimate that the finite temperature term inhibits the renormalization of the band gap in about 5 % .

3. Effects of Finite Temperature with the Presence of a Conducting Plate

Our main goal in this work is to investigate the thermal effects on a sheet of a two-dimensional material (such as graphene, silicene, and TMDs) when it is in the presence of a conducting plate. In particular, we are interested in calculating the renormalization of the Fermi velocity and the renormalization of the mass (band gap) due to these effects (plate and temperature). To this end, we will consider the anisotropic version of L D = ψ ¯ a i γ 0 0 + i v F γ · m ψ a in Equation (1), where ψ a = ψ A ψ A ψ B ψ B a is a four-component Dirac spinor representing electrons in sublattices A and B and spin orientations ↑ and ↓ in a two-dimensional material, ψ ¯ a = ψ a γ 0 , a is a flavor index representing a sum over valleys K and K , and m is a mass term that describes a possible energy gap in the Dirac points. Accordingly, the fermion propagator is given by (in Euclidean space)
S F ( 0 ) ( p ) = γ 0 p 0 + v F ( γ · p ) m 1 ,
the photon propagator is given by Equation (6), and the interaction vertex is e γ μ = e ( γ 0 , v F γ i ) . Considering only the static case ( v F 1 ), which means that the interaction vertex will be e γ 0 , the one-loop electron self-energy (Figure 1) at T = 0 reads
Σ ( p , z 0 ) = e 2 d 2 k ( 2 π ) 2 d k 0 2 π γ 0 S F ( 0 ) ( p μ k μ ) γ 0 Δ 00 ( 0 ) ( z 0 , | k | ) ,
where it is sufficient to consider only one species of fermion since this calculation does not involve a fermion loop.
In order to investigate the finite temperature effects, we shall consider the Matsubara formalism, i.e., p 0 ω l = ( 2 l + 1 ) π T and k 0 ω n = 2 n π T , where l and n are integers, and the loop integration in k 0 is converted into a sum over n. Therefore,
Σ l ( p , z 0 , T ) = e 2 T d 2 k ( 2 π ) 2 n = γ 0 S F ( 0 ) ( ω l ω n , p k ) γ 0 Δ 00 ( 0 ) ( z 0 , | k | ) ,
where
S F ( 0 ) ( ω l ω n , p k ) = ( ω l ω n ) γ 0 + v F ( p k ) · γ + m ( ω l ω n ) 2 + v F 2 | p k | 2 + m 2 = [ ( 2 l + 1 ) π T 2 n π T ] γ 0 + v F ( p k ) · γ + m [ ( 2 l + 1 ) π T 2 n π T ] 2 + v F 2 | p k | 2 + m 2 .
We shall calculate the zero mode l = 0 since it provides the most relevant contribution of the self-energy. Hence,
Σ ( p , z 0 , T ) = e 2 T 2 ϵ d 2 k ( 2 π ) 2 1 | k | 1 exp ( 2 z 0 | k | ) n = ( 2 n 1 ) π T γ 0 + v F ( p k ) · γ m ( 1 2 n ) 2 π 2 T 2 + v F 2 | p k | 2 + m 2 .
The sum in Equation (15) can be rewritten as
n = ( 2 n 1 ) π T γ 0 + v F ( p k ) · γ m ( 1 2 n ) 2 π 2 T 2 + v F 2 | p k | 2 + m 2 = π T γ 0 S 1 + [ v F ( p k ) · γ m ] S 2 ,
where
S 1 = n = 1 2 n ( 1 2 n ) 2 π 2 T 2 + v F 2 | p k | 2 + m 2 = 0 ,
and
S 2 = n = 1 ( 1 2 n ) 2 π 2 T 2 + v F 2 | p k | 2 + m 2 = 1 2 T v F 2 | p k | 2 + m 2 tanh v F 2 | p k | 2 + m 2 2 T .
Substituting S 1 and S 2 into (16) and then into (15), we obtain
Σ ( p , z 0 , T ) = α F 4 π d 2 k v F ( p k ) · γ m | k | | p k | 2 + m 2 / v F 2 tanh v F 2 | p k | 2 + m 2 2 T × 1 exp ( 2 z 0 | k | ) .
Using the substitution k k + p in Equation (19):
Σ ( p , z 0 , T ) = α F 4 π d 2 k v F k · γ + m | k + p | | k | 2 + m 2 / v F 2 tanh v F 2 | k | 2 + m 2 2 T × 1 exp ( 2 z 0 | k + p | ) .
Next, we shall assume polar coordinates, where k = ( | k | cos θ , | k | sin θ ) and d 2 k = | k | d | k | d θ , with θ [ 0 , 2 π ] , and the integration in | k | is ultraviolet divergent; therefore, a cutoff Λ = | k | max will be used in order to regularize it [in the same manner as it was done in Equation (4)], so that | k | [ 0 , Λ ] . In the particular limit where z 0 and T 0 (i.e., the zero temperature case with no conducting plate), Equation (20) recovers Equation (4) (in accordance with Refs. [8,10]). In the limit z 0 with T 0 , the results from Ref. [4] are recovered. For T 0 with z 0 , our previous results from Ref. [1] are recovered. It is worth noting that although the integration is ultraviolet divergent, the exponential term in Equation (20) that arises due to the presence of the plate is naturally finite at the ultraviolet since it vanishes very fast as | k | . Moreover, the hyperbolic tangent term due to finite temperature is limited. Therefore, the cutoff Λ will be also considered for this finite term since Λ has physical meaning, and, as we shall see later, it plays an important role in the renormalization of the parameters.
In order to simplify the calculations, we also consider, without loss of generality, the orientation of the coordinates system such that p = ( | p | , 0 ) . Then,
Σ ( p , z 0 , T ) = α F 4 π 0 Λ | k | d | k | 0 2 π d θ v F | k | γ x cos θ + v F | k | γ y sin θ + m | k | 2 + | p | 2 + 2 | k | | p | cos θ | k | 2 + m 2 / v F 2 × tanh v F 2 | k | 2 + m 2 2 T 1 exp ( 2 z 0 | k | 2 + | p | 2 + 2 | k | | p | cos θ ) .
It is straightforward to show that the angular integral of the term proportional to sin θ is zero. Therefore, Equation (21) can be written as
Σ ( p , z 0 , T ) = v F ( γ · p ) α F 4 π | p | 0 Λ d | k | | k | 2 I 1 ( | k | , | p | , z 0 ) | k | 2 + m 2 / v F 2 tanh v F 2 | k | 2 + m 2 2 T m α F 4 π 0 Λ d | k | k I 2 ( | k | , | p | , z 0 ) | k | 2 + m 2 / v F 2 tanh v F 2 | k | 2 + m 2 2 T ,
where
I 1 ( | k | , | p | , z 0 ) = 0 2 π d θ cos θ 1 exp 2 z 0 | k | 2 + | p | 2 + 2 | k | | p | cos θ | k | 2 + | p | 2 + 2 | k | | p | cos θ ,
I 2 ( | k | , | p | , z 0 ) = 0 2 π d θ 1 exp 2 z 0 | k | 2 + | p | 2 + 2 | k | | p | cos θ | k | 2 + | p | 2 + 2 | k | | p | cos θ ,
and we recovered the p y component of the external momentum p .
The full electron propagator reads
S F ( p ) = γ 0 p 0 + v F ( γ · p ) m + Σ ( p , z 0 , T ) 1 .
Therefore, by combining Equation (22) with (25) we obtain the formulas for the renormalized Fermi velocity and mass, namely,
v F R ( | p | , z 0 , T ) v F = 1 α F 4 π | p | 0 Λ d | k | | k | 2 I 1 ( | k | , | p | , z 0 ) | k | 2 + m 2 / v F 2 tanh v F 2 | k | 2 + m 2 2 T ,
m R ( | p | , z 0 , T ) m = 1 + α F 4 π 0 Λ d | k | | k | I 2 ( | k | , | p | , z 0 ) | k | 2 + m 2 / v F 2 tanh v F 2 | k | 2 + m 2 2 T .
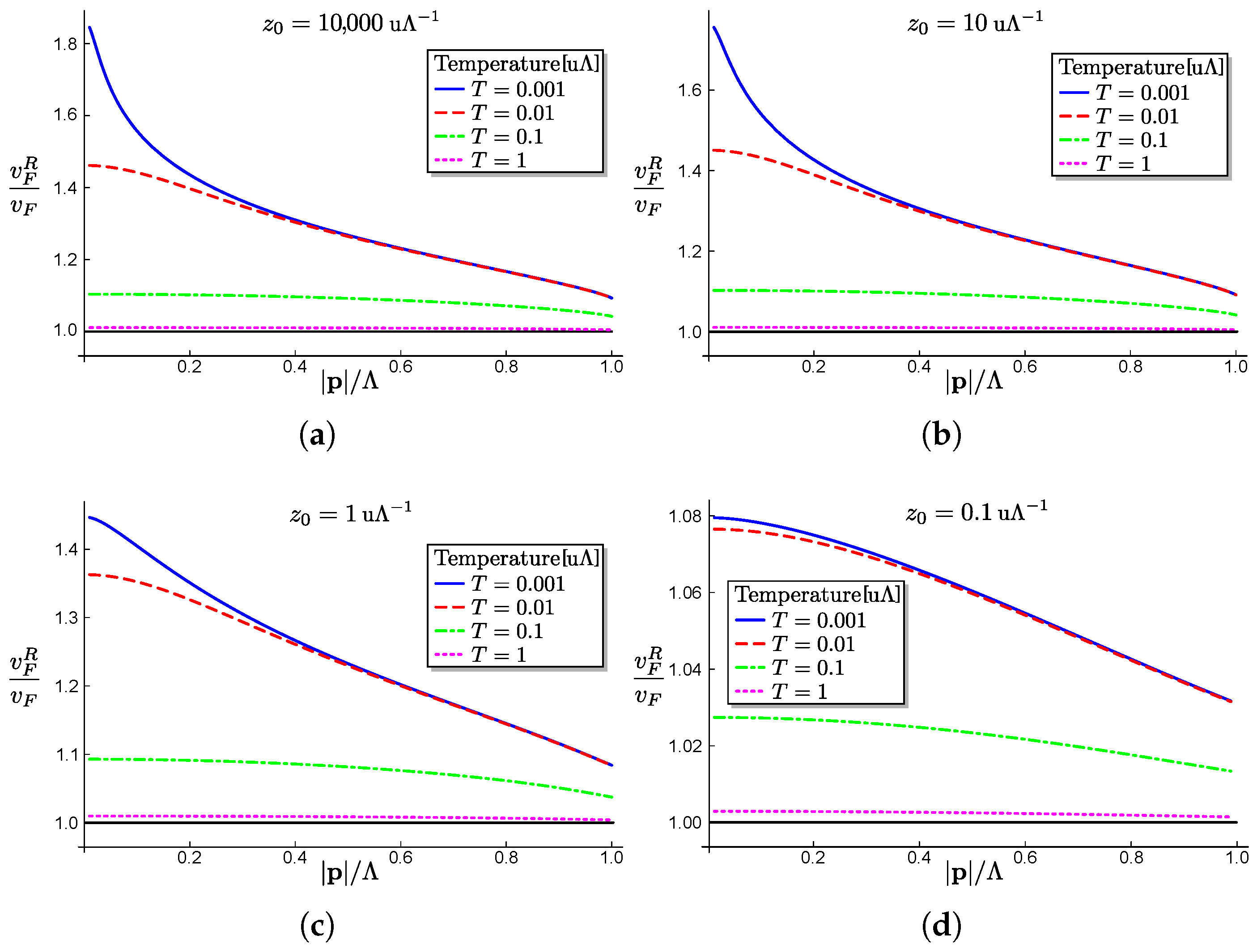
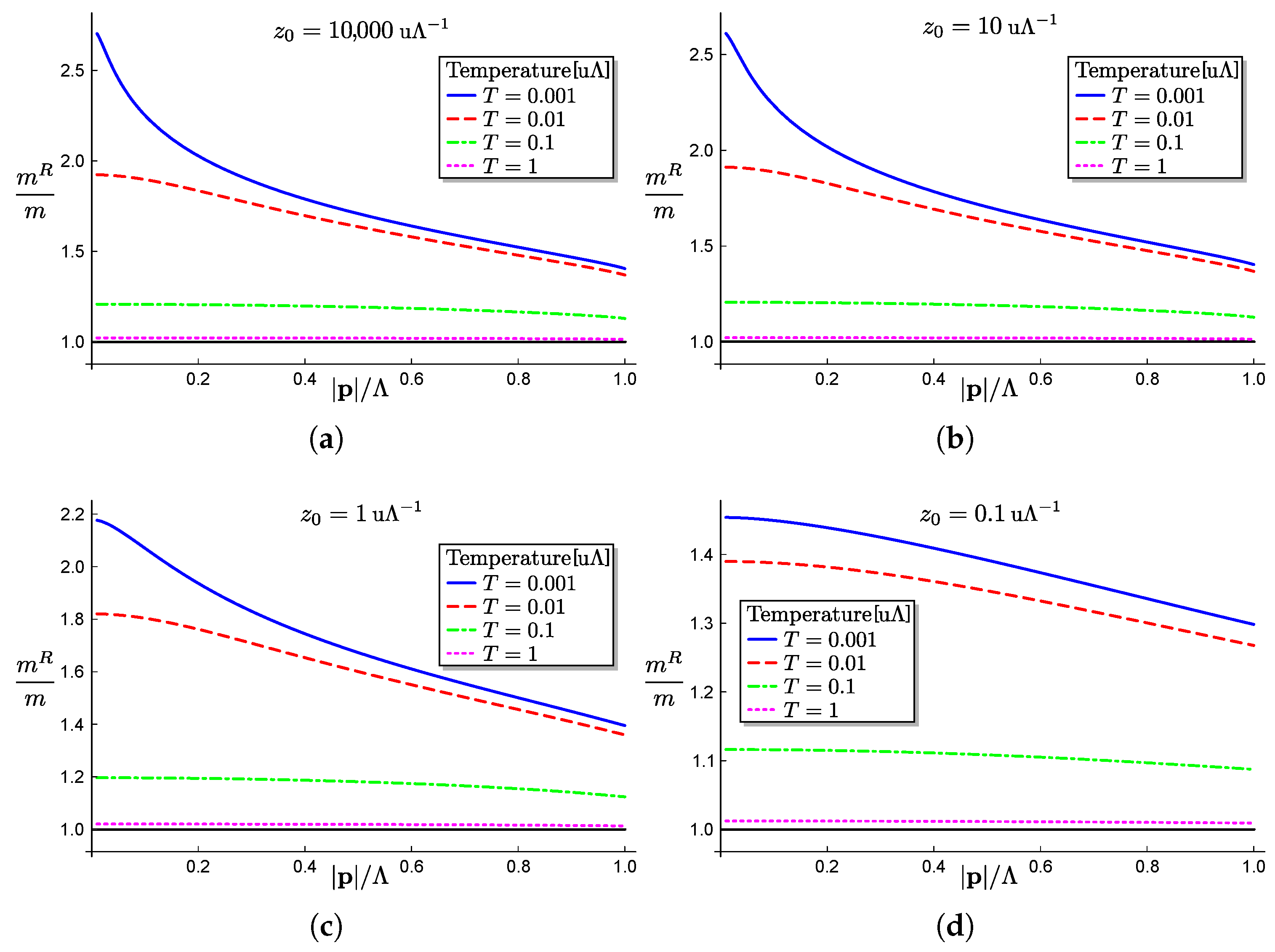
The panels shown in Figure 3 and Figure 4 were generated, respectively, from Equations (26) and (27) after numerical integration. The curves show the behavior of the renormalized parameters for different values of z 0 (in units of Λ 1 ) and different values of T (in units of Λ ). Notably, the effect of the renormalization is inhibited when the temperature increases or the separation between the system and the plate decreases. Particularly, for very close distances between the system and the plate ( z 0 0 ) or at very high temperatures ( T ), the integrands of Equations (26) and (27) vanish, implying that in these limits the Coulomb interaction plays no crucial role in the system, so that v F R v F and m R m . This behavior is illustrated in Figure 3 and Figure 4, where the curves approach the long-dashed (black) horizontal line as T increases or z 0 decreases [see the dotted (pink) lines in all panels (corresponding to T = 1 ) or all four curves in Figure 3d and Figure 4d (corresponding to z 0 = 0.1 )]. Moreover, for z 0 = 10,000, which for practical purposes corresponds to z 0 , Figure 3a reproduces the results found in Ref. [4], where no plate was considered. The solid (blue) line in Figure 3a (for T = 0.001 ) reproduces approximately the results found in Ref. [8] at zero temperature.

4. Conclusions and Final Remarks

In conclusion, we investigated the joint influence of finite temperature and a nearby conducting plate on the transport properties of two-dimensional materials, focusing on the renormalization of the Fermi velocity and bandgap. Our results can be applied to general two-dimensional materials, such as graphene-like systems, as illustrated in Figure 3, and massive Dirac-like systems (as silicene and TMDs), as illustrated in Figure 4. Our study demonstrates that these external factors reduce the renormalization of these properties by modifying quasiparticle interactions, specifically by weakening long-range Coulomb interactions.
Finite temperature introduces thermal excitations that populate the low-energy states, increasing the density of thermally excited quasiparticles. This higher density of quasi-particles effectively screens the Coulomb interactions, as the disordered motion of these carriers diminishes long-range correlations, reducing the renormalization of both the Fermi velocity and the bandgap. This mechanism aligns with prior theoretical studies (see, e.g., Ref. [13]) that describe the temperature-induced suppression of the interaction effects in low-dimensional systems.
Furthermore, when the material is brought close to a grounded conducting plate, an additional screening effect occurs. The conducting plate imposes boundary conditions on the electromagnetic field, resulting in the formation of image charges that partially neutralize the Coulomb interactions between charge carriers. This screening effect decreases the amplitude of long-range fluctuations, further reducing the renormalization of electronic properties. Importantly, the degree of this electrostatic shielding is directly related to the proximity of the plate; the smaller the distance between the material and the plate, the more intense the screening, leading to a stronger suppression of renormalization effects. These findings are consistent with established results in the literature in appropriate limits [1,4,14].
These findings enhance our understanding of how external environmental conditions influence the electronic properties of two-dimensional materials. The ability to control the Fermi velocity and bandgap through external factors, such as temperature and electrostatic environment, is particularly promising for fine-tuning the quantum behavior of these materials. We believe that these tunable properties could be useful in the development of temperature-sensitive or gate-controlled electronic devices, where precise adjustments of electronic parameters may be important for optimal performance.

Author Contributions

J.D.L.S., A.N.B., W.P.P., D.T.A. and V.S.A. contributed equally to this work: conceptualization, methodology, investigation, writing—original draft preparation, and writing—review and editing. All authors have read and agreed to the published version of the manuscript.

Funding

This research received no external funding.

Data Availability Statement

The original contributions presented in the study are included in the article, further inquiries can be directed to the corresponding author.

Acknowledgments

We would like to thank Nilberto Bezerra for his valuable contributions. This work was partially supported by Conselho Nacional de Desenvolvimento Científico e Tecnológico (CNPq)—Brazil, Processo 408735/2023-6 CNPq/MCTI.

Conflicts of Interest

The authors declare no conflicts of interest.

References

  1. Silva, J.D.L.; Braga, A.N.; Pires, W.P.; Alves, V.S.; Alves, D.T.; Marino, E.C. Inhibition of the Fermi velocity renormalization in a graphene sheet by the presence of a conducting plate. Nucl. Phys. B 2017, 920, 221. [Google Scholar] [CrossRef]
  2. Tran, T.T.; Lee, Y.; Roy, S.; Tran, T.U.; Kim, Y.; Taniguchi, T.; Watanabe, K.; Milošević, M.V.; Lim, S.C.; Chaves, A.; et al. Synergetic Enhancement of Quantum Yield and Exciton Lifetime of Monolayer WS2 by Proximal Metal Plate and Negative Electric Bias. ACS Nano 2024, 18, 220–228. [Google Scholar] [CrossRef] [PubMed]
  3. Lavor, I.; Tao, Z.; Dong, H.; Chaves, A.; Peeters, F.; Milošević, M. Ultrasensitive acoustic graphene plasmons in a graphene-transition metal dichalcogenide heterostructure: Strong plasmon–phonon coupling and wavelength sensitivity enhanced by a metal screen. Carbon 2024, 228, 119401. [Google Scholar] [CrossRef]
  4. Bezerra, N.; Alves, V.S.; Nascimento, L.O.; Fernández, L. Effects of the two-dimensional Coulomb interaction in both Fermi velocity and energy gap for Dirac-like electrons at finite temperature. Phys. Rev. D 2023, 108, 056012. [Google Scholar] [CrossRef]
  5. Marino, E. Quantum electrodynamics of particles on a plane and the Chern-Simons theory. Nucl. Phys. B 1993, 408, 551–564. [Google Scholar] [CrossRef]
  6. Gorbar, E.V.; Gusynin, V.P.; Miransky, V.A. Dynamical chiral symmetry breaking on a brane in reduced QED. Phys. Rev. D 2001, 64, 105028. [Google Scholar] [CrossRef]
  7. Marino, E.C.; Nascimento, L.O.; Alves, V.S.; Alves, D.T. Pseudo-Quantum Electrodynamics: 30 Years of Reduced QED. Entropy 2024, 26, 925. [Google Scholar] [CrossRef]
  8. González, J.; Guinea, F.; Vozmediano, M.A.H. Non-Fermi liquid behavior of electrons in the half-filled honeycomb lattice (A renormalization group approach). Nucl. Phys. B 1994, 424, 595. [Google Scholar] [CrossRef]
  9. Elias, D.C.; Gorbachev, R.V.; Mayorov, A.S.; Morozov, S.V.; Zhukov, A.A.; Blake, P.; Ponomarenko, L.A.; Grigorieva, I.V.; Novoselov, K.S.; Guinea, F.; et al. Dirac cones reshaped by interaction effects in suspended graphene. Nat. Phys. 2011, 7, 701. [Google Scholar] [CrossRef]
  10. Barnes, E.; Hwang, E.H.; Throckmorton, R.E.; Das Sarma, S. Effective field theory, three-loop perturbative expansion, and their experimental implications in graphene many-body effects. Phys. Rev. B 2014, 89, 235431. [Google Scholar] [CrossRef]
  11. Stauber, T.; Parida, P.; Trushin, M.; Ulybyshev, M.V.; Boyda, D.L.; Schliemann, J. Interacting Electrons in Graphene: Fermi Velocity Renormalization and Optical Response. Phys. Rev. Lett. 2017, 118, 266801. [Google Scholar] [CrossRef] [PubMed]
  12. Yu, G.L.; Jalil, R.; Belle, B.; Mayorov, A.S.; Blake, P.; Schedin, F.; Morozov, S.V.; Ponomarenko, L.A.; Chiappini, F.; Wiedmann, S.; et al. Interaction phenomena in graphene seen through quantum capacitance. Proc. Natl. Acad. Sci. USA 2013, 110, 3282–3286. [Google Scholar] [CrossRef] [PubMed]
  13. Vafek, O.; Vishwanath, A. Dirac Fermions in Solids: From High-Tc Cuprates and Graphene to Topological Insulators and Weyl Semimetals. Annu. Rev. Condens. Matter Phys. 2014, 5, 83–112. [Google Scholar] [CrossRef]
  14. Braga, A.N.; Pires, W.P.; Silva, J.D.L.; Alves, D.T.; Alves, V.S. Renormalization group functions in two-dimensional massive Dirac-like systems near an interface. Phys. Rev. D 2024, 109, 025006. [Google Scholar] [CrossRef]
Figure 1. The electron self-energy diagram. The straight line represents the fermion propagator and the wavy line represents the photon propagator.
Figure 1. The electron self-energy diagram. The straight line represents the fermion propagator and the wavy line represents the photon propagator.
Condensedmatter 09 00050 g001
Figure 2. Plot of v F R for graphene suspended in vacuum (a) in the presence of a conducting plate with zero temperature [Equation (8)] and (b) with finite temperature in the absence of plate [Equation (9)]. Both cases consider realistic values for the parameters: α = 2.2 , Λ = 1.75 Å 1 , several values for z 0 (in a), and T = 100 K (in b).
Figure 2. Plot of v F R for graphene suspended in vacuum (a) in the presence of a conducting plate with zero temperature [Equation (8)] and (b) with finite temperature in the absence of plate [Equation (9)]. Both cases consider realistic values for the parameters: α = 2.2 , Λ = 1.75 Å 1 , several values for z 0 (in a), and T = 100 K (in b).
Condensedmatter 09 00050 g002
Figure 3. Plots of Equation (26) as a function of | p | / Λ , considering v F = 3.7 / 300 , α F = 0.7 , and Λ = 10 u Λ (units of Λ ). Each panel has a fixed value of z 0 [(a) z 0 = 10,000 u Λ 1 , (b) z 0 = 10 u Λ 1 , (c) z 0 = 1 u Λ 1 and (d) z 0 = 0.1 u Λ 1 ] and several values for T. We also considered m = 0 u Λ , which applies for a graphene-like system.
Figure 3. Plots of Equation (26) as a function of | p | / Λ , considering v F = 3.7 / 300 , α F = 0.7 , and Λ = 10 u Λ (units of Λ ). Each panel has a fixed value of z 0 [(a) z 0 = 10,000 u Λ 1 , (b) z 0 = 10 u Λ 1 , (c) z 0 = 1 u Λ 1 and (d) z 0 = 0.1 u Λ 1 ] and several values for T. We also considered m = 0 u Λ , which applies for a graphene-like system.
Condensedmatter 09 00050 g003
Figure 4. Plots of Equation (27) as a function of | p | / Λ , considering v F = 3.7 / 300 , α F = 0.7 , Λ = 10 u Λ (units of Λ ), and m = 1 u Λ . Each panel has a fixed value of z 0 [(a) z 0 = 10,000 u Λ 1 , (b) z 0 = 10 u Λ 1 , (c) z 0 = 1 u Λ 1 and (d) z 0 = 0.1 u Λ 1 ] and several values for T.
Figure 4. Plots of Equation (27) as a function of | p | / Λ , considering v F = 3.7 / 300 , α F = 0.7 , Λ = 10 u Λ (units of Λ ), and m = 1 u Λ . Each panel has a fixed value of z 0 [(a) z 0 = 10,000 u Λ 1 , (b) z 0 = 10 u Λ 1 , (c) z 0 = 1 u Λ 1 and (d) z 0 = 0.1 u Λ 1 ] and several values for T.
Condensedmatter 09 00050 g004
Disclaimer/Publisher’s Note: The statements, opinions and data contained in all publications are solely those of the individual author(s) and contributor(s) and not of MDPI and/or the editor(s). MDPI and/or the editor(s) disclaim responsibility for any injury to people or property resulting from any ideas, methods, instructions or products referred to in the content.

Share and Cite

MDPI and ACS Style

Silva, J.D.L.; Braga, A.N.; Pires, W.P.; Alves, D.T.; Alves, V.S. Renormalization of Fermi Velocity and Band Gap in a Two-Dimensional System near a Conducting Plate at Finite Temperature. Condens. Matter 2024, 9, 50. https://doi.org/10.3390/condmat9040050

AMA Style

Silva JDL, Braga AN, Pires WP, Alves DT, Alves VS. Renormalization of Fermi Velocity and Band Gap in a Two-Dimensional System near a Conducting Plate at Finite Temperature. Condensed Matter. 2024; 9(4):50. https://doi.org/10.3390/condmat9040050

Chicago/Turabian Style

Silva, Jeferson Danilo L., Alessandra N. Braga, Wagner P. Pires, Danilo T. Alves, and Van Sérgio Alves. 2024. "Renormalization of Fermi Velocity and Band Gap in a Two-Dimensional System near a Conducting Plate at Finite Temperature" Condensed Matter 9, no. 4: 50. https://doi.org/10.3390/condmat9040050

APA Style

Silva, J. D. L., Braga, A. N., Pires, W. P., Alves, D. T., & Alves, V. S. (2024). Renormalization of Fermi Velocity and Band Gap in a Two-Dimensional System near a Conducting Plate at Finite Temperature. Condensed Matter, 9(4), 50. https://doi.org/10.3390/condmat9040050

Article Metrics

Back to TopTop