Readout Methods to Enhance the Performance of Luminescence Thermometers
Abstract
1. Introduction
2. Sensitivity, Accuracy, and Precision of Luminescence Thermometry
3. Materials for Luminescence Thermometry Probes with High Sensitivity to Temperature Changes
4. Temperature Read-Outs from Luminescence with Improved Sensitivity
4.1. Multilevel Cascade LIR Method
4.2. Dual-Excited Single Band Ratiometric (SBR) Method
4.3. Luminescence Intensity Squared Method
4.4. Time-Resolved Single-Band Ratiometric Luminescence Thermometry
5. Advanced Data Processing for Improved Precision and Accuracy of Luminescence Thermometry
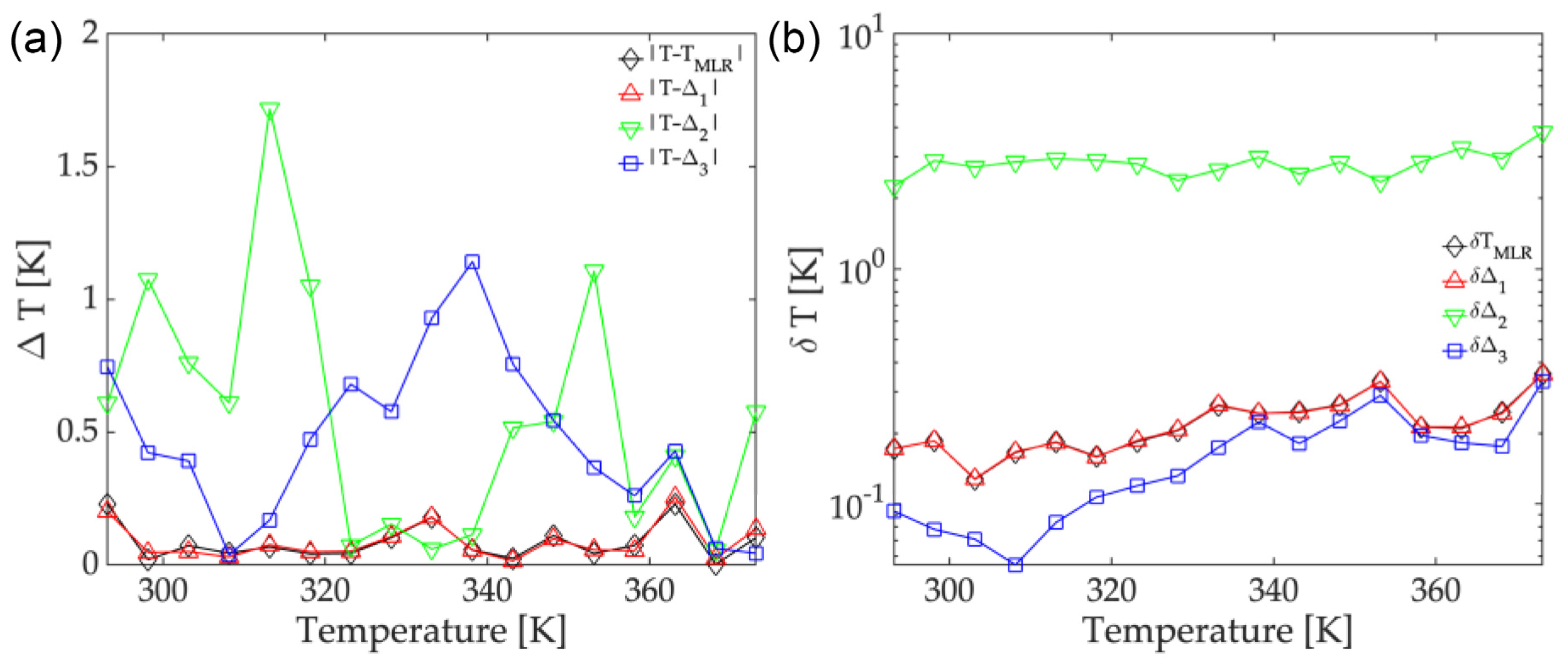
5.1. Multiparameter Methods Based on Multiple Linear Regression
5.2. Principal Component Analysis for Luminescence Thermometry
5.3. The Use of Artificial Neural Networks in Luminescence Thermometry
5.4. Sensor Fusion Luminescence Thermometry
6. Conclusions
Author Contributions
Funding
Data Availability Statement
Conflicts of Interest
References
- Bednarkiewicz, A.; Drabik, J.; Trejgis, K.; Jaque, D.; Ximendes, E.; Marciniak, L. Luminescence based temperature bio-imaging: Status, challenges, and perspectives. Appl. Phys. Rev. 2021, 8, 011317. [Google Scholar] [CrossRef]
- Marciniak, L.; Kniec, K.; Elżbieciak-Piecka, K.; Trejgis, K.; Stefanska, J.; Dramićanin, M. Luminescence thermometry with transition metal ions. A review. Coord. Chem. Rev. 2022, 469, 214671. [Google Scholar] [CrossRef]
- Brites, C.D.S.; Marin, R.; Suta, M.; Carneiro Neto, A.N.; Ximendes, E.; Jaque, D.; Carlos, L.D. Spotlight on Luminescence Thermometry: Basics, Challenges, and Cutting-Edge Applications. Adv. Mater. 2023, 35, e2302749. [Google Scholar] [CrossRef]
- Brites, C.D.S.; Balabhadra, S.; Carlos, L.D. Lanthanide-Based Thermometers: At the Cutting-Edge of Luminescence Thermometry. Adv. Opt. Mater. 2019, 7, 1801239. [Google Scholar] [CrossRef]
- Quintanilla, M.; Henriksen-Lacey, M.; Renero-Lecuna, C.; Liz-Marzán, L.M. Challenges for optical nanothermometry in biological environments. Chem. Soc. Rev. 2022, 51, 4223–4242. [Google Scholar] [CrossRef] [PubMed]
- Stefańska, J.; Bednarkiewicz, A.; Marciniak, L. Advancements in excited state absorption-based luminescence thermometry. J. Mater. Chem. C 2022, 10, 5744–5782. [Google Scholar] [CrossRef]
- Zhou, J.; del Rosal, B.; Jaque, D.; Uchiyama, S.; Jin, D. Advances and challenges for fluorescence nanothermometry. Nat. Methods 2020, 17, 967–980. [Google Scholar] [CrossRef]
- Kumar, P.; Patel, R.; Shrivastava, N.; Patel, M.; Rondeau-Gagné, S.; Selopal, G.S. Aspects of luminescence nanoprobes for thermometry: Progress and outlook. Appl. Mater. Today 2023, 35, 101931. [Google Scholar] [CrossRef]
- Suta, M. Performance of Boltzmann and crossover single-emitter luminescent thermometers and their recommended operation modes. Opt. Mater. X 2022, 16, 100195. [Google Scholar] [CrossRef]
- Harrington, B.; Ye, Z.; Signor, L.; Pickel, A.D. Luminescence Thermometry Beyond the Biological Realm. ACS Nanosci. Au 2024, 4, 30–61. [Google Scholar] [CrossRef]
- Jahanbazi, F.; Mao, Y. Recent advances on metal oxide-based luminescence thermometry. J. Mater. Chem. C 2021, 9, 16410–16439. [Google Scholar] [CrossRef]
- Martinez, L.P.; Mina Villarreal, M.C.; Zaza, C.; Barella, M.; Acuna, G.P.; Stefani, F.D.; Violi, I.L.; Gargiulo, J. Thermometries for Single Nanoparticles Heated with Light. ACS Sens. 2024, 9, 1049–1064. [Google Scholar] [CrossRef] [PubMed]
- Chennappa, T.; Kamath, S.D. Review—Structural and Optical Interpretations on Phosphor-Based Optical Thermometry. ECS J. Solid State Sci. Technol. 2024, 13, 077002. [Google Scholar] [CrossRef]
- Suo, H.; Zhao, X.; Zhang, Z.; Wang, Y.; Sun, J.; Jin, M.; Guo, C. Rational Design of Ratiometric Luminescence Thermometry Based on Thermally Coupled Levels for Bioapplications. Laser Photon. Rev. 2021, 15, 2000319. [Google Scholar] [CrossRef]
- Rodríguez-Sevilla, P.; Marin, R.; Ximendes, E.; del Rosal, B.; Benayas, A.; Jaque, D. Luminescence Thermometry for Brain Activity Monitoring: A Perspective. Front. Chem. 2022, 10, 941861. [Google Scholar] [CrossRef]
- van Swieten, T.P.; Meijerink, A.; Rabouw, F.T. Impact of Noise and Background on Measurement Uncertainties in Luminescence Thermometry. ACS Photonics 2022, 9, 1366–1374. [Google Scholar] [CrossRef] [PubMed]
- Benedict, R. Fundamentals of Temperature, 3rd ed.; John Wiley & Sons. Inc.: New York, NY, USA, 1984. [Google Scholar]
- Dramićanin, M. Temperature and Ways of Measuring It. In Luminescence Thermometry; Elsevier: Amsterdam, The Netherlands, 2018; pp. 13–32. [Google Scholar]
- Kolesnikov, I.E.; Mamonova, D.V.; Kalinichev, A.A.; Kurochkin, M.A.; Medvedev, V.A.; Kolesnikov, E.Y.; Lähderanta, E.; Manshina, A.A. Construction of efficient dual activating ratiometric YVO4:Nd3+/Eu3+ nanothermometers using co-doped and mixed phosphors. Nanoscale 2020, 12, 5953–5960. [Google Scholar] [CrossRef] [PubMed]
- Li, M.; You, F.; Liang, C.; He, Z. Ratiometric thermal sensing based on dual emission of YBO3:Ce3+, Tb3+. J. Alloys Compd. 2020, 833, 155011. [Google Scholar] [CrossRef]
- Avram, D.; Colbea, C.; Florea, M.; Tiseanu, C. Highly -sensitive near infrared luminescent nanothermometers based on binary mixture. J. Alloys Compd. 2019, 785, 250–259. [Google Scholar] [CrossRef]
- Wang, L.; Lee, H.; Ju, D.Y. Impact of digital content on young children’s reading interest and concentration for books. Behav. Inf. Technol. 2019, 38, 1–8. [Google Scholar] [CrossRef]
- Matuszewska, C.; Elzbieciak-Piecka, K.; Marciniak, L. Transition Metal Ion-Based Nanocrystalline Luminescent Thermometry in SrTiO3:Ni2+,Er3+ Nanocrystals Operating in the Second Optical Window of Biological Tissues. J. Phys. Chem. C 2019, 123, 18646–18653. [Google Scholar] [CrossRef]
- Elzbieciak, K.; Bednarkiewicz, A.; Marciniak, L. Temperature sensitivity modulation through crystal field engineering in Ga3+ co-doped Gd3Al5-xGaxO12:Cr3+, Nd3+ nanothermometers. Sens. Actuators B Chem. 2018, 269, 96–102. [Google Scholar] [CrossRef]
- Chen, Y.; He, J.; Zhang, X.; Rong, M.; Xia, Z.; Wang, J.; Liu, Z.-Q. Dual-Mode Optical Thermometry Design in Lu3Al5O12:Ce3+/Mn4+ Phosphor. Inorg. Chem. 2020, 59, 1383–1392. [Google Scholar] [CrossRef]
- Chen, D.; Liu, S.; Zhou, Y.; Wan, Z.; Huang, P.; Ji, Z. Dual-activator luminescence of RE/TM:Y3Al5O12 (RE = Eu3+, Tb3+, Dy3+; TM = Mn4+, Cr3+) phosphors for self-referencing optical thermometry. J. Mater. Chem. C 2016, 4, 9044–9051. [Google Scholar] [CrossRef]
- Xie, X.; Ge, W.; Tian, Y.; Zhang, Q.; Yang, M.; Wu, C.; He, P.; Yin, H. La3Sc2Ga3O12:Cr3+, Nd3+ near-infrared phosphor for nondestructive detection and luminescence thermometry. Ceram. Int. 2024, 50, 46098–46106. [Google Scholar] [CrossRef]
- Zhu, B.; Wang, L.; Shi, Q.; Guo, H.; Qiao, J.; Cui, C.; Huang, P. Tb3+/Mn4+ co-doped SrLaMgNbO6 green/red dual-emitting phosphors for optical thermometry. Ceram. Int. 2023, 49, 35285–35292. [Google Scholar] [CrossRef]
- Lin, Y.; Zhao, L.; Jiang, B.; Mao, J.; Chi, F.; Wang, P.; Xie, C.; Wei, X.; Chen, Y.; Yin, M. Temperature-dependent luminescence of BaLaMgNbO6:Mn4+, Dy3+ phosphor for dual-mode optical thermometry. Opt. Mater. 2019, 95, 109199. [Google Scholar] [CrossRef]
- Pan, Y.; Xie, X.; Huang, Q.; Gao, C.; Wang, Y.; Wang, L.; Yang, B.; Su, H.; Huang, L.; Huang, W. Inherently Eu2+/Eu3+ Codoped Sc2O3 Nanoparticles as High-Performance Nanothermometers. Adv. Mater. 2018, 30, e1705256. [Google Scholar] [CrossRef]
- Ćirić, A.; Stojadinović, S.; Ristić, Z.; Zeković, I.; Kuzman, S.; Antić, Ž.; Dramićanin, M.D. Supersensitive Sm2+-Activated Al2O3 Thermometric Coatings for High-Resolution Multiple Temperature Read-Outs from Luminescence. Adv. Mater. Technol. 2021, 6, 2001201. [Google Scholar] [CrossRef]
- Wang, S.; Westcott, S.; Chen, W. Nanoparticle Luminescence Thermometry. J. Phys. Chem. B 2002, 106, 11203–11209. [Google Scholar] [CrossRef]
- Parobek, D.; Roman, B.J.; Dong, Y.; Jin, H.; Lee, E.; Sheldon, M.; Son, D.H. Exciton-to-Dopant Energy Transfer in Mn-Doped Cesium Lead Halide Perovskite Nanocrystals. Nano Lett. 2016, 16, 7376–7380. [Google Scholar] [CrossRef]
- Nikolić, M.G.; Antić, Ž.; Ćulubrk, S.; Nedeljković, J.M.; Dramićanin, M.D. Temperature sensing with Eu3+ doped TiO2 nanoparticles. Sens. Actuators B Chem. 2014, 201, 46–50. [Google Scholar] [CrossRef]
- Dramićanin, M.D.; Antić, Ž.; Ćulubrk, S.; Ahrenkiel, S.P.; Nedeljković, J.M. Self-referenced luminescence thermometry with Sm3+ doped TiO2 nanoparticles. Nanotechnology 2014, 25, 485501. [Google Scholar] [CrossRef] [PubMed]
- Ćulubrk, S.; Lojpur, V.; Ahrenkiel, S.P.; Nedeljković, J.M.; Dramićanin, M.D. Non-contact thermometry with Dy3+ doped Gd2Ti2O7 nano-powders. J. Lumin. 2016, 170, 395–400. [Google Scholar] [CrossRef]
- Das, S.; Som, S.; Yang, C.-Y.; Chavhan, S.; Lu, C.-H. Structural evaluations and temperature dependent photoluminescence characterizations of Eu3+-activated SrZrO3 hollow spheres for luminescence thermometry applications. Sci. Rep. 2016, 6, 25787. [Google Scholar] [CrossRef] [PubMed]
- Drabik, J.; Ledwa, K.; Marciniak, Ł. Implementing Defects for Ratiometric Luminescence Thermometry. Nanomaterials 2020, 10, 1333. [Google Scholar] [CrossRef]
- Suta, M.; Meijerink, A. A Theoretical Framework for Ratiometric Single Ion Luminescent Thermometers—Thermodynamic and Kinetic Guidelines for Optimized Performance. Adv. Theory Simul. 2020, 3, 2000176. [Google Scholar] [CrossRef]
- Suta, M.; Antić, Ž.; Ðorđević, V.; Kuzman, S.; Dramićanin, M.D.; Meijerink, A. Making Nd3+ a Sensitive Luminescent Thermometer for Physiological Temperatures—An Account of Pitfalls in Boltzmann Thermometry. Nanomaterials 2020, 10, 543. [Google Scholar] [CrossRef]
- Geitenbeek, R.G.; De Wijn, H.W.; Meijerink, A. Non-Boltzmann Luminescence in NayF4:Eu3+: Implications for Luminescence Thermometry. Phys. Rev. Appl. 2018, 10, 064006. [Google Scholar] [CrossRef]
- Wade, S.A.; Collins, S.F.; Baxter, G.W. Fluorescence intensity ratio technique for optical fiber point temperature sensing. J. Appl. Phys. 2003, 94, 4743. [Google Scholar] [CrossRef]
- Glais, E.; Đorđević, V.; Papan, J.; Viana, B.; Dramićanin, M.D. MgTiO3:Mn4+ a multi-reading temperature nanoprobe. RSC Adv. 2018, 8, 18341–18346. [Google Scholar] [CrossRef] [PubMed]
- Back, M.; Trave, E.; Ueda, J.; Tanabe, S. Ratiometric Optical Thermometer Based on Dual Near-Infrared Emission in Cr3+-Doped Bismuth-Based Gallate Host. Chem. Mater. 2016, 28, 8347–8356. [Google Scholar] [CrossRef]
- Ueda, J.; Back, M.; Brik, M.G.; Zhuang, Y.; Grinberg, M.; Tanabe, S. Ratiometric optical thermometry using deep red luminescence from 4T2 and 2E states of Cr3+ in ZnGa2O4 host. Opt. Mater. 2018, 85, 510–516. [Google Scholar] [CrossRef]
- Back, M.; Ueda, J.; Xu, J.; Asami, K.; Brik, M.G.; Tanabe, S. Effective Ratiometric Luminescent Thermal Sensor by Cr3+-Doped Mullite Bi2Al4O9 with Robust and Reliable Performances. Adv. Opt. Mater. 2020, 8, 2000124. [Google Scholar] [CrossRef]
- Dramićanin, M.D.; Marciniak, Ł.; Kuzman, S.; Piotrowski, W.; Ristić, Z.; Periša, J.; Evans, I.; Mitrić, J.; Đorđević, V.; Romčević, N.; et al. Mn5+-activated Ca6Ba(PO4)4O near-infrared phosphor and its application in luminescence thermometry. Light Sci. Appl. 2022, 11, 279. [Google Scholar] [CrossRef]
- Alrebdi, T.A.; Alodhayb, A.N.; Ristić, Z.; Dramićanin, M.D. Comparison of Performance between Single- and Multiparameter Luminescence Thermometry Methods Based on the Mn5+ Near-Infrared Emission. Sensors 2023, 23, 3839. [Google Scholar] [CrossRef] [PubMed]
- Tian, X.; Wei, X.; Chen, Y.; Duan, C.; Yin, M. Temperature sensor based on ladder-level assisted thermal coupling and thermal-enhanced luminescence in NaYF4:Nd3+. Opt. Express 2014, 22, 30333. [Google Scholar] [CrossRef]
- Li, L.; Qin, F.; Zhou, Y.; Zheng, Y.; Miao, J.; Zhang, Z. Three-energy-level-cascaded strategy for a more sensitive luminescence ratiometric thermometry. Sens. Actuators A Phys. 2020, 304, 111864. [Google Scholar] [CrossRef]
- Periša, J.; Ćirić, A.; Zeković, I.; Đorđević, V.; Sekulić, M.; Antić, Ž.; Dramićanin, M.D. Exploiting High-Energy Emissions of YAlO3:Dy3+ for Sensitivity Improvement of Ratiometric Luminescence Thermometry. Sensors 2022, 22, 7997. [Google Scholar] [CrossRef]
- Ćirić, A.; Aleksić, J.; Barudžija, T.; Antić, Ž.; Đorđević, V.; Medić, M.; Periša, J.; Zeković, I.; Mitrić, M.; Dramićanin, M.D. Comparison of three ratiometric temperature readings from the Er3+ upconversion emission. Nanomaterials 2020, 10, 627. [Google Scholar] [CrossRef]
- Yu, D.; Li, H.; Zhang, D.; Zhang, Q.; Meijerink, A.; Suta, M. One ion to catch them all: Targeted high-precision Boltzmann thermometry over a wide temperature range with Gd3+. Light Sci. Appl. 2021, 10, 236. [Google Scholar] [CrossRef] [PubMed]
- Ćirić, A.; Periša, J.; Zeković, I.; Antić, Ž.; Dramićanin, M.D. Multilevel-cascade intensity ratio temperature read-out of Dy3+ luminescence thermometers. J. Lumin. 2022, 245, 118795. [Google Scholar] [CrossRef]
- Antić, Ž.; Ćirić, A.; Sekulić, M.; Periša, J.; Milićević, B.; Alodhayb, A.N.; Alrebdi, T.A.; Dramićanin, M.D. Thirty-Fold Increase in Relative Sensitivity of Dy3+ Luminescent Boltzmann Thermometers Using Multiparameter and Multilevel Cascade Temperature Readings. Crystals 2023, 13, 884. [Google Scholar] [CrossRef]
- Souza, A.S.; Nunes, L.A.O.; Silva, I.G.N.; Oliveira, F.A.M.; da Luz, L.L.; Brito, H.F.; Felinto, M.C.F.C.; Ferreira, R.A.S.; Júnior, S.A.; Carlos, L.D.; et al. Highly-sensitive Eu3+ ratiometric thermometers based on excited state absorption with predictable calibration. Nanoscale 2016, 8, 5327–5333. [Google Scholar] [CrossRef]
- Chang, N.C.; Gruber, J.B.; Leavitt, R.P.; Morrison, C.A. Optical spectra, energy levels, and crystal-field analysis of tripositive rare earth ions in Y2O3. I. Kramers ions in C2 sites. J. Chem. Phys. 1982, 76, 3877–3889. [Google Scholar] [CrossRef]
- Leavitt, R.P.; Gruber, J.B.; Chang, N.C.; Morrison, C.A. Optical spectra, energy levels, and crystal-field analysis of tripositive rare-earth ions in Y2O3. II. Non-Kramers ions in C2 sites. J. Chem. Phys. 1982, 76, 4775–4788. [Google Scholar] [CrossRef]
- Ćirić, A.; Zeković, I.; Medić, M.; Antić, Ž.; Dramićanin, M.D. Judd-Ofelt modelling of the dual-excited single band ratiometric luminescence thermometry. J. Lumin. 2020, 225, 117369. [Google Scholar] [CrossRef]
- Zhou, S.; Li, X.; Wei, X.; Duan, C.; Yin, M. A new mechanism for temperature sensing based on the thermal population of 7F2 state in Eu 3+. Sens. Actuators B Chem. 2016, 231, 641–645. [Google Scholar] [CrossRef]
- Ćirić, A.; Marciniak, Ł.; Dramićanin, M.D. Luminescence intensity ratio squared—A new luminescence thermometry method for enhanced sensitivity. J. Appl. Phys. 2022, 131, 114501. [Google Scholar] [CrossRef]
- Ćirić, A.; van Swieten, T.; Periša, J.; Meijerink, A.; Dramićanin, M.D. Twofold increase in the sensitivity of Er3+/Yb3+ Boltzmann thermometer. J. Appl. Phys. 2023, 133, 194501. [Google Scholar] [CrossRef]
- Qiu, X.; Zhou, Q.; Zhu, X.; Wu, Z.; Feng, W.; Li, F. Ratiometric upconversion nanothermometry with dual emission at the same wavelength decoded via a time-resolved technique. Nat. Commun. 2020, 11, 4. [Google Scholar] [CrossRef] [PubMed]
- Mykhaylyk, V.; Kraus, H.; Zhydachevskyy, Y.; Tsiumra, V.; Luchechko, A.; Wagner, A.; Suchocki, A. Multimodal Non-Contact Luminescence Thermometry with Cr-Doped Oxides. Sensors 2020, 20, 5259. [Google Scholar] [CrossRef] [PubMed]
- Li, H.; Heydari, E.; Li, Y.; Xu, H.; Xu, S.; Chen, L.; Bai, G. Multi-Mode Lanthanide-Doped Ratiometric Luminescent Nanothermometer for Near-Infrared Imaging within Biological Windows. Nanomaterials 2023, 13, 219. [Google Scholar] [CrossRef] [PubMed]
- Savchuk, O.; Carvajal Marti, J.J.; Cascales, C.; Haro-Gonzalez, P.; Sanz-Rodríguez, F.; Aguilo, M.; Diaz, F. Bifunctional Tm3+,Yb3+:GdVO4@SiO2 Core-Shell Nanoparticles in HeLa Cells: Upconversion Luminescence Nanothermometry in the First Biological Window and Biolabelling in the Visible. Nanomaterials 2020, 10, 993. [Google Scholar] [CrossRef]
- Wang, J.; Lu, J.; Wu, Y.; Song, M. Luminescence of Mn4+ in a Zero-Dimensional Organic–Inorganic Hybrid Phosphor [N(CH3)4]2ZrF6 for Dual-Mode Temperature Sensing. Materials 2022, 15, 6543. [Google Scholar] [CrossRef]
- Chen, J.Y.; Chen, J.Q.; Li, L.J.; Zhang, W.N.; Chen, L.P.; Guo, H. A four-mode high-sensitive optical thermometer based on Ca3LiZnV3O12:Sm3+ phosphors. Mater. Today Chem. 2023, 29, 101409. [Google Scholar] [CrossRef]
- Shen, Y.; Santos, H.D.A.; Ximendes, E.C.; Lifante, J.; Sanz-Portilla, A.; Monge, L.; Fernández, N.; Chaves-Coira, I.; Jacinto, C.; Brites, C.D.S.; et al. Ag2S Nanoheaters with Multiparameter Sensing for Reliable Thermal Feedback during In Vivo Tumor Therapy. Adv. Funct. Mater. 2020, 30, 2002730. [Google Scholar] [CrossRef]
- Maturi, F.E.; Brites, C.D.S.; Ximendes, E.C.; Mills, C.; Olsen, B.; Jaque, D.; Ribeiro, S.J.L.; Carlos, L.D. Going Above and Beyond: A Tenfold Gain in the Performance of Luminescence Thermometers Joining Multiparametric Sensing and Multiple Regression. Laser Photon. Rev. 2021, 15, 2100301. [Google Scholar] [CrossRef]
- Aseev, V.A.; Borisevich, D.A.; Khodasevich, M.A.; Kuz’menko, N.K.; Fedorov, Y.K. Calibration of Temperature by Normalized Up-Conversion Fluorescence Spectra of Germanate Glasses and Glass Ceramics Doped with Erbium and Ytterbium Ions. Opt. Spectrosc. 2021, 129, 297–302. [Google Scholar] [CrossRef]
- Borisov, E.V.; Kalinichev, A.A.; Kolesnikov, I.E. ZnTe Crystal Multimode Cryogenic Thermometry Using Raman and Luminescence Spectroscopy. Materials 2023, 16, 1311. [Google Scholar] [CrossRef]
- Lewis, C.; Erikson, J.W.; Sanchez, D.A.; McClure, C.E.; Nordin, G.P.; Munro, T.R.; Colton, J.S. Use of Machine Learning with Temporal Photoluminescence Signals from CdTe Quantum Dots for Temperature Measurement in Microfluidic Devices. ACS Appl. Nano Mater. 2020, 3, 4045–4053. [Google Scholar] [CrossRef] [PubMed]
- Ximendes, E.; Marin, R.; Carlos, L.D.; Jaque, D. Less is more: Dimensionality reduction as a general strategy for more precise luminescence thermometry. Light Sci. Appl. 2022, 11, 237. [Google Scholar] [CrossRef]
- Šević, D.; Vlašić, A.; Rabasović, M.; Savić-Šević, S.; Rabasović, M.; Nikolić, M.; Murić, B.; Marinković, B.; Križan, J. Temperature effects on luminescent properties of Sr2CeO4:Eu3+ nanophosphor: A machine learning approach. Tehnika 2020, 75, 279–283. [Google Scholar] [CrossRef]
- Rajčić, A.; Ristić, Z.; Periša, J.; Milićević, B.; Aldawood, S.; Alodhayb, A.N.; Antić, Ž.; Dramićanin, M.D. Using Principal Component Analysis for Temperature Readings from YF3:Pr3+ Luminescence. Technologies 2024, 12, 131. [Google Scholar] [CrossRef]
- Liu, L.; Zhong, K.; Munro, T.; Alvarado, S.; Côte, R.; Creten, S.; Fron, E.; Ban, H.; Van der Auweraer, M.; Roozen, N.B.; et al. Wideband fluorescence-based thermometry by neural network recognition: Photothermal application with 10 ns time resolution. J. Appl. Phys. 2015, 118, 184906. [Google Scholar] [CrossRef]
- Cui, J.; Xu, W.; Yao, M.; Zheng, L.; Hu, C.; Zhang, Z.; Sun, Z. Convolutional neural networks open up horizons for luminescence thermometry. J. Lumin. 2023, 256, 119637. [Google Scholar] [CrossRef]
- Xu, W.; Xu, C.; Cui, J.; Hu, C.; Wen, G.; Zheng, L.; Zhang, Z.; Sun, Z.; Zhang, Y. Luminescence thermometry driven by a support vector machine: A strategy toward precise thermal sensing. Opt. Lett. 2024, 49, 606. [Google Scholar] [CrossRef]
- Jelic, J.Z.; Dencevski, A.; Rabasovic, M.D.; Krizan, J.; Savic-Sevic, S.; Nikolic, M.G.; Aguirre, M.H.; Sevic, D.; Rabasovic, M.S. Improving the Two-Color Temperature Sensing Using Machine Learning Approach: GdVO4:Sm3+ Prepared by Solution Combustion Synthesis (SCS). Photonics 2024, 11, 642. [Google Scholar] [CrossRef]
- LeCun, Y.; Bengio, Y.; Hinton, G. Deep learning. Nature 2015, 521, 436–444. [Google Scholar] [CrossRef]
- Liu, L.; Creten, S.; Firdaus, Y.; Agustin Flores Cuautle, J.J.; Kouyaté, M.; Van der Auweraer, M.; Glorieux, C. Fluorescence spectra shape based dynamic thermometry. Appl. Phys. Lett. 2014, 104, 031902. [Google Scholar] [CrossRef]
- Munro, T.; Liu, L.; Glorieux, C.; Ban, H. CdSe/ZnS quantum dot fluorescence spectra shape-based thermometry via neural network reconstruction. J. Appl. Phys. 2016, 119, 214903. [Google Scholar] [CrossRef]
- Li, Z.; Liu, F.; Yang, W.; Peng, S.; Zhou, J. A Survey of Convolutional Neural Networks: Analysis, Applications, and Prospects. IEEE Trans. Neural Netw. Learn. Syst. 2022, 33, 6999–7019. [Google Scholar] [CrossRef] [PubMed]
- Hochreiter, S.; Schmidhuber, J. Long Short-Term Memory. Neural Comput. 1997, 9, 1735–1780. [Google Scholar] [CrossRef] [PubMed]
- Cai, T.; Deng, Z.; Park, Y.; Mohammadshahi, S.; Liu, Y.; Kim, K.C. Acquisition of kHz-frequency two-dimensional surface temperature field using phosphor thermometry and proper orthogonal decomposition assisted long short-term memory neural networks. Int. J. Heat Mass Transf. 2021, 165, 120662. [Google Scholar] [CrossRef]
- Ćirić, A.; Ristić, Z.; Gavrilović, T.; Periša, J.; Medić, M.; Dramićanin, M.D. Sensor fusion luminescence thermometry better together. arXiv 2024, arXiv:2409.03479. [Google Scholar]







| Ion | Eu3+ | Dy3+ | Sm3+ | Nd3+ | Er3+ | Pr3+ | Gd3+ |
|---|---|---|---|---|---|---|---|
| Excited levels | 5D1, 5D0 | 4I15/2, 4F9/2 | 4F3/2, 4G5/2 | 4F5/2, 4F3/2 | 2H11/2, 4S3/2 | 3P1 + 1I6, 3P0 | 6P5/2, 6P7/2 |
| Emission color | Green/Orange | blue | Green/Orange | NIR | Green | Blue | UV |
| ΔEHL [cm−1] | 1750 | 900 | 1250 | 1000 | 780 | 600 | 500 |
| Relative sensitivity [%K−1] | 2.80 | 1.44 | 2.00 | 1.60 | 1.25 | 0.96 | 0.80 |
| Third excited level | 5D2 | 4G11/2 | 4G7/2 | 4F7/2 | 4F7/2 | 3P2 | 6P3/2 |
| Sensitivity gain [%] | 160 | 141 | 76 | 102 | 224 | 192 | 127 |
Disclaimer/Publisher’s Note: The statements, opinions and data contained in all publications are solely those of the individual author(s) and contributor(s) and not of MDPI and/or the editor(s). MDPI and/or the editor(s) disclaim responsibility for any injury to people or property resulting from any ideas, methods, instructions or products referred to in the content. |
© 2024 by the authors. Licensee MDPI, Basel, Switzerland. This article is an open access article distributed under the terms and conditions of the Creative Commons Attribution (CC BY) license (https://creativecommons.org/licenses/by/4.0/).
Share and Cite
Dramićanin, M.D.; Alodhayb, A.N.; Ćirić, A. Readout Methods to Enhance the Performance of Luminescence Thermometers. Condens. Matter 2024, 9, 46. https://doi.org/10.3390/condmat9040046
Dramićanin MD, Alodhayb AN, Ćirić A. Readout Methods to Enhance the Performance of Luminescence Thermometers. Condensed Matter. 2024; 9(4):46. https://doi.org/10.3390/condmat9040046
Chicago/Turabian StyleDramićanin, Miroslav D., Abdullah N. Alodhayb, and Aleksandar Ćirić. 2024. "Readout Methods to Enhance the Performance of Luminescence Thermometers" Condensed Matter 9, no. 4: 46. https://doi.org/10.3390/condmat9040046
APA StyleDramićanin, M. D., Alodhayb, A. N., & Ćirić, A. (2024). Readout Methods to Enhance the Performance of Luminescence Thermometers. Condensed Matter, 9(4), 46. https://doi.org/10.3390/condmat9040046

